Personal Care Products Are Only One of Many Exposure Routes of Natural Toxic Substances to Humans and the Environment
Abstract
1. Introduction
2. Routes of Human and Environmental Exposures to Natural (Toxic) Substances
3. Examples of (Direct) Environmental Exposure to Natural (Toxic) Substances
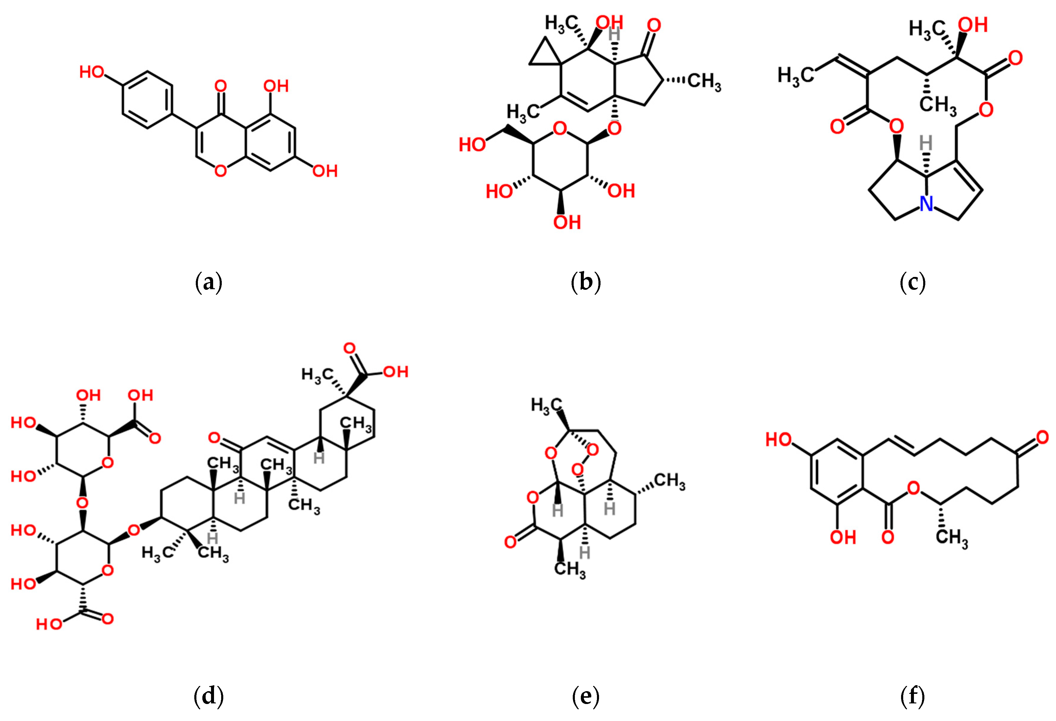
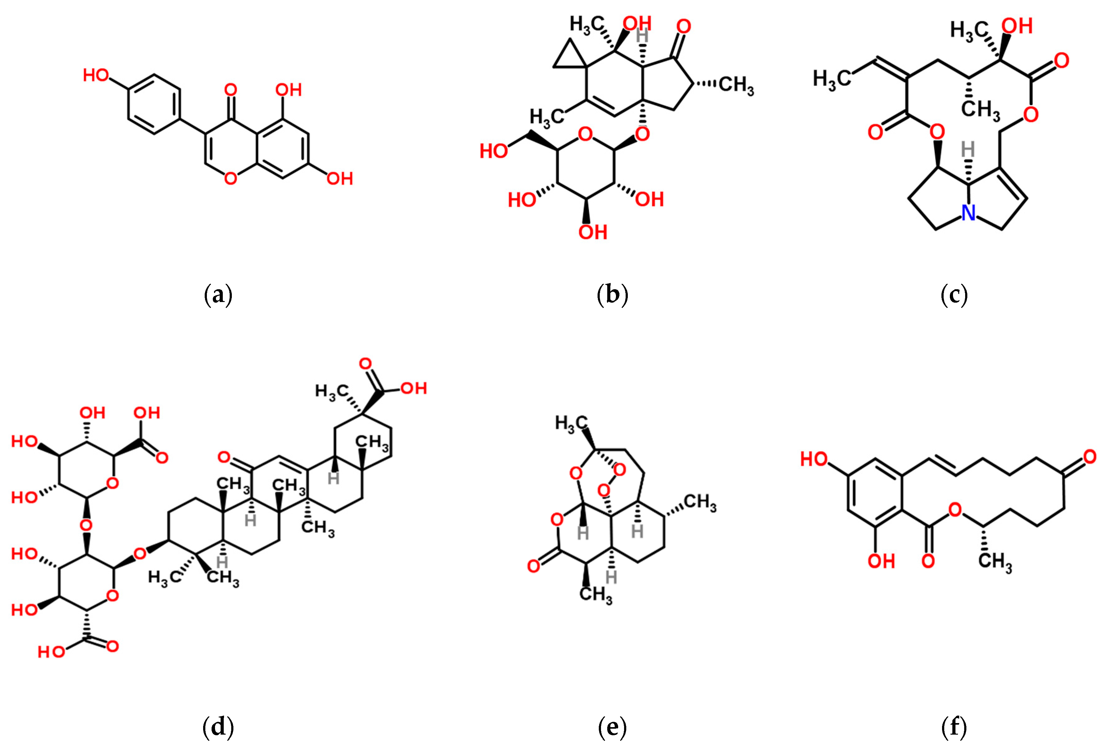
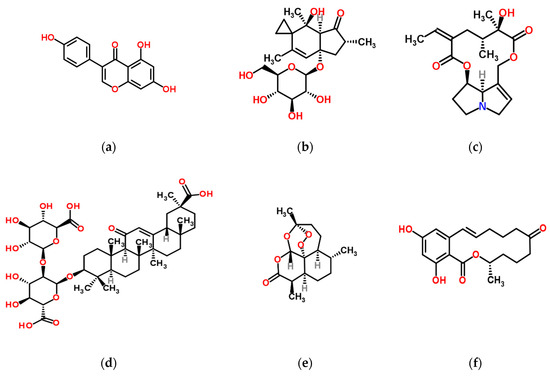
3.1. Phytoestrogens
3.2. Ptaquiloside
3.3. Pyrrolizidine Alkaloids
3.4. Saponins
3.5. Terpenes and Terpenoids
3.6. Mycotoxins
4. Common Ground and Future Research Needs
Acknowledgements
Author Contributions
Conflicts of Interest
References
- Boxall, A.B.A.; Rudd, M.A.; Brooks, B.W.; Caldwell, D.J.; Choi, K.; Hickmann, S.; Innes, E.; Ostapyk, K.; Staveley, J.P.; Verslycke, T.; et al. Pharmaceuticals and personal care products in the environment: What are the big questions? Environ. Health Perspect. 2012, 120, 1221–1229. [Google Scholar] [CrossRef] [PubMed]
- Brausch, J.M.; Rand, G.M. A review of personal care products in the aquatic environment: Environmental concentrations and toxicity. Chemosphere 2011, 82, 1518–1532. [Google Scholar] [CrossRef] [PubMed]
- Caliman, F.A.; Gavrilescu, M. Pharmaceuticals, personal care products and endocrine disrupting agents in the environment—A review. Clean-Soil Air Water 2009, 37, 277–303. [Google Scholar] [CrossRef]
- Daughton, C.G.; Ternes, T.A. Pharmaceuticals and personal care products in the environment: Agents of subtle change? Environ. Health Perspect. 1999, 107, 907–938. [Google Scholar] [CrossRef] [PubMed]
- Montes-Grajales, D.; Fennix-Agudelo, M.; Miranda-Castro, W. Occurrence of personal care products as emerging chemicals of concern in water resources: A review. Sci. Total Environ. 2017, 595, 601–614. [Google Scholar] [CrossRef] [PubMed]
- Nohynek, G.J.; Antignac, E.; Re, T.; Toutain, H. Safety assessment of personal care products/cosmetics and their ingredients. Toxicol. Appl. Pharm. 2010, 243, 239–259. [Google Scholar] [CrossRef] [PubMed]
- Klaschka, U. Naturally toxic: Natural substances used in personal care products. Environ. Sci. Eur. 2015, 27, 33. [Google Scholar] [CrossRef]
- Masse, M.O.; Orloff, A.; Sainio, E.L.; Pochet, A.; Rouselle, C.; Krätke, R.; De Vincenzi, M.; Roelfzema, H.; Bragt, P.C.; Talberg, H.J.; et al. Plants in Cosmetics—Potentially Harmful Components; Council of Europe Publishing: Strasbourg, France, 2006; Volume III. [Google Scholar]
- Klaschka, U. Are natural compounds used in personal care products toxic for the aquatic environment? Sustain. Chem. Pharm. 2016, 4, 13–20. [Google Scholar] [CrossRef]
- Ames, B.N.; Profet, M.; Gold, L.S. Dietary pesticides (99.99-percent all natural). Proc. Natl. Acad. Sci. USA 1990, 87, 7777–7781. [Google Scholar] [CrossRef] [PubMed]
- Onesios, K.M.; Yu, J.T.; Bouwer, E.J. Biodegradation and removal of pharmaceuticals and personal care products in treatment systems: A review. Biodegradation 2009, 20, 441–466. [Google Scholar] [CrossRef] [PubMed]
- Eggen, R.I.L.; Hollender, J.; Joss, A.; Schaerer, M.; Stamm, C. Reducing the discharge of micropollutants in the aquatic environment: The benefits of upgrading wastewater treatment plants. Environ. Sci. Technol. 2014, 48, 7683–7689. [Google Scholar] [CrossRef] [PubMed]
- Gondikas, A.P.; von der Kammer, F.; Reed, R.B.; Wagner, S.; Ranville, J.F.; Hofmann, T. Release of TiO2 nanoparticles from sunscreens into surface waters: A one-year survey at the old danube recreational lake. Environ. Sci. Technol. 2014, 48, 5415–5422. [Google Scholar] [CrossRef] [PubMed]
- Bucheli, T.D. Phytotoxins: Environmental micropollutants of concern? Environ. Technol. 2014, 48, 13027–13033. [Google Scholar] [CrossRef] [PubMed]
- Natural Toxins and Drinking Water Quality—From Source to Tap (NaToxAq). A European Training Network (ETN) funded by the European Union’s Horizon 2020 Research and Innovation Programme under the Marie Skłodowska-Curie Grant Agreement No 722493. Available online: http://natoxaq.ku.dk/ (accessed on 3 October 2017).
- Wu, A.H.; Wan, P.; Hankin, J.; Tseng, C.C.; Yu, M.C.; Pike, M.C. Adolescent and adult soy intake and risk of breast cancer in Aasian-Americans. Carcinogenesis 2002, 23, 1491–1496. [Google Scholar] [CrossRef] [PubMed]
- Setchell, K.D.R.; Cassidy, A. Dietary isoflavones: Biological effects and relevance to human health. J. Nutr. 1999, 129, 758S–767S. [Google Scholar] [PubMed]
- Bingham, S.A.; Atkinson, C.; Liggins, J.; Bluck, L.; Coward, A. Phyto-oestrogens: Where are we now? Br. J. Nutr. 1998, 79, 393–406. [Google Scholar] [CrossRef] [PubMed]
- Patisaul, H.B.; Jefferson, W. The pros and cons of phytoestrogens. Front. Neuroendocrinol. 2010, 31, 400–419. [Google Scholar] [CrossRef] [PubMed]
- Bennetts, H.W.; Underwood, E.J.; Shier, F.L. A specific breeding problem of sheep on subterranean clover pastures in Western Australia. Aust. Vet. J. 1946, 22, 2–12. [Google Scholar] [CrossRef] [PubMed]
- Setchell, K.D.R.; Gosselin, S.J.; Welsh, M.B.; Johnston, J.O.; Balistreri, W.F.; Kramer, L.W.; Dresser, B.L.; Tarr, M.J. Dietary estrogens—A probable cause of infertility and liver-disease in captive cheetahs. Gastroenerology 1987, 93, 225–233. [Google Scholar] [CrossRef]
- Nemitz, M.C.; Argenta, D.F.; Koester, L.S.; Bassani, V.L.; von Poser, G.L.; Teixeira, H.F. The international scenario of patents concerning isoflavones. Trends. Food Sci. Technol. 2016, 49, 85–95. [Google Scholar] [CrossRef]
- Wei, H.; Bowen, R.; Cai, Q.; Barnes, S.; Wang, Y. Antioxidant and antipromotional effects of the soybean isoflavone genistein. Proc. Soc. Exp. Biol. Med. 1995, 208, 124–130. [Google Scholar] [CrossRef] [PubMed]
- Sudel, K.M.; Venzke, K.; Mielke, H.; Breitenbach, U.; Mundt, C.; Jaspers, S.; Koop, U.; Sauermann, K.; Knussmann-Hartig, E.; Moll, I.; et al. Novel aspects of intrinsic and extrinsic aging of human skin: Beneficial effects of soy extract. Photochem. Photobiol. 2005, 81, 581–587. [Google Scholar] [CrossRef] [PubMed]
- Iovine, B.; Iannella, M.L.; Gasparri, F.; Monfrecola, G.; Bevilacqua, M.A. Synergic effect of genistein and daidzein on UVb-induced DNA damage: An effective photoprotective combination. J. Biomed. Biotechnol. 2011, 2011, 692846. [Google Scholar] [CrossRef] [PubMed]
- Widyarini, S.; Spinks, N.; Husband, A.J.; Reeve, V.E. Isoflavonoid compounds from red clover (Trifolium pratense) protect from inflammation and immune suppression induced by uUV radiation. Photochem. Photobiol. 2001, 74, 465–470. [Google Scholar] [CrossRef]
- Bester, K.; McArdell, C.S.; Wahlberg, C.; Bucheli, T.D. Quantitative mass flows of selected xenobiotics in urban waters and waste water treatment plants. In Xenobiotics in the Urban Water Cycle; Springer: Berlin, Germany, 2010; Volume 16, pp. 3–26. [Google Scholar]
- Hoerger, C.C.; Wettstein, F.E.; Hungerbuehler, K.; Bucheli, T.D. Occurrence and origin of estrogenic isoflavones in Swiss river waters. Environ. Sci. Technol. 2009, 43, 6151–6157. [Google Scholar] [CrossRef] [PubMed]
- Hoerger, C.C.; Wettstein, F.E.; Bachmann, H.J.; Hungerbuehler, K.; Bucheli, T.D. Occurrence and mass balance of isoflavones on an experimental grassland field. Environ. Sci. Technol. 2011, 45, 6752–6760. [Google Scholar] [CrossRef] [PubMed]
- Kolpin, D.W.; Hoerger, C.C.; Meyer, M.T.; Wettstein, F.E.; Hubbard, L.E.; Bucheli, T.D. Phytoestrogens and mycotoxins in Iowa streams: An examination of underinvestigated compounds in agricultural basins. J. Environ. Qual. 2010, 39, 2089–2099. [Google Scholar] [CrossRef] [PubMed]
- Marrs, R.H.; Watt, A.S. Biological flora of the British Isles: Pteridium aquilinum (L.) kuhn. J. Ecol. 2006, 94, 1272–1321. [Google Scholar] [CrossRef]
- Tailor, J.A. The bracken problem: A global perspective. In Bracken Biology and Management; Thomson, J.A., Smith, R.T., Eds.; The Australian Institute of Agricultural Science: Wahroonga, Australia, 1990; Volume 40, pp. 3–20. [Google Scholar]
- Golueke, T. Cosmetic Product, Useful for Increasing Moisture Content of Skin, Comprises Natural Product Complex Comprising Extract from Ferns Including e.g. Dryopteris crassirhizoma, and Other Cosmetic Auxiliary and Ancillary Materials. Patent Publication No. EP2752183-A1; WO2014106638-A2; WO2014106638-A3; EP2752183-B1, 9 July 2014. [Google Scholar]
- Jin, M.; Kang, S.; Lee, S.; Jin, M.H.; Kang, S.J.; Lee, S.H. Cosmetic Composition in, e.g. Cleansing Cream Form, Used for Scrubbing on Skin, Comprises Scrub Particles for Increasing Skin Blood Flow and Removing Stratum Corneum by Being Rubbed on Skin, Where Scrub Particles Are Bracken Spores. Patent Publication No. WO2005082328-A1; KR2006043290-A; KR614370-B1; CN1921828-A; CN100574745-C, 9 September 2015. [Google Scholar]
- Li, Z. Facial Mask Used for Removing Acne, Includes Stearic Acid, Disodium Laureth Sulfosuccinate, Cholesteryl Oleyl Carbonate, Bracken Leaf Extract, and Distilled Water. Patent Publication No. CN104382798-A, 4 March 2015. [Google Scholar]
- Park, D.H.; Lee, J.S.; Jung, E.S.; Hyun, C.G.; Hong, S.T.; Eunsun, J.; Chang, G.H. Skin Wrinkle Improving Cosmetic Composition Comprising Plant Extract Having Collagen Biosynthesis Effect Similar to that of Retinol. Patent KR2007073305-A; KR829832-B1, 10 July 2007. [Google Scholar]
- Yang, L.L. Moisturizing Cream Useful for Sensitive Skin, Comprises e.g. Deionized Water, Dimethicone, n-Ethylhexadecane, Hydrogenated Polyisobutene, Acrylamide, Acetylcysteine, Hyaluronic Acid, Edible Bird’s Nest Extract and White Bracken Root Extract. Patent CN105520884-A, 27 April 2016. [Google Scholar]
- Virgilio, A.; Sinisi, A.; Russo, V.; Gerardo, S.; Santoro, A.; Galeone, A.; Taglialatela-Scafati, O.; Roperto, F. Ptaquiloside, the major carcinogen of bracken fern, in the pooled raw milk of healthy sheep and goats: An underestimated, global concern of food safety. J. Agric. Food Chem. 2015, 63, 4886–4892. [Google Scholar] [CrossRef] [PubMed]
- Clauson-Kaas, F.; Ramwell, C.; Hansen, H.C.B.; Strobel, B.W. Ptaquiloside from bracken in stream water at base flow and during storm events. Water Res. 2016, 106, 155–162. [Google Scholar] [CrossRef] [PubMed]
- Clauson-Kaas, F.; Jensen, P.H.; Jacobsen, O.S.; Juhler, R.K.; Hansen, H.C.B. The naturally occurring carcinogen ptaquiloside is present in groundwater below bracken vegetation. Environ. Toxicol. Chem. 2014, 33, 1030–1034. [Google Scholar] [CrossRef] [PubMed]
- Alonso-Amelot, M.E.; Avendano, M. Human carcinogenesis and bracken fern: A review of the evidence. Curr. Med. Chem. 2002, 9, 675–686. [Google Scholar] [CrossRef] [PubMed]
- Marliére, C.A.; Wathern, P. Bracken fern (Pteridium aquilinum) ingestion and oesophageal and stomach cancer. IARC Sci. Publ. 2002, 156, 379–380. [Google Scholar] [PubMed]
- Teuscher, E.; Lindequist, U. Biogene Gifte: Biologie-Chemie-Pharmakologie-Toxikologie, 3rd ed.; Wissenschaftliche Verlagsgesellschaft mbH: Stuttgart, Germany, 2010. [Google Scholar]
- Hol, W.H.G. The effect of nutrients on pyrrolizidine alkaloids in Senecio plants and their interactions with herbivores and pathogens. Phytochem. Rev. 2011, 10, 119–126. [Google Scholar] [CrossRef] [PubMed]
- EFSA (European Food Safety Authority). Dietary exposure assessment to pyrrolizidine alkaloids in the European population. EFSA J. 2016, 14, e04572. [Google Scholar]
- Lucchetti, M.A.; Glauser, G.; Kilchenmann, V.; Duebecke, A.; Beckh, G.; Praz, C.; Kast, C. Pyrrolizidine alkaloids from Echium vulgare in honey originate primarily from floral nectar. J. Agric. Food Chem. 2016, 64, 5267–5273. [Google Scholar] [CrossRef] [PubMed]
- Guclu-Ustundag, O.; Mazza, G. Saponins: Properties, applications and processing. Crit. Rev. Food Sci. 2007, 47, 231–258. [Google Scholar] [CrossRef] [PubMed]
- Osbourn, A.; Goss, R.J.M.; Field, R.A. The saponins—Polar isoprenoids with important and diverse biological activities. Nat. Prod. Rep. 2011, 28, 1261–1268. [Google Scholar] [CrossRef] [PubMed]
- Potter, D.A.; Kimmerer, T.W. Inhibition of herbivory on young holly leaves: Evidence for the defensive role of saponins. Oecologia 1989, 78, 322–329. [Google Scholar] [CrossRef] [PubMed]
- Avato, P.; Bucci, R.; Tava, A.; Vitali, C.; Rosato, A.; Bialy, Z.; Jurzysta, M. Antimicrobial activity of saponins from Medicago sp.: Structure-activity relationship. Phytother. Res. 2006, 20, 454–457. [Google Scholar] [CrossRef] [PubMed]
- US Environmental Protection Agency. Saponins off Chenopodium quinoa (pc coce 097094); Biopesticide Registration Action Document 1–39; US Environmental Protection Agency: Washington, DC, USA, 2005.
- Jiang, X.; Strobel, B.W.; Hansen, H.C.B.; Cedergreen, N. What is the aquatic toxicity of saponin-rich plant extracts used as biopesticides? Environ. Pollut. 2018. revised manuscript. [Google Scholar]
- Shah, A.; Shahzad, S.; Munir, A.; Nadagouda, M.N.; Khan, G.S.; Shams, D.F.; Dionysiou, D.D.; Rana, U.A. Micelles as soil and water decontamination agents. Chem. Rev. 2016, 116, 6042–6074. [Google Scholar] [CrossRef] [PubMed]
- Jiang, X.; Strobel, B.W.; Cedergreen, N.; Hansen, H.C.B. Saponin hydrolysis in aqueous solutions and lake waters. Water Res. 2018. submitted. [Google Scholar]
- Aaltonen, H.; Pumpanen, J.; Pihlatie, M.; Hakola, H.; Hellen, H.; Kulmala, L.; Vesala, T.; Back, J. Boreal pine forest floor biogenic volatile organic compound emissions peak in early summer and autumn. Agric. For. Meteorol. 2011, 151, 682–691. [Google Scholar] [CrossRef]
- Lagalante, A.F.; Montgomery, M.E.; Calvosa, F.C.; Mirzabeigi, M.N. Characterization of terpenoid volatiles from cultivars of eastern hemlock (Tsuga canadensis). J. Agric. Food Chem. 2007, 55, 10850–10856. [Google Scholar] [CrossRef] [PubMed]
- Patel, S. Fragrance compounds: The wolves in sheep’s clothings. Med. Hypotheses 2017, 102, 106–111. [Google Scholar] [CrossRef] [PubMed]
- Tabari, M.A.; Youssefi, M.R.; Maggi, F.; Benelli, G. Toxic and repellent activity of selected monoterpenoids (thymol, carvacrol and linalool) against the castor bean tick, Ixodes ricinus (acari: Ixodidae). Vet. Parasitol. 2017, 245, 86–91. [Google Scholar] [CrossRef] [PubMed]
- DeBell, J.D.; Morrell, J.J.; Gartner, B.L. Tropolone content of increment cores as an indicator of decay resistance in western red cedar. Wood Fiber Sci. 1997, 29, 364–369. [Google Scholar]
- Erdtman, H.; Gripenberg, J. Antibiotic substances from the heart wood of Thuja plicata don. Nature 1948, 161, 719. [Google Scholar] [CrossRef] [PubMed]
- Higashi, Y.; Fujii, Y. Determination of hinokitiol in skin lotion by high-performance liquid chromatography-ultraviolet detection after precolumn derivatization with 4-fluoro-7-nitro-2,1,3-benzoxadiazole. J. Cosmet. Sci. 2013, 64, 381–389. [Google Scholar]
- Herrmann, S.; Jessing, K.K.; Jorgensen, N.O.G.; Cedergreen, N.; Kandeler, E.; Strobel, B.W. Distribution and ecological impact of artemisinin derived from Artemisia annua L. in an agricultural ecosystem. Soil Biol. Biochem. 2013, 57, 164–172. [Google Scholar] [CrossRef]
- Jessing, K.K.; Cedergreen, N.; Jensen, J.; Hansen, H.C.B. Degradation and ecotoxicity of the biomedical drug artemisinin in soil. Environ. Toxicol. Chem. 2009, 28, 701–710. [Google Scholar] [CrossRef] [PubMed]
- Jessing, K.K.; Cedergreen, N.; Mayer, P.; Libous-Bailey, L.; Strobel, B.W.; Rimando, A.; Duke, S.O. Loss of artemisinin produced by Artemisia annua L. to the soil environment. Ind. Crop Prod 2013, 43, 132–140. [Google Scholar] [CrossRef]
- Van Egmond, H.P. Natural toxins: Risks, regulations and the analytical situation in Europe. Anal. Bioanal. Chem. 2004, 378, 1152–1160. [Google Scholar] [CrossRef] [PubMed]
- European Commission. Commission regulation (EC) no 1881/2006 of 19 December 2006 setting maximum levels for certain contaminants in foodstuff. Off. J. Eur. Union L 2006, 364, 5–24. [Google Scholar]
- European Commission. Commission recommendation of 27 March 2013 on the presence of t-2 and ht-2 toxin in cereals and cereal products (2013/165/EU). Off. J. Eur. Union L 2013, 91, 12–15. [Google Scholar]
- European Commission. Commission recommendation of 17 august 2006 on the presence of deoxynivalenol, zearalenone, ochratoxin a, t-2 and ht-2 and fumonisins in products intended for animal feeding. Off. J. Eur. Union L 2006, 229, 7–9. [Google Scholar]
- Knutsen, H.-K.; Barregard, L.; Bignami, M.; Brüschweiler, B.; Ceccatelli, S.; Cottrill, B.; Dinovi, M.; Edler, L.; Grasl-Kraupp, B.; Hogstrand, C.; et al. Appropriateness to set a group health based guidance value for T2 and HT2 toxin and its modified forms. EFSA J. 2017, 15, 4655. [Google Scholar]
- Schenzel, J.; Hungerbuehler, K.; Bucheli, T.D. Mycotoxins in the environment: II. Occurrence and origin in Swiss river waters. Environ. Sci. Technol. 2012, 46, 13076–13084. [Google Scholar] [CrossRef] [PubMed]
- Wettstein, F.E.; Bucheli, T.D. Poor elimination rates in waste water treatment plants lead to continuous emission of deoxynivalenol into the aquatic environment. Water Res. 2010, 44, 4137–4142. [Google Scholar] [CrossRef] [PubMed]
- Bucheli, T.D.; Wettstein, F.E.; Hartmann, N.; Erbs, M.; Vogelgsang, S.; Forrer, H.-R.; Schwarzenbach, R.P. Fusarium mycotoxins: Overlooked aquatic micropollutants? J. Agric. Food Chem. 2008, 56, 1029–1034. [Google Scholar] [CrossRef] [PubMed]
- Hartmann, N.; Erbs, M.; Forrer, H.-R.; Vogelgsang, S.; Wettstein, F.E.; Schwarzenbach, R.P.; Bucheli, T.D. Occurrence of zearalenone on Fusarium graminearum infected wheat and maize fields in crop organs, soil, and drainage water. Environ. Sci. Technol. 2008, 42, 5455–5460. [Google Scholar] [CrossRef] [PubMed]
- Kolpin, D.W.; Schenzel, J.; Meyer, M.T.; Phillips, P.J.; Hubbard, L.E.; Scott, T.-M.; Bucheli, T.D. Mycotoxins: Diffuse and point source contributions of natural contaminants of emerging concern to streams. Sci. Total Environ. 2014, 470, 669–676. [Google Scholar] [CrossRef] [PubMed]
- Schenzel, J.; Forrer, H.-R.; Vogelgsang, S.; Hungerbuehler, K.; Bucheli, T.D. Mycotoxins in the environment: I. Production and emission from an agricultural test field. Environ. Sci. Technol. 2012, 46, 13067–13075. [Google Scholar] [CrossRef] [PubMed]
- Jeon, H.Y.; Kim, J.K.; Kim, S.K.; Seo, D.B.; Lee, S.J.; Kim, S.; Jeon, H.; Seo, D.; Yeong, J.H.; Gi, K.J.; et al. Cosmetic Composition Useful as Skin Care Product for Masking Wrinkles, Whitening Skin, Preventing Inflammation, Acne, Atopic Dermatitis and Allergy, Comprises Coumestrol or Bean Extract Containing Coumestrol. Patent WO2011122869-A2; KR2011110052-A; WO2011122869-A3; US2013071342-A1; CN102905685-A; KR2014040790-A; CN103989589-A; KR2015101980-A; US9265707-B2; CN105362151-A; KR1677254-B1, 6 October 2011. [Google Scholar]
- Ribeiro, C.M.R.; Maia, A.S.; Ribeiro, A.R.; Couto, C.; Almeida, A.A.; Santos, M.; Tiritan, M.E. Anthropogenic pressure in a Portuguese river: Endocrine-disrupting compounds, trace elements and nutrients. J. Environ. Sci. Heal. A 2016, 51, 1043–1052. [Google Scholar] [CrossRef] [PubMed]
- Klaschka, U. Natural personal care products-analysis of ingredient lists and legal situation. Environ. Sci. Eur. 2016, 28, 8. [Google Scholar] [CrossRef] [PubMed]
- Asensio, D.; Owen, S.M.; Llusia, J.; Penuelas, J. The distribution of volatile isoprenoids in the soil horizons around Pinus halepensis trees. Soil Biol. Biochem. 2008, 40, 2937–2947. [Google Scholar] [CrossRef]
- Isidorov, V.A.; Vinogorova, V.T.; Rafalowski, K. HS-SPME analysis of volatile organic compounds of coniferous needle litter. Atmos. Environ. 2003, 37, 4645–4650. [Google Scholar] [CrossRef]
- Burney, O.T.; Davis, A.S.; Jacobs, D.F. Phenology of foliar and volatile terpenoid production for Thuja plicata families under differential nutrient availability. Environ. Exp. Bot. 2012, 77, 44–52. [Google Scholar] [CrossRef]
- Rastogi, S.C.; Heydorn, S.; Johansen, J.D.; Basketter, D.A. Fragrance chemicals in domestic and occupational products. Contact Dermat. 2001, 45, 221–225. [Google Scholar] [CrossRef]
- Xiao, Z.; Li, Q.; Niu, Y.; Zhou, X.; Liu, J.; Xu, Y.; Xu, Z. Odor-active compounds of different lavender essential oils and their correlation with sensory attributes. Ind. Crop. Prod. 2017, 108, 748–755. [Google Scholar] [CrossRef]
- Chou, M.W.; Fu, P.P. Formation of dhp-derived DNA adducts in vivo from dietary supplements and chinese herbal plant extracts containing carcinogenic pyrrolizidine alkaloids. Toxicol. Ind. Health 2006, 22, 321–327. [Google Scholar] [CrossRef] [PubMed]
- Tanaka, O.; Tamura, Y.; Masuda, H.; Mizutani, K. Application of saponins in foods and cosmetics: Saponins of Mohave yucca and Sapindus mukurossi. In Saponins Used in Food and Agriculture. Advances in Experimental Medicine and Biology; Waller, G.R., Yamasaki, K., Eds.; Springer: Berlin, Germany, 1996; Volume 405, pp. 1–11. [Google Scholar]
- Strobel, B.W.; Jensen, P.H.; Rasmussen, L.H.; Hansen, H.C.B. Thujone in soil under Thuja plicata. Scand. J. For. Res. 2005, 20, 7–11. [Google Scholar] [CrossRef]
- Hwang, S.L.; Kim, J.C. In vivo hair growth promotion effects of cosmetic preparations containing hinokitiol-loaded poly(epsilon-caprolacton) nanocapsules. J. Microencapsul. 2008, 25, 351–356. [Google Scholar] [CrossRef] [PubMed]
- Dyrskov, L.; Strobel, B.W.; Svensmark, B.; Hansen, H.C.B. Beta-thujaplicin: New quantitative CZE method and adsorption to goethite. J. Agric. Food Chem. 2004, 52, 1452–1457. [Google Scholar] [CrossRef] [PubMed]
- Clauson-Kaas, F.; Hansen, H.C.B.; Strobel, B.W. UPLC-MS/MS determination of ptaquiloside and pterosin b in preserved natural water. Anal. Bioanal. Chem. 2016, 408, 7981–7990. [Google Scholar] [CrossRef] [PubMed]


| Natural (Toxic) Substance(s) | Examples of Producing Species (Plants or Fungi) | Discussed in the Context of Personal Care Products | Studied in the Environment |
|---|---|---|---|
| Coumestrol | Medicago sativa | [8,76] | [77] |
| Isoflavones | Trifolium pratense | [8,9] | [28,29] |
| Limonene, pinenes | Citrus spp. | [9,78] | [55,79,80,81] |
| Linalool | Lavandula sp. | [82,83] | [55] |
| Peroxides | Artemisia annua | [9] | [62,63,64] |
| Ptaquiloside | Pteridium aquilinum | [33,34,35,36,37] | [39,40] |
| Pyrrolizidine alkaloids | Tussilago farfara | [84] | Not yet, occurrence possible [14] |
| Saponins | Yucca schidigera | [85] | [49,54] |
| Thujone | Thuja plicata Artemisia absinthium | [7,8] | [81,86] |
| Thujaplicine | Thuja plicata | [61,87] | [59,88] |
| Zearalenone | Fusarium graminearum | [9] | [73,75] |
© 2018 by the authors. Licensee MDPI, Basel, Switzerland. This article is an open access article distributed under the terms and conditions of the Creative Commons Attribution (CC BY) license (http://creativecommons.org/licenses/by/4.0/).
Share and Cite
Bucheli, T.D.; Strobel, B.W.; Hansen, H.C.B. Personal Care Products Are Only One of Many Exposure Routes of Natural Toxic Substances to Humans and the Environment. Cosmetics 2018, 5, 10. https://doi.org/10.3390/cosmetics5010010
Bucheli TD, Strobel BW, Hansen HCB. Personal Care Products Are Only One of Many Exposure Routes of Natural Toxic Substances to Humans and the Environment. Cosmetics. 2018; 5(1):10. https://doi.org/10.3390/cosmetics5010010
Chicago/Turabian StyleBucheli, Thomas D., Bjarne W. Strobel, and Hans Chr. Bruun Hansen. 2018. "Personal Care Products Are Only One of Many Exposure Routes of Natural Toxic Substances to Humans and the Environment" Cosmetics 5, no. 1: 10. https://doi.org/10.3390/cosmetics5010010
APA StyleBucheli, T. D., Strobel, B. W., & Hansen, H. C. B. (2018). Personal Care Products Are Only One of Many Exposure Routes of Natural Toxic Substances to Humans and the Environment. Cosmetics, 5(1), 10. https://doi.org/10.3390/cosmetics5010010
