Ferroelectrics Based on HfO2 Film
Abstract
:1. Introduction
2. Fabrication of Ferroelectric HfO2 Film
2.1. Atomic Layer Deposition (ALD)
2.2. Sputtering
2.3. Pulsed Laser Deposition (PLD)
2.4. Chemical Solution Deposition (CSD)
2.5. Thermal Annealing
3. Analysis of Ferroelectric HfO2 Film
4. Application of Ferroelectric HfO2 Film
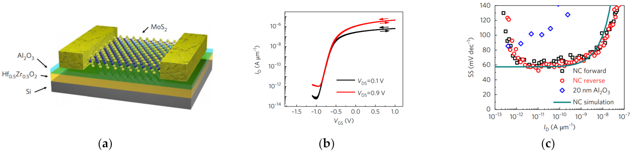
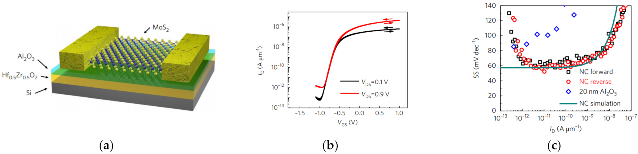
4.1. Negative Capacitance (NC)

4.2. Ferroelectric Randon Access Memory (FeRAM)
4.3. Ferroelectric Tunnel Junction (FTJ)
4.4. Ferroelectric Field-Effect Transistor (FeFET)
5. Conclusions
Author Contributions
Funding
Data Availability Statement
Conflicts of Interest
References
- Keshavarzi, A.; Ni, K.; Van Den Hoek, W.; Datta, S.; Raychowdhury, A. Ferroelectronics for edge intelligence. IEEE Micro 2020, 40, 33–48. [Google Scholar] [CrossRef]
- Lines, M.E.; Glass, A.M. Principles and Applications of Ferroelectrics and Related Materials; Oxford University Press: New York, NY, USA, 2001. [Google Scholar]
- Okuno, J.; Kunihiro, T.; Konishi, K.; Maemura, H.; Shute, Y.; Sugaya, F.; Materano, M.; Ali, T.; Kuehnel, K.; Seide, K. SoC compatible 1T1C FeRAM memory array based on ferroelectric Hf0.5Zr0.5O2. In Proceedings of the 2020 IEEE Symposium on VLSI Technology, Honolulu, HI, USA, 16–19 June 2020; pp. 1–2. [Google Scholar]
- Okuno, J.; Kunihiro, T.; Konishi, K.; Maemura, H.; Shuto, Y.; Sugaya, F.; Materano, M.; Ali, T.; Lederer, M.; Kuehnel, K. High-Endurance and Low-Voltage operation of 1T1C FeRAM Arrays for Nonvolatile Memory Application. In Proceedings of the 2021 IEEE International Memory Workshop, Dresden, Germany, 16–19 May 2021; pp. 1–3. [Google Scholar]
- Jerry, M.; Chen, P.-Y.; Zhang, J.; Sharma, P.; Ni, K.; Yu, S.; Datta, S. Ferroelectric FET analog synapse for acceleration of deep neural network training. In Proceedings of the 2017 IEEE International Electron Devices Meeting, San Francisco, CA, USA, 2–6 December 2017; pp. 6.2.1–6.2.4. [Google Scholar]
- Sun, X.; Wang, P.; Ni, K.; Datta, S.; Yu, S. Exploiting hybrid precision for training and inference: A 2T-1FeFET based analog synaptic weight cell. In Proceedings of the 2018 IEEE International Electron Devices Meeting, San Francisco, CA, USA, 1–5 December 2018; pp. 3.1.1–3.1.4. [Google Scholar]
- Fong, D.D.; Stephenson, G.B.; Streiffer, S.K.; Eastman, J.A.; Auciello, O.; Fuoss, P.H.; Thompson, C. Ferroelectricity in ultrathin perovskite films. Science 2004, 304, 1650–1653. [Google Scholar] [CrossRef]
- Scott, J. Applications of modern ferroelectrics. Science 2007, 315, 954–959. [Google Scholar] [CrossRef] [PubMed]
- Ihlefeld, J.F.; Harris, D.T.; Keech, R.; Jones, J.L.; Maria, J.P.; Trolier-McKinstry, S. Scaling effects in perovskite ferroelectrics: Fundamental limits and process-structure-property relations. J. Am. Ceram. Soc. 2016, 99, 2537–2557. [Google Scholar] [CrossRef]
- Böscke, T.; Müller, J.; Bräuhaus, D.; Schröder, U.; Böttger, U. Ferroelectricity in hafnium oxide thin films. Appl. Phys. Lett. 2011, 99, 102903. [Google Scholar] [CrossRef]
- Cheynet, M.C.; Pokrant, S.; Tichelaar, F.D.; Rouvière, J.-L. Crystal structure and band gap determination of HfO2 thin films. J. Appl. Phys. 2007, 101, 054101. [Google Scholar] [CrossRef] [Green Version]
- Khanna, S.; Bartling, S.C.; Clinton, M.; Summerfelt, S.; Rodriguez, J.A.; McAdams, H.P. An FRAM-Based Nonvolatile Logic MCU SoC Exhibiting 100% Digital State Retention at VDD = 0 V Achieving Zero Leakage with <400-ns Wakeup Time for ULP Applications. IEEE J. Solid State Circuits 2013, 49, 95–106. [Google Scholar]
- Koo, J.-M.; Seo, B.-S.; Kim, S.; Shin, S.; Lee, J.-H.; Baik, H.; Lee, J.-H.; Lee, J.H.; Bae, B.-J.; Lim, J.-E. Fabrication of 3D trench PZT capacitors for 256Mbit FRAM device application. In Proceedings of the IEEE InternationalElectron Devices Meeting, 2005. IEDM Technical Digest, Washington, DC, USA, 5 December 2005; pp. 4–343. [Google Scholar]
- McAdams, H.P.; Acklin, R.; Blake, T.; Du, X.-H.; Eliason, J.; Fong, J.; Kraus, W.F.; Liu, D.; Madan, S.; Moise, T. A 64-Mb embedded FRAM utilizing a 130-nm 5LM Cu/FSG logic process. IEEE J. Solid State Circuits 2004, 39, 667–677. [Google Scholar] [CrossRef]
- Boyn, S.; Grollier, J.; Lecerf, G.; Xu, B.; Locatelli, N.; Fusil, S.; Girod, S.; Carrétéro, C.; Garcia, K.; Xavier, S. Learning through ferroelectric domain dynamics in solid-state synapses. Nat. Commun. 2017, 8, 14736. [Google Scholar] [CrossRef]
- Cervo Sulzbach, M.; Tan, H.; Estandía, S.; Gàzquez, J.; Sánchez, F.; Fina, I.; Fontcuberta, J. Polarization and Resistive Switching in Epitaxial 2nm Hf 0.5Zr0.5O2 Tunnel Junctions. ACS Appl. Electron. Mater. 2021, 3, 3657–3666. [Google Scholar] [CrossRef]
- Gajek, M.; Bibes, M.; Fusil, S.; Bouzehouane, K.; Fontcuberta, J.; Barthelemy, A.; Fert, A. Tunnel junctions with multiferroic barriers. Nat. Mater. 2007, 6, 296–302. [Google Scholar] [CrossRef] [PubMed]
- Li, J.; Li, N.; Ge, C.; Huang, H.; Sun, Y.; Gao, P.; He, M.; Wang, C.; Yang, G.; Jin, K. Giant electroresistance in ferroionic tunnel junctions. IScience 2019, 16, 368–377. [Google Scholar] [CrossRef] [Green Version]
- Yoon, C.; Lee, J.H.; Lee, S.; Jeon, J.H.; Jang, J.T.; Kim, D.H.; Kim, Y.H.; Park, B.H. Synaptic plasticity selectively activated by polarization-dependent energy-efficient ion migration in an ultrathin ferroelectric tunnel junction. Nano Lett. 2017, 17, 1949–1955. [Google Scholar] [CrossRef]
- Dünkel, S.; Trentzsch, M.; Richter, R.; Moll, P.; Fuchs, C.; Gehring, O.; Majer, M.; Wittek, S.; Müller, B.; Melde, T. A FeFET based super-low-power ultra-fast embedded NVM technology for 22 nm FDSOI and beyond. In Proceedings of the 2017 IEEE International Electron Devices Meeting, San Francisco, CA, USA, 2–6 December 2017; pp. 19.7.1–19.7.4. [Google Scholar]
- Florent, K.; Pesic, M.; Subirats, A.; Banerjee, K.; Lavizzari, S.; Arreghini, A.; Di Piazza, L.; Potoms, G.; Sebaai, F.; McMitchell, S. Vertical ferroelectric HfO2 FET based on 3-D NAND architecture: Towards dense low-power memory. In Proceedings of the 2018 IEEE International Electron Devices Meeting, San Francisco, CA, USA, 1–5 December 2018; pp. 2.5.1–2.5.4. [Google Scholar]
- Mulaosmanovic, H.; Breyer, E.T.; Mikolajick, T.; Slesazeck, S. Reconfigurable frequency multiplication with a ferroelectric transistor. Nat. Electron. 2020, 3, 391–397. [Google Scholar] [CrossRef]
- Schroeder, U.; Hwang, C.S.; Funakubo, H. Ferroelectricity in Doped Hafnium Oxide: Materials, Properties and Devices; Woodhead Publishing: Cambridge, UK, 2019. [Google Scholar]
- George, S.M. Atomic layer deposition: An overview. Chem. Rev. 2010, 110, 111–131. [Google Scholar] [CrossRef] [PubMed]
- Polakowski, P.; Riedel, S.; Weinreich, W.; Rudolf, M.; Sundqvist, J.; Seidel, K.; Muller, J. Ferroelectric deep trench capacitors based on Al: HfO2 for 3D nonvolatile memory applications. In Proceedings of the 2014 IEEE 6th International Memory Workshop, Taipei, Taiwan, 18–21 May 2014; pp. 1–4. [Google Scholar]
- Schroeder, U.; Yurchuk, E.; Müller, J.; Martin, D.; Schenk, T.; Polakowski, P.; Adelmann, C.; Popovici, M.I.; Kalinin, S.V.; Mikolajick, T. Impact of different dopants on the switching properties of ferroelectric hafniumoxide. Jpn. J. Appl. Phys. 2014, 53, 08LE02. [Google Scholar] [CrossRef]
- Clima, S.; Wouters, D.; Adelmann, C.; Schenk, T.; Schroeder, U.; Jurczak, M.; Pourtois, G. Identification of the ferroelectric switching process and dopant-dependent switching properties in orthorhombic HfO2: A first principles insight. Appl. Phys. Lett. 2014, 104, 092906. [Google Scholar] [CrossRef]
- Lederer, M.; Kämpfe, T.; Olivo, R.; Lehninger, D.; Mart, C.; Kirbach, S.; Ali, T.; Polakowski, P.; Roy, L.; Seidel, K. Local crystallographic phase detection and texture mapping in ferroelectric Zr doped HfO2 films by transmission-EBSD. Appl. Phys. Lett. 2019, 115, 222902. [Google Scholar] [CrossRef]
- Pešić, M.; Fengler, F.P.G.; Larcher, L.; Padovani, A.; Schenk, T.; Grimley, E.D.; Sang, X.; LeBeau, J.M.; Slesazeck, S.; Schroeder, U. Physical mechanisms behind the field-cycling behavior of HfO2-based ferroelectric capacitors. Adv. Funct. Mater. 2016, 26, 4601–4612. [Google Scholar] [CrossRef]
- Ni, K.; Chakraborty, W.; Smith, J.; Grisafe, B.; Datta, S. Fundamental understanding and control of device-to-device variation in deeply scaled ferroelectric FETs. In Proceedings of the 2019 Symposium on VLSI Technology, Kyoto, Japan, 9–14 June 2019; pp. T40–T41. [Google Scholar]
- Hoffmann, M.; Schroeder, U.; Schenk, T.; Shimizu, T.; Funakubo, H.; Sakata, O.; Pohl, D.; Drescher, M.; Adelmann, C.; Materlik, R. Stabilizing the ferroelectric phase in doped hafnium oxide. J. Appl. Phys. 2015, 118, 072006. [Google Scholar] [CrossRef]
- Wasa, K.; Hayakawa, S. Handbook of Sputter Deposition Technology; Noyes Publications: New York, NY, USA, 1992. [Google Scholar]
- Olsen, T.; Schröder, U.; Müller, S.; Krause, A.; Martin, D.; Singh, A.; Müller, J.; Geidel, M.; Mikolajick, T. Co-sputtering yttrium into hafnium oxide thin films to produce ferroelectric properties. Appl. Phys. Lett. 2012, 101, 082905. [Google Scholar] [CrossRef]
- Xu, L.; Nishimura, T.; Shibayama, S.; Yajima, T.; Migita, S.; Toriumi, A. Kinetic pathway of the ferroelectric phase formation in doped HfO2 films. J. Appl. Phys. 2017, 122, 124104. [Google Scholar] [CrossRef]
- Mittmann, T.; Materano, M.; Lomenzo, P.D.; Park, M.H.; Stolichnov, I.; Cavalieri, M.; Zhou, C.; Chung, C.C.; Jones, J.L.; Szyjka, T. Origin of ferroelectric phase in undoped HfO2 films deposited by sputtering. Adv. Mater. Interfaces 2019, 6, 1900042. [Google Scholar] [CrossRef] [Green Version]
- Kim, K.; Park, M.; Kim, H.; Kim, Y.; Moon, T.; Lee, Y.; Hyun, S.; Gwon, T.; Hwang, C. Ferroelectricity in undoped-HfO2 thin films induced by deposition temperature control during atomic layer deposition. J. Mater. Chem. C 2016, 4, 6864–6872. [Google Scholar] [CrossRef]
- Park, M.H.; Lee, D.H.; Yang, K.; Park, J.-Y.; Yu, G.T.; Park, H.W.; Materano, M.; Mittmann, T.; Lomenzo, P.D.; Mikolajick, T. Review of defect chemistry in fluorite-structure ferroelectrics for future electronic devices. J. Mater. Chem. C 2020, 8, 10526–10550. [Google Scholar] [CrossRef]
- Liang, H.; Zhang, B.; Guo, Y.; Guo, X.; Ren, S.; Li, Y.; Lu, Y.; Lang, R. New approach for fabrication of annealing-free ferroelectric HfO2-based films at room temperature. Ceram. Int. 2021, 47, 27843–27848. [Google Scholar] [CrossRef]
- Mimura, T.; Shimizu, T.; Uchida, H.; Funakubo, H. Room-temperature deposition of ferroelectric HfO2-based films by the sputtering method. Appl. Phys. Lett. 2020, 116, 062901. [Google Scholar] [CrossRef]
- Eason, R. Pulsed Laser Deposition of Thin Films: Applications-Led Growth of Functional Materials; John Wiley & Sons: Hoboken, NJ, USA, 2007. [Google Scholar]
- Lyu, J.; Song, T.; Fina, I.; Sánchez, F. High polarization, endurance and retention in sub-5 nm Hf0.5Zr0.5O2 films. Nanoscale 2020, 12, 11280–11287. [Google Scholar] [CrossRef]
- Shimizu, T.; Katayama, K.; Kiguchi, T.; Akama, A.; Konno, T.J.; Funakubo, H. Growth of epitaxial orthorhombic YO1.5-substituted HfO2 thin film. Appl. Phys. Lett. 2015, 107, 032910. [Google Scholar] [CrossRef]
- Wang, B.; Leonardi, M.J.; Huang, W.; Chen, Y.; Zeng, L.; Eckstein, B.J.; Marks, T.J.; Facchetti, A. Marked cofuel tuning of combustion synthesis pathways for metal oxide semiconductor films. Adv. Electron. Mater. 2019, 5, 1900540. [Google Scholar] [CrossRef]
- Yoong, H.Y.; Wu, H.; Zhao, J.; Wang, H.; Guo, R.; Xiao, J.; Zhang, B.; Yang, P.; Pennycook, S.J.; Deng, N. Epitaxial Ferroelectric Hf0.5Zr0.5O2 Thin Films and Their Implementations in Memristors for Brain-Inspired Computing. Adv. Funct. Mater. 2018, 28, 1806037. [Google Scholar] [CrossRef]
- Hench, L.L.; West, J.K. The sol-gel process. Chem. Rev. 1990, 90, 33–72. [Google Scholar] [CrossRef]
- Vest, R.W. Metallo-organic decomposition (MOD) processing of ferroelectric and electro-optic films: A review. Ferroelectrics 1990, 102, 53–68. [Google Scholar] [CrossRef]
- Abe, C.; Nakayama, S.; Shiokawa, M.; Kawashima, H.; Katayama, K.; Shiraishi, T.; Shimizu, T.; Funakubo, H.; Uchida, H. Crystal structure and dielectric/ferroelectric properties of CSD-derived HfO2-ZrO2 solid solution films. Ceram. Int. 2017, 43, S501–S505. [Google Scholar] [CrossRef]
- Chen, H.; Chen, Y.; Tang, L.; Luo, H.; Zhou, K.; Yuan, X.; Zhang, D. Obvious ferroelectricity in undoped HfO2 films by chemical solution deposition. J. Mater. Chem. C 2020, 8, 2820–2826. [Google Scholar] [CrossRef]
- Hasan, M.M.; Ahn, C.W.; Kim, T.H.; Jang, J. Solution processed high performance ferroelectric Hf0.5Zr0.5O2 thin film transistor on glass substrate. Appl. Phys. Lett. 2021, 118, 152901. [Google Scholar] [CrossRef]
- Kim, S.; Hong, J. Ferroelectricity in ultrathin yttrium-doped hafnium oxide films prepared by chemical solution deposition based on metal chlorides and alcohol. Ceram. Int. 2017, 43, S158–S161. [Google Scholar] [CrossRef]
- Miyasako, T.; Tokumitsu, E. Indium oxide and indium-tin-oxide channel ferroelectric gate thin film transistors with yttrium doped hafnium-zirconium dioxide gate insulator prepared by chemical solution process. Jpn. J. Appl. Phys. 2021, 60, SBBM02. [Google Scholar]
- Murakami, T.; Haga, K.-i.; Tokumitsu, E. Impact of annealing environment on electrical properties of yttrium-doped hafnium zirconium dioxide thin films prepared by the solution process. Jpn. J. Appl. Phys. 2020, 59, SPPB03. [Google Scholar]
- Nakayama, S.; Funakubo, H.; Uchida, H. Crystallization behavior and ferroelectric property of HfO2–ZrO2 films fabricated by chemical solution deposition. Jpn. J. Appl. Phys. 2018, 57, 11UF06. [Google Scholar] [CrossRef]
- Pujar, P.; Cho, H.; Gandla, S.; Naqi, M.; Hong, S.; Kim, S. Sub-Thermionic Negative Capacitance Field Effect Transistors with Solution Combustion-Derived Hf0.5Zr0.5O2. Adv. Funct. Mater. 2021, 31, 2103748. [Google Scholar] [CrossRef]
- Starschich, S.; Boettger, U. An extensive study of the influence of dopants on the ferroelectric properties of HfO2. J. Mater. Chem. C 2017, 5, 333–338. [Google Scholar] [CrossRef]
- Starschich, S.; Griesche, D.; Schneller, T.; Böttger, U. Chemical solution deposition of ferroelectric hafnium oxide for future lead free ferroelectric devices. ECS J. Solid State Sci. Technol. 2015, 4, P419–P423. [Google Scholar] [CrossRef]
- Starschich, S.; Griesche, D.; Schneller, T.; Waser, R.; Böttger, U. Chemical solution deposition of ferroelectric yttrium-doped hafnium oxide films on platinum electrodes. Appl. Phys. Lett. 2014, 104, 202903. [Google Scholar] [CrossRef] [Green Version]
- Wang, J.; Zhou, D.; Dong, W.; Yao, Y.; Sun, N.; Ali, F.; Hou, X.; Liu, F. Optimizing Annealing Process for Ferroelectric Y-Doped HfO2 Thin Films by All-Inorganic Aqueous Precursor Solution. Adv. Electron. Mater. 2021, 7, 2000585. [Google Scholar] [CrossRef]
- Wei, A.; Chen, C.; Tang, L.; Zhou, K.; Zhang, D. Chemical solution deposition of ferroelectric Sr: HfO2 film from inorganic salt precursors. J. Alloy. Compd. 2018, 731, 546–553. [Google Scholar] [CrossRef]
- Bretos, I.; Jiménez, R.; Ricote, J.; Calzada, M.L. Low-temperature crystallization of solution-derived metal oxide thin films assisted by chemical processes. Chem. Soc. Rev. 2018, 47, 291–308. [Google Scholar] [CrossRef] [Green Version]
- Das, D.; Buyantogtokh, B.; Gaddam, V.; Jeon, S. Influence of High-Pressure Annealing Conditions on Ferroelectric and Interfacial Properties of Zr-Rich HfₓZr₁₋ ₓO₂Capacitors. IEEE Trans. Electron Devices 2021, 68, 1996–2002. [Google Scholar] [CrossRef]
- Lee, Y.H.; Hyun, S.D.; Kim, H.J.; Kim, J.S.; Yoo, C.; Moon, T.; Kim, K.D.; Park, H.W.; Lee, Y.B.; Kim, B.S. Nucleation-Limited Ferroelectric Orthorhombic Phase Formation in Hf0.5Zr0.5O2 Thin Films. Adv. Electron. Mater. 2019, 5, 1800436. [Google Scholar] [CrossRef]
- Lehninger, D.; Olivo, R.; Ali, T.; Lederer, M.; Kämpfe, T.; Mart, C.; Biedermann, K.; Kühnel, K.; Roy, L.; Kalkani, M. Back-End-of-Line Compatible Low-Temperature Furnace Anneal for Ferroelectric Hafnium Zirconium Oxide Formation. Phys. Status Solidi (A) 2020, 217, 1900840. [Google Scholar] [CrossRef] [Green Version]
- Yu, H.; Chung, C.C.; Shewmon, N.; Ho, S.; Carpenter, J.H.; Larrabee, R.; Sun, T.; Jones, J.L.; Ade, H.; O’Connor, B.T. Flexible inorganic ferroelectric thin films for nonvolatile memory devices. Adv. Funct. Mater. 2017, 27, 1700461. [Google Scholar] [CrossRef]
- O’Connor, É.; Halter, M.; Eltes, F.; Sousa, M.; Kellock, A.; Abel, S.; Fompeyrine, J. Stabilization of ferroelectric HfxZr1-xO2 films using a millisecond flash lamp annealing technique. APL Mater. 2018, 6, 121103. [Google Scholar] [CrossRef] [Green Version]
- Grenouillet, L.; Francois, T.; Coignus, J.; Kerdilès, S.; Vaxelaire, N.; Carabasse, C.; Mehmood, F.; Chevalliez, S.; Pellissier, C.; Triozon, F. Nanosecond Laser Anneal (NLA) for Si-implanted HfO2 Ferroelectric Memories Integrated in Back-End of Line (BEOL). In Proceedings of the 2020 IEEE Symposium on VLSI Technology, Honolulu, HI, USA, 16–19 June 2020; pp. 1–2. [Google Scholar]
- Volodina, N.; Dmitriyeva, A.; Chouprik, A.; Gatskevich, E.; Zenkevich, A. Ferroelectric Hf0.5Zr0.5O2 Thin Films Crystallized by Pulsed Laser Annealing. Phys. Status Solidi Rapid Res. Lett. 2021, 15, 2100082. [Google Scholar] [CrossRef]
- Hsain, H.A.; Sharma, P.; Yu, H.; Jones, J.L.; So, F.; Seidel, J. Enhanced piezoelectricity of thin film hafnia-zirconia (HZO) by inorganic flexible substrates. Appl. Phys. Lett. 2018, 113, 022905. [Google Scholar] [CrossRef]
- Liu, H.; Lu, T.; Li, Y.; Ju, Z.; Zhao, R.; Li, J.; Shao, M.; Zhang, H.; Liang, R.; Wang, X.R. Flexible Quasi-van der Waals Ferroelectric Hafnium-Based Oxide for Integrated High-Performance Nonvolatile Memory. Adv. Sci. 2020, 7, 2001266. [Google Scholar] [CrossRef]
- Joh, H.; Anoop, G.; Lee, W.-J.; Das, D.; Lee, J.Y.; Kim, T.Y.; Kim, H.; Seol, W.; Yeom, J.; Jeon, S. Low-Temperature Growth of Ferroelectric Hf0.5Zr0.5O2 Thin Films Assisted by Deep Ultraviolet Light Irradiation. ACS Appl. Electron. Mater. 2021, 3, 1244–1251. [Google Scholar] [CrossRef]
- Gaddam, V.; Das, D.; Jung, T.; Jeon, S. Ferroelectricity Enhancement in Hf0.5Zr0.5O2 Based Tri-Layer Capacitors at Low-Temperature (350 °C) Annealing Process. IEEE Electron Device Lett. 2021, 42, 812–815. [Google Scholar] [CrossRef]
- Hur, J.; Luo, Y.-C.; Tasneem, N.; Khan, A.I.; Yu, S. Ferroelectric Hafnium Zirconium Oxide Compatible With Back-End-of-Line Process. IEEE Trans. Electron Devices 2021, 68, 3176–3180. [Google Scholar] [CrossRef]
- Kim, S.; Narayan, D.; Lee, J.-G.; Mohan, J.; Lee, J.S.; Lee, J.; Young, C.; Kim, J.; Summerfelt, S.; San, T.; et al. Low Temperature (400 °C) Ferroelectric Hf0.5Zr0.5O2 Capacitors for Next-Generation FRAM Applications. In Proceedings of the 2017 IEEE International Memory Workshop, Monterey, CA, USA, 14–17 May 2017; pp. 1–4. [Google Scholar]
- Muller, J.; Boscke, T.S.; Schroder, U.; Mueller, S.; Brauhaus, D.; Bottger, U.; Frey, L.; Mikolajick, T. Ferroelectricity in simple binary ZrO2 and HfO2. Nano Lett. 2012, 12, 4318–4323. [Google Scholar] [CrossRef]
- Zhou, D.; Guan, Y.; Vopson, M.; Xu, J.; Liang, H.; Cao, F.; Dong, X.; Mueller, J.; Schenk, T.; Schroeder, U. Electric field and temperature scaling of polarization reversal in silicon doped hafnium oxide ferroelectric thin films. Acta Mater. 2015, 99, 240–246. [Google Scholar] [CrossRef] [Green Version]
- Guethner, P.; Dransfeld, K. Local poling of ferroelectric polymers by scanning force microscopy. Appl. Phys. Lett. 1992, 61, 1137–1139. [Google Scholar] [CrossRef]
- Cheema, S.S.; Kwon, D.; Shanker, N.; Dos Reis, R.; Hsu, S.-L.; Xiao, J.; Zhang, H.; Wagner, R.; Datar, A.; McCarter, M.R. Enhanced ferroelectricity in ultrathin films grown directly on silicon. Nature 2020, 580, 478–482. [Google Scholar] [CrossRef]
- Park, M.H.; Chung, C.-C.; Schenk, T.; Richter, C.; Opsomer, K.; Detavernier, C.; Adelmann, C.; Jones, J.L.; Mikolajick, T.; Schroeder, U. Effect of Annealing Ferroelectric HfO2 Thin Films: In Situ, High Temperature X-Ray Diffraction. Adv. Electron. Mater. 2018, 4, 1800091. [Google Scholar] [CrossRef]
- Fields, S.S.; Smith, S.W.; Ryan, P.J.; Jaszewski, S.T.; Brummel, I.A.; Salanova, A.; Esteves, G.; Wolfley, S.L.; Henry, M.D.; Davids, P.S. Phase-Exchange-Driven Wake-Up and Fatigue in Ferroelectric Hafnium Zirconium Oxide Films. ACS Appl. Mater. Interfaces 2020, 12, 26577–26585. [Google Scholar] [CrossRef]
- Grimley, E.; Schenk, T.; Sang, X.; Pfaj, M.; Schroeder, U.; Mikolajick, T.; Lebeau, J. Structural Changes Underlying Field Cycling Phenomena in Ferroelectric HfO2 Thin Films. Adv. Electron. Mater. 2016, 2, 1600173. [Google Scholar] [CrossRef]
- Sang, X.; Grimley, E.; Schenk, T.; Schroeder, U.; Lebeau, J. On the structural origins of ferroelectricity in HfO2 thin films. Appl. Phys. Lett. 2015, 106, 162905. [Google Scholar] [CrossRef]
- Khan, A.I.; Keshavarzi, A.; Datta, S. The future of ferroelectric field-effect transistor technology. Nat. Electron. 2020, 3, 588–597. [Google Scholar] [CrossRef]
- Devonshire, A.F. XCVI. Theory of barium titanate. Philos. Mag. Ser. 1949, 40, 1040–1063. [Google Scholar] [CrossRef]
- Landau, L.D.; Khalatnikov, I.M. On the anomalous absorption of sound near a second order phase transition point. Dokl. Akad. Nauk. SSSR 1954, 96, 469–472. [Google Scholar]
- Salahuddin, S.; Datta, S. Use of negative capacitance to provide voltage amplification for low power nanoscale devices. Nano Lett. 2008, 82, 405–410. [Google Scholar] [CrossRef] [PubMed]
- Saeidi, A.; Jazaeri, F.; Stolichnov, I.; Enz, C.C.; Ionescu, A.M. Negative capacitance as universal digital and analog performance booster for complementary MOS transistors. Sci. Rep. 2019, 9, 9105. [Google Scholar] [CrossRef] [Green Version]
- Chatterjee, K.; Rosner, A.J.; Salahuddin, S. Intrinsic speed limit of negative capacitance transistors. IEEE Electron Device Lett. 2017, 38, 1328–1330. [Google Scholar] [CrossRef]
- Cheng, C.-H.; Chin, A. Low-Voltage Steep Turn-On pMOSFET Using Ferroelectric High- κ Gate Dielectric. IEEE Electron Device Lett. 2014, 35, 274–276. [Google Scholar] [CrossRef]
- Kwon, D.; Chatterjee, K.; Tan, A.J.; Yadav, A.K.; Zhou, H.; Sachid, A.B.; Dos Reis, R.; Hu, C.; Salahuddin, S. Improved subthreshold swing and short channel effect in FDSOI n-channel negative capacitance field effect transistors. IEEE Electron Device Lett. 2017, 39, 300–303. [Google Scholar] [CrossRef]
- McGuire, F.A.; Lin, Y.-C.; Price, K.; Rayner, G.B.; Khandelwal, S.; Salahuddin, S.; Franklin, A.D. Sustained sub-60 mV/decade switching via the negative capacitance effect in MoS2 transistors. Nano Lett. 2017, 17, 4801–4806. [Google Scholar] [CrossRef]
- Si, M.; Su, C.; Jiang, C.; Conrad, N.; Zhou, H.; Maize, K.; Qiu, G.; Wu, C.; Shakouri, A.; Alam, M.; et al. Steep-slope hysteresis-free negative capacitance MoS2 transistors. Nat. Nanotechnol. 2017, 13, 24–28. [Google Scholar] [CrossRef] [Green Version]
- Zhang, Z.; Xu, G.; Zhang, Q.; Hou, Z.; Li, J.; Kong, Z.; Zhang, Y.; Xiang, J.; Xu, Q.; Wu, Z.; et al. FinFET With Improved Subthreshold Swing and Drain Current Using 3-nm Ferroelectric Hf0.5Zr0.5O2. IEEE Electron Device Lett. 2019, 40, 367–370. [Google Scholar] [CrossRef]
- Krivokapic, Z.; Rana, U.; Galatage, R.; Razavieh, A.; Aziz, A.; Liu, J.; Shi, J.; Kim, H.; Sporer, R.; Serrao, C. 14nm ferroelectric FinFET technology with steep subthreshold slope for ultra low power applications. In Proceedings of the 2017 IEEE International Electron Devices Meeting, San Francisco, CA, USA, 2–6 December 2017; pp. 15.1.1–15.1.4. [Google Scholar]
- Lee, M.; Chen, K.-T.; Liao, C.-Y.; Gu, S.-S.; Siang, G.-Y.; Chou, Y.-C.; Chen, H.-Y.; Le, J.; Hong, R.-C.; Wang, Z.-Y. Extremely steep switch of negative-capacitance nanosheet GAA-FETs and FinFETs. In Proceedings of the 2018 IEEE International Electron Devices Meeting, San Francisco, CA, USA, 1–5 December 2018; pp. 31.8.1–31.8.4. [Google Scholar]
- Buck, D.A. Ferroelectrics for Digital Information Storage and Switching; Massachusetts Institute of Technology Cambridge Digital Computer Lab: Cambridge, MA, USA, 1952. [Google Scholar]
- Jung, D.; Ahn, W.; Hong, Y.; Kim, H.; Kang, Y.; Kang, J.; Lee, E.; Ko, H.; Kim, S.; Jung, W. An endurance-free ferroelectric random access memory as a non-volatile RAM. In Proceedings of the 2008 Symposium on VLSI Technology, Honolulu, HI, USA, 17–19 June 2008; pp. 102–103. [Google Scholar]
- Chernikova, A.G.; Kozodaev, M.G.; Negrov, D.V.; Korostylev, E.V.; Park, M.H.; Schroeder, U.; Hwang, C.S.; Markeev, A.M. Improved ferroelectric switching endurance of La-doped Hf0.5Zr0.5O2 thin films. ACS Appl. Mater. Interfaces 2018, 10, 2701–2708. [Google Scholar] [CrossRef] [PubMed]
- Kozodaev, M.G.; Chernikova, A.G.; Korostylev, E.V.; Park, M.H.; Khakimov, R.R.; Hwang, C.S.; Markeev, A.M. Mitigating wakeup effect and improving endurance of ferroelectric HfO2-ZrO2 thin films by careful La-doping. J. Appl. Phys. 2019, 125, 034101. [Google Scholar] [CrossRef]
- Muller, J.; Boscke, T.; Muller, S.; Yurchuk, E.; Polakowski, P.; Paul, J.; Martin, D.; Schenk, T.; Khullar, K.; Kersch, A.; et al. Ferroelectric hafnium oxide: A CMOS-compatible and highly scalable approach to future ferroelectric memories. In Proceedings of the 2013 IEEE International Electron Devices Meeting, Washington, DC, USA, 9–11 December 2013; pp. 10.8.1–10.8.4. [Google Scholar]
- Chanthbouala, A.; Crassous, A.; Garcia, V.; Bouzehouane, K.; Fusil, S.; Moya, X.; Allibe, J.; Dlubak, B.; Grollier, J.; Xavier, S. Solid-state memories based on ferroelectric tunnel junctions. Nat. Nanotechnol. 2012, 7, 101–104. [Google Scholar] [CrossRef] [PubMed]
- Esaki, A.L.; Laibowitz, R.; Stiles, P. Polar switch. IBM Tech. Discl. Bull 1971, 13, 114. [Google Scholar]
- Junquera, J.; Ghosez, P. Critical thickness for ferroelectricity in perovskite ultrathin films. Nature 2003, 422, 506–509. [Google Scholar] [CrossRef] [PubMed]
- Garcia, V.; Fusil, S.; Bouzehouane, K.; Enouz-Vedrenne, S.; Mathur, N.D.; Barthelemy, A.; Bibes, M. Giant tunnel electroresistance for non-destructive readout of ferroelectric states. Nature 2009, 460, 81–84. [Google Scholar] [CrossRef]
- Chen, L.; Wang, T.-Y.; Dai, Y.-W.; Cha, M.-Y.; Zhu, H.; Sun, Q.-Q.; Ding, S.-J.; Zhou, P.; Chua, L.; Zhang, D.W. Ultra-low power Hf0.5Zr0.5O2 based ferroelectric tunnel junction synapses for hardware neural network applications. Nanoscale 2018, 10, 15826–15833. [Google Scholar] [CrossRef]
- Ryu, H.; Wu, H.; Rao, F.; Zhu, W. Ferroelectric tunneling junctions based on aluminum oxide/zirconium-doped hafnium oxide for neuromorphic computing. Sci. Rep. 2019, 9, 20383. [Google Scholar] [CrossRef] [PubMed] [Green Version]
- Max, B.; Hoffmann, M.; Slesazeck, S.; Mikolajick, T. Ferroelectric tunnel junctions based on ferroelectric-dielectric Hf0. In 5Zr0.5.O2/A12O3 capacitor stacks. In Proceedings of the 2018 48th European Solid-State Device Research Conference (ESSDERC), Dresden, Germany, 3–6 September 2018; pp. 142–145. [Google Scholar]
- Looney, D.H. Semiconductive Translating Device. U.S. Patent 2,791,758, 7 May 1957. [Google Scholar]
- Moll, J.; Tarui, Y. A new solid state memory resistor. IEEE Trans. Electron Devices 1963, 10, 338. [Google Scholar] [CrossRef]
- Kahng, D.; Sze, S.M. A floating gate and its application to memory devices. Bell Syst. Tech. J. 1967, 46, 1288–1295. [Google Scholar] [CrossRef]
- Seo, M.; Kang, M.-H.; Jeon, S.-B.; Bae, H.; Hur, J.; Jang, B.C.; Yun, S.; Cho, S.; Kim, W.-K.; Kim, M.-S. First demonstration of a logic-process compatible junctionless ferroelectric FinFET synapse for neuromorphic applications. IEEE Electron Device Lett. 2018, 39, 1445–1448. [Google Scholar] [CrossRef]
- Mulaosmanovic, H.; Ocker, J.; Müller, S.; Noack, M.; Müller, J.; Polakowski, P.; Mikolajick, T.; Slesazeck, S. Novel ferroelectric FET based synapse for neuromorphic systems. In Proceedings of the 2017 Symposium on VLSI Technology, Kyoto, Japan, 5–8 June 2017; pp. T176–T177. [Google Scholar]
- Ali, T.; Polakowski, P.; Riedel, S.; Büttner, T.; Kämpfe, T.; Rudolph, M.; Pätzold, B.; Seidel, K.; Löhr, D.; Hoffmann, R. High endurance ferroelectric hafnium oxide-based FeFET memory without retention penalty. IEEE Trans. Electron Devices 2018, 65, 3769–3774. [Google Scholar] [CrossRef]
- Gong, N.; Ma, T.-P. A study of endurance issues in HfO2-based ferroelectric field effect transistors: Charge trapping and trap generation. IEEE Electron Device Lett. 2017, 39, 15–18. [Google Scholar] [CrossRef]
- Zeng, B.; Liao, M.; Liao, J.; Xiao, W.; Peng, Q.; Zheng, S.; Zhou, Y. Program/erase cycling degradation mechanism of HfO2-based FeFET memory devices. IEEE Electron Device Lett. 2019, 40, 710–713. [Google Scholar] [CrossRef]








| Type | FeRAM | FeFET | FTJ |
|---|---|---|---|
| Structure | ![]() | ![]() | ![]() |
| Electrical Characteristics | ![]() | ![]() | ![]() |
| Read | Destructive | Non-destructive | Non-destructive |
| Energy/bi | ~100 fJ | ~10 fJ | ~1 pJ |
| Endurance | >1012 | >1010 | >107 |
| Cell size | 30–40 F2 | 10–30 F2 | 4–8 F2 |
| Cell structure | 1 T–1 F | 1 T | 1 F |
Publisher’s Note: MDPI stays neutral with regard to jurisdictional claims in published maps and institutional affiliations. |
© 2021 by the authors. Licensee MDPI, Basel, Switzerland. This article is an open access article distributed under the terms and conditions of the Creative Commons Attribution (CC BY) license (https://creativecommons.org/licenses/by/4.0/).
Share and Cite
Song, C.-M.; Kwon, H.-J. Ferroelectrics Based on HfO2 Film. Electronics 2021, 10, 2759. https://doi.org/10.3390/electronics10222759
Song C-M, Kwon H-J. Ferroelectrics Based on HfO2 Film. Electronics. 2021; 10(22):2759. https://doi.org/10.3390/electronics10222759
Chicago/Turabian StyleSong, Chong-Myeong, and Hyuk-Jun Kwon. 2021. "Ferroelectrics Based on HfO2 Film" Electronics 10, no. 22: 2759. https://doi.org/10.3390/electronics10222759
APA StyleSong, C.-M., & Kwon, H.-J. (2021). Ferroelectrics Based on HfO2 Film. Electronics, 10(22), 2759. https://doi.org/10.3390/electronics10222759







