Single-Stage Wireless Battery Charging Circuit with Coupling Coefficient Prediction
Abstract
:1. Introduction
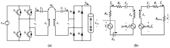
2. Single-Stage Wireless Battery Charging Circuit
2.1. Circuit Structure and Analysis of Equivalent Circuit
2.2. Anlaysis of Circuit for CC-CV Charging Mode
2.3. Coupling Coefficient Prediction Method and Control of CC-CV Charging Mode
- (1)
- If Vbat[n] < Vbat,cut, the circuit operates in the CC mode, otherwise the circuit terminates the charging operation.
- (2)
- To regulate the Ibat as ICC, fs is set to fo, and the PI controller compensates the phase αCC[n].
- (3)
- By using (18), kps,pd[n] is continuously updated to check the variation of coil alignment.
- (4)
- The algorithm repeats (2) and (3) until Vbat[n] = Vbat,cut.
- (5)
- At the instant of Vbat[n] = Vbat,cut, fCV is calculated based on the final updated kps,pd[n].
- (6)
- The CC mode is changed to the CV mode. The transition mode consists of two sequences; (a) The transferred power is decreased to zero by gradually increasing αCC[n] to π. (b) fs is set to fCV, and the circuit renews the CV mode.
- (7)
- To regulate the Vbat as VCV, the PI controller compensates the phase αCV[n].
- (8)
- If Ibat has tapper to Iend, the total charging operation for the battery pack is finished, otherwise it continuously operates the CV mode as in (7).
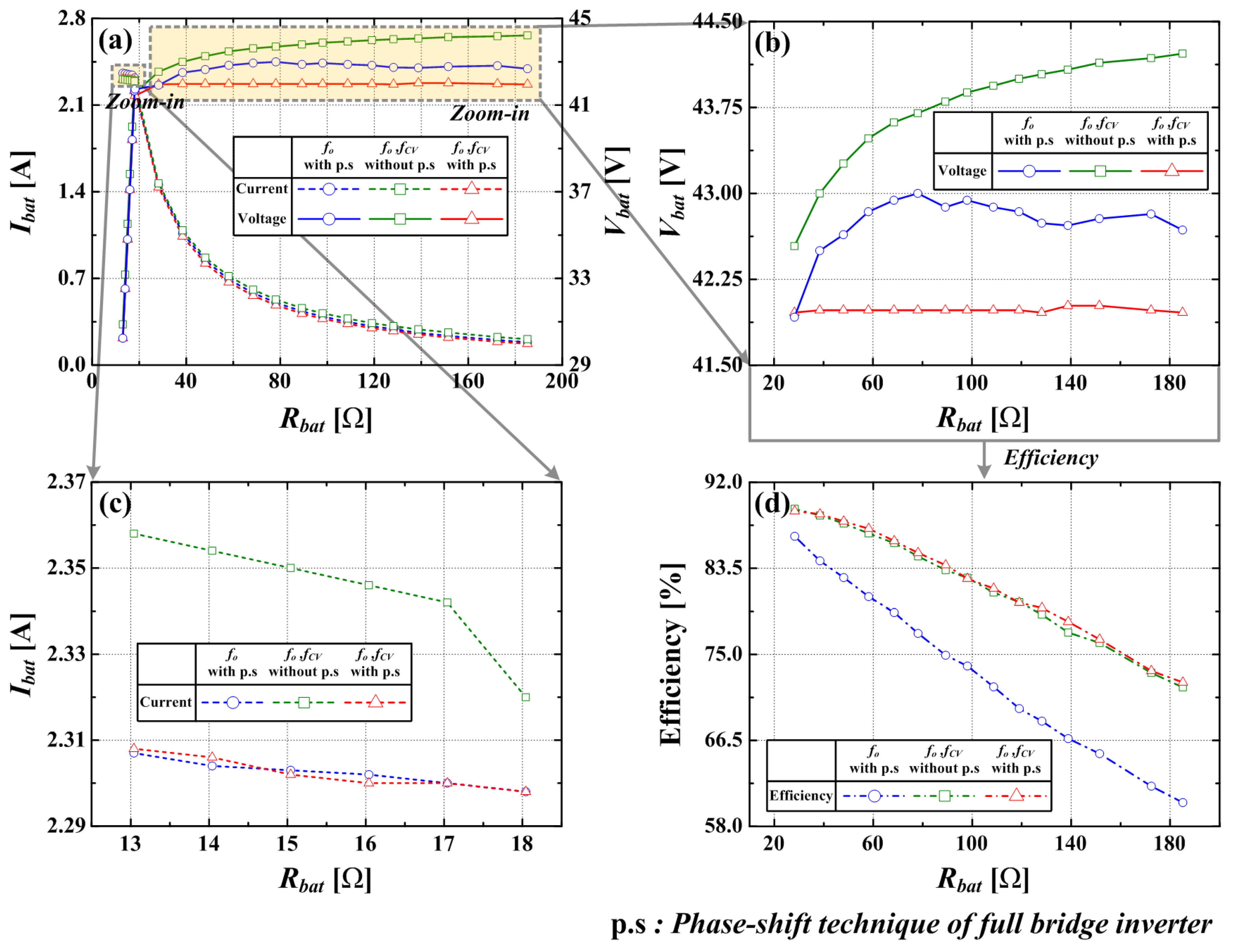
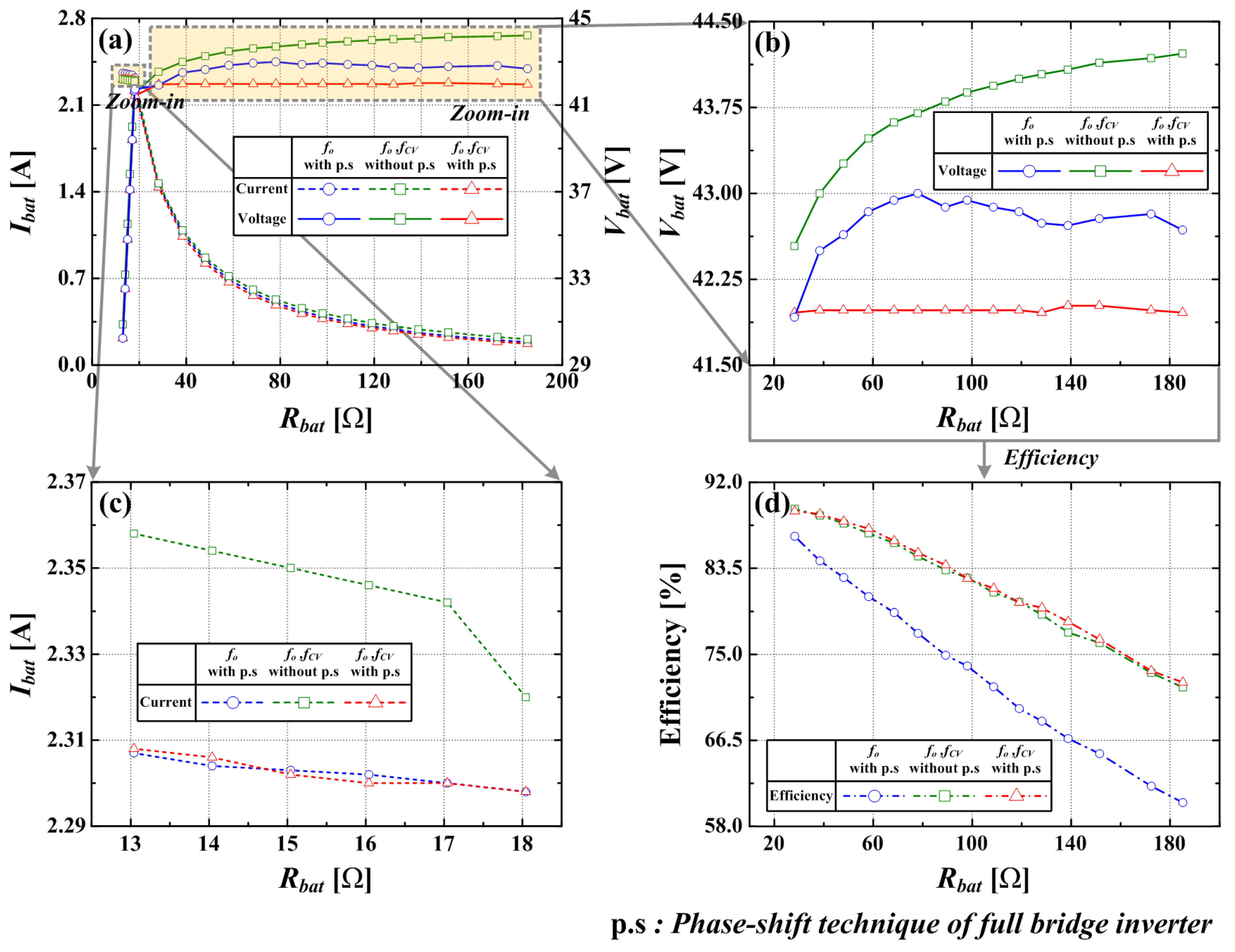
3. Experimental Results
4. Conclusions
Author Contributions
Funding
Conflicts of Interest
References
- Andrea, B.; Michele, B.; Alfio, D.G. A review of power management integrated circuits for ultra sound-based energy harvesting in implantable medical devices. Appl. Sci. 2021, 11, 2487. [Google Scholar]
- Andrea, B.; Alfio, D.; Gaetano., P. Charge pump improvement for energy harvesting applications by node pre-charging. IEEE Trans. 2020, 67, 3312–3316. [Google Scholar]
- Shin, J.; Shin, S.; Kim, Y.; Ahn, S.; Lee, S.; Jung, G.; Jeon, S.J.; Cho, D.H. Design and implementation of shaped magnetic-resonance-based wireless power transfer system for roadway-powered moving electric vehicles. IEEE Trans. Ind. Electron. 2015, 61, 1179–1192. [Google Scholar] [CrossRef]
- Kim, J.W.; Son, H.C.; Kim, D.H.; Park, Y.J. Optimal design of a wireless power transfer system with multiple self-resonators for an led tv. IEEE Trans. Consum. Electron. 2012, 58, 775–780. [Google Scholar] [CrossRef]
- Stielau, O.H.; Covic, G.A. Design of loosely coupled inductive power transfer systems. In Proceedings of the International Conference of Power System Technology, Perth, Australia, 4–7 December 2000; pp. 85–90. [Google Scholar]
- Wang, C.S.; Stielau, O.H.; Covic, G.A. Design considerations for a contactless electric vehicle battery charger. IEEE Trans. Ind. Electron. 2005, 52, 1308–1314. [Google Scholar] [CrossRef]
- Bosshard, R.; Kolar, J.W.; Mühlethaler, J.; Stevanović, I.; Wunsch, B.; Canales, F. Modeling and η-α-pareto optimization of inductive power transfer coils for electric vehicles. IEEE J. Emerg. Sel. Top. Power Electron. 2015, 3, 50–64. [Google Scholar] [CrossRef]
- Babaki, A.; Zadeh, S.V.; Zakerian, A. Performance optimization of dynamic wireless ev charger under varying driving conditions without resonant information. IEEE Trans. Veh. Tech. 2019, 68, 10429–10438. [Google Scholar] [CrossRef]
- Lee, Y.D.; Kim, D.M.; Kim, C.E.; Moon, G.W. A new receiver-side integrated regulator with phase shift control strategy for wireless power transfer system. In Proceedings of the IEEE PELS Workshop on Emerging Technologies, Seoul, Korea, 15–19 November 2020; pp. 112–115. [Google Scholar]
- Li, S.; Mi, C.C. Wireless power transfer for electric vehicle application. IEEE J. Emerg. Sel. Top. Power Electron. 2015, 3, 4–17. [Google Scholar]
- Covic, G.A.; Boys, J.T. Modern trends in inductive power transfer for transportation application. IEEE J. Emerg. Sel. Top. Power Electron. 2013, 1, 28–41. [Google Scholar] [CrossRef]
- Zheng, C.; Lai, J.S.; Chen, R.; Faraci, W.E.; Zahid, Z.U.; Gu, B.; Zhang, L.; Lisi, G.; Anderson, D. High efficiency contactless power transfer system for electric vehicle battery charging application. IEEE J. Emerg. Sel. Top. Power Electron. 2015, 3, 65–74. [Google Scholar] [CrossRef]
- Tran, D.H.; Vu, V.B.; Choi, W. Design of a high-efficiency wireless power transfer system with intermediate coils for the on-board chargers of electric vehicles. IEEE Trans. Power Electron. 2018, 33, 175–187. [Google Scholar] [CrossRef]
- Qu, X.; Han, H.; Wong, S.C.; Tse, C.K.; Chen, W. Hybrid IPT topologies with constant current or constant voltage output for battery charging applications. IEEE Trans. Power Electron. 2015, 30, 6329–6337. [Google Scholar] [CrossRef]
- Mai, R.; Chen, Y.; Li, Y.; Zhang, Y.; Cao, G.; He, Z. Inductive power transfer for massive electric bicycles charging based on hybrid topology switching with a single inverter. IEEE Trans. Power Electron. 2017, 32, 5897–5906. [Google Scholar] [CrossRef]
- Chen, Y.; Mai, R.; Zhang, Y.; He, Z. Inductive power transfer for electric bicycles charging based on variable compensation capacitor. In Proceedings of the IEEE Conference on Applied Power Electronics Conference and Exposition, Tampa, FL, USA, 26–30 March 2017; pp. 1389–1393. [Google Scholar]












| Symbol | Value/Model |
|---|---|
| Lp, Ls | 201.89 μH, 202.9 μH |
| Cp, Cs | 50.05 nF, 49.92 nF |
| Rin, Rp, Rs | 13 mΩ, 242 mΩ, 210 mΩ |
| S1–S4 | FDP075N15A |
| D1–D4 | 30ETH06 |
| Controller | TMS320F28335 |
| Alignment | Vbat [V] | kps | kps,pd (Error %) | Mps [μH] | Mps,pd [μH] (Error %) |
|---|---|---|---|---|---|
| x = 6 cm, y = 0 cm | 30 | 0.2479 | 0.2465 (0.5508) | 50.1795 | 49.8663 (0.6242) |
| 32 | 0.2463 (0.6211) | 49.9073 (0.5424) | |||
| 34 | 0.2464 (0.6077) | 49.9136 (0.5299) | |||
| 36 | 0.2467 (0.4744) | 49.9645 (0.4284) | |||
| 38 | 0.2467 (0.4880) | 49.9011 (0.5547) | |||
| 40 | 0.2468 (0.4256) | 49.9305 (0.4963) | |||
| 42 | 0.2469 (0.4070) | 49.9610 (0.4355) | |||
| x = 6 cm, y = 2 cm | 30 | 0.2402 | 0.2363 (1.6304) | 48.6187 | 47.7593 (1.7676) |
| 32 | 0.2359 (1.7761) | 47.7291 (1.8298) | |||
| 34 | 0.2359 (1.7835) | 47.7416 (1.8041) | |||
| 36 | 0.2360 (1.7497) | 47.7314 (1.8250) | |||
| 38 | 0.2357 (1.8512) | 47.7294 (1.8291) | |||
| 40 | 0.2359 (1.7823) | 47.7272 (1.8336) | |||
| 42 | 0.2359 (1.7939) | 47.7483 (1.7903) |
Publisher’s Note: MDPI stays neutral with regard to jurisdictional claims in published maps and institutional affiliations. |
© 2021 by the authors. Licensee MDPI, Basel, Switzerland. This article is an open access article distributed under the terms and conditions of the Creative Commons Attribution (CC BY) license (https://creativecommons.org/licenses/by/4.0/).
Share and Cite
Lee, S.-W.; Cho, Y.-K. Single-Stage Wireless Battery Charging Circuit with Coupling Coefficient Prediction. Electronics 2021, 10, 2615. https://doi.org/10.3390/electronics10212615
Lee S-W, Cho Y-K. Single-Stage Wireless Battery Charging Circuit with Coupling Coefficient Prediction. Electronics. 2021; 10(21):2615. https://doi.org/10.3390/electronics10212615
Chicago/Turabian StyleLee, Sang-Won, and Young-Kyun Cho. 2021. "Single-Stage Wireless Battery Charging Circuit with Coupling Coefficient Prediction" Electronics 10, no. 21: 2615. https://doi.org/10.3390/electronics10212615
APA StyleLee, S.-W., & Cho, Y.-K. (2021). Single-Stage Wireless Battery Charging Circuit with Coupling Coefficient Prediction. Electronics, 10(21), 2615. https://doi.org/10.3390/electronics10212615

