Lightening Effect of Skin Lightening Cream Containing Piper betle L. Extract in Human Volunteers
Abstract
1. Introduction
2. Materials and Methods
2.1. Piper betle L. Extraction
2.2. Antioxidant and Anti-Tyrosinase Assay
2.3. Oil-in-Water Cream Formulation
2.4. Characterization
2.4.1. Physical Analysis
2.4.2. Forced Centrifugation
2.4.3. pH
2.4.4. Particle Size Analysis
2.4.5. Zeta Potential Determination
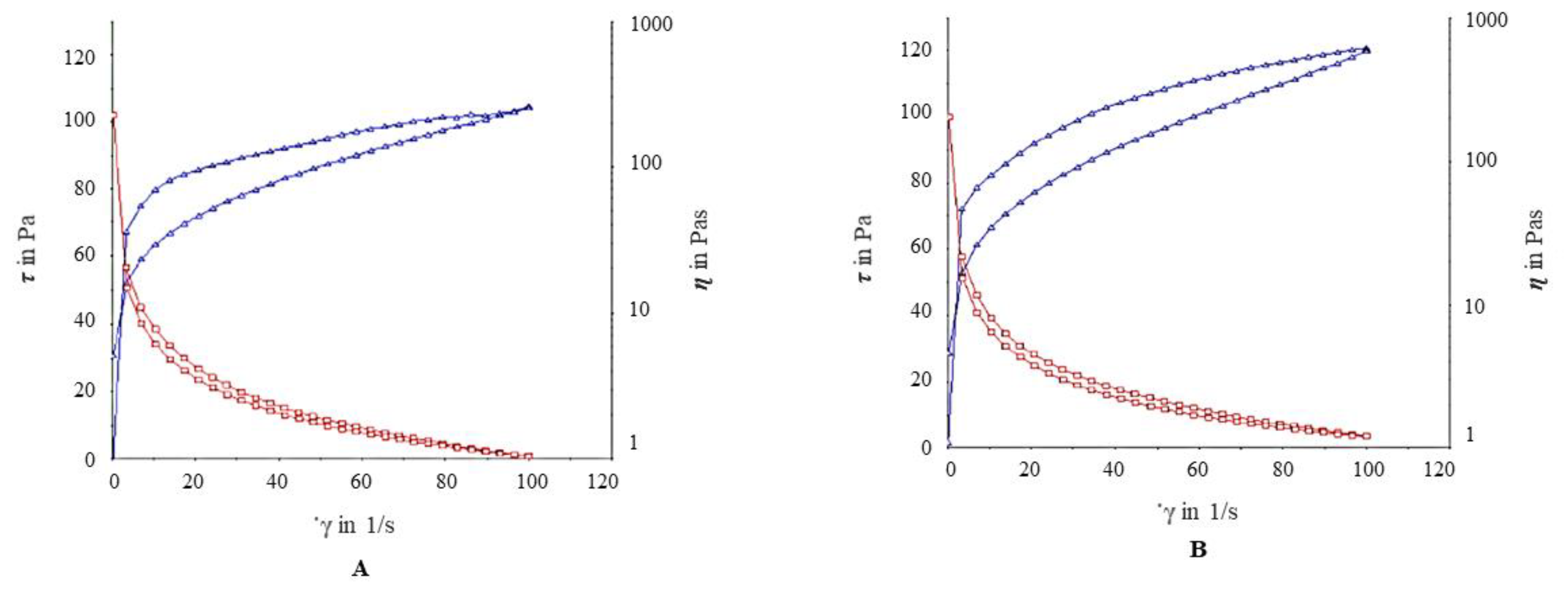
2.4.6. Rheological Analysis
2.4.7. Microbial Limit Count
2.5. In Vivo Study
2.5.1. Dermalab® Combo
2.5.2. Skin Color Probe
2.5.3. Pin Hydration Probe
2.5.4. TEWL Open Chamber Probe
2.5.5. Elasticity Suction Probe
2.6. Statistical Analysis
3. Results
3.1. Piper betle L. Extraction
3.2. Antioxidant and Anti-Tyrosinase Activity
3.3. Characterization
3.4. In Vivo Study
4. Discussion
4.1. Characterization
4.2. In Vivo Study
5. Conclusions
Author Contributions
Funding
Institutional Review Board Statement
Informed Consent Statement
Acknowledgments
Conflicts of Interest
References
- Khoo, Y.T.; Halim, A.S. Treatment modalities for hyperpigmented skin lesions: A brief overview. J. Surg. Dermatol. 2016, 1, 71–79. [Google Scholar] [CrossRef][Green Version]
- Desai, S.R. Hyperpigmentation Therapy: A Review. J. Clin. Aesthetic Dermatol. 2014, 7, 13–17. [Google Scholar]
- Gillbro, J.M.; Olsson, M.J. The melanogenesis and mechanisms of skin-lightening agents-existing and new approaches. Int. J. Cosmet. Sci. 2011, 33, 210–221. [Google Scholar] [CrossRef] [PubMed]
- Beresniak, A.; Auray, J.-P.; Duru, G.; Aractingi, S.; Krueger, G.G.; Talarico, S.; Adam, A.-S.; Piot, B.; Dupont, D.; De Linares, Y. Impact of pigmentary disorders on quality of life in Japan: Interest of the BeautyQoL instrument. J. Cosmet. Laser Ther. 2015, 17, 313–317. [Google Scholar] [CrossRef] [PubMed]
- Jennifer, C.; Stephie, C.M.; Abhishri, S.B.; Shalini, B.U. A Review on Skin Whitening Property of Plant Extracts. Int. J. Pharma Bio Sci. 2012, 3, 332–347. [Google Scholar]
- Aumeeruddy-Elalfi, Z.; Gurib-Fakim, A.; Mahomoodally, M. Kinetic studies of tyrosinase inhibitory activity of 19 essential oils extracted from endemic and exotic medicinal plants. S. Afr. J. Bot. 2016, 103, 89–94. [Google Scholar] [CrossRef]
- Foo, L.W.; Salleh, E.; Mamat, S.N.H. Extraction and Qualitative Analysis of Piper Betle Leaves for Antimicrobial Activities. Int. J. Eng. Technol. Sci. Res. 2015, 2, 2394–3386. [Google Scholar]
- Majeed, M.; Bani, S.; Pandey, A.; Anand-tathapudi, S. A Composition and a Method of Treating CNS Disorders and Hy-Perpigmentation. US Patent US12/900,727, 12 April 2012. [Google Scholar]
- Salleh, W.M.N.H.W.; Ahmad, F.; Khong, H.Y. Antioxidant and Anti-tyrosinase Activities from Piper officinarum C.DC (Piperaceae). J. Appl. Pharm. Sci. 2014, 4, 87. [Google Scholar] [CrossRef][Green Version]
- Smaoui, S. Cosmetic emulsion from virgin olive oil: Formulation and bio-physical evaluation. Afr. J. Biotechnol. 2012, 11, 9664–9671. [Google Scholar] [CrossRef]
- Smaoui, S.; Ben Hlima, H.; Ben Chobba, I.; Kadri, A. Development and stability studies of sunscreen cream formulations containing three photo-protective filters. Arab. J. Chem. 2017, 10, S1216–S1222. [Google Scholar] [CrossRef]
- Hadi, H.; Awadh, A.I.; Hanif, N.M.; Suhaimi, M.S.M.; Sidik, N.F.A.M.; Rani, M.R.N.M. The investigation of the skin biophysical measurements focusing on daily activities, skin care habits, and gender differences. Ski. Res. Technol. 2015, 22, 247–254. [Google Scholar] [CrossRef] [PubMed]
- Seo, Y.K.; Kim, S.J.; Boo, Y.C.; Baek, J.H.; Lee, S.H.; Koh, J.S. Effects of p-coumaric acid on erythema and pigmentation of human skin exposed to ultraviolet radiation. Clin. Exp. Dermatol. 2010, 36, 260–266. [Google Scholar] [CrossRef] [PubMed]
- Cortex Technology DermaLab® Series. SkinLab Combo Instruction Manual; Cortex Technology: Hadsund, Denmark, 2012; pp. 7–38. [Google Scholar]
- Wilkes, M.; Wright, C.; Du Plessis, J.L.; Reeder, A. Fitzpatrick Skin Type, Individual Typology Angle, and Melanin Index in an African Population. JAMA Dermatol. 2015, 151, 902–903. [Google Scholar] [CrossRef] [PubMed]
- Masaki, H. Role of antioxidants in the skin: Anti-aging effects. J. Dermatol. Sci. 2010, 58, 85–90. [Google Scholar] [CrossRef] [PubMed]
- Row, L.-C.M.; Ho, J.-C. The Antimicrobial Activity, Mosquito Larvicidal Activity, Antioxidant Property and Tyrosinase Inhibition of Piper Betle. J. Chin. Chem. Soc. 2009, 56, 653–658. [Google Scholar] [CrossRef]
- Merkus, H.G. Particle Size Measurements: Fundamentals, Practice, Quality; Springer: Berlin/Heidelberg, Germany, 2009; Volume 17. [Google Scholar]
- Rodrigues, F.; Sarmento, B.; Amaral, M.H.; Oliveira, M.B.P.P. Exploring the antioxidant potentiality of two food by-products into a topical cream: Stability, In Vitro and In Vivo evaluation. Drug Dev. Ind. Pharm. 2015, 42, 880–889. [Google Scholar] [CrossRef]
- Krstonošić, V.; Dokić, L.; Nikolić, I.; Milanović, M. Influence of xanthan gum on oil-in-water emulsion characteristics stabilized by OSA starch. Food Hydrocoll. 2015, 45, 9–17. [Google Scholar] [CrossRef]
- Loden, M. The clinical benefit of moisturizers. J. Eur. Acad. Dermatol. Venereol. 2005, 19, 672–688. [Google Scholar] [CrossRef]
- Khan, B.A.; Akhtar, N.; Khan, H.; Braga, V.D.A. Development, characterization and antioxidant activity of polysorbate based O/W emulsion containing polyphenols derived from Hippophae rhamnoides and Cassia fistula. Braz. J. Pharm. Sci. 2013, 49, 763–773. [Google Scholar] [CrossRef]
- Lores, M.; Llompart, M.; Alvarez-Rivera, G.; Guerra, E.; Vila, M.; Celeiro, M.; Lamas, J.P.; Garcia-Jares, C. Positive lists of cosmetic ingredients: Analytical methodology for regulatory and safety controls—A review. Anal. Chim. Acta 2016, 915, 1–26. [Google Scholar] [CrossRef]
- Khor, Y.P.; Koh, S.P.; Long, K.; Long, S.; Ahmad, S.Z.S.; Tan, C.P. A Comparative Study of the Physicochemical Properties of a Virgin Coconut Oil Emulsion and Commercial Food Supplement Emulsions. Molecules 2014, 19, 9187–9202. [Google Scholar] [CrossRef]
- Santos, J.L.; Gaspar, F. Production of Near Monodisperse Particles Using Milling and Membrane Separation. US Patent US9,937,470B2, 10 April 2018. [Google Scholar]
- Coulman, S.A.; Anstey, A.; Gateley, C.; Morrissey, A.; McLoughlin, P.; Allender, C.; Birchall, J.C. Microneedle mediated delivery of nanoparticles into human skin. Int. J. Pharm. 2009, 366, 190–200. [Google Scholar] [CrossRef]
- Adeyeye, M.C.; Jain, A.C.; Ghorab, M.K.M.; Reilly, W.J. Viscoelastic evaluation of topical creams containing microcrystalline cellulose/sodium carboxymethyl cellulose as stabilizer. AAPS PharmSciTech 2002, 3, 16–25. [Google Scholar] [CrossRef]
- Jéquier, E.; Constant, F. Water as an essential nutrient: The physiological basis of hydration. Eur. J. Clin. Nutr. 2009, 64, 115–123. [Google Scholar] [CrossRef]
- Choi, J.; Ghaffari, R.; Baker, L.B.; Rogers, J.A. Skin-interfaced systems for sweat collection and analytics. Sci. Adv. 2018, 4, eaar3921. [Google Scholar] [CrossRef] [PubMed]
- Egawa, M.; Tagami, H. Comparison of the depth profiles of water and water-binding substances in the stratum corneum determined in vivo by Raman spectroscopy between the cheek and volar forearm skin: Effects of age, seasonal changes and artificial forced hydration. Br. J. Dermatol. 2007, 158, 251–260. [Google Scholar] [CrossRef]
- Kottner, J.; Lichterfeld, A.; Blume-Peytavi, U. Transepidermal water loss in young and aged healthy humans: A systematic review and meta-analysis. Arch. Dermatol. Res. 2013, 305, 315–323. [Google Scholar] [CrossRef] [PubMed]
- Ferguson, J.; Yeshanehe, W.; Matts, P.; Davey, G.; Mortimer, P.; Fuller, C. Assessment of skin barrier function in podoconiosis: Measurement of stratum corneum hydration and transepidermal water loss. Br. J. Dermatol. 2013, 168, 550–554. [Google Scholar] [CrossRef] [PubMed]
- Widowati, W.; Wijaya, L.; Wargasetia, T.L.; Bachtiar, I.; Yelliantty, Y.; Laksmitawati, D.R. Antioxidant, anticancer, and apoptosis-inducing effects of Piper extracts in HeLa cells. J. Exp. Integr. Med. 2013, 3, 225–230. [Google Scholar] [CrossRef]
- Peng, C.; Wang, X.; Chen, J.; Jiao, R.; Wang, L.; Li, Y.M.; Zuo, Y.; Liu, Y.; Lei, L.; Ma, K.Y.; et al. Biology of Ageing and Role of Dietary Antioxidants. BioMed Res. Int. 2014, 2014, 831841. [Google Scholar] [CrossRef] [PubMed]
- Sharma, S.; Khan, I.A.; Ali, I.; Ali, F.; Kumar, M.; Kumar, A.; Johri, R.K.; Abdullah, S.T.; Bani, S.; Pandey, A.; et al. Evaluation of the Antimicrobial, Antioxidant, and Anti-Inflammatory Activities of Hydroxychavicol for Its Potential Use as an Oral Care Agent. Antimicrob. Agents Chemother. 2008, 53, 216–222. [Google Scholar] [CrossRef] [PubMed]
- Del Rosso, J.; Zeichner, J.; Alexis, A.; Cohen, D.; Berson, D. Understanding the Epidermal Barrier in Healthy and Com-promised Skin: Clinically Relevant Information for the Dermatology Practitioner: Proceedings of an Expert Panel Roundtable Meeting. J. Clin. Aesthet. Dermatol. 2016, 9, S2–S8. [Google Scholar]









| Composition | Function | (%) w/w |
|---|---|---|
| Part A | ||
| Distilled water | Water phase | 64.40 |
| Glycerin | Humectant | 5.00 |
| Lecithin | Emulsifier | 5.00 |
| Chitosan acetate | Permeation enhancer | 0.40 |
| Piper betle L. extract | Active ingredient | 0.20 |
| Disodium EDTA | Chelating agent | 0.20 |
| Part B | ||
| Refined coconut oil | Emollients | 4.00 |
| Olive oil | Emollients | 4.00 |
| Squalane | Emollients | 3.00 |
| Beeswax | Emulsifier | 4.00 |
| Cocamidopropyl betaine | Surfactant | 5.00 |
| Xanthan Gum | Thickener | 0.80 |
| Part C | ||
| Euxyl® PE 9010 | Preservative | 0.40 |
| Chamomile essential oil | Fragrance | 0.50 |
| Ascorbic Acid | Antioxidant | 0.10 |
| Tocopherol acetate | Antioxidant | 2.00 |
| Pectin | Emulsifier | 1.00 |
| Total | 100% | |
Publisher’s Note: MDPI stays neutral with regard to jurisdictional claims in published maps and institutional affiliations. |
© 2021 by the authors. Licensee MDPI, Basel, Switzerland. This article is an open access article distributed under the terms and conditions of the Creative Commons Attribution (CC BY) license (https://creativecommons.org/licenses/by/4.0/).
Share and Cite
Omar, S.S.S.; Hadi, H.; Mohd Hanif, N.; Ahmad, H.M.A.; Ng, S.-F. Lightening Effect of Skin Lightening Cream Containing Piper betle L. Extract in Human Volunteers. Cosmetics 2021, 8, 32. https://doi.org/10.3390/cosmetics8020032
Omar SSS, Hadi H, Mohd Hanif N, Ahmad HMA, Ng S-F. Lightening Effect of Skin Lightening Cream Containing Piper betle L. Extract in Human Volunteers. Cosmetics. 2021; 8(2):32. https://doi.org/10.3390/cosmetics8020032
Chicago/Turabian StyleOmar, Sharifah Shakirah Syed, Hazrina Hadi, Nadzira Mohd Hanif, Hawa Mas Azmar Ahmad, and Shiow-Fern Ng. 2021. "Lightening Effect of Skin Lightening Cream Containing Piper betle L. Extract in Human Volunteers" Cosmetics 8, no. 2: 32. https://doi.org/10.3390/cosmetics8020032
APA StyleOmar, S. S. S., Hadi, H., Mohd Hanif, N., Ahmad, H. M. A., & Ng, S.-F. (2021). Lightening Effect of Skin Lightening Cream Containing Piper betle L. Extract in Human Volunteers. Cosmetics, 8(2), 32. https://doi.org/10.3390/cosmetics8020032

