Constant Envelope Multiplexing of Multi-Carrier DSSS Signals Considering Sub-Carrier Frequency Constraint
Abstract
:1. Introduction
2. Constant Envelope Multiplexing Principles
3. Constant Envelope Multiplexing Based on Probability and Homogeneous Equations
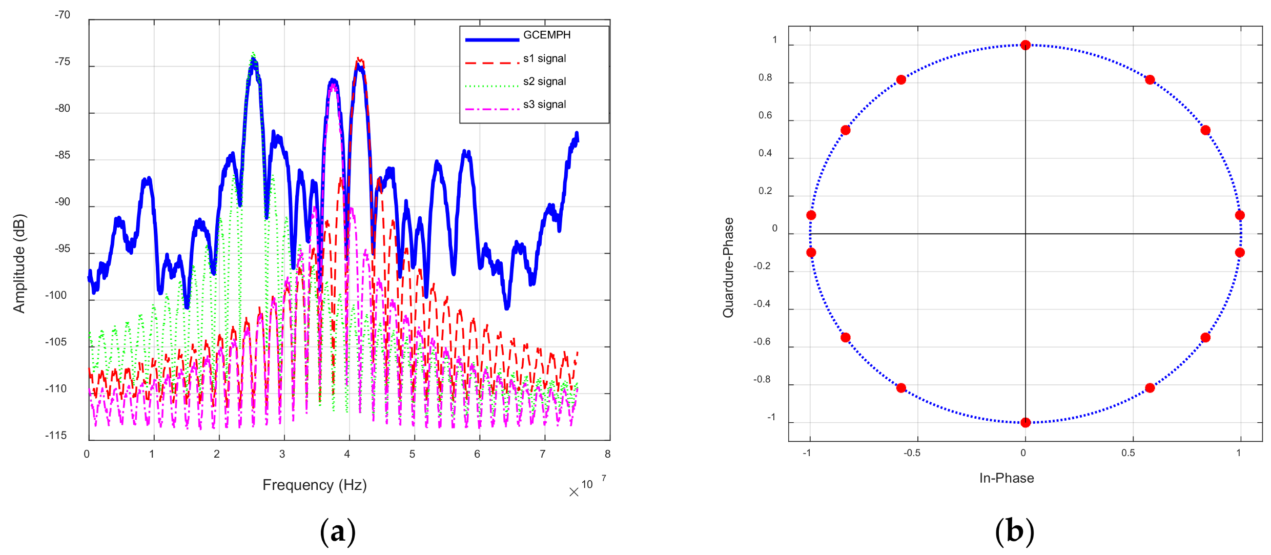
3.1. General Constuction Based on Probability and Homogeneous Equations
| Algorithm 1: General construction based on probability and homogeneous equations |
| Input: |
| Output: GCEMPH signal |
| 1 Determine the U valid sub-carrier states and H signal states according to the DSSS codes and sub-carriers; |
| 2 According to Equation (25), find the probability of each signal states |
| 3 According to homogeneous Equation (26) and orthogonal bases Equation (27) to find the H − N extra signals |
| 4 GCEMPH signal , where are the H − N unknowns; |
| 5 According to Equations (15) and (16), use the optimization algorithms such as Equation (17) to find |
3.2. Constuction Based on Probability and Homogeneous Equations without Sub-Carrier Interference
| Algorithm 2: Construction based on probability and homogeneous equations without sub-carrier interference |
| Input: |
| Output: CEMPHNSI signal |
| 1 Determine the baseband code states and the valid sub-carrier states U; |
| 2 Find the probability of each valid sub-carrier state |
| 3 According to homogeneous Equation (26) or Inter-modulation Equation (18) to find the extra signals |
| 4 According to Equations (29) and (30), find the coefficients of extra parts and signals by the optimization algorithm; |
| 5 CEMPHNSI signal: |
4. Constant Envelope Multiplexing of Three Different Frequency Signals
5. Multiplexing Signal Analysis
5.1. Receiving Correlation Results and Power Ratio
5.2. S-Curve Bias and Slope
5.3. Computational Complexity
6. Conclusions
Author Contributions
Funding
Data Availability Statement
Conflicts of Interest
References
- Dunn, M.J. Global Positioning Systems Directorate Systems Engineering & Integration, Interface Specification (IS-GPS-200), NAVSTAR GPS Space Segment/Navigation User Segment Interfaces; IRN-IS-200H; GPS Directorate: Los Angeles, CA, USA, 2014. [Google Scholar]
- European Union. European GNSS (Galileo) Open Service Signal in Space Interface Control Document (GAL OS SIS ICD), Issue 1.3; European Commission: Strateburgum, France, 2016. [Google Scholar]
- China Satellite Navigation Office. BeiDou Navigation Satellite System Signal in Space Interface Control Document Open Service Signal B2a, 1st ed.; China Satellite Navigation Office: Beijing, China, 2017. [Google Scholar]
- United Nations. Current and Planned Global and Regional Navigation Satellite Systems and Satellite-Based Augmentations Systems. In Proceedings of the International Committee on Global Navigation Satellite Systems Provider’s Forum, New York, NY, USA, 7 June 2010; pp. 35–40. [Google Scholar]
- Yuan, G.Y.; Gang, W.; Jun, X. Assessing impact of payload non-linear distortion on CBOC signal. Space Electron. Technol. 2014, 58–62. [Google Scholar] [CrossRef]
- Elliott, D.K.; Christopher, J.H. Understanding GPS Principles and Applications, 2nd ed.; Publishing House of Electronics Industry: Beijing, China, 2012; pp. 81–85. [Google Scholar]
- Butman, S.; Timor, U. Interplex: An effificient multichannel PSK/PM telemetry system. IEEE Trans. Commun. Technol. 1972, 20, 415–419. [Google Scholar] [CrossRef]
- Dafesh, P.A.; Nguyen, T.M.; Lazar, S. Coherent adaptive subcarrier modulation (CASM) for GPS modernization. In Proceedings of the 1999 National Technical Meeting of the Institute of Navigation, San Diego, CA, USA, 25–27 January 1999; pp. 649–660. [Google Scholar]
- Spilker, J.J.; Orr, R.S. Code multiplexing via majority logic for GPS modernization. In Proceedings of the 1th International Technical Meeting of the Satellite Division of the Institute of Navigation (ION GPS 1998), Nashville, TN, USA, 15–18 September 1998; pp. 265–273. [Google Scholar]
- Cangiani, G.L.; Orr, R.S.; Nguyen, C.Q. Methods and Apparatus for Generating a Constant-Envelope Composite Transmission Signal. U.S. Patent 7,154,962, 26 December 2006. [Google Scholar]
- Dafesh, P.A.; Cahn, C.R. Phase-optimized constant-envelope transmission (POCET) modulation method for GNSS signals. In Proceedings of the 22nd International Technical Meeting of the Satellite Division of the Institute of Navigation (ION GNSS 2009), Savannah, GA, USA, 22–25 September 2009; pp. 2860–2866. [Google Scholar]
- Zhang, K.; Zhou, H.; Wang, F. Unbalanced AltBOC: A Compass B1 candidate with generalized MPOCET technique. GPS Solut. 2013, 17, 153–164. [Google Scholar] [CrossRef]
- Zhang, X.; Zhang, X.; Yao, Z.; Lu, M. Implementations of constant envelope multiplexing based on extended Interplex and inter-modulation construction method. In Proceedings of the 25th International Technical Meeting of the Satellite Division of the Institute of Navigation (ION GNSS 2012), Nashville, TN, USA, 17–21 September 2012; pp. 893–900. [Google Scholar]
- Lestarquit, L.; Artaud, G.; Issler, J.L. AltBOC for dummies or everything you always wanted to know about AltBOC. In Proceedings of the 21st International Technical Meeting of the Satellite Division of the Institute of Navigation (ION GNSS 2008), Savannah, GA, USA, 16–19 September 2008; pp. 961–970. [Google Scholar]
- Nagaraj, C.S.; Andrew, G.D. The Galileo E5 AltBOC: Understanding the signal structure. International global navigation satellite systems. In Proceedings of the Society IGNSS Symposium, Holiday Inn Surfers Paradise, Gold Coast, QLD, Australia, 1–3 December 2009. [Google Scholar]
- Tang, Z.; Zhou, H.; Wei, J. TD-AltBOC: A new COMPASS B2 modulation. Sci. China Phys. Mech. Astron. 2011, 54, 1014–1021. [Google Scholar] [CrossRef]
- Yao, Z.; Zhang, J.; Lu, M. ACE-BOC: Dual-frequency constant envelope multiplexing for satellite navigation. IEEE Trans. Aerosp. Electron. Syst. 2016, 52, 466–485. [Google Scholar] [CrossRef]
- Dafesh, P.A.; Cahn, C.R. Application of POCET method to combine GNSS signals at different carrier frequencies. In Proceedings of the 2011 International Technical Meeting of the Institute of Navigation, San Diego, CA, USA, 21–26 January 2011; pp. 1201–1206. [Google Scholar]
- Yao, Z.; Guo, F.; Ma, J.; Lu, M. Orthogonality-based generalized multicarrier constant envelope multiplexing for DSSS signals. IEEE Trans. Aerosp. Electron. Syst. 2017, 53, 1685–1697. [Google Scholar] [CrossRef]
- Ma, J.; Yao, Z.; Lu, M. Multicarrier constant envelope multiplexing technique by subcarrier vectorization for new generation GNSS. IEEE Commun. Lett. 2019, 23, 991–994. [Google Scholar] [CrossRef]
- Soellner, M.; Kohl, R.; Luetke, W. The impact of linear and non-linear signal distortions on Galileo code tracking accuracy. Pac. J. Math. 2002, 162, 27–44. [Google Scholar]










| Different Situation | The Receiving Power Ratio |
|---|---|
| Design | |
| GCEMPH | |
| CEMIM | |
| CEMPHNSI |
| Multiplexing Method | The Number of Optimization Equations |
|---|---|
| CEMIM | 96 |
| GCEMPH | 32 |
| CEMPHNSI | 32 |
Publisher’s Note: MDPI stays neutral with regard to jurisdictional claims in published maps and institutional affiliations. |
© 2021 by the authors. Licensee MDPI, Basel, Switzerland. This article is an open access article distributed under the terms and conditions of the Creative Commons Attribution (CC BY) license (http://creativecommons.org/licenses/by/4.0/).
Share and Cite
Chen, X.; Lu, X.; Wang, X.; Ke, J.; Guo, X. Constant Envelope Multiplexing of Multi-Carrier DSSS Signals Considering Sub-Carrier Frequency Constraint. Electronics 2021, 10, 211. https://doi.org/10.3390/electronics10020211
Chen X, Lu X, Wang X, Ke J, Guo X. Constant Envelope Multiplexing of Multi-Carrier DSSS Signals Considering Sub-Carrier Frequency Constraint. Electronics. 2021; 10(2):211. https://doi.org/10.3390/electronics10020211
Chicago/Turabian StyleChen, Xiaofei, Xiaochun Lu, Xue Wang, Jing Ke, and Xia Guo. 2021. "Constant Envelope Multiplexing of Multi-Carrier DSSS Signals Considering Sub-Carrier Frequency Constraint" Electronics 10, no. 2: 211. https://doi.org/10.3390/electronics10020211
APA StyleChen, X., Lu, X., Wang, X., Ke, J., & Guo, X. (2021). Constant Envelope Multiplexing of Multi-Carrier DSSS Signals Considering Sub-Carrier Frequency Constraint. Electronics, 10(2), 211. https://doi.org/10.3390/electronics10020211

