Link and System-Level NOMA Simulator: The Reproducibility of Research
Abstract
:1. Introduction
- It can support both single carrier (SC) and the multi-carrier (MC) downlink NOMA system, which is based on orthogonal frequency division multiplexing (OFDM).
- Different forms of SIC are considered for downlink scenarios such as perfect SIC, symbol level SIC, code-word level SIC and iterative SIC.
- Generally, the trend followed by the research community is to focus on spectral efficiency as a performance metric to analyze the performance of any proposed techniques for SC and MC-NOMA based systems. However, the presented simulator provides an environment to evaluate the performance using different metrics in addition to the spectral efficiency, e.g., uncoded bit error rate (BER), coded BER and throughput.
- For system-level analysis, 7-cell and 19-cell scenarios are considered together with the wrap-around concept. Normally, NOMA-related publications only analyze two users; however, we also examine the effects of more than two users in a cell.
- Intercell interference is also considered for multicell scenarios.
2. The NOMA Link-Level Simulator
2.1. Structure of the NOMA Link-Level Simulator
2.2. Transmitter
- User pairing;
- Power allocation;
- Superposition coding.
2.3. Channel Models
- Additive white Gaussian channel (AWGN);
- Flat Rayleigh fading;
- Flat Rician fading.
2.4. Receiver Design
2.4.1. Perfect SIC
2.4.2. Symbol-Level SIC
2.4.3. Code-Word-Level SIC
2.4.4. Iterative SIC
2.4.5. Features and Considered Scenarios
3. The NOMA System-Level Simulator
3.1. Introduction to the NOMA System-Level Simulator
3.2. Structure of the NOMA System-Level Simulator
3.3. Features of the System-Level Simulator
3.3.1. Seven-Cell Scenario
3.3.2. Nineteen-Cell Scenario
3.3.3. Nineteen-Cell Scenario with Wrap around Effect
4. Coded MC-NOMA in the Presence of Non-Gaussian Channels
Structure of MC-NOMA
5. Verification of the NOMA Simulator
5.1. Exemplary Simulated Results
5.1.1. Channel Coding
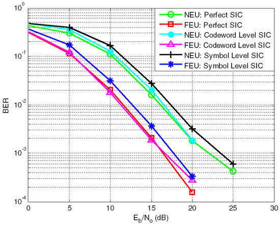
5.1.2. Bit Error Rate
5.1.3. Throughput Analysis
5.1.4. Ergodic Sum Rate
5.1.5. Inter-Cell Interference
6. Validation of the MC-NOMA Simulator
BER Analysis of Coded MC-NOMA
7. Conclusions
Author Contributions
Funding
Conflicts of Interest
Abbreviations
| AMC | Adaptive Modulation Coding |
| AWGN | Additive White Gaussian Noise |
| BS | Base Station |
| BER | Bit Error Rate |
| CQI | Channel quality indicator |
| CP | Cyclic Prefix |
| FEU | Far Equipment User |
| FDMA | Frequency division multiple access |
| FRA | Future radio access |
| INR | Interference Noise |
| IEU | Intermediate Equipment User |
| MUD | Multiuser detection |
| MC | Multi carrier |
| MPA | message passing algorithm |
| NOMA | Non-orthogonal multiple access |
| NEU | Near Equipment User |
| PMI | Pre-coding matrix indicator |
| PER | Packet Error Rate |
| QPSK | Quadrature phase-shift keying |
| QAM | Quadrature amplitude modulation |
| SC | Superposition coding |
| SINR | Signal-to-interference noise ratio |
| SIC | Successive Interference Cancellation |
| TDMA | Time division multiple access |
| UE | User equipment |
| WHT | Walsh Hadamard Transform |
References
- Khan, A.; Shin, S.Y. Wavelet OFDM-Based Non-Orthogonal Multiple Access Downlink Transceiver for Future Radio Access. IETE Tech. Rev. 2016, 35, 17–27. [Google Scholar] [CrossRef]
- Benjebbour, A.; Saito, K.; Li, A.; Kishiyama, Y.; Nakamura, T. Non-orthogonal multiple access (NOMA): Concept, performance evaluation and experimental trials. In Proceedings of the International Conference on Wireless Networks and Mobile Communications (WINCOM), Marrakech, Morocco, 20–23 October 2015; pp. 1–6. [Google Scholar]
- Eid, E.M.; Fouda, M.M.; Eldien, A.S.T.; Tantawy, M.M. Performance analysis of MUSA with different spreading codes using ordered SIC methods. In Proceedings of the 2017 12th International Conference on Computer Engineering and Systems (ICCES), Cairo, Egypt, 19–20 December 2017; pp. 101–106. [Google Scholar]
- Li, S.; Sun, C.; Jin, X. Research on PDMA Access Technology for 5G Communication. In Proceedings of the 2020 IEEE 20th International Conference on Communication Technology (ICCT), Nanning, China, 28–31 October 2020; pp. 519–523. [Google Scholar]
- Kurniawan, D.; Arifianto, M.S.; Kurniawan, A. Low Complexity MIMO-SCMA Detector. In Proceedings of the 2019 IEEE 5th International Conference on Wireless and Telematics (ICWT), Palembang, Indonesia, 27–28 July 2019; pp. 1–5. [Google Scholar]
- Wei, Z.; Zhu, X.; Sun, S.; Wang, J.; Hanzo, L. Energy-Efficient Full-Duplex Cooperative Nonorthogonal Multiple Access. IEEE Trans. Veh. Technol. 2018, 67, 10123–10128. [Google Scholar] [CrossRef] [Green Version]
- Zeng, H.; Zhu, X.; Jiang, Y.; Wei, Z.; Wang, T. A Green Coordinated Multi-Cell NOMA System With Fuzzy Logic Based Multi-Criterion User Mode Selection and Resource Allocation. IEEE J. Sel. Top. Signal Process. 2019, 13, 480–495. [Google Scholar] [CrossRef]
- Haci, H. Non-Orthogonal Multiple Access (NOMA) with Asynchronous Interference Cancellation. Ph.D. Thesis, University of Kent, Canterbury, UK, 2015. [Google Scholar]
- Buckheit, J.B.; Donoho, D.L. WaveLab and Reproducible Research. In Handbook of Wavelets and Statistics; Antoniadis, A., Oppenheim, G., Eds.; Springer: New York, NY, USA, 1995; Volume 103, pp. 1–55. [Google Scholar]
- Mehlführer, C.; Ikuno, J.C.; Šimko, M.; Schwarz, S.; Wrulich, M.; Rupp, M. The Vienna LTE simulators-Enabling reproducibility in wireless communications research. EURASIP J. Adv. Signal Process. 2011, 2011, 1–14. [Google Scholar] [CrossRef] [Green Version]
- Zochmann, E.; Schwarz, S.; Pratschner, S.; Nagel, L.; Lerch, M.; Rupp, M. Exploring the physical layer frontiers of cellular uplink: The Vienna LTE-A Uplink Simulator. EURASIP J. Wirel. Commun. Netw. 2016, 2016, 1–18. [Google Scholar] [CrossRef] [Green Version]
- Figueira, J.A.; Sebastião, P.; Cercas, F.; David, N. Modelling and Simulation for Real Scenarios of 4G Mobile Communications Using Google Maps. In Proceedings of the 2013 UKSim 15th International Conference on Computer Modelling and Simulation, Cambridge, UK, 10–12 April 2013; pp. 385–389. [Google Scholar]
- Available online: https://www.gl.com/telecom-test-solutions/4G-LTE-communication-network-lab.html (accessed on 8 September 2021).
- Ryu, W.J.; Shin, S.Y. Performance evaluation of a power allocation algorithm based on dynamic blocklength estimation for URLLC in the multicarrier downlink NOMA systems. Turk. J. Electr. Eng. Comput. Sci. 2021, 29, 310–320. [Google Scholar] [CrossRef]
- Hendraningrat, D.K.; Narottama, B.; Shin, S.Y. Non-orthogonal multiple access in downlink coordinated multipoint transmissions. Phys. Commun. 2020, 39, 101017. [Google Scholar] [CrossRef]
- Atmanspacher, H.; Lambert, L.B.; Folkers, G.; Schubiger, P.A. Relevance relations for the concept of reproducibility. J. R. Soc. Interface 2014, 11, 20131030. [Google Scholar] [CrossRef]
- Barni, M.; Perez-Gonzalez, F. Pushing science into signal processing. IEEE Signal Process. Mag. 2005, 22, 119–120. [Google Scholar] [CrossRef]
- Santiago, R.C.; Szydelko, M.; Kliks, A.; Foukalas, F.; Haddad, Y.; Nolan, K.E.; Kelly, M.Y.; Masonta, M.T.; Balasingham, I. 5G: The Convergence of Wireless Communications. Wirel. Pers. Commun. 2015, 83, 1617–1642. [Google Scholar] [CrossRef] [Green Version]
- Su, X.; Yu, H.; Kim, W.; Choi, C.; Choi, D. Interference cancellation for non-orthogonal multiple access used in future wireless mobile networks. Eurasip J. Wirel. Commun. Netw. 2016, 2016, 231. [Google Scholar] [CrossRef]
- Rupp, M.; Schwarz, S.; Taranetz, M. The Vienna LTE-Advanced Simulators: Up and Downlink, Link and System Level Simulation; Springer: Singapore, 2016. [Google Scholar]
- Vandewalle, P.; Kovačević, J.; Vetterli, M. Reproducible research in signal processing. IEEE Signal Process. Mag. 2009, 26, 37–47. [Google Scholar] [CrossRef] [Green Version]
- Khan, A.; Shin, S.Y. Linear Precoding Techniques for OFDM-Based NOMA over Frequency-Selective Fading Channels. IETE J. Res. 2017, 63, 536–551. [Google Scholar] [CrossRef]
- Usman, M.R.; Khan, A.; Usman, M.A.; Shin, S.Y. Performance Analysis of Perfect and Imperfect SIC for Downlink Non Orthogonal Multiple Access (NOMA). In Proceedings of the Korean Institute of Communications and Information Sciences, Denpasar, Indonesia, 6–8 October 2016; pp. 176–177. [Google Scholar]
- Al-Abbasi, Z.Q.; So, D.K.C. User-pairing based non-orthogonal multiple access (NOMA) system. In Proceedings of the IEEE 83rd Vehicular Technology Conference, Nanjing, China, 15–18 May 2016; pp. 1–5. [Google Scholar]
- Saito, Y.; Kishiyama, Y.; Benjebbour, A.; Nakamura, T.; Li, A.; Higuchi, K. Non-orthogonal multiple access (NOMA) for cellular future radio access. In Proceedings of the IEEE 77th Vehicular Technology Conference, Dresden, Germany, 2–5 June 2013; pp. 1–5. [Google Scholar]
- Abhay, M. Non-Orthogonal Multiple Access; Seminar Report; Government Engineering College: Thrissur, India, 2017. [Google Scholar] [CrossRef]
- Zheng, M.A.; Zhang, Z.Q.; Ding, Z.G.; Fan, P.Z.; Li, H.C. Key techniques for 5G wireless communications: Network architecture, physical layer, and MAC layer perspectives. Sci. China Inf. Soc. 2015, 58, 1–20. [Google Scholar]
- Yang, L.; Benjebboiu, A.; Chen, X.; Li, A.; Jiang, H. Considerations on downlink non-orthogonal multiple access (NOMA) combined with closed-loop SU-MIMO. In Proceedings of the 8th International Conference on Signal Processing and Communication Systems, Gold Coast, QLD, Australia, 15–17 December 2014; pp. 1–5. [Google Scholar]
- Yan, C.; Harada, A.; Benjebbour, A.; Lan, Y.; Li, A.; Jiang, H. Receiver Design for Downlink Non-Orthogonal Multiple Access (NOMA). In Proceedings of the IEEE 81st Vehicular Technology Conference, Glasgow, UK, 11–14 May 2015; pp. 1–6. [Google Scholar]
- Ding, Z.; Yang, Z.; Fan, P.; Poor, H.V. On the performance of non-orthogonal multiple access in 5G systems with randomly deployed users. IEEE Signal Process. Lett. 2014, 21, 1501–1505. [Google Scholar] [CrossRef] [Green Version]
- Zhan, Z.; Pang, Z.; Dzung, D.; Xiao, M. Channel Coding for High Performance Wireless Control in Critical Applications: Survey and Analysis. IEEE Access 2018, 6, 29648–29664. [Google Scholar] [CrossRef]
- Ding, Z.; Fan, P.; Poor, H.V. Impact of user pairing on 5G non-orthogonal multiple-access downlink transmissions. IEEE Trans. Veh. Technol. 2016, 65, 6010–6023. [Google Scholar] [CrossRef]
- Liu, F.; Mahonen, P.; Petrova, M. Proportional fairness- based user pairing and power allocation for non-orthogonal multiple access. In Proceedings of the IEEE 26th Annual International Symposium on Personal, Indoor and Mobile Radio Communications, Hong Kong, China, 30 August–2 September 2015; pp. 1127–1131. [Google Scholar]
- Ahmad, M.; Baig, S.; Asif, H.M.; Raahemifar, K. Mitigation of Imperfect Successive Interference Cancellation and Wavelet-Based Nonorthogonal Multiple Access in the 5G Multiuser Downlink Network. Wirel. Commun. Mob. Comput. 2021, 2021, 1–11. [Google Scholar] [CrossRef] [Green Version]
- IEEE802. 20 Evaluation Criteria Document. Available online: http://ieee802.org/20/Contribs/C802.20-03-94.pdf (accessed on 6 August 2021).
- Usman, M.R.; Usman, M.A.; Shin, S.Y.; Satrya, G.B.; Naqvi, R.A.; Martini, M.G.; Politis, C. Walsh–Hadamard Transform Based Non-Orthogonal Multiple Access (NOMA) and Interference Rejection Combining in Next-Generation HetNets. Mathematics 2021, 9, 348. [Google Scholar] [CrossRef]
- Osseiran, A.; Monserrat, J.F.; Marsch, P. 5G Mobile and Wireless Communications Technology; Cambridge University Press: Cambridge, UK, 2016. [Google Scholar]
- Khan, A.; Shin, S.Y. Linear precoded wavelet OFDM-based PLC system with overlap FDE for impulse noise mitigation. Int. J. Commun. Syst. 2017, 2017, e3349. [Google Scholar] [CrossRef]
- Wang, X.; Poor, H.V. Robust multi-user detection in non-Gaussian channels. IEEE Trans. Signal Process. 1999, 47, 289–305. [Google Scholar] [CrossRef]
- Usman, M.R.; Khan, A.; Usman, M.A.; Jang, Y.S.; Shin, S.Y. On the performance of perfect and imperfect SIC in downlink non orthogonal multiple access (NOMA). In Proceedings of the IEEE International Conference on Smart Green Technology in Electrical and Information Systems, Denpasar, Indonesia, 6–8 October 2016; pp. 102–106. [Google Scholar]
- Ouyang, X.; Jin, J.; Jin, G.; Li, P. Low complexity discrete hartley transform precoded OFDM system over frequency-selective fading channel. ETRI J. 2015, 37, 32–42. [Google Scholar] [CrossRef]
- Qu, L.; He, J.; Assi, C. Understanding the Benefits of Successive Interference Cancellation in Multi-Rate Multi-Hop Wireless Networks. IEEE Trans. Commun. 2014, 62, 2465–2477. [Google Scholar] [CrossRef]


















| Parameters | Value | Parameters | Values |
|---|---|---|---|
| Cells | Thermal noise | dBm/Hz | |
| Antenna Config. 1Tx, 2Rx | Intercell interference | One-tier, two-tier | |
| Cell Radius | 500 m | Channel Equalization | FDE-MMSE |
| Intersite distance | 1 km | Modulation scheme | BPSK, QPSK, 16QAM |
| Interuser interference | None | Power Allocation | = (0.1–0.3), = (0.9–0.7) |
| Noise | AWGN | Interference Cancellation | Perfect, Iterative |
| UEs/cell | Synchronization | ideal | |
| Multiplexed UEs/Cell | Channel Estimation | Ideal | |
| Carrier frequency | 2 GHz | Cyclic Prefix | 20% |
| System BW | 20 MHz | UE Noise | 9 dB |
| Parameter | Value |
|---|---|
| Intercell Interference (ICI), Inter user Interference (IUI) | None (Initially) |
| Intersite distance | 1 km |
| Inter user distance | 400 m, 300 m, 200 m |
| Cell Radius | 500 m |
| Distance between BS and FEU | 450 m, 400 m, 350 m |
| Distance between BS and NEU | 50 m, 100 m, 150 m |
| Cell No. | Distance between Users from Their Corresponding BS in Each Cell | Distance between Neighboring Cell Users and Center Cell BS |
|---|---|---|
| 1 | FEU: 450 m, NEU: 50 m | NEU: 1050 m, FEU: 950 m |
| 2 | FEU: 400 m, NEU: 100 m | NEU: 1000 m, FEU: 700 m |
| 3 | FEU: 350 m, NEU: 150 m | NEU: 950 m, FEU: 750 m |
| 4 | FEU: 450 m, NEU: 50 m | NEU: 950 m, FEU: 1100 m |
| 5 | FEU: 400 m, NEU: 100 m | NEU: 950 m, FEU: 1300 m |
| 6 | FEU: 350 m, NEU: 50 m | NEU: 1050 m, FEU: 1250 m |
Publisher’s Note: MDPI stays neutral with regard to jurisdictional claims in published maps and institutional affiliations. |
© 2021 by the authors. Licensee MDPI, Basel, Switzerland. This article is an open access article distributed under the terms and conditions of the Creative Commons Attribution (CC BY) license (https://creativecommons.org/licenses/by/4.0/).
Share and Cite
Khan, A.; Usman, M.A.; Usman, M.R.; Ahmad, M.; Shin, S.-Y. Link and System-Level NOMA Simulator: The Reproducibility of Research. Electronics 2021, 10, 2388. https://doi.org/10.3390/electronics10192388
Khan A, Usman MA, Usman MR, Ahmad M, Shin S-Y. Link and System-Level NOMA Simulator: The Reproducibility of Research. Electronics. 2021; 10(19):2388. https://doi.org/10.3390/electronics10192388
Chicago/Turabian StyleKhan, Arsla, Muhammad Arslan Usman, Muhammad Rehan Usman, Muneeb Ahmad, and Soo-Young Shin. 2021. "Link and System-Level NOMA Simulator: The Reproducibility of Research" Electronics 10, no. 19: 2388. https://doi.org/10.3390/electronics10192388
APA StyleKhan, A., Usman, M. A., Usman, M. R., Ahmad, M., & Shin, S.-Y. (2021). Link and System-Level NOMA Simulator: The Reproducibility of Research. Electronics, 10(19), 2388. https://doi.org/10.3390/electronics10192388

