A Novel Method for the Evaluation of the Long-Term Stability of Cream Formulations Containing Natural Oils
Abstract
1. Introduction
2. Materials and Methods
2.1. Materials
2.2. Methods
2.2.1. Preparation of Creams
2.2.2. Short-Term Stability Studies
Cream Separation Resistance
pH Determination
Microscopic Size Examination
Globule Size and Zeta Potential Measurement
Microbial Challenge Test
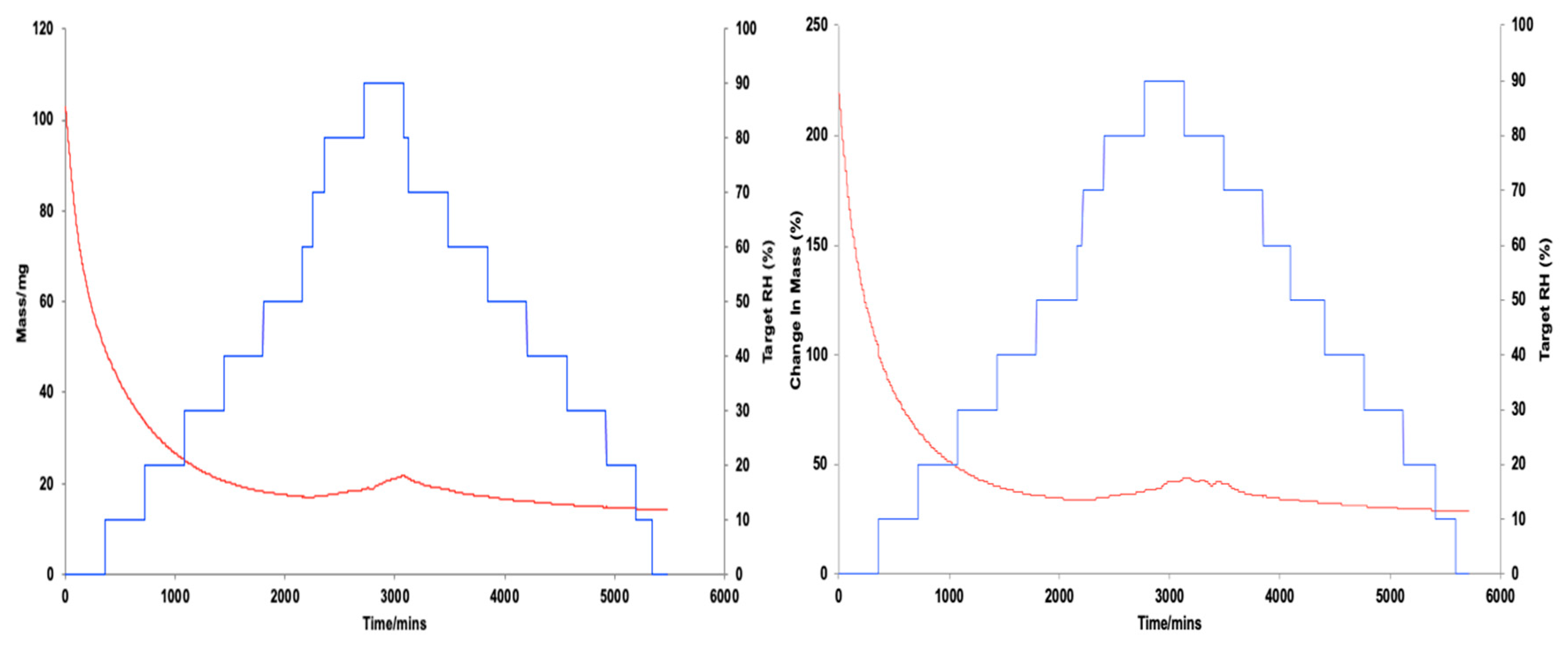
2.2.3. Long-Term Stability Study
2.2.4. Statistical Analysis
3. Results and Discussion
3.1. Short-Term Stability Studies
3.1.1. Cream Separation Resistance
3.1.2. pH Determination
3.1.3. Microscopic Size Examination
3.1.4. Globule Size and Zeta Potential Measurement
3.1.5. Microbial Challenge Evaluation
3.2. Long-Term Stability Studies
4. Conclusions
Author Contributions
Funding
Acknowledgments
Conflicts of Interest
References
- Chanchal, D.; Swarnlata, S. Novel approaches in herbal cosmetics. J. Cosmet. Dermatol. 2008, 7, 89–95. [Google Scholar] [CrossRef]
- Harsh, L.N.; Tewari, J.C.; Bohra, M.; Tripathi, D. Standardization of agronomic practices of Jojoba cultivation in arid regions. In Proceedings of the National Seminar on Production, Marketing and Processing of Jojoba (Simmondsia chinensis), Jaipur (Rajasthan), India, 19–20, February 2001. [Google Scholar]
- What You Need to Know about Jojoba Oil-Health Benefits. Available online: http://thejojobaoil.com/ (accessed on 1 December 2017).
- Abu-Arabi, M.; Allawzi, M.; Al-Zoubi, H.; Tamimi, A.; Abu-Arabi, M.; Al-Zoubi, H.S. Extraction of jojoba oil by pressing and leaching. Chem. Eng. J. 2000, 76, 61–65. [Google Scholar] [CrossRef]
- Kim, Y.-J.; Lee, M.S.; Yang, Y.S.; Hur, M.-H. Self-aromatherapy massage of the abdomen for the reduction of menstrual pain and anxiety during menstruation in nurses: A placebo-controlled clinical trial. Eur. J. Integr. Med. 2011, 3, e165–e168. [Google Scholar] [CrossRef]
- Ruggeri, C. Jojoba Oil-Skin & Hair Healer and Moisturizer-Dr. Axe. 2016. Available online: https://draxe.com/jojoba-oil/ (accessed on 29 March 2019).
- Kubitschek-KM, A.R.; Zero, J.M. Development of jojoba oil (Simmondsia chinensis (Link) CK Schneid.) based nanoemulsions. Lat. Am. J. Pharm. 2014, 33, 459–463. [Google Scholar]
- Arya, D.; Khan, S. A Review of Simmondsia chinensis (Jojoba)" The Desert gold": A multipurpose oil seed crop for industrial uses. J. Pharm. Sci. Res. 2016, 8, 381. [Google Scholar]
- Knoepfler, N.B.; Vix, H.L.E. Vegetable oils, review of chemistry and research potential of Simmondsia Chinensis (Jojoba) Oil. J. Agric. Food Chem. 1958, 6, 118–121. [Google Scholar] [CrossRef]
- Adenekan, M.K.; Fadimu, G.J.; Odunmbaku, L.A.; Nupo, S.S.; Oguntoyinbo, S.I.; Oke, E.K. Chemical and functional characterization of baobab (Adansonia Digitata, L.) seed protein concentrate using alcohol extraction method. Int. J. Environ. Agric. Biotechnol. 2017, 2, 2554–2558. [Google Scholar] [CrossRef]
- Abubakar, S.; Etim, V.; Bwai, D.; Afolayan, M. Nutraceutical evaluation of baobab (Adansonia digitata L.) seeds and physicochemical properties of its oil. Ann. Biol. Sci. 2015, 3, 13–19. [Google Scholar]
- Organic Baobab Oil Nourishing Skin Naturally. Available online: https://protecbotanica.com/downloads/baobab.pdf (accessed on 7 March 2019).
- Kamatou, G.; Vermaak, I.; Viljoen, A.M. An updated review of Adansonia digitata: A commercially important African tree. South Afr. J. Bot. 2011, 77, 908–919. [Google Scholar] [CrossRef]
- Cissé, M.; Sow, A.; Poucheret, P.; Margout, D.; Ayessou, N.C.; Faye, P.G.; Sakho, M.; Diop, C.M.G. Impact of extraction method on physicochemical characteristics and antioxidant potential of Adansonia digitata oil. Food Nutr. Sci. 2018, 9, 937–955. [Google Scholar] [CrossRef][Green Version]
- Komane, B.M.; Vermaak, I.; Kamatou, G.P.; Summers, B.; Viljoen, A.M. Beauty in Baobab: A pilot study of the safety and efficacy of Adansonia digitata seed oil. Rev. Bras. de Farm. 2017, 27, 1–8. [Google Scholar] [CrossRef]
- Baobab Oil. Available online: https://slichemicals.com/wp-content/uploads/sites/2/2015/02/BAOBAB-OIL-Mail.pdf (accessed on 7 March 2019).
- Babiker, S.; Mirghani, M.E.; Matar, S.M.; Kabbashi, N.A.; Alam, M.Z.; Marikkar, J.M. Evaluation of antioxidant capacity and physicochemical properties of Sudanese Baobab (Adansonia digitata) seed-oil. Int. Food Res. J. 2017, 24. [Google Scholar]
- Osman, M.A. Chemical and nutrient analysis of Baobab (Adansonia digitata) fruit and seed protein solubility. Plant Foods Hum. Nutr. 2004, 59, 29–33. [Google Scholar] [CrossRef] [PubMed]
- Zahra’u, B.; Mohammed, A.S.; Ghazali, H.M.; Karim, R. Baobab tree (Adansonia digitata L) parts: Nutrition, applications in food and uses in ethno-medicine-A review. Ann Nutr Disord Ther. 2014, 1, 1011. [Google Scholar]
- Resende, N.M.; Félix, H.R.; Soré, M.R.; Neto, A.M.M.; Campos, K.E.; Volpato, G.T. The effects of coconut oil supplementation on the body composition and lipid profile of rats submitted to physical exercise. Anais Acad. Bras. Ciênc. 2016, 88, 933–940. [Google Scholar] [CrossRef]
- Bawalan, D.D.; Chapman, K.R. Virgin Coconut oil Production: Manual for Micro-and Village-Scale Processing; FAO Regional Office for Asia and the Pacific: Bangko, Thailand, 2006. [Google Scholar]
- Buderwitz, P. Health risks and benefits of coconut oil. Pharm. Today 2013, 19, 27. [Google Scholar] [CrossRef]
- Boemeke, L.; Marcadenti, A.; Busnello, F.M.; Gottschall, C.B.A. Effects of coconut oil on human health. Open J. Endocr. Metab. Dis. 2015, 5, 84–87. [Google Scholar] [CrossRef]
- Lockyer, S.; Stanner, S. Coconut oil-A nutty idea? Nutr. Bull. 2016, 41, 42–45. [Google Scholar] [CrossRef]
- Mikołajczak, N. Coconut oil in human diet-nutrition value and potential health benefits. J. Educ. Health Sport. 2017, 7, 307–319. [Google Scholar]
- Rethinam, P. Health and nutritional aspects of coconut oil. Inform 2002, 13. [Google Scholar]
- Kappally, S.; Shirwaikar, A.; Shirwaikar, A. Coconut oil-A review of potential applications. Hygeia JD Med. 2015, 7, 34–41. [Google Scholar]
- Denyer, S.P.; Baird, R.M. Microbial Contamination. In Guide to microbiological control in pharmaceuticals and medical devices, 2nd ed.; CRS Press: Boca Raton, FL, USA, 2007. [Google Scholar] [CrossRef]
- Sheokand, S.; Modi, S.R.; Bansal, A.K. Dynamic vapor sorption as a tool for characterization and quantification of amorphous content in predominantly crystalline materials. J. Pharm. Sci. 2014, 103, 3364–3376. [Google Scholar] [CrossRef]
- Bilia, A.R.; Bergonzi, M.C.; Mazzi, G.; Vincieri, F.F. Development and stability of semisolid preparations based on a supercritical CO2 Arnica extract. J. Pharm. Biomed. Anal. 2006, 41, 449–454. [Google Scholar] [CrossRef] [PubMed]
- Penner, E. Comparison of the New Vapor Sorption Analyzer to the Traditional Saturated Salt Slurry Method and the Dynamic Vapor Sorption Instrument. Master’s Thesis, University of Illinois at Urbana-Champaign, Urbana, IL, USA, 2013. [Google Scholar]
- Driemeier, C.; Mendes, F.M.; Oliveira, M.M. Dynamic vapor sorption and thermoporometry to probe water in celluloses. Cellulose 2012, 19, 1051–1063. [Google Scholar] [CrossRef]
- Wimmer, R.; Schmid, T. Dynamic Vapor Sorption of Analyses of Wood-A New Approach to Classical Problems. In Proceedings of the International Convention of Society of Wood Science and Technology and United Nations Economic Commission for Europe–Timber Committee, Geneva, Switzerland, 11–14 October 2010. [Google Scholar]
- Thybring, E.E.; Glass, S.V.; Zelinka, S.L. Kinetics of water vapor sorption in wood cell walls: State of the art and research needs. Forests 2019, 10, 704. [Google Scholar] [CrossRef]
- Sheokand, S.; Modi, S.R.; Bansal, A.K. Quantification of low levels of amorphous content in crystalline celecoxib using dynamic vapor sorption (DVS). Eur. J. Pharm. Biopharm. 2016, 102, 77–86. [Google Scholar] [CrossRef]
- Automated Multi-Vapor Gravimetric Sorption Analyzer for Advanced Research Applications. Available online: https://www.micromeritics.com/Repository/Files/DVS_Advantage_Brochure.pdf (accessed on 23 October 2020).
- Galdeano, M.C.; Tonon, R.V.; Carvalho, C.W.P.; Menezes, N.S.; Nogueira, R.I.; Leal-Junior, W.F.; Minguita, A.P.S. Moisture sorption isotherms of raw and extruded wholemeal sorghum flours studied by the dynamic and salt slurry methods. Braz. J. Food Technol. 2018, 21. [Google Scholar] [CrossRef]
- Glass, S.V.; Boardman, C.R.; Zelinka, S.L. Short hold times in dynamic vapor sorption measurements mischaracterize the equilibrium moisture content of wood. Wood Sci. Technol. 2016, 51, 243–260. [Google Scholar] [CrossRef]
- Adejokun, D.A.; Dodou, K. Quantitative sensory interpretation of rheological parameters of a cream formulation. Cosmetics 2019, 7, 2. [Google Scholar] [CrossRef]
- Dikstein, S.; Zlotogorski, A. Measurement of skin pH. Acta Derm. -Venereol. Suppl. 1994, 185, 18–20. [Google Scholar]
- Zlotogorski, A. Distribution of skin surface pH on the forehead and cheek of adults. Arch. Dermatol. Res. 1987, 279, 398–401. [Google Scholar] [CrossRef]
- Fluhr, J.W.; Elias, P.M. Stratum corneum pH: Formation and function of the ‘acid mantle’. Exog. Dermatol. 2002, 1, 163–175. [Google Scholar] [CrossRef]
- Lambers, H.; Piessens, S.; Bloem, A.; Pronk, H.; Finkel, P. Natural skin surface pH is on average below 5, which is beneficial for its resident flora. Int. J. Cosmet. Sci. 2006, 28, 359–370. [Google Scholar] [CrossRef]
- Argov, N.; Lemay, D.G.; German, J.B. Milk fat globule structure and function: Nanoscience comes to milk production. Trends Food Sci. Technol. 2008, 19, 617–623. [Google Scholar] [CrossRef] [PubMed]
- Michalski, M.-C.; Camier, B.; Briard, V.; Leconte, N.; Gassi, J.-Y.; Goudédranche, H.; Michel, F.; Fauquant, J. The size of native milk fat globules affects physico-chemical and functional properties of Emmental cheese. Le Lait 2004, 84, 343–358. [Google Scholar] [CrossRef]
- Instruments, M. Zeta potential: An Introduction in 30 minutes. Zetasizer Nano Serles Tech. Note. MRK654. 2011, 1, 1–6. [Google Scholar]
- Seleci, D.A.; Seleci, M.; Walter, J.-G.; Stahl, F.; Scheper, T. Niosomes as nanoparticular drug carriers: Fundamentals and recent applications. J. Nanomater. 2016, 2016, 1–13. [Google Scholar] [CrossRef]
- Clogston, J.D.; Patri, A.K. Zeta Potential Measurement. In Characterization of Nanoparticles Intended for Drug Delivery; Humana Press: New York, NY, USA, 2011; Volume 697, pp. 63–70. [Google Scholar]
- Milk Homogenization-HORIBA. Available online: http://www.horiba.com/uk/scientific/products/particle-characterization/applications/milk-homogenization/ (accessed on 31 January 2019).
- Walstra, P.; Geurts, T.J.; Noomen, A.; Jellema, A.; van Boekel, M.A.J.S. Dairy Technology: Principles of Milk Properties and Processes; Marcel Dekker, Inc.: New York, NY, USA, 1999. [Google Scholar]
- Walstra, P.; Jenness, R. Dairy Chemistry and Physics; John Wiley & Sons: New York, NY, USA, 1984. [Google Scholar]
- Orús, P.; Leranoz, S. Current trends in cosmetic microbiology. Int. Microbiol. 2005, 8, 77–79. [Google Scholar]
- .Budecka, A.; Kunicka-Styczyńska, A. Microbiological contaminants in cosmetics–isolation and characterization. Biotechnol. Food Sci. 2014, 78, 15–23. [Google Scholar]
- Chemistry-Jojoba Naturals. Available online: https://www.jojobanaturals.com/learn/jojoba-chemistry/ (accessed on 7 August 2020).
- Jojoba Oil: Boosting Stability, Advancing the Beauty Business. Available online: https://www.personalcaremagazine.com/story/30658/jojoba-oil-boosting-stability-advancing-the-beauty-business (accessed on 7 August 2020).
- Madhujith, T.; Sivakanthan, S. Oxidative stability of edible plant oils. Ref. Series Phytochem. 2018, 1–23. [Google Scholar]
- Vermaak, I.; Kamatou, G.; Komane-Mofokeng, B.; Viljoen, A.; Beckett, K. African seed oils of commercial importance-Cosmetic applications. S. Afr. J. Bot. 2011, 77, 920–933. [Google Scholar] [CrossRef]







| Model | 8 Days | 14 Days | 28 Days | ||||||
|---|---|---|---|---|---|---|---|---|---|
| 4 °C | 25 °C | 40 °C | 4 °C | 25 °C | 40 °C | 4 °C | 25 °C | 40 °C | |
| IA | 5.17/±0.3 | 5.19/±0.02 | 5.50/±0.2 | 5.46/±0.1 | 5.22/±0.01 | 5.31/±0.1 | 5.70/±0.1 | 5.14/±0.1 | 5.18/±0.04 |
| IB | 4.55/±0.2 | 4.84/±0.1 | 4.73/±0.1 | 5.15/±0.3 | 4.98/±0.03 | 5.00/±0.2 | 5.70/±0.1 | 4.91/±0.1 | 4.85/±0.04 |
| IIA | 5.33/±0.1 | 5.29/±0.1 | 4.82/±0.1 | 5.35/±0.1 | 5.33/±0.1 | 5.28/±0.2 | 5.73/±0.04 | 5.21/±0.1 | 5.66/±0.1 |
| IIB | 5.17/±0.2 | 4.84/±0.1 | 4.88/±0.1 | 5.37/±0.2 | 4.83/±0.1 | 5.37/±0.03 | 5.49/±0.04 | 5.28/±0.1 | 5.54/±0.01 |
| IIIA | 5.11/±0.1 | 5.32/±0.1 | 4.87/±0.04 | 5.23/±0.1 | 5.35/±0.1 | 5.34/±0.1 | 5.75/±0.2 | 5.50/±0.1 | 5.44/±0.03 |
| IIIB | 5.20/±0.02 | 5.27/±0.1 | 4.77/±0.1 | 5.31/±0.02 | 5.25/±0.1 | 5.22/±0.1 | 5.44/±0.1 | 4.97/±0.1 | 5.03/±0.2 |
| IVA | 5.47/±0.2 | 5.55/±0.04 | 4.88/±0.1 | 5.62/±0.1 | 5.66/±0.04 | 5.02/±0.2 | 5.82/±0.1 | 5.78/±0.1 | 5.16/±0.02 |
| IVB | 5.35/±0.04 | 5.50/±0.1 | 4.81/±0.2 | 5.45/±0.04 | 5.53/±0.04 | 4.96/±0.3 | 5.55/±0.1 | 5.51/±0.1 | 5.15/±0.1 |
| Model | Mean/SD at 4 °C | Mean/SD at 25 °C | Mean/SD at 40 °C |
|---|---|---|---|
| IA | 5.44/±0.22 | 5.18/±0.03 | 5.33/±0.13 |
| IB | 5.13/±0.47 | 4.91/±0.06 | 4.89/±0.11 |
| IIA | 5.47/±0.18 | 5.27/±0.05 | 5.25/±0.34 |
| IIB | 5.34/±0.13 | 4.98/±0.21 | 5.26/±0.28 |
| IIIA | 5.36/±0.28 | 5.39/±0.08 | 5.22/±0.25 |
| IIIB | 5.32/±0.10 | 5.16/±0.14 | 5.01/±0.18 |
| IVA | 5.64/±0.14 | 5.66/±0.09 | 5.02/±0.11 |
| IVB | 5.45/±0.08 | 5.51/±0.01 | 4.97/±0.14 |
| Model | Average Size/±SD (d.nm) | Zeta Potential (mV) | Conductive (mS/cm) | Storage Temperature (°C) | Report Quality |
|---|---|---|---|---|---|
| IA | 1500/±408 | −44.2 | 0.021 | 4 | Good |
| 1257.3/±80.7 | −39.3 | 0.015 | 25 | Good | |
| 4964/±2770.9 | −43.6 | 0.033 | 40 | Good | |
| IB | 1298/±395.5 | −40.4 | 0.017 | 4 | Good |
| 1798/±7.8 | −40.2 | 0.069 | 25 | Good | |
| 3487.6/±486.8 | −43.2 | 0.042 | 40 | Good | |
| IIA | 939.3/±38 | −39.6 | 0.121 | 4 | Good |
| 2755.6/±51.5 | −40.1 | 0.040 | 25 | Good | |
| 3488/±480 | −41.6 | 0.334 | 40 | Good | |
| IIB | 891.6/±61.7 | −17.9 | 0.037 | 4 | Poor |
| 2181/±359 | −40.0 | 0.109 | 25 | Good | |
| 3470.6/±298.6 | −28.7 | 0.028 | 40 | Average | |
| IIIA | 800/±112.9 | −44.7 | 0.022 | 4 | Good |
| 1530/±287 | −41.3 | 0.049 | 25 | Good | |
| 3879/±584 | −39.7 | 0.045 | 40 | Good | |
| IIIB | 1579/±237 | -46.9 | 0.017 | 4 | Excellent |
| 2213/±252.7 | −52.5 | 0.022 | 25 | Excellent | |
| 6184/±1651.9 | −47.1 | 0.027 | 40 | Excellent | |
| IVA | 872.9/±276 | −47.0 | 0.023 | 4 | Excellent |
| 1859/±71.8 | −45.4 | 0.034 | 25 | Excellent | |
| 3674/±173 | −38.1 | 0.068 | 40 | Good | |
| IVB | 831/±87.7 | −53.0 | 0.021 | 4 | Excellent |
| 2344.6/±129 | −33.6 | 0.030 | 25 | Good | |
| 3674/±173 | −38.1 | 0.068 | 40 | Good |
| Model | Average Size/±SD (d.nm) | Zeta Potential (mV) | Conductive (mS/cm) | Storage Temperature (°C) | Report Quality |
|---|---|---|---|---|---|
| IA | 2434.6/±203 | −45.9 | 0.036 | 4 | Excellent |
| 3233/±1269.5 | −48 | 0.030 | 25 | Excellent | |
| 4353/±1682.6 | −45 | 0.049 | 40 | Excellent | |
| IB | 3417/±917 | −41.1 | 0.024 | 4 | Good |
| 1419.7/±64.7 | −47.7 | 0.013 | 25 | Excellent | |
| 2164/±86 | −37.6 | 0.083 | 40 | Good | |
| IIA | 3056/±28.8 | −36.3 | 0.023 | 4 | Good |
| 3129/±120 | −44.1 | 0.025 | 25 | Good | |
| 3045/±186.6 | −39 | 0.065 | 40 | Good | |
| IIB | 2706/±317.5 | −26.9 | 0.023 | 4 | Average |
| 1472/±167 | -41.3 | 0.015 | 25 | Good | |
| 3001.6/±111.5 | −28.5 | 0.026 | 40 | Average | |
| IIIA | 2889.6/±149.9 | −43.5 | 0.048 | 4 | Good |
| 2007.6/±26.5 | −42.8 | 0.034 | 25 | Good | |
| 7103/±2447.7 | −38.8 | 0.045 | 40 | Poor | |
| IIIB | 2691/±53.6 | −30.7 | 0.039 | 4 | Good |
| 1157/±62.6 | −46.6 | 0.022 | 25 | Excellent | |
| 3932/±440 | −39.6 | 0.023 | 40 | Good | |
| IVA | 5059/±499.8 | −41.9 | 0.044 | 4 | Good |
| 1509/±675 | −37.6 | 0.058 | 25 | Good | |
| 3220.6/±331.8 | −39.1 | 0.032 | 40 | Good | |
| IVB | 4291/±34.5 | −36.9 | 0.023 | 4 | Good |
| 2083/±247.6 | −31.5 | 0.047 | 25 | Good | |
| 1922/±130.6 | −37.9 | 0.029 | 40 | Good |
| Model | Average Size/±SD (d.nm) | Zeta Potential (mV) | Conductive (mS/cm) | Storage Temperature (°C) | Report Quality |
|---|---|---|---|---|---|
| IA | 3754/±926.6 | −38.3 | 0.027 | 4 | Good |
| 2760/±254.6 | −48.1 | 0.027 | 25 | Excellent | |
| 3826/±994.7 | −29.9 | 0.069 | 40 | Average | |
| IB | 3037.6/±768.6 | −40.2 | 0.053 | 4 | Good |
| 3998.6/±655.5 | −40.6 | 0.022 | 25 | Good | |
| 4176/±771.8 | −29.5 | 0.051 | 40 | Average | |
| IIA | 3635/±329 | −25.7 | 0.035 | 4 | Average |
| 3129/±120 | −38.8 | 0.041 | 25 | Good | |
| 4176/±771.8 | −35.8 | 0.038 | 40 | Good | |
| IIB | 4156/±169.5 | −23.2 | 0.034 | 4 | Poor |
| 1928/±322 | −34.5 | 0.018 | 25 | Good | |
| 6190/±837.8 | −25.0 | 0.037 | 40 | Average | |
| IIIA | 7152.6/±1350.9 | −36.7 | 0.066 | 4 | Poor |
| 2054/±260 | −38.7 | 0.026 | 25 | Good | |
| 6729/±1596 | −20.4 | 0.091 | 40 | Poor | |
| IIIB | 2781.6/±385 | −37.8 | 0.025 | 4 | Good |
| 2768/±194.5 | −40.5 | 0.027 | 25 | Good | |
| 5014/±1070.5 | −38.6 | 0.031 | 40 | Good | |
| IVA | 2174.6/±150.9 | −46.0 | 0.051 | 4 | Excellent |
| 3003.6/±408 | −23.0 | 0.066 | 25 | Poor | |
| 5781/±381.6 | −23.2 | 0.091 | 40 | Poor | |
| IVB | 3657.6/±1134 | −29.2 | 0.035 | 4 | Average |
| 7157/±1839 | −18.7 | 0.048 | 25 | Poor | |
| 6756.6/±1205 | −18.1 | 0.065 | 40 | Poor |
| Target RH (%) | Change in Mass (%)—Sorption | |||||||
|---|---|---|---|---|---|---|---|---|
| IA | IB | IIA | IIB | IIIA | IIIB | IVA | IVB | |
| Initial | 83.65 | 89.67 | 105.21 | 80.87 | 92.60 | 98.65 | 102.72 | 109.03 |
| 0.0 | 83.49 | 89.42 | 105.04 | 80.67 | 92.42 | 98.43 | 102.46 | 108.74 |
| 10.0 | 63.69 | 62.36 | 83.42 | 58.55 | 67.15 | 70.62 | 70.54 | 74.27 |
| 20.0 | 52.64 | 52.55 | 71.44 | 48.65 | 51.31 | 53.98 | 53.43 | 57.51 |
| 30.0 | 45.91 | 48.99 | 64.07 | 43.57 | 40.49 | 42.81 | 44.23 | 48.99 |
| 40.0 | 41.65 | 47.76 | 59.33 | 40.77 | 32.77 | 35.96 | 39.43 | 44.68 |
| 50.0 | 39.08 | 47.82 | 55.98 | 39.18 | 27.15 | 29.36 | 37.14 | 42.88 |
| 60.0 | 39.06 | 48.66 | 53.63 | 38.25 | 23.15 | 25.45 | 37.01 | 42.89 |
| 70.0 | 39.20 | 50.85 | 53.62 | 38.28 | 20.08 | 22.53 | 37.4 | 43.62 |
| 80.0 | 40.71 | 54.65 | 52.41 | 39.18 | 19.24 | 22.28 | 40.27 | 46.46 |
| 90.0 | 46.28 | 62.63 | 52.46 | 43.79 | 19.85 | 24.56 | 46.47 | 52.62 |
| Target RH (%) | Change in Mass (%)—Desorption | |||||||
|---|---|---|---|---|---|---|---|---|
| IA | IB | IIA | IIB | IIIA | IIIB | IVA | IVB | |
| Initial | 83.65 | 89.67 | 105.21 | 80.87 | 92.60 | 98.65 | 102.72 | 109.03 |
| 90.0 | 46.28 | 62.63 | 52.46 | 43.79 | 19.85 | 24.56 | 46.47 | 52.62 |
| 80.0 | 42.66 | 57.32 | 51.39 | 45.02 | 19.84 | 20.4 | 45.39 | 49.88 |
| 70.0 | 39.3 | 52.56 | 50.40 | 37.43 | 18.49 | 19.22 | 40.37 | 44.36 |
| 60.0 | 36.96 | 49.71 | 49.38 | 35.09 | 15.63 | 17.82 | 37.25 | 43.04 |
| 50.0 | 35.26 | 47.82 | 48.71 | 33.67 | 13.90 | 16.56 | 35.16 | 41.65 |
| 40.0 | 34.02 | 46.47 | 47.83 | 33.76 | 12.49 | 15.4 | 33.68 | 39.95 |
| 30.0 | 33.15 | 45.71 | 47.20 | 33.75 | 12.57 | 14.35 | 32.57 | 38.89 |
| 20.0 | 32.72 | 45.11 | 46.98 | 33.00 | 12.56 | 13.51 | 31.87 | 38.09 |
| 10.0 | 32.39 | 44.64 | 46.77 | 32.98 | 12.55 | 13.12 | 31.51 | 37.65 |
| 0.0 | 32.13 | 44.33 | 46.61 | 32.96 | 12.54 | 12.92 | 31.19 | 37.35 |
Publisher’s Note: MDPI stays neutral with regard to jurisdictional claims in published maps and institutional affiliations. |
© 2020 by the authors. Licensee MDPI, Basel, Switzerland. This article is an open access article distributed under the terms and conditions of the Creative Commons Attribution (CC BY) license (http://creativecommons.org/licenses/by/4.0/).
Share and Cite
Adejokun, D.A.; Dodou, K. A Novel Method for the Evaluation of the Long-Term Stability of Cream Formulations Containing Natural Oils. Cosmetics 2020, 7, 86. https://doi.org/10.3390/cosmetics7040086
Adejokun DA, Dodou K. A Novel Method for the Evaluation of the Long-Term Stability of Cream Formulations Containing Natural Oils. Cosmetics. 2020; 7(4):86. https://doi.org/10.3390/cosmetics7040086
Chicago/Turabian StyleAdejokun, Deborah Adefunke, and Kalliopi Dodou. 2020. "A Novel Method for the Evaluation of the Long-Term Stability of Cream Formulations Containing Natural Oils" Cosmetics 7, no. 4: 86. https://doi.org/10.3390/cosmetics7040086
APA StyleAdejokun, D. A., & Dodou, K. (2020). A Novel Method for the Evaluation of the Long-Term Stability of Cream Formulations Containing Natural Oils. Cosmetics, 7(4), 86. https://doi.org/10.3390/cosmetics7040086

