Pre-Emphasis Pulse Design for Random-Access Memory
Abstract
:1. Introduction
2. Optimum Pre-Emphasis Pulse Design
2.1. Ideal Case with no Process Variation
2.2. Experiment
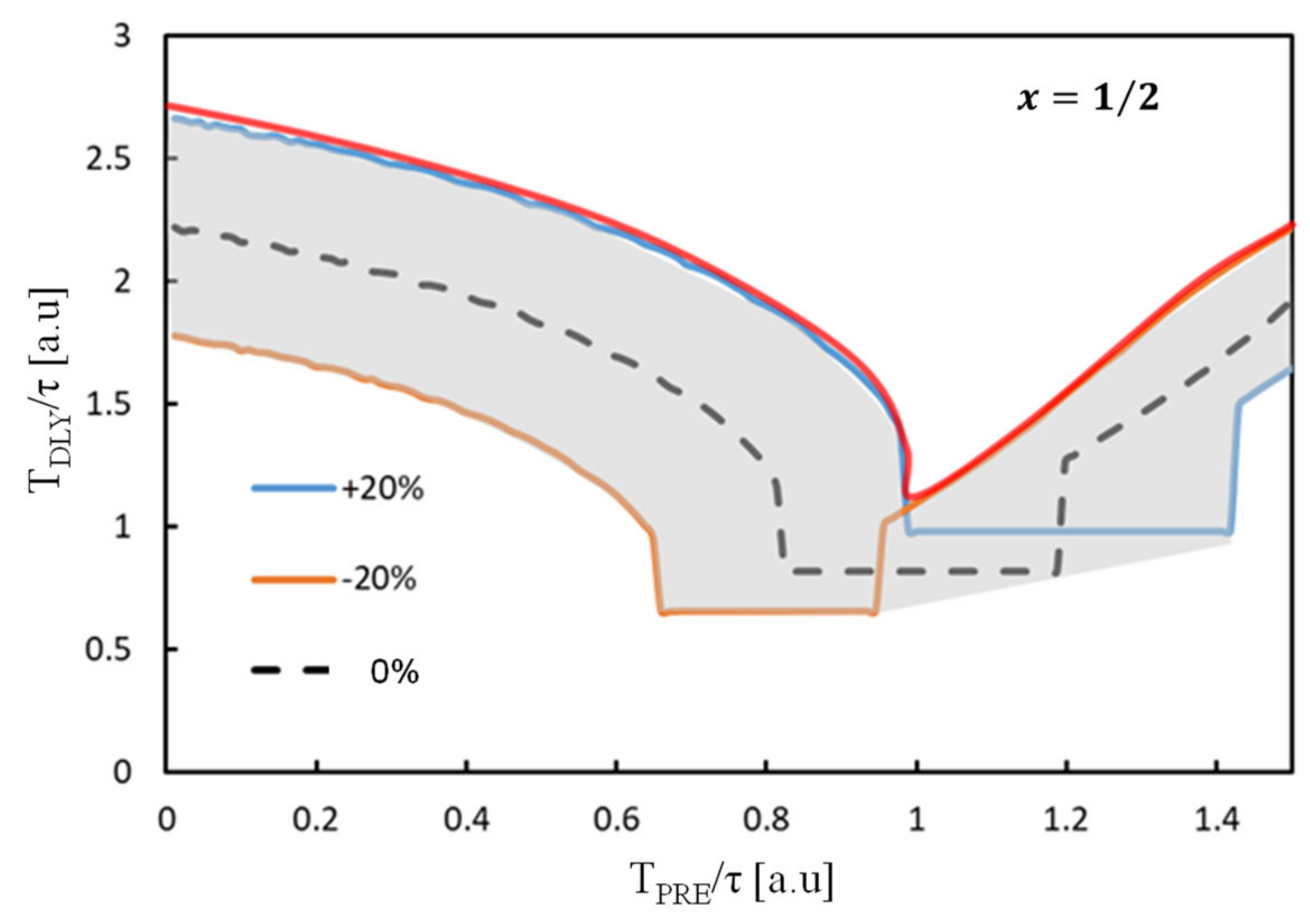
2.3. Worst Corner under Process Variation
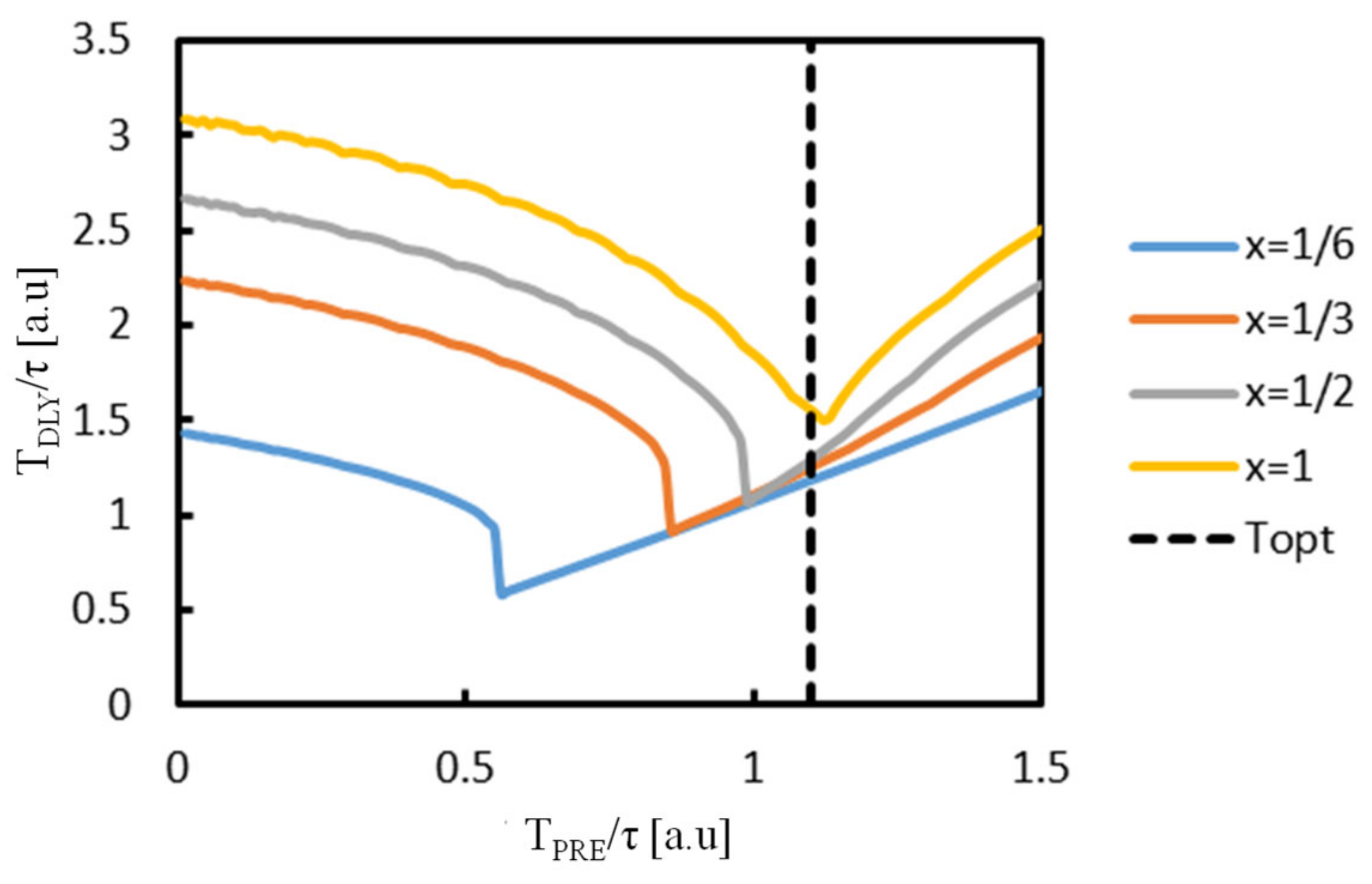
2.4. Impact of Cell Current
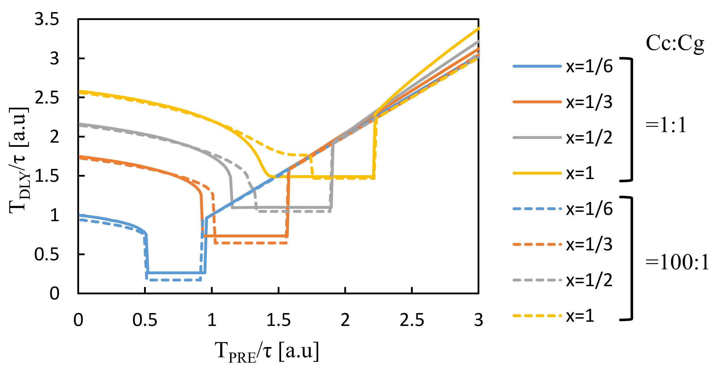
2.5. Impact of Decoding Transistors
3. Discussion
3.1. Three-Line Model
3.2. Fitting Curve
3.3. Application to Memory System
4. Conclusions
Author Contributions
Funding
Acknowledgments
Conflicts of Interest
References
- Hoya, K.; Hatsuda, K.; Tsuchida, K.; Watanabe, Y.; Shirota, Y.; Kanai, T. A perspective on NVRAM technology for future computing system. In Proceedings of the 2019 International Symposium on VLSI Technology, Systems and Application (VLSI-TSA), Hsinchu, Taiwan, 22 April 2019; pp. 1–2. [Google Scholar]
- Strenz, R. Review and Outlook on Embedded NVM Technologies— From Evolution to Revolution. In Proceedings of the 2020 IEEE International Memory Workshop (IMW), Dresden, Germany, 17 May 2020; pp. 1–4. [Google Scholar]
- Chien, W.; Ho, H.; Yeh, C.; Yang, C.; Cheng, H.; Kim, W.; Kuo, I.; Gignac, L.; Lai, E.; Gong, N.; et al. Comprehensive Scaling Study on 3D Cross-Point PCM toward 1Znm Node for SCM Applications. In Proceedings of the 2019 Symposium on VLSI Technology, Kyoto, Japan, 9–14 June 2019; IEEE: Piscataway, NJ, USA, 2019; pp. 60–61. [Google Scholar] [CrossRef]
- Zhou, J.; Kim, K.-H.; Lu, W. Crossbar RRAM Arrays: Selector Device Requirements During Read Operation. IEEE Trans. Electron Devices 2014, 61, 1369–1376. [Google Scholar] [CrossRef]
- Chevallier, C.J.; Siau, C.H.; Lim, S.F.; Namala, S.R.; Matsuoka, M.; Bateman, B.L.; Rinerson, D. A 0. 13 µm 64 Mb multi-layered conductive metal-oxide memory. In Proceedings of the 2010 IEEE International Solid-State Circuits Conference (ISSCC), San Francisco, CA, USA, 7 February 2010; pp. 260–261. [Google Scholar]
- Kau, D.; Tang, S.; Karpov, I.V.; Dodge, R.; Klehn, B.; Kalb, J.A.; Strand, J.; Diaz, A.; Leung, N.; Wu, J.; et al. A stackable cross point Phase Change Memory. In Proceedings of the 2009 IEEE International Electron Devices Meeting (IEDM), Baltimore, MD, USA, 7 December 2009; pp. 1–4. [Google Scholar]
- Kawahara, A.; Azuma, R.; Ikeda, Y.; Kawai, K.; Katoh, Y.; Hayakawa, Y.; Tsuji, K.; Yoneda, S.; Himeno, A.; Shimakawa, K.; et al. An 8 Mb Multi-Layered Cross-Point ReRAM Macro With 443 MB/s Write Throughput. IEEE J. Solid-State Circuits 2013, 48, 178–185. [Google Scholar] [CrossRef]
- Yu, S.; Deng, Y.; Gao, B.; Huang, P.; Chen, B.; Liu, X.; Kang, J.; Chen, H.-Y.; Jiang, Z.; Wong, H.-S.P. Design guidelines for 3D RRAM cross-point architecture. In Proceedings of the 2014 IEEE International Symposium on Circuits and Systems (ISCAS), Melbourne, Australia, 1 June 2014; pp. 421–424. [Google Scholar] [CrossRef]
- Jeong, W.; Im, J.-W.; Kim, D.-H.; Nam, S.-W.; Shim, D.-K.; Choi, M.-H.; Yoon, H.-J.; Kim, D.-H.; Kim, Y.-S.; Park, H.-W.; et al. A 128 Gb 3b/cell V-NAND Flash Memory With 1 Gb/s I/O Rate. IEEE J. Solid-state Circuits 2016, 51, 204–212. [Google Scholar] [CrossRef]
- Bang, J.-S.; Kim, H.-S.; Yoon, K.-S.; Lee, S.-H.; Park, S.-H.; Kwon, O.; Shin, C.; Kim, S.; Cho, G.-H. 11.7 A load-aware pre-emphasis column driver with 27% settling-time reduction in ±18% panel-load RC delay variation for 240 Hz UHD flat-panel displays. In Proceedings of the 2016 IEEE International Solid-State Circuits Conference (ISSCC), San Francisco, CA, USA, 31 January 2016; pp. 212–213. [Google Scholar] [CrossRef]
- Matsuyama, K.; Tanzawa, T. Design of Pre-Emphasis Pulses for Large Memory Arrays with Minimal Word-Line Delay Time. In Proceedings of the 2019 IEEE International Symposium on Circuits and Systems (ISCAS), Sapporo, Hokkaido, Japan, 26 May 2019; pp. 1–5. [Google Scholar] [CrossRef]
- Matsuyama, K.; Tanzawa, T. A Circuit Analysis of Pre-Emphasis Pulses for RC Delay Lines. IEICE Trans. Fundam. Electron. Commun. Comput. Sci. 2021, E104.A, 912–926. [Google Scholar] [CrossRef]
- Matsuyama, K.; Tanzawa, T. A Pre-Emphasis Pulse Generator Insensitive to Process Variation for Driving Large Memory and Panel Display Arrays with Minimal Delay Time. In Proceedings of the 2019 IEEE Asia Pacific Conference on Circuits and Systems (APCCAS), Bangkok, Thailand, 11 November 2019; pp. 45–48. [Google Scholar]
- VLSI Design and Education Center (VDEC). Available online: http://www.vdec.u-tokyo.ac.jp/English/index.html (accessed on 1 May 2021).





















| Pattern | What Point Determines TDLY | Waveform |
|---|---|---|
| 1 | First rising point in higher order behavior | ![]() |
| 2 | First rising point in single order behavior | ![]() |
| 3 | First falling point in higher order behavior | ![]() |
| 4 | Second rising point in higher order behavior | ![]() |
| x | Error [%] |
|---|---|
| 1/6 | 12.2 |
| 1/3 | 6.0 |
| 1/2 | 2.0 |
| 1 | 1.5 |
Publisher’s Note: MDPI stays neutral with regard to jurisdictional claims in published maps and institutional affiliations. |
© 2021 by the authors. Licensee MDPI, Basel, Switzerland. This article is an open access article distributed under the terms and conditions of the Creative Commons Attribution (CC BY) license (https://creativecommons.org/licenses/by/4.0/).
Share and Cite
Sugiura, Y.; Tanzawa, T. Pre-Emphasis Pulse Design for Random-Access Memory. Electronics 2021, 10, 1454. https://doi.org/10.3390/electronics10121454
Sugiura Y, Tanzawa T. Pre-Emphasis Pulse Design for Random-Access Memory. Electronics. 2021; 10(12):1454. https://doi.org/10.3390/electronics10121454
Chicago/Turabian StyleSugiura, Yoshihiro, and Toru Tanzawa. 2021. "Pre-Emphasis Pulse Design for Random-Access Memory" Electronics 10, no. 12: 1454. https://doi.org/10.3390/electronics10121454
APA StyleSugiura, Y., & Tanzawa, T. (2021). Pre-Emphasis Pulse Design for Random-Access Memory. Electronics, 10(12), 1454. https://doi.org/10.3390/electronics10121454




