Understanding the Perceptual Spectrum of Commercial Perfumes as a Basis for a Standard Sensory Wheel of Fragrances
Abstract
1. Introduction
2. Materials and Methods
2.1. Comparison of Two Fragrance Maps and Discussion of the Sample
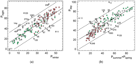
2.2. Daytime versus Nighttime Preference and Seasonal Preference
2.3. Quantitative Odor Profiles from Fragrantica’s Website
2.4. Dichotomic Matrix of Odor Profiles
2.5. Statistical Analysis
3. Results
3.1. Representativeness of the Perfume Set in the Market around the 1990s
3.2. Quantitative Odor Profiles from Fragrantica’s Website
3.3. Dichotomic Matrix of Odor Profiles
3.4. Multivariate Analysis of Olfactory Profiles
3.5. Daytime versus Nighttime and Seasonal Preference
3.6. Prediction of Daytime versus Nighttime Preference and Seasonal Preference
3.7. Prediction of the Cool Odor Character
3.8. Relationship between Cool, Oriental, and Winter Fragrances
3.9. Regression Models about “Like” versus “Dislike”
3.10. Classification of Perfumes as Men’s versus Women’s
4. Discussion
4.1. Interpretation of Daytime versus Nighttime Preference
4.2. Interpretation of the Masculine versus Feminine Polarity
4.3. Representativeness of the Perfume Set According to the Modern Market
5. Conclusions
Supplementary Materials
Funding
Acknowledgments
Conflicts of Interest
References
- Jellinek, J.S. Perfume classification: A new approach. In Fragrance: The Psychology and Biology of Perfume; Van Toller, S., Dodd, G.H., Eds.; Chapman & Hall: London, UK, 1992; pp. 229–242. [Google Scholar]
- Wörner, P. Genealogy of Perfumes, 2nd ed.; Wörner, P., Ed.; Haarmann & Reimer: Holzminden, Germany, 1978. [Google Scholar]
- Glöss, W. H&R Fragrance Guide: Feminine and Masculine Notes, 2nd ed.; Glöss, W., Ed.; Glöss Verlag: Hamburg, Germany, 1991. [Google Scholar]
- Haarmann & Reimer. The H&R Genealogy: Feminine Fragrances, 11th ed.; H&R: Holzminden, Germany, 2002; Available online: http://www.leffingwell.com/h&rfragrance/poster_genealogie_feminin.pdf (accessed on 10 December 2019).
- Symrise Fragrances Genealogy 2015, 23rd ed.; Symrise AG: Holzminden, Germany, 2015; Available online: http://symrisegenealogy.com (accessed on 28 January 2016).
- Eurofragrance 2011: Feminine Fragrances Genealogy. Available online: http://www.eurofragance.com/docs/26_2011_fem_geneology_eurofragance.jpg (accessed on 10 September 2015).
- Société Française des Parfumeurs. La Classification des Parfums, 3rd ed.; Comité Français du Parfum: Paris, France, 1998. [Google Scholar]
- Olfactive Families of Fragrances According to the French Society of Perfumers. Available online: https://www.parfumeurs-createurs.org/fr/filiere-parfum/les-familles-olfactives-102 (accessed on 10 June 2019).
- Groom, N. The New Perfume Handbook, 2nd ed.; Blackie Academic & Professional: London, UK, 1997. [Google Scholar]
- Edwards, M. The Fragrance Manual, 1st ed.; Crescent House Publishing: La Quinta, CA, USA, 1984. [Google Scholar]
- Edwards, M. Fragrances of the World: Parfums du Monde 2010, 26th ed.; Fragrances of the World: Sydney, BC, Canada, 2010. [Google Scholar]
- Osmoz Website for Olfactory Exploration of Men’s and Women’s Commercial Fragrances. Available online: http://www.osmoz.com/perfumes/search (accessed on 10 September 2015).
- Turin, L.; Sanchez, T. Perfumes: The A-Z Guide; Penguin Books: New York, NY, USA, 2009. [Google Scholar]
- Jaubert, J.N.; Tapiero, C.; Doré, J.C. The field of odors: Toward a universal language for odor relationships. Perfum. Flavorist 1995, 20, 1–16. [Google Scholar]
- Chastrette, M.; de Saint Laumer, J.Y.; Sauvegrain, P. Analysis of a system of description of odors by means of four different multivariate statistical methods. Chem. Senses 1991, 16, 81–93. [Google Scholar] [CrossRef]
- Thiboud, M. Empirical classification of odors. In Perfumes: Art, Science and Technology; Müller, P.M., Lamparsky, D., Eds.; Elsevier: New York, NY, USA, 1991; pp. 253–286. [Google Scholar]
- Haldiman, R.F.; Schuenemann, T. The hexagon of fragrance families. Dragoco Rep. 1990, 37, 83–89. [Google Scholar]
- Milotic, D. The impact of fragrance on consumer choice. J. Consum. Behav. 2003, 3, 179–191. [Google Scholar] [CrossRef]
- Cadoret, M.; Lê, S.; Pagès, J. A factorial approach for sorting task data (FAST). Food Qual. Prefer. 2009, 20, 410–417. [Google Scholar] [CrossRef]
- Veramendi, M.; Herencia, P.; Ares, G. Perfume odor categorization: To what extent trained assessors and consumers agree? J. Sens. Stud. 2013, 28, 76–89. [Google Scholar] [CrossRef]
- Kostov, B.; Bécue-Bertaut, M.; Husson, F. An original methodology for the analysis and interpretation of word-count based methods: Multiple factor analysis for contingency tables complemented by consensual words. Food Qual. Prefer. 2014, 32, 35–40. [Google Scholar] [CrossRef]
- Teixeira, M.A.; Rodríguez, O.; Rodrigues, A.E. Perfumery radar: A predictive tool for perfume family classification. Ind. Eng. Chem. Res. 2010, 49, 11764–11777. [Google Scholar] [CrossRef]
- Teixeira, M.A.; Barrault, L.; Rodríguez, O.; Carvalho, C.C.; Rodrigues, A.E. Perfumery radar 2.0: A step toward fragrance design and classification. Ind. Eng. Chem. Res. 2014, 53, 8890–8912. [Google Scholar] [CrossRef]
- Harder, U. Der H&R duftkreis. Haarman Reimer Contact 1979, 23, 18–27, An Updated Version in English. Available online: http://www.leffingwell.com/h&rfragrance/Fragrance%20Families.pdf (accessed on 10 December 2019).
- Jasper, A.; Wagner, N. Notes on Scent. Cabinet. 2008. Available online: http://cabinetmagazine.org/issues/32/jasper_wagner.php (accessed on 10 December 2019).
- Zarzo, M. What is a fresh scent in perfumery? Perceptual freshness is correlated with substantivity. Sensors 2013, 13, 463–483. [Google Scholar] [CrossRef] [PubMed]
- Jellinek, J.S. A consumer oriented classification of perfumes. Dragoco Rep. 1990, 37, 16–29. [Google Scholar]
- Müller, J. The H&R Book of Perfume: Understanding Fragrance; Origins, History, Development: Guide to Fragrance Ingredients; Glöss Verlag: Hamburg, Germany, 1992. [Google Scholar]
- Green, M. Natural Perfumes: Simple Aromatherapy Recipes; Interweave Press: Loveland, CO, USA, 1999. [Google Scholar]
- Zarzo, M.; Stanton, D.T. Understanding the underlying dimensions in perfumers’ odor perception space as a basis for developing meaningful odor maps. Atten. Percept. Psychophys. 2009, 71, 225–247. [Google Scholar] [CrossRef] [PubMed]
- Boelens, H.; Haring, H.G. Molecular Structure and Olfactive Quality; Naarden International (internal report): Bussum, The Netherlands, 1981. [Google Scholar]
- Zarzo, M. Underlying dimensions in the descriptive space of perfumery odors: Part II. Food Qual. Prefer. 2015, 43, 79–87. [Google Scholar] [CrossRef]
- Richardson, A. Measurement of fragrance perception. In The Chemistry of Fragrances; Pybus, D.H., Sell, C.S., Eds.; The Royal Society of Chemistry: Cambridge, UK, 1999; pp. 145–157. [Google Scholar]
- Moran, J. Fabulous Fragrances II: A Guide to Prestige Perfumes for Women and Men; Crescent House Publishing: La Quinta, CA, USA, 2000. [Google Scholar]
- Jellinek, P. Die Psychologischen Grundlagen der Parfümerie; Alfred Hüthig Verlag: Heidelberg, Germany, 1951. [Google Scholar]
- Dove, R. The Essence of Perfume; Black Dog Publishing: London, UK, 2014; p. 51. [Google Scholar]
- Harper, R. Some chemicals representing particular odour qualities. Chem. Senses 1975, 1, 353–357. [Google Scholar] [CrossRef]
- Brud, W.S. Words versus odors: How perfumers communicate. Perfum. Flavorist 1986, 11, 27–44. [Google Scholar]
- Calkin, R.R.; Jellinek, J.S. Perfumery: Practice and Principles, 1st ed.; Wiley: New York, NY, USA, 1994. [Google Scholar]
- Jellinek, P. Personal perfume selection. In The Psychological Basis of Perfumery, 4th ed.; Jellinek, J.S., Ed.; Chapman & Hall: London, UK, 1997; pp. 153–161. [Google Scholar]
- Fenko, A.; Schifferstein, H.N.J.; Huang, T.C.; Hekkert, P. What makes products fresh: The smell or the colour? Food Qual. Prefer. 2009, 20, 372–379. [Google Scholar] [CrossRef]
- Mensing, J.; Beck, C. The psychology of fragrance selection. In Perfumery: The Psychology and Biology of Fragrance; Van Toller, S., Dodd, G.H., Eds.; Chapman & Hall: London, UK, 1988; pp. 185–204. [Google Scholar]
- Yokoyama, K.; Ebisawa, F. Detection and evaluation of fragrances by human reactions using a chemical sensor based on adsorbate detection. Anal. Chem. 1993, 65, 673–677. [Google Scholar] [CrossRef]
- Higuchi, T.; Shoji, K.; Hatayama, T. Multidimensional scaling of fragrances: A comparison between the verbal and non-verbal methods of classifying fragrances. Jpn. Psychol. Res. 2004, 46, 10–19. [Google Scholar] [CrossRef]
- Lindqvist, A. Perfume preferences and how they are related to commercial gender classifications of fragrances. Chemosens. Percept. 2012, 5, 197–204. [Google Scholar] [CrossRef]






| Source | Nobs | Variables | Code 1 | |||
|---|---|---|---|---|---|---|
| Values | Nexcl | Nincluded | ||||
| Jellinek [1,27] | 176 | −5 to 5 | 2 2 | 0 | ||
| FrD: from consumer preferences | 171 | in % | 3 | 6 | Pday, Pnight, Pspring, Psummer, Pfall, Pwinter | ♦ |
| FrD: from main accords | 171 | 0 to 5 | 14 | 18 | Xaldehydic, Xamber, Xanimalic, Xaromatic, Xbalsamic, Xcitrus, Xearthy, Xfloral, Xfresh-spicy, Xfruity, Xgreen, Xherbal, Xleather, Xmusky, Xpowdery, Xsweet, Xwarm-spicy, Xwoody | ♦ |
| Haarmann & Reimer (H&R) guide [3] | 176 | 0 or 1 | 12 | 16 | IHRaldehydic, IHRambery, IHRbalsamic, IHRcitrusy, IHRfloral, IHRfresh, IHRfruity, IHRgreen, IHRherbaceous, IHRleathery, IHRmossy, IHRpowdery, IHRspicy, IHRsweet, IHRwarm, IHRwoody | ● |
| Edwards’s guide (EdG) [11] | 163 | 0 or 1 | - | 3 | IEDfloral, IEDoriental, IEDfresh | ■ |
| FrD, H&R [3], FSP [7], EdG [11] | 176 | 0 or 1 | - | 5 | Ialdehyde, Ichypre, Ifruity, Iaromatic, IFEM | ■ |
| Women’s Fragrances | Men’s and Unisex Fragrances | |||||||||||||
|---|---|---|---|---|---|---|---|---|---|---|---|---|---|---|
| H&R Categories | Scool1 | NJelli | NH&R | PJelli | PH&R | H&R Categories | Scool1 | NJelli | NH&R | PJelli | PH&R | |||
| Floral fresh | 0.1 | 9 | 32 | 7.6 | 7.3 | Lavender fresh | 0 | 7 | 0.0 | 2.0 | ||||
| Floral green | 0.6 | 7 | 20 | 5.9 | 4.6 | Lavender spicy | 3.9 | 2 | 8 | 3.4 | 2.3 | |||
| Floral fruity | 3.1 | 2 | 20 | 1.7 | 4.6 | Fougère fresh | 1.7 | 15 | 59 | 25.9 | 16.7 | |||
| Floral floral | −1.6 | 20 | 85 | 16.9 | 19.4 | Fougère floral | 3.0 | 6 | 24 | 10.3 | 6.8 | |||
| Floral aldehydic | −0.8 | 15 | 71 | 12.7 | 16.2 | Fougère woody | 1.4 | 5 | 22 | 8.6 | 6.2 | |||
| Floral ambery | −3.3 | 14 | 43 | 11.9 | 9.8 | Fougère ambery | 0 | 8 | 0.0 | 2.3 | ||||
| Oriental ambery | −3.4 | 10 | 37 | 8.5 | 8.4 | Oriental ambery | −0.9 | 3 | 23 | 5.2 | 6.5 | |||
| Oriental spicy | −2.2 | 6 | 23 | 5.1 | 5.2 | Oriental spicy | −0.4 | 3 | 21 | 5.2 | 5.9 | |||
| Chypre fresh | 3.5 | 3 | 9 | 2.5 | 2.1 | Chypre fresh | 3.7 | 1 | 13 | 1.7 | 3.7 | |||
| Chypre green | 1.6 | 4 | 10 | 3.4 | 2.3 | Chypre green | 1.8 | 4 | 14 | 6.9 | 4.0 | |||
| Chypre fruity | −0.3 | 5 | 14 | 4.2 | 3.2 | Chypre coniferous | 1.9 | 1 | 17 | 1.7 | 4.8 | |||
| Chypre floral | −0.5 | 11 | 36 | 9.3 | 8.2 | Chypre woody | 1.7 | 3 | 28 | 5.2 | 7.9 | |||
| Chypre floral-animalic | 0.1 | 12 | 39 | 10.2 | 8.9 | Chypre leathery | 0.8 | 11 | 59 | 19.0 | 16.7 | |||
| Citrus fresh | 4.7 | 1 | 10 | 1.7 | 2.8 | |||||||||
| Citrus green | 0 | 6 | 0.0 | 1.7 | ||||||||||
| Citrus fantasy | 4.5 | 2 | 27 | 3.4 | 7.6 | |||||||||
| Citrus floral | 4.0 | 1 | 7 | 1.7 | 2.0 | |||||||||
| Total | 118 | 439 | 100 | 100 | Total | 58 | 353 | 100 | 100 | |||||
| Top Note 1 | NF | NM | DPG2 | Middle Note 1 | NF | NM | DPG2 | Base Note 1 | NF | NM | DPG2 | ||
|---|---|---|---|---|---|---|---|---|---|---|---|---|---|
| fresh * | 236 | 340 | −6.0 | fresh | 13 | 50 | −3.1 | fresh | 1 | 7 | −0.9 | ||
| floral * | 84 | 2 | 4.7 | floral | 435 | 246 | 4.1 | floral | 47 | 0 | 3.3 | ||
| green * | 155 | 85 | 2.1 | green | 24 | 11 | 0.8 | green | 1 | 0 | |||
| herbaceous * | 9 | 156 | −8.8 | herbaceous | 1 | 6 | −0.8 | herbaceous | 0 | 2 | |||
| spicy * | 56 | 107 | −3.6 | spicy | 55 | 189 | −7.6 | spicy | 0 | 1 | |||
| fruity * | 147 | 4 | 7.0 | fruity | 21 | 3 | 1.5 | fruity | 3 | 0 | |||
| dry | 14 | 5 | 0.7 | dry | 13 | 50 | −3.1 | dry | 0 | 0 | |||
| cool | 5 | 0 | 0.7 | cool | 19 | 7 | 0.9 | cool | 0 | 0 | |||
| woody * | 0 | 3 | woody | 25 | 141 | −7.1 | woody | 155 | 150 | −1.2 | |||
| sweet * | 1 | 0 | sweet | 46 | 4 | 2.8 | sweet | 108 | 49 | 2.3 | |||
| resinous | 0 | 0 | resinous | 4 | 49 | −3.8 | resinous | 0 | 6 | −1.0 | |||
| aldehydic * | 133 | 7 | 6.2 | exotic | 52 | 0 | 3.5 | powdery * | 241 | 135 | 2.8 | ||
| citrusy * | 16 | 41 | −2.3 | elegant | 48 | 0 | 3.3 | mossy * | 72 | 180 | −6.3 | ||
| agrumy | 5 | 1 | 0.5 | radiant | 19 | 0 | 1.7 | warm * | 98 | 39 | 2.5 | ||
| precious | 19 | 0 | 1.7 | ambery * | 62 | 75 | −1.5 | ||||||
| classic | 18 | 0 | 1.7 | balsamic * | 63 | 13 | 2.8 | ||||||
| light | 15 | 0 | 1.5 | leathery * | 11 | 93 | −5.7 | ||||||
| delicate | 11 | 0 | 1.2 | sensual | 70 | 0 | 4.3 | ||||||
| rosy | 14 | 0 | 1.4 | feminine | 28 | 0 | 2.3 | ||||||
| mild | 19 | 5 | 1.1 | ||||||||||
| musky | 3 | 7 | −0.6 |
| Boelens-Haring Database | ||||||
|---|---|---|---|---|---|---|
| Descriptor | NFrD | NH&R | p(2) 1 | Descriptor | p(1) 2 | |
| woody | 150 | 107 | −0.018 | woody | −0.124 | |
| floral | 111 | 158 | 0.186 | Floral | −0.010 | |
| aromatic | 88 | 0 | 0.027 | lavender−earthy | 0.060 5 | |
| balsamic | 63 | 23 | −0.257 | balsamic | −0.249 | |
| fresh spicy | 59 | − | 0.076 | lavender−minty | 0.086 5 | |
| green | 59 | 66 | 0.279 | green | 0.279 | |
| warm spicy | 59 | 68 3 | −0.259 | spicy | −0.182 | |
| powdery | 58 | 65 | −0.074 | powdery | −0.323 | |
| earthy–mossy | 48 | 56 | −0.044 | earthy | −0.008 | |
| sweet | 45 | 38 | −0.156 | sweet | −0.280 | |
| citrus | 33 | 11 | 0.062 | citrusy | 0.189 | |
| animalic | 26 | 18 4 | −0.116 | animal | −0.142 | |
| leather | 22 | 18 | −0.156 | animal–smoky | −0.143 5 | |
| aldehydic | 18 | 33 | 0.122 | aldehyde | 0.177 | |
| musky | 18 | 5 | −0.099 | |||
| amber | 10 | 29 | −0.142 | erogenic | −0.161 | |
| herbal | 8 | 27 | 0.035 | vegetable | 0.126 | |
| fruity | 7 | 44 | −0.034 | fruity | 0.085 | |
| fresh 6 | 2 | 98 | ||||
| Category | Edwards’s Guide | Jellinek Perfumes | NF + NM + NU | Scool 1 | ||||||||
|---|---|---|---|---|---|---|---|---|---|---|---|---|
| NF | NM | NU | NF | NM | NU | Jellinek | Edwards | |||||
| citrus | 146 | 138 | 167 | 2 | 3 | 1 | 6 (3.7%) | 451 (7.9%) | 4.3 | |||
| green | 33 | 15 | 29 | 5 | 2 | 0 | 7 (4.3%) | 77 (1.3%) | 2.4 | |||
| fruity | 21 | 0 | 3 | 0 | 0 | 0 | 0 | 24 (0.4%) | ||||
| water (marine) | 35 | 81 | 21 | 1 | 1 | 0 | 2 (1.2%) | 137 (2.4%) | 2.2 | |||
| fougère aromatic | 8 | 572 | 21 | 0 | 20 | 1 | 21 (12.9%) | 601 (10.5%) | 2.1 | |||
| woods | 71 | 263 | 63 | 0 | 4 | 0 | 4 (2.5%) | 397 (6.9%) | 1.8 | |||
| mossy woods | 175 | 70 | 15 | 21 | 4 | 0 | 25 (15.3%) | 260 (4.5%) | 1.1 | |||
| dry woods | 47 | 156 | 43 | 6 | 10 | 0 | 16 (9.8%) | 246 (4.3%) | 0.5 | |||
| soft floral | 354 | 10 | 23 | 12 | 0 | 0 | 12 (7.4%) | 387 (6.8%) | −0.3 | |||
| floral | 1446 | 17 | 44 | 24 | 1 | 0 | 25 (15.3%) | 1507 (26.3%) | −1.0 | |||
| woody oriental | 352 | 361 | 65 | 10 | 6 | 0 | 16 (9.8%) | 778 (13.6%) | −1.6 | |||
| soft oriental | 97 | 18 | 19 | 7 | 0 | 0 | 7 (4.3%) | 134 (2.3%) | −2.4 | |||
| floral oriental | 533 | 1 | 6 | 17 | 0 | 0 | 17 (10.4%) | 540 (9.4%) | −3.0 | |||
| oriental | 145 | 15 | 31 | 4 | 1 | 0 | 5 (3.1%) | 191 (3.3%) | −3.1 | |||
| Total | 3463 | 1717 | 550 | 109 | 52 | 2 | 163 (100%) | 5730 (100%) | ||||
© 2019 by the author. Licensee MDPI, Basel, Switzerland. This article is an open access article distributed under the terms and conditions of the Creative Commons Attribution (CC BY) license (http://creativecommons.org/licenses/by/4.0/).
Share and Cite
Zarzo, M. Understanding the Perceptual Spectrum of Commercial Perfumes as a Basis for a Standard Sensory Wheel of Fragrances. Cosmetics 2020, 7, 3. https://doi.org/10.3390/cosmetics7010003
Zarzo M. Understanding the Perceptual Spectrum of Commercial Perfumes as a Basis for a Standard Sensory Wheel of Fragrances. Cosmetics. 2020; 7(1):3. https://doi.org/10.3390/cosmetics7010003
Chicago/Turabian StyleZarzo, Manuel. 2020. "Understanding the Perceptual Spectrum of Commercial Perfumes as a Basis for a Standard Sensory Wheel of Fragrances" Cosmetics 7, no. 1: 3. https://doi.org/10.3390/cosmetics7010003
APA StyleZarzo, M. (2020). Understanding the Perceptual Spectrum of Commercial Perfumes as a Basis for a Standard Sensory Wheel of Fragrances. Cosmetics, 7(1), 3. https://doi.org/10.3390/cosmetics7010003

