Next Article in Journal
Topical Minoxidil-Loaded Nanotechnology Strategies for Alopecia
Previous Article in Journal
A Cosmetically Acceptable Dye Product to Improve Detection of Head Louse Eggs and Nits
 
 
Font Type:
Arial Georgia Verdana
Font Size:
Aa Aa Aa
Line Spacing:
Column Width:
Background:
Article

Powder Coating for Healthcare Aluminum Packaging

Department of Industrial Engineering, University of Trento, via Sommarive 9, 38123 Trento, Italy
*
Author to whom correspondence should be addressed.
Cosmetics 2020, 7(2), 20; https://doi.org/10.3390/cosmetics7020020
Submission received: 27 February 2020 / Revised: 12 March 2020 / Accepted: 16 March 2020 / Published: 26 March 2020

Abstract

:
Restrictive regulations concerning the toxicity of certain compounds and the use and disposal of solvents present in the liquid epoxy protection system have been analyzed in this work to evaluate powder coatings as an alternative in the protection of aerosol aluminum cans, which are employed in cosmetics and pharmaceutical product packaging. In this paper, the chemical resistance of polyester and mixed epoxy-polyester powder coatings is assessed, considering different aggressive environments employed in healthcare commercial products. The samples’ performances are also compared with the currently used liquid organic coatings. The pack test has been used to evaluate the protective system behavior in contact with both the liquid and the gaseous part of the cosmetic product. However, the visual observation, required by the test, enabled the highlight of only very evident degradation phenomena. The chemical resistance of the powder coatings has proved to be appropriate only for less aggressive environment, where the critical compounds are propellants, propane, butane and isobutane. When exposed to other environments containing alcohol, water and dimethyl ether, most samples have been susceptible to layer degradation phenomena. Polyester layers lose their corrosion protection properties. Epoxy systems, instead, result more performant than polyester resins, but they particularly suffer from the contact with dimethyl ether.

1. Introduction

The aluminum aerosol cans in the cosmetics market are usually coated inside with organic coatings in order to protect the surface from the contents, and to avoid possible contaminations of their content. Clearly, healthcare materials contaminated with corrosion products change their aspects and their properties. This represents a critical aspect, as the aluminum aerosol cans on the market often contain several types of materials, with different chemical reactivity. It is therefore not easy to protect aluminum from these materials, especially considering the long storage times of commercial products, before and during their use by consumers. To avoid possible contaminations, the organic coatings used in this field must satisfy very restrictive requirements. In fact, these products (hair lacquers, deodorants, shaving foams) come into contact with delicate body parts (face, skin, hair, lips), and they should not be contaminated by organic compounds coming from coatings and by corrosion products. In addition, the product visual appearance is very important. The contamination of products takes place in various ways. Organic coatings components can be extracted by the contained matter, which would act, in this case, as a solvent. Coating compounds could interact with the substances present in the liquid by forming other unwanted compounds. Moreover, the organic layers may delaminate from the metallic substrate as a consequence of adhesion loss. The last phenomenon is harmful either because the fragments of detached protective layer can block the dispenser, or because the consumer may find parts of the organic matter in the product, and the aluminum can surface loses its corrosion protection. Coating delamination occurs due to the migration of certain compounds through the coating to the interface with the substrate and interrupts the bond with the coating. Alcohols, compounds containing the phenol or hydroxyl group, and generally low molecular weight compounds represent the substances that can easily spread through the lattice and cause adhesion problems [1]. Another critical issue that may arise is the absorption by the film of certain product compounds, present in limited quantities, compromising the final qualities and properties of the product itself. In these healthcare products, in fact, added compounds are used in small but necessary amounts, such as phenoxyethanol to prevent loss of fragrance over time, benzoic acid as preservative, limonene and menthol to give perfume to the product. The organic coating should not be impregnated with them. However, this is not easy since alcohol and esters are usually easily absorbed by the polymers [2]. These organic coatings, even if applied inside the aluminum aerosol can, should have also good mechanical strength and good ductility, because after deposition of protective layering, the aluminum panel is subjected to a post-bending operation to form the can neck in order to apply the dispenser.
In the cosmetics market, therefore, there is a need for protective layers with special chemical and corrosion resistance, based on FDA (Food and Drug Administration) regulations (as there are not ad hoc rules for cosmetics) or the organic coating producer’s specifications. Based on Article 3 of the Regulation 1935/2004 of the European Parliament, for example, the materials chosen for food packaging, including protective coatings, must not constitute a danger to the health of the consumer, involve a change in the composition of the product and a deterioration of their organoleptic characteristics [3]. The organic coatings must also have good ductility and mechanical strength. Considering organic coatings, chemical resistance and the ductility are properties in contrast to each other. The first requires a high degree of crosslinking and high density, which leads to a greater chain lock and therefore a reduction of ductility of the organic layer [4]. A third important and essential feature is the adhesion properties, which must be very good. In fact, to minimize costs, the containers surface is not pre-treated before coating deposition. Nowadays cosmetic aluminum packaging market is still dominated by liquid organic coatings. There are several low-costs resins on the market, without particular adhesion problems on untreated surfaces. These have sufficient chemical and solvents resistance, can resist to high curing temperature (above 200 °C), and need a short curing time to complete the cross-linking process. These features reduce the process cost, and keep the productivity high.
Nevertheless, the increasingly restrictive regulations on solvent disposal, as well as the growing public attention to the environmental issue, prompted companies to look for powder coating products that could replace the coatings used nowadays [5,6,7,8]. Powder coating is a technique with no need of any solvents or dispersion media. Moreover, this type of coating needs very short process time compared to conventional coating process [9]. Dry powder coating can be performed using different technological approaches which include liquid assisted, or thermal adhesion or electrostatic coating [10].
The cosmetics market is wide and there are thousands different commercial products; however, aluminum aerosol cans are mainly used for hair lacquers, shaving foams, deodorants and environment perfumes. Although the products are very different from each other, they are made of common compounds such as propellants (propane, butane, isobutane, etc.), water, and ethyl alcohol. Companies in this market have divided the products into three aggressive classes depending on the contained compounds:
  • Low criticality products, which possess a combination of propane/butane/isopropane, or other kind of propellant;
  • Medium criticality products, containing propylene, including ethyl alcohol, or products containing ethyl alcohol and dimethyl ether (DME);
  • High criticality products, such as high-performance lacquers usually presenting a combination of water, ethyl alcohol and DME.
The three critical levels described above can be addressed by applying standard organic liquid paints. Low criticality products can in fact be used by protecting the container with epoxy coatings, while higher criticality products require the use of PAM (polyamide-imide) based coatings. Powder coatings are trying to get inside this market, monopolized until just a few years ago by liquid organic coatings, achieving good results for the medium-low criticality products, but finding obstacles for more aggressive substances. The mixed epoxy-polyester powder resin is already on the market, replacing in some cases the standard liquid epoxy coatings, thus covering the low and mid-low critical market slice.
The two main aims for the development and study of the powder organic coating systems are: the improvement of the properties of the available epoxy-polyester resin to cover even more critical products (medium and high criticality), and the development of a resin for medium-low critical issues, without the presence of bisphenol A (BPA) which is contained in epoxy resins and suspected of being dangerous to humans [7,11,12,13,14,15,16,17].
In this work, the behavior of two different types of resins for the protection of aluminum aerosol cans in the healthcare market were considered. Both types of resin were also modified by changing their formulation, increasing the crosslinking. The resistance properties of these four protection systems were compared to the behavior of a reference liquid epoxy resin, traditionally used on the market. These resins have been exposed to four different types of environments, representative of the most used commercial products, by means of the pack test, which allows to put in contact the inside product with the coating without loss of volatile components and gas. The samples degradation was evaluated by measurements of weight and hardness loss and infrared (FTIR) analysis. Finally, the corrosion protection properties of the coatings have been studied by electrochemical impedance spectroscopy (EIS) measurements.

2. Materials and Methods

2.1. Materials

In this work, two types of powder organic coatings are considered. The first is an epoxy-organic coating (labelled as E sample), already commercially used for medium-low critical products, and the second one is a polyester coating that is not on the market yet. Along with the standard epoxy coating, another organic coating with the same type of resin has been developed using a modified hardener with higher functionality in order to increase the crosslinking of the organic coatings, and therefore, in theory, a higher density and chemical resistance. The hardener, in fact, leads to an increase of the coating Tg value, as a consequence of a stronger crosslinking level. This coating is labelled as E-Mod. Standard polyester coating (P sample), which falls into the class of organic coatings not containing BPA, is not yet commercially available and is still at the preliminary stage of the production tests. Additionally, in this case the standard polyester coating has been modified with higher functionality in order to increase the crosslinking density (sample P-Mod). To have a comparison with the most commonly used liquid organic coating, the standard epoxy (Ref sample) has been also considered in pack test. Table 1 summarizes the different studied organic coatings samples with their characteristics and labels. The five types of coatings were supplied by Akzo Nobel Powder Coatings S.p.A. (Como—Italy).
Typical aluminum alloy AA1050 (99.50% Al) aerosol cans obtained from a rolled coil, were used as substrate. Before deposition of a protective layer, the surface aluminum panel was degreased in acetone subjecting it to a 10 min ultrasound stirring step. The powder coating was applied with a spray gun followed by 20 min at 190 °C as curing process. The reference liquid organic layer was realized by spray deposition followed by a curing process at 230 °C for 7 min. The thickness of the obtained coatings was equal to 15–25 µm. Figure 1 shows the coating of sample E, taken as a reference, as it is representative of the different coatings under examination. In fact, all the samples possess a compact layer, homogeneous in thickness and without microscopic defects such as bubbles or porosity.
Considering the bending necessity of the coated aluminum on the top for the construction of the complete aerosol can, as the first indication, the aluminum panel was bent using a cylindrical mandrel with a 3 mm bar following ISO 1519, without the presence of visible cracks or layer delamination. Finally, the samples (175 × 25 mm and 0.5 mm of thickness) for the different tests were obtained by mechanical cutting from the coated aerosol cans.
In addition, the deformation suitableness is connected with the hardness of the materials. Considering this aspect, the hardness of the coatings, before and after degradation tests, was collected as indicated in Section 2.2.
The most critical point in testing these coatings is to find an environment for the simulation of the service life of the protective layers in contact with the cosmetic products. Due to the complex products and the presence of volatile component, it is not possible to easily reproduce in laboratory the aggressive environments with the contemporaneous presence of liquid and gas phases with different chemical compounds. Industry companies recognize the pack test as a reliable procedure for the characterization of the coating resistance in operating environments, in case of protective layers used for aerosol cans under pressure. For the pack test conduction, in order to have different aggressive environments with specific chemical compositions, three of the most common hair lacquers and one spray deodorant present in the cosmetics market were chosen. In this way it was possible to cover all the representative critical classes and the various combinations of critical compounds for coatings. The used products are mentioned, but the quantities of the individual components are not specified. The chosen products are taken as a reference, as each manufacturer slightly changes the chemical concentrations, so it is impossible to find a product whose composition is perfectly equal to that of another product. The four environments, however, meet the requirements of the study presented in this work, as they are representative of the different levels of aggressiveness present in commercial products.
  • Environment 1: Presence of DME and alcohol (L’OREAL Viola Iper Forte)
  • Environment 2: Presence of water, alcohol, isobutene, propane and butane (Nivea Strong).
  • Environment 3: Simultaneous presence of DME, water and ethanol (Taft Classic). This combination should be the most aggressive.
  • Environment 4 (obtained from deodorant): Presence of a mixture of propane-isopropane-butane, with low aggressiveness, and it also has three phases unlike other products, a solid, a liquid and a gaseous one (Nivea Invisible Black and White).
The hair lacquers (environments 1, 2 and 3) are mainly composed of three components: filmogenes, vinyl synthetic resins (such as vinyl acetate, vinyl-pyrrolidone or acrylates) that create a resistant film; solvents, which keep in solution the film-forming compounds and allow the spraying process; and propellants, for the product dispensing. There is also a portion of additives (preservatives, fragrances, surfactants, etc.), and for some products even a percentage of water, which is preferable to keep low, because it is desirable to dry the product once stored on the hair as quickly as possible [18,19,20]. Alcohols, predominantly ethanol and isopropanol, are the mainly used solvents, while dimethyl ether (DME), propane, butane and isobutene are widely exploited as propellants. DME is a water-soluble ether, easy to liquefy even at low pressures (such as in the aerosol can) and is also an excellent solvent as well as a propellant [20]. The various samples have been labeled with a letter, indicating the type of resin used in the coating, followed by a number, indicating the environment to which they are subjected, as shown in Table 2. For example, sample P_2 is made of a standard polyester resin that has been subjected to the test environment number 2.

2.2. Characterization

The pack test consists of an 85 mL cylindrical waterproof container (200 mm height × 40 mm diameter), shown in Figure 2, which allows the cosmetic products (in this case hair lacquers) to be injected inside. Here the coated samples are located and subsequently submitted to the substances they will find in use. A part of the sample is immersed in the liquid and the other part is in contact with a gas phase, as in commercially available cans. The liquid fraction inside the container is equal to 50% of the entire volume, as in many commercial products. This aspect is very important, as the two phases (liquid and gaseous), present in these products, interact differently with the sample. The peculiarity of the pack test is that it allows the contents of the aerosol can to be emptied in the test environment, keeping the pressure constant and avoiding the loss of gas and volatile substances. The vessel has been therefore placed in an oven at 55 °C for 8 days, to speed up the processes. Thus, the “aged” samples have been subjected to several characterization tests (hardness, adhesion, adsorption, electrochemical test) to evaluate the integrity of the coating and its environmental resistance. In contrast to behavior during service life, the samples that were coated and tested with the pack test present edges (the samples consist of coated aluminum strips cut from the can), and they are not as continuous as the material inside the typical industrial aerosol can. This fact must therefore be taken into account in the coating resistance evaluation, as the samples possess weak spots at the edges, where defects and delamination can occur. However, this test is accepted and widely used by the organic coating producers and cosmetic companies. The samples were characterized before and after the pack test to compare the behavior of different kinds of coatings as well as to evaluate any leakage of property produced by the exposure to various environments. Therefore, the property loss was evaluated following the pack test by measuring any weight differences, as well as hardness tests. The hardness property of the coatings was measured with the Buchholz indentation test following the EN ISO NF 2815-2003 standard, both in the part of the sample immersed in the liquid and in the part in contact with the gases, in order to assess which part of the product (gaseous or liquid) has a greater interaction with the coating.
Different characterization tests were carried out, such as FTIR analysis using a Varian Excalibur 4100 instrument at 4000—400 cm−1, and differential scanning calorimetry (DSC) analyses, performed by using a Mettler DSC30 calorimeter. The hardness measurements were carried out by means of an ARW Misure indenter, following the UNI-EN-ISO 2815 standard. Finally, the coating defectiveness were analyzed by optical stereomicroscope (Nikon SMZ25) observation. Considering the protection properties of the coatings, EIS measurements were carried out at 15 mV (peak-to peak) and 105–10−2 Hz with the potentiostat Parstat 2273 and software PowerSuit ZSimpWin. The cell setup was composed of a platinum counter electrode, and an Ag/AgCl reference electrode (+207 mV versus SHE) immersed in a 0.1M sodium sulphate solution.
Each type of coating was studied by subjecting three samples of the same type to each of the four Pack Test environments. Consequently, all subsequent characterization analyses were reproduced on three coatings per sample (see Table 2—Sample label column).

3. Results and Discussion

3.1. Pack Test

Table 3 shows the behavior of the samples subjected to pack test in the different test environments, observed by optical microscope analysis.
As for the epoxy coating samples, environments 1 and 3 are very harmful, leading to the complete delamination of the coatings. Environment 2 appears instead to be less aggressive, especially for sample E-Mod, which is free of defects.
Polyester coatings, instead, seem to better behave if exposed in environment 1, especially in the case of sample P, which however shows high defectiveness in environment 2.
Finally, for all 4 series of samples, environment 4 is harmless, as it does not cause defects in protective layers. The Ref sample, on the other hand, does not show macroscopic defects, even after exposure in aggressive environments.
As described by Table 3, it seems that epoxy coatings are less resistant than the polyester based ones. However, the latter degradation level (though not completely delaminated) is very high (loss of hardness, solid residue inside the lattice, loss of corrosion barrier properties, etc.), and most of these coatings are unprotected.
The changes made to improve coating E (epoxy-based) have deteriorated its chemical resistance; in fact, this sample presents delamination in most environments.
As already explained, the pack test shows some critical issues. The edges in the test samples represent weak points that are not present in the final packaging application. Delamination may be due in some cases to the presence of edges and defects caused by sample cutting, and may therefore start more easily from these areas. For example, in samples E, shown in Figure 3, the bubbles are formed mainly near the edges, confirming the previous hypothesis. One of these bubbles is visible on the right of the figure: it has very high dimensions, with the diameter that exceeds 1000 µm in length.
By analyzing the pack test’s results, it is possible to identify the most responsible compounds for the loss of coating properties. Epoxy resins fail for environments 1 and 3, which contain DME. In fact, in addition to being a propellant, DME is a good solvent, and it will be found both in the liquid phase and in the gaseous one. Epoxy resins in particular suffer from contact with DME, because it is a similar compound presenting an epoxy ring. These considerations are not valid for the Ref sample, which is also epoxy based, as it has different cross-linking times and a more compact structure. In addition, it contains bisphenol-A (BPA), which the healthcare packaging industry would like to eliminate from their products.
Polyester based resins undergo an accentuated degradation, which sometimes does not lead to delamination, for environments 2 and 3. There are the presence at the same time of both water and alcohol, a particularly critical blend for polyester resins. The weight variations of the samples were collected before and after the Pack Test, and checked again 30 days after the degradation test to study a possible evaporation of uptake compounds in organic coatings. During this period, the samples were stored at ambient temperature and atmosphere. Table 4 shows the results of the weight difference measurements carried out on samples immediately after the pack test, and then after 30 days.
The selected samples did not show delamination or bubbles formation during the pack test. All organic coatings absorb a certain amount of product they come into contact with. Resins that do not undergo significant degradation have a modest weight increase, while delaminate resins absorb high amounts of solvents (and other compounds), about 10 times more than the other coatings. Therefore, there is a correspondence between absorption and failure of lattice. The weight variation measurements, made 30 days after the end of the pack test, show the tendency of mixed epoxy-polyester resins to have a weight gain while polyester resins show a weight loss. In both cases, the most degraded coatings have more weight variations. The weight loss of polyester samples is due to the fact that some parts of the protection layer are brought to solution, a symptom of a lattice coherence loss and a diffuse degradation of the protection layer. The increase of weight is instead due to the solid residue of the products used in the pack test; the various compounds penetrate and then remain within the coating lattice (for example the filmogenic part of the hair lacquers). In both cases, because these phenomena occur, the coating lattice loses consistency and lets other compounds enter into it, with consequent coating degradation. The Ref coating, on the other hand, shows no significant weight variations, with minimal contamination of the lacquer residues.

3.2. Hardness Measurements

The hardness property of the samples was evaluated using the Buchholz indentation technique, expressing the hardness value as 100/L, where L represents the average measured length of the grooves made during the measurement. The hardness of the coatings before the degradation tests is too high to be accurately measured with this technique, higher than 130–140 degrees Buchholz hardness. At the same time, the hardness test could not be performed on completely delaminated samples.
Table 5 shows the results of the samples hardness tests, performed for those samples which got in contact with both gaseous and liquid environments.
Some of the obtained results are outside the validity range of the standard, since the measured groove is too long in relation to the thickness of the coating. Therefore, some particularly low hardness values are not acceptable from the regulatory point of view, but are in any case reported and treated as reliable data, as they give an indication of the condition of the protective layer. It seems that the coatings suffer the most when immersed in the liquid of the environments 1 and 3, while in environment 2 there is a loss of hardness in both parts of the sample. On the contrary, the samples that have been subjected to environment 4 exhibit less hardness in the part in contact with the gases. This result is in line with expectations, in fact the solvents contained in the hair lacquers, which are the major responsible for the degradation of the resins, are in the liquid phase; ethyl alcohol, water and even a part of the DME present in the liquid phase can be found in environments 1, 2 and 3. The 4th environment does not have any particular solvents, but in the gas phase there are propellants (propane, butane and isobutane) that interact with the part of the sample in contact with them. Environment 2 also contains the propellants that are present in gas phase. In fact, there is a loss of hardness in particular in the sample part in contact with the gas. The various tests and coatings can be compared. Environment 2 reduces hardness in comparison with environment 1; environment 3 does not show enough undamaged coatings to be able to make concrete considerations; while environment 4 has little effect on coatings hardness change. Considering the type of resin, epoxy coatings maintain greater hardness than polyester: even for samples with delaminated zones or with bubbles, epoxy coatings still retain good hardness and have no weight leakage. Although the polyester-based samples withstand better in environments 2 and 3, as shown in Table 3, these coatings suffer instead from high weight variation (Table 4) and loss of hardness (Table 5), both symptomatic phenomena of a high degradation of the resin. These tests show that the various substances that come in contact with the coatings lead to a loss of coherence of the polymeric lattice and hence to a decrease in properties.

3.3. DSC Measurements

The differential scanning calorimetry (DSC) analysis were performed to measure the Tg of the various used organic coatings, showed in Table 6.
The measured Tg values show that for epoxy-polyester mixed resins there is a substantial increase in crosslinking with the hardener change (sample E-Mod), while for polyester resins there is only a few degrees’ increase. Tg of about 170 °C represents a high value for epoxy-polyester coatings, which therefore exhibit a high degree of brittleness. This is a typical value for a coating, which needs to present at the same time a good chemical resistance and a sufficient ductility for the aluminum coated foils bending without crack nucleation.
To highlight the influence of the aggressive environment on the polymeric matter, FTIR analysis are carried out on the samples after the contact with an environment possessing an intermediate aggressiveness such as environment 2. Environment 3, in fact, results too much aggressive, leading to the total degradation of the polymer, while in environment 1 the interactions result very light, with minimal change in polymeric structures. Figure 4 shows the FTIR spectra of sample E-Mod_2 (a), sample E-Mod_2 in contact with the liquid phase during the Pack Test (b) and sample E-Mod_2 in gas (c). The measurements (b) and (c) were carried out 30 days after the end of the Pack Test. The image shows the spectra of only sample E-Mod, as they are the least performing. All the powder coatings, after exposure to the liquid environment of the Pack Test, show the loss of the anhydrides (1785 cm−1), which are part of the hardening agent. The anhydrides in contact with ethyl alcohol or water should in fact open and react by forming an ester group and a carboxylic acid; the greater intensity of the peak of these functional groups is also explained (2800–2600 cm−1 range) [21]. In the sample in contact with the liquid (b), a decrease in intensity of the peaks at 1500 and 1250 cm−1 is observed, associated to the C-O bonds, due to an interaction between polymer and alcohol and isobutene present in the liquid part of the environment 2 [22,23].
Following the pack test, all the samples present peaks associated with the solid residues of the used products (environments 1, 2 and 3). In particular, the compounds, present in these environments, absorb in the spectrum region between 1800 cm−1 and 1000 cm−1, and it is precisely in these areas that the part of the sample in contact with the liquid phase presents the greatest modifications (Figure 4). The Ref sample shows minimal contamination and modification of the FTIR spectrum, confirming the lower tendency to deterioration in contact with this type of products, as already observed in Table 4, with non-significant weight variations.

3.4. Electrochemical Impedance Spectroscopy

Impedance tests were performed in a 0.1 M sodium sulphate solution; all the results shown below were collected after a day of immersion. The chosen test solution is not very aggressive, as this type of analysis was carried out to simply point out the coating’s damage, without influence on the degradation process. It was not possible to carry out these tests for all samples after the Pack Test, because it would not make sense to perform this type of analysis on delaminated or seriously compromised coatings. For example, Figure 5 shows the Bode impedance modulus spectra of sample E, before the pack test and after a 24 h of exposure in the different test environments.
Before the pack test, the coating is practically free from defects, presenting very high protection properties, with a 1011 Ohm cm2 order of magnitude of impedance modules, typical of protective powder coatings. Instead, after the pack test, a decrease in the value of the impedance module measured at low frequencies (10−2 Hz) is observed. For sample E, and in general for mixed epoxy-polyester (E-Mod) samples, the exposure in environments 1-2-3 produces a decrease of two to three orders of magnitude, due to the presence of alcohol and water. The exposure in environment 4 leads to a less severe degradation of the coating with a limited decrease of impedance modulus. However, in all cases, the impedance modulus at low frequencies remains higher than 106 Ohm cm2, indicating the permanence of protection properties [24,25,26]. The polyester resin (sample P) instead, and in general all the polyester-based samples, undergoes a degradation consistent with environments 1, 2 and 3, as shown in Figure 6.
The impedance decrease results are very high, lower than the protection threshold. Polyester coatings in fact particularly suffer from the contact with alcohol. For environment 4, which presents only propellant, the impedance module remains unchanged and very high, symptom of the low aggressiveness of this environment, as previously confirmed by Table 3 and Table 4.
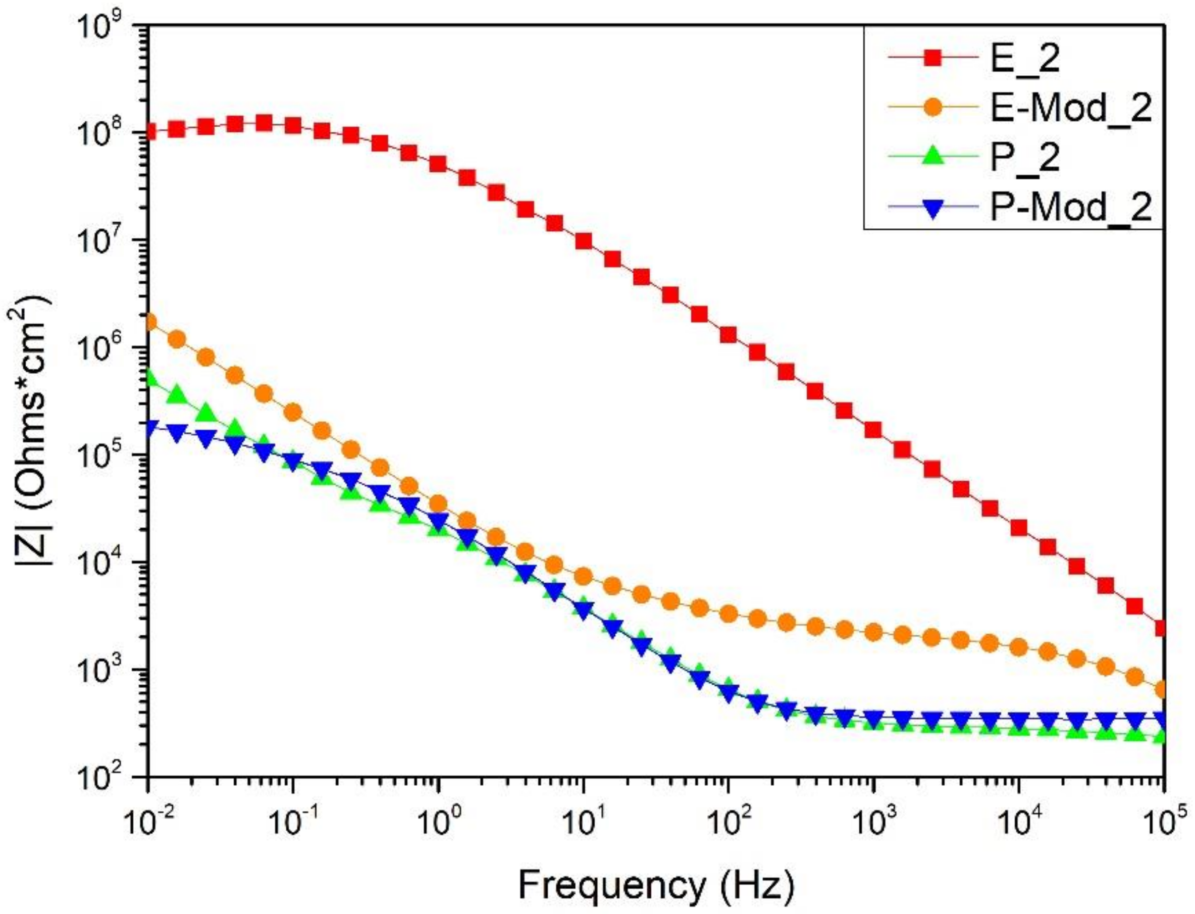
Figure 7 reported the EIS Bode modulus spectra comparing the behavior of the four types of samples after being exposed in environment 2: it shows that polyester samples (P and P-Mod) have an extremely low value of |Z|, while E (epoxy-based) maintains a just acceptable behavior. Despite this, the modification of the epoxy resin leads to a decrease in corrosion resistance properties. Sample E-Mod, in fact, degrades and shows a very similar impedance module to that of the polyester resins. In the electrochemical impedance measurements, the test in environment 2 has proved to be critical for sample E-Mod, as seen in Figure 7, but this result was not found in other tests. The E-Mod_2 sample appeared to be intact and without visible defects after the pack test. However, it must be considered that the EIS measurements are more sensitive to the presence of defects in the organic layers, and therefore they are more representative of the true state of degradation of the coating. For example, at high frequencies there is the time constant relative to the organic coating. The difference in modulus observed is relative to the fact that, except for E_2, the coatings show low protection and therefore a very low coating resistance.

4. Conclusions

In this paper, the powder coatings were studied as alternative to solvent tradition organic coatings in the cosmetic matter packaging. The pack test allowed us to expose the different types of coatings in real environments, representative of the life in use of the products, both in the gaseous and liquid phase.
The coatings seem to suffer the most from the contact with the liquid phase of the test environment. A visual observation allows to highlight only very evident degradation phenomena, with delamination and blisters. To get an idea of the real drop in protection, it is necessary to use EIS measures that show also the formation of microscopic defects that drastically reduce the protective properties under the minimum required threshold. The chemical resistance of the powder coatings has proved to be appropriate only for the less aggressive environment, where the critical compounds are only propellants, propane, butane and isobutane. Following exposure to other environments, where alcohol, water and DME are present, most samples have been susceptible to layer delamination, blisters formation and degradation of protection properties.
Considering epoxy coatings, the collected data showed that these layers particularly suffer from the contact with dimethyl ether, which is a good solvent for this resin, since it is a compound similar to polyether, which form the epoxy resin lattice chains. Compared to epoxy coatings, polyester coatings showed that, when exposed in environments with different critical levels (1, 2 and 3), they lose their corrosion protection properties. This happens even to those coatings that, following the pack test, have no particular visible defects and seem more intact than the respective epoxy samples. The polyester coatings also suffer from a greater loss of hardness, a higher solvent absorption and weight variations, which are symptom of degradation and loss of coherence in the lattice, more pronounced than the epoxy ones. On the other hand, the reference liquid coating Ref does not undergo any appreciable degradation or interactions with the various compounds it comes into contact with. To conclude, this study on powder coatings for application in the field of cosmetics shows that there is still a great deal of distance between powder and liquid coatings. The nature of the resins that can be used with powder technology is still too limiting for now, and being able to create homogeneous, thick and defect-free coatings is not enough to overcome the problem of chemical affinity with the compounds these coatings come in contact with.

Author Contributions

Conceptualization, S.R. and M.T.; methodology, S.R and M.C.; validation, M.C., S.R. and M.T.; data curation, M.C. and S.R.; writing—original draft preparation, M.C.; writing—review and editing, M.C. and S.R.; project administration, S.R. All authors have read and agreed to the published version of the manuscript.

Funding

This research received no external funding

Conflicts of Interest

The authors declare no conflict of interest.

References

  1. Garrido-López, Á.; Santa-Cruz, A.; Moreno, E.; Cornago, J.; Canas, M.C.; Tena, M.T. Determination of cosmetic ingredients causing extrusion-coated and adhesive joint multilayer packaging delamination. Packag. Technol. Sci. 2009, 22, 415–429. [Google Scholar]
  2. Gustavo, O.; Tena, M.T. Headspace solid-phase microextraction gas chromatography–mass spectrometry method for the identification of cosmetic ingredients causing delamination of packagings. J. Chromatogr. A 2006, 1101, 32–37. [Google Scholar]
  3. Regulation 1935/2004 of the European Parliament, Article 3. 2004. Available online: https://eur-lex.europa.eu/LexUriServ/LexUriServ.do?uri=OJ:L:2004:338:0004:0017:en:PDF (accessed on 15 March 2020).
  4. Misev, T.A. Powder Coatings: Chemistry and Technology, 1st ed.; John Wiley & Sons Inc.: New York, NY, USA, 1991. [Google Scholar]
  5. Rossi, S.; Fedel, M.; Petrolli, S.; Deflorian, F. Behaviour of different removers on permanent anti-graffiti organic coatings. J. Build. Eng. 2016, 5, 104–113. [Google Scholar]
  6. Rossi, S.; Fedel, M.; Deflorian, F.; Zanol, S. Influence of different colour pigments on the properties of powder deposited organic coatings. Mater. Des. 2013, 50, 332–341. [Google Scholar]
  7. Deflorian, F.; Rossi, S.; Fedel, M.; Ecco, L.G.; Bastarolo, M. Study of the effect of corrosion inhibitors on powder coatings applied on steel. Prog. Org. Coat. 2014, 77, 2133–2139. [Google Scholar]
  8. Scrinzi, E.; Rossi, E.; Deflorian, F. Effect of slurry mechanical damage on the properties of an organic coating. Surf. Coat. Technol. 2009, 203, 2974–2981. [Google Scholar]
  9. Smikalla, M.; Mescher, A.; Walzel, P.; Urbanetz, N.A. Impact of excipients on coating efficiency in dry powder coating. Int. J. Pharm. 2015, 405, 122–131. [Google Scholar]
  10. Sauer, D.; Cerea, M.; Di Nunzio, J.; McGinity, J.W. Dry powder coating of pharmaceuticals: A review. Int. J. Pharm. 2013, 457, 488–502. [Google Scholar]
  11. Marraudino, M.; Bonaldo, B.; Farinetti, A.; Panzica, G.; Ponti, G.; Gotti, S. Metabolism Disrupting Chemicals and Alteration of Neuroendocrine Circuits Controlling Food Intake and Energy Metabolism. Front. Endocrinol. 2019, 9, 766. [Google Scholar]
  12. Montazeri, M.; Eckelman, M.J. Life cycle assessment of UV-Curable bio-based wood flooring coatings. J. Clean. Prod. 2018, 192, 932–939. [Google Scholar]
  13. Lipke, U.; Haverkamp, J.; Zapf, T.; Lipperheide, C. Matrix effect on leaching of Bisphenol A diglycidyl ether (BADGE) from epoxy resin based inner lacquer of aluminium tubes into semi-solid dosage forms. Eur. J. Pharm. Biopharm. 2016, 101, 1–8. [Google Scholar]
  14. Mráz, M.; Svačina, S.; Kotrlíková, E.; Piecha, R.; Vrbík, K.; Pavloušková, J.; Lacinová, Z.; Vavrouš, A.; Müllerová, D.; Matějková, D.; et al. Potential sources of phthalates and bisphenol A and their significance in the development of metabolic diseases. Cas. Lek. Ceskych 2016, 155, 11–15. [Google Scholar]
  15. Michałowicz, J. Bisphenol A—Sources, toxicity and biotransformation. Environ. Toxicol. Pharmacol. 2014, 37, 738–758. [Google Scholar]
  16. Colonna, M.; Gioia, C.; Celli, A.; Minesso, A. Powder Coatings from Recycled Polymers and Renewable Resources. In Biobased and Environmentally Benign Coatings, 1st ed.; Tiwari, A., Soucek, M.D., Eds.; Wiley-Scrivener: Beverly, MA, USA, 2016; pp. 279–300. [Google Scholar]
  17. Yang, Y.; Sung, Y.S.; Chein, C.H.; Huang, Y.H. Light stabilisers for environmentally friendly coatings. Polym. Paint Colour J. 2012, 4571, 16–18. [Google Scholar]
  18. Yoshida, H. Chemistry of lacquer. J. Chem. Soc. 1983, 43, 472–486. [Google Scholar]
  19. Lu, R.; Miyakoshi, T. Lacquer Chemistry and Application, 1st ed.; Elsevier: Alpharetta, GA, USA, 2015. [Google Scholar]
  20. Doolittle, A.K. Lacquer solvents in commercial use. Ind. Eng. Chem. 1935, 27, 1169–1179. [Google Scholar]
  21. Euranto, E.K. The Chemistry of Carboxylic Acids and Esters, 1st ed.; Patai, S., Ed.; Chapter 11; Wiley-Interscience: New York, NY, USA, 1969. [Google Scholar]
  22. Samanta, A.; Chanda, D.K.; Das, P.S.; Ghosh, J.; Dey, A.; Das, S.; Mukhopadhyay, A. Synthesis of Mixed Calcite-Calcium Oxide Nanojasmine Flowers. Ceram. Int. 2015, 42, 2339–2348. [Google Scholar]
  23. Mazurek-Budzynska, M.; Rokicki, G. Investigations on the synthesis and properties of biodegradable poly (ester-carbonate-urea-urethane) s. Pol. J. Chem. Technol. 2013, 15, 80–88. [Google Scholar]
  24. Rossi, S.; Deflorian, F.; Fontanari, L.; Cambruzzi, A.; Bonora, P.L. Electrochemical measurements to evaluate the damage due to abrasion on organic protective system. Prog. Org. Coat. 2005, 52, 288–297. [Google Scholar]
  25. Rossi, S.; Calovi, M.; Fedel, M. Corrosion protection of aluminum foams by cataphoretic deposition of organic coatings. Prog. Org. Coat. 2017, 109, 144–151. [Google Scholar]
  26. Amirudin, A.; Thierry, D. Application of electrochemical impedance spectroscopy to study the degradation of polymer-coated metals. Prog. Org. Coat. 1995, 26, 1–28. [Google Scholar]
Figure 1. Coating appearance.
Figure 1. Coating appearance.
Cosmetics 07 00020 g001
Figure 2. Pack test apparatus.
Figure 2. Pack test apparatus.
Cosmetics 07 00020 g002
Figure 3. Samples E, where the red arrows indicate the presence of bubbles. On the right, the magnification of one of these bubbles is shown.
Figure 3. Samples E, where the red arrows indicate the presence of bubbles. On the right, the magnification of one of these bubbles is shown.
Cosmetics 07 00020 g003
Figure 4. FTIR spectra of sample E-Mod_2 (a), sample E-Mod_2 in liquid (b) and sample E-Mod_2 in gas (c).
Figure 4. FTIR spectra of sample E-Mod_2 (a), sample E-Mod_2 in liquid (b) and sample E-Mod_2 in gas (c).
Cosmetics 07 00020 g004
Figure 5. Bode impedance modulus of sample E series before the pack test and after 24 h of exposure in the different test environments.
Figure 5. Bode impedance modulus of sample E series before the pack test and after 24 h of exposure in the different test environments.
Cosmetics 07 00020 g005
Figure 6. Bode impedance modulus of sample P series before the pack test and after 24 h of exposure in the different test environments.
Figure 6. Bode impedance modulus of sample P series before the pack test and after 24 h of exposure in the different test environments.
Cosmetics 07 00020 g006
Figure 7. Bode impedance modulus of samples related to environment 2.
Figure 7. Bode impedance modulus of samples related to environment 2.
Cosmetics 07 00020 g007
Table 1. Sample labels with respective characteristics.
Table 1. Sample labels with respective characteristics.
CoatingCoating Sample LabelsCharacteristics
Epoxy-polyesterEstandard epoxy-polyester coating
E-Modmodified epoxy-polyester coating
PolyesterPstandard polyester coating
P-Modmodified standard polyester coating
Epoxy (liquid)Refstandard epoxy coating
Table 2. Sample labels.
Table 2. Sample labels.
Coating TypeEnvironmentSample Label
E1E_1
2E_2
3E_3
4E_4
E-Mod1E-Mod_1
2E-Mod_2
3E-Mod_3
4E-Mod_4
P1P_1
2P_2
3P_3
4P_4
P-Mod1P-Mod_1
2P-Mod_2
3P-Mod_3
4P-Mod_4
Ref1Ref_1
2Ref_2
3Ref_3
4Ref_4
Table 3. Pack test results.
Table 3. Pack test results.
EnvironmentEpoxy CoatingEpoxy-Polyester CoatingLiquid Epoxy Coating
Coating ECoating E-ModCoating PCoating P-ModCoating Ref
1delamination in gascomplete delaminationOKbubblesOK
2bubbles on the edgesOKbubblesOKOK
3bubbles on the edgescomplete delaminationbubbles on the edgescomplete delaminationOK
4OKOKOKOKOK
Table 4. Weight change measurements of the selected samples at the end of the pack test and after 30 days.
Table 4. Weight change measurements of the selected samples at the end of the pack test and after 30 days.
SampleWeight Increase after the Pack Test (%)Weight Change after 30 Days (%)
E_24.18000.5639
E_40.16250.1073
E-Mod_20.85250.3545
E-Mod_40.13500.0898
P_10.54250.1194
P_40.77250.1488
P-Mod_20.8075−0.2108
P-Mod_40.60250.2236
Ref_10.1600−0.0099
Ref_20.0375−0.0075
Ref_30.0550−0.0050
Ref_40.0300−0.0050
Table 5. Buchholz hardness measurements related to the samples that do not shows coatings delamination or blister.
Table 5. Buchholz hardness measurements related to the samples that do not shows coatings delamination or blister.
SampleHardness in Liquid (100/L)Hardness in Gas (100/L)
E_1125total delamination
E_27393
E_4132121
E-Mod_293111
E-Mod_4117102
P_193119
P_24647
P_34875
P_410693
P-Mod_1bubbles presence105
P-Mod_258100
P-Mod_4143118
Table 6. Tg values of the 4 samples series.
Table 6. Tg values of the 4 samples series.
SampleTg (°C)
Coating E130
Coating E-Mod173
Coating P104
Coating P-Mod109

Share and Cite

MDPI and ACS Style

Rossi, S.; Calovi, M.; Tonelli, M. Powder Coating for Healthcare Aluminum Packaging. Cosmetics 2020, 7, 20. https://doi.org/10.3390/cosmetics7020020

AMA Style

Rossi S, Calovi M, Tonelli M. Powder Coating for Healthcare Aluminum Packaging. Cosmetics. 2020; 7(2):20. https://doi.org/10.3390/cosmetics7020020

Chicago/Turabian Style

Rossi, Stefano, Massimo Calovi, and Matteo Tonelli. 2020. "Powder Coating for Healthcare Aluminum Packaging" Cosmetics 7, no. 2: 20. https://doi.org/10.3390/cosmetics7020020

APA Style

Rossi, S., Calovi, M., & Tonelli, M. (2020). Powder Coating for Healthcare Aluminum Packaging. Cosmetics, 7(2), 20. https://doi.org/10.3390/cosmetics7020020

Note that from the first issue of 2016, this journal uses article numbers instead of page numbers. See further details here.

Article Metrics

Back to TopTop