Anti-Melanogenesis Effect of Quercetin
Abstract
:1. Introduction
2. Melanogenesis and Its Signal Pathway
2.1. Melanogenesis Mechanism and the Regulation of Melanin Biosynthesis
2.2. Signaling Pathways Activating Melanogenesis
2.3. Inhibition of Melanogenesis through Tyrosinase Inhibition
3. Polyphenols and Melanogenesis
3.1. Antioxidant Activity and Melanogenesis
3.2. In Vitro and in Vivo Anti-Melanogenesis Effects of Quercetin
4. Concluding Remarks and Perspectives
Acknowledgments
Author Contributions
Conflicts of Interest
Abbreviations
| ACTH | adrenocorticotropin melanocyte stimulating hormone |
| cAMP | cyclic adenosinemonophosphate |
| cGMP | cyclic guanosine monophosphate |
| CREB | cAMP-response element binding protein |
| DCT | DOPA chrome tautomerase |
| DHI | 5,6-dihydroxyindole |
| DHICA | 5,6-dihydroxyindole-2-carboxylic acid |
| DOPA | 3,4-dihydroxyphenylalanine |
| ER | endoplasmic reticulum |
| ERK | extracellular signal-regulated kinase |
| HBTA | 5-hydroxyl-1,4-benzothiazinylalanine |
| HMVII | human melanoma of vagina |
| ICAQ | indole-2-carboxylic acid-5,6-quinone |
| IQ | indole-5,6-quinone |
| L-DOPA | l-3,4-dihydroxyphenylalanine |
| LEF | lymphoid-enhancing factor |
| MEK | methyl ethyl ketone |
| MAP kinase | mitogen-activated protein kinase |
| MART1 | melan-A, MC1R; melanocortin 1 receptor |
| MC1R | melanocortin 1 receptor |
| MITF | microphthalmia-associated transcription factor |
| MTT | 3-(4,5-dimethylthiazol-2-yl)-2,5-diphenyltetrazolium bromide |
| NHEM | normal human epidermal melanocytes |
| NO | nitric oxide |
| OA1 | ocular albinism type 1 |
| PAR-2 | protease activated receptor 2 |
| PKA | protein kinase A |
| PKC-β | protein kinase C-β |
| PMEL17 | Premelanosome protein 17 |
| P13K | phosphoinositide 3-kinase |
| SCF | stem cell factor |
| TCA | tricarboxylic acid |
| TRP-1 | tyrosinase-related protein 1 |
| TRP-2 (DCT) | tyrosinase-related protein 2 (DOPA chrome tautomerase) |
| TYR | tyrosinase |
| UV | ultraviolet |
| Wnt | wingless type |
References
- Taieb, A.; Cario-Andre, M.; Briganti, S.; Picardo, M. Inhibitors and enhancers of melanogenesis. In Melanins and Melanosomes; Borovansky, J., Riley, P.A., Eds.; Wiley-Blackwell: Weinheim, Germany, 2011; pp. 117–166. [Google Scholar]
- Chang, T.S. An updated review of tyrosinase inhibitors. Int. J. Mol. Sci. 2009, 10, 2440–2475. [Google Scholar] [PubMed]
- Saxena, S.; Andersen, R.; Maibach, H.I. What do we know about depigmenting agents? Cosmet. Toilet. 2015, 130, 26–29. [Google Scholar]
- Lin, J.Y.; Fisher, D.E. Melanocyte biology and skin pigmentation. Nature 2007, 445, 843–850. [Google Scholar] [CrossRef] [PubMed]
- Chang, T.S. Natural melanogenesis inhibitors acting through the down-regulation of tyrosinase activity. Materials 2012, 5, 1661–1685. [Google Scholar] [CrossRef]
- Solano, F.; Briganti, S.; Picardo, M.; Ghanem, G. Hypopigmenting agents: An updated review on biological, chemical and clinical aspects. Pigment Cell Res. 2006, 19, 550–571. [Google Scholar] [CrossRef] [PubMed]
- Gillbro, J.M.; Olsson, M.J. The melanogenesis and mechanisms of skin-lightening agents—Existing and new approaches. Int. J. Cosmet. Sci. 2011, 33, 210–221. [Google Scholar] [CrossRef] [PubMed]
- Simon, J.D.; Peles, D.; Wakamatsu, K.; Ito, S. Current challenges in understanding melanogenesis: Bridging chemistry, biological control, morphology, and function. Pigment Cell Melanoma Res. 2009, 22, 563–579. [Google Scholar] [CrossRef] [PubMed]
- D’Lschia, M.; Wakamatsu, K.; Napolitano, A.; Briganti, S.; Garcia-Borron, J.C.; Kovacs, D.; Meredith, P.; Pezzella, A.; Picardo, M.; Sarna, T.; et al. Melanins and melanogenesis: Methods, standards, protocols. Pigment Cell Melanoma Res. 2013, 26, 616–633. [Google Scholar]
- Haq, R.; Fisher, D.E. Targeting melanoma by small molecules: Challenges ahead. Pigment Cell Melanoma Res. 2013, 26, 464–469. [Google Scholar] [CrossRef] [PubMed]
- Ma, X.P.; Sun, X.X. Melanin: Biosynthesis, Functions, and Health Effects; Nova Science Publishers, Inc.: New York, NY, USA, 2012; pp. 3–12. [Google Scholar]
- Cao, H.H.; Tse, A.J.W.; Kwan, H.Y.; Yu, H.; Cheng, C.Y.; Su, T.; Fong, W.F.; Yu, Z.L. Quercetin exerts anti-melanoma activities and inhibits STAT3 signaling. Biochem. Pharmacol. 2014, 87, 424–434. [Google Scholar] [CrossRef] [PubMed]
- Huang, H.C.; Chou, Y.C.; Wu, C.Y.; Chang, T.M. [8]-Ginerol inhibits melanogenesis in murine melanoma cells through down-regulation of the MAPK and PKA signal pathways. Biochem. Biophys. Res. Commun. 2013, 438, 375–381. [Google Scholar] [CrossRef] [PubMed]
- Kim, K.N.; Yang, H.M.; Kang, S.M.; Kim, D.; Ahn, G.; Jeon, Y.J. Octaphlorethol A isolated from Ishige foliacea inhibits α-MSH-stimulated induced melanogenesis via ERK pathway in B16F10 melanoma cells. Food Chem. Toxicol. 2013, 59, 521–526. [Google Scholar] [CrossRef] [PubMed]
- Su, T.R.; Lin, J.J.; Tsai, C.C.; Huang, T.K.; Yang, Z.Y.; Wu, M.O.; Zheng, Y.Q.; Su, C.C.; Wu, Y.J. Inhibition of melanogenesis by gallic acid: Possible involvement of the PI3K/Akt, MEK/ERK and Wnt/β-catenin signaling pathways in B16F10 cells. Int. J. Mol. Sci. 2013, 14, 20443–20458. [Google Scholar] [CrossRef] [PubMed]
- Chung, K.W.; Jeong, H.O.; Jang, E.J.; Choi, Y.J.; Kim, D.H.; Kim, S.R.; Lee, K.J.; Lee, H.J.; Chun, P.; Byun, Y.; et al. Characterization of a small molecule inhibitor of melanogensis that inhibits tyrosinase activity and scavenges nitric oxide (NO). Biochim. Biophys. Acta-Gen. Subj. 2013, 1830, 4752–4761. [Google Scholar] [CrossRef] [PubMed]
- Kim, S.S.; Kim, M.J.; Choi, Y.H.; Kim, B.K.; Kim, K.S.; Park, K.J.; Park, S.M.; Lee, N.H.; Hyun, C.G. Down-regulation of tyrosinase, TRP-1, TRP-2 and MITF expressions by citrus press-cakes in murine B16F10 melanoma. Asian Pac. J. Trop. Biomed. 2013, 3, 617–622. [Google Scholar] [CrossRef]
- Kim, A.; Yang, Y.; Lee, M.S.; Yoo, Y.D.; Lee, H.G.; Lim, J.S. NDRG2 gene expression in B16F10 melanoma cells restrains melanogenesis via inhibition of Mitf expression. Pigment Cell Melanoma Res. 2008, 21, 653–664. [Google Scholar] [CrossRef] [PubMed]
- Singh, S.K.; Sarkar, C.; Mallick, S.; Saha, B.; Bera, R.; Bhadra, R. Human placental lipid induces melanogenesis through p38 MAPK in B16F10 mouse melanoma. Pigment Cell Res. 2005, 18, 113–121. [Google Scholar] [CrossRef] [PubMed]
- Ando, H.; Kondoh, H.; Ichihashi, M.; Hearing, V.J. Approaches to identify inhibitors of melanin biosynthesis via the quality control of tyrosinase (review). J. Investig. Dermatol. 2007, 127, 751–761. [Google Scholar] [CrossRef] [PubMed]
- Takekoshi, S.; Nagata, H.; Kitatani, K. Flavonoids enhance melanogenesis in human melanoma cells. Tokai J. Exp. Clin. Med. 2014, 39, 116–121. [Google Scholar] [PubMed]
- Xie, L.P.; Chen, Q.X.; Huang, H.; Wang, H.Z.; Zhang, R.Q. Inhibitory effects of some flavonoids on the activity of mushroom tyrosinase. Biochemistry 2003, 68, 598–602. [Google Scholar]
- Boots, A.W.; Li, H.; Schins, R.P.F.; Duffin, R.; Heemskerk, J.W.M.; Bast, A.; Haenen, G.R.M.M. The quercetin paradox. Toxicol. Appl. Pharmacol. 2007, 222, 89–96. [Google Scholar] [CrossRef] [PubMed]
- Heo, S.J.; Ko, S.C.; Cha, S.H.; Kang, D.H.; Park, H.S.; Choi, Y.U.; Kim, D.; Jung, W.K.; Jeon, Y.J. Effect of phlorotannins isolated from Ecklonia cava on melanogenesis and their protective effect against photo-oxidative stress induced by UV-B radiation. Toxicol. In Vitro 2009, 23, 1123–1130. [Google Scholar] [CrossRef] [PubMed]
- Siwarungson, N.; Ali, I.; Damsud, T. Comparative analysis of antioxidant and antimelanogenesis properties of three local guava (Psidium guajava L.) varieties of Thailand, via different extraction solvents. J. Food Meas. Charact. 2013, 7, 207–214. [Google Scholar] [CrossRef]
- Takekoshi, S.; Matsuzaki, K.; Kitatani, K. Quercetin stimulates melanogenesis in hair follicle melanocyte of the mouse. Tokai J. Exp. Clin. Med. 2013, 38, 129–134. [Google Scholar] [PubMed]
- Kim, Y.J. Hyperin and quercetin modulate oxidative stress-induced melanogenesis. Biol. Pharm. Bull. 2012, 35, 2023–2027. [Google Scholar] [CrossRef] [PubMed]
- Chun, H.J.; Choi, W.H.; Baek, S.H.; Woo, W.H. Effect of quercetin on melanogenesis in melan-a melanocyte cells. Korean J. Pharmacogn. 2002, 33, 245–251. [Google Scholar]
- Chun, H.J.; Hwang, S.G.; Kim, C.K.; Jeon, B.H.; Baek, S.H.; Woo, W.H. In vitro modulation of proliferation and melanization of B16/F10 melanoma cells by quercetin. Yakhak Hoeji 2002, 46, 75–80. [Google Scholar]
- Cho, H.W.; Jung, W.S.; An, B.G.; Cho, J.H.; Jung, S.Y. Isolation of compounds having inhibitory activity toward tyrosinase from Receptaculum nelumbinis. Korean J. Pharmacogn. 2013, 44, 1–5. [Google Scholar]
- Nagata, H.; Takekoshi, S.; Takeyama, R.; Homma, T.; Osamura, R.Y. Quercetin enhances melanogenesis by increasing the activity and synthesis of tyrosinase in human melanoma cells and normal human melanocytes. Pigment Cell Res. 2004, 17, 66–73. [Google Scholar] [CrossRef] [PubMed]
- Takeyama, R.; Takekoshi, S.; Nagata, H.; Osamura, R.Y.; Kawana, S. Quercetin-induced melanogenesis in a reconstituted three-dimensional human epidermal model. J. Mol. Histol. 2004, 35, 157–165. [Google Scholar] [CrossRef] [PubMed]
- Matsuyama, K.; Villareal, M.O.; Omri, A.E.; Han, J.; Kchouk, M.E.; Isoda, H. Effect of Tunisian Capparis spinosa L. extract on melanogenesis in B16 murine melanoma cells. J. Nat. Med. 2009, 63, 468–472. [Google Scholar] [CrossRef] [PubMed]
- Yamauchi, K.; Mitsunaga, T.; Inagaki, M.; Suzuki, T. Synthesized quercetin derivatives stimulate melanogenesis in B16 melanoma cells by influencing the expression of melanin biosynthesis proteins MITF and p38 MAPK. Bioorg. Med. Chem. 2014, 22, 3331–3340. [Google Scholar] [CrossRef] [PubMed]
- Yamauchi, K.; Mitsunaga, T.; Batubara, I. Novel quercetin glucosides from Helminthostachys zeylanica root and acceleratory activity of melanin biosynthesis. J. Nat. Med. 2013, 67, 369–374. [Google Scholar] [CrossRef] [PubMed]
- Yamauchi, K.; Mitysunaga, T.; Batubara, I. Synthesis of quercetin glycosides and their melanogenesis stimulatory activity in B16 melanoma cells. Bioorg. Med. Chem. 2014, 22, 937–944. [Google Scholar] [CrossRef] [PubMed]
- Fujii, T.; Saito, M. Inhibitory effect of quercetin isolated form Rose hip (Rosa canina L.) against melanogenesis by mouse melanoma cells. Biosci. Biotechnol. Biochem. 2009, 73, 1989–1993. [Google Scholar] [CrossRef] [PubMed]
- Taira, J.; Tsuchida, E.; Uehara, M.; Ohhama, N.; Ohmine, W.; Ogi, T. The leaf extract of Mallotus japonicas and its major active constituent, rutin, suppressed on melanin production in murine B16F1 melanoma. Asian Pac. J. Trop. Biomed. 2015, 5, 819–823. [Google Scholar] [CrossRef]
- An, S.M.; Kim, H.J.; Kim, J.E.; Boo, Y.C. Flavonoids, taxifolin and luteolin attenuate cellular melanogenesis despite increasing tyrosinase protein levels. Phytother. Res. 2008, 22, 1200–1207. [Google Scholar] [CrossRef] [PubMed]
- Gómez-Cordovés, C.; Bartolomé, B.; Vieira, W.; Virador, V.M. Effects of wine phenolics and sorghum tannins on tyrosinase activity and growth of melanoma cells. J. Agric. Food Chem. 2001, 49, 1620–1624. [Google Scholar] [CrossRef] [PubMed]
- Yang, Y.M.; Son, Y.O.; Lee, S.A.; Jeon, Y.M.; Lee, J.C. Quercetin inhibits α-MSH-stimulated melanogenesis in B16F10 melanoma cells. Phytother. Res. 2011, 25, 1166–1173. [Google Scholar] [CrossRef] [PubMed]
- Chen, Y.H.; Yang, Z.S.; Wen, C.C.; Chang, Y.S.; Wang, B.C.; Hsiao, C.A.; Shih, T.L. Evaluation of the structure-activity relationship of flavonoids as antioxidants and toxicants of zebrafish larvae. Food Chem. 2012, 134, 717–724. [Google Scholar] [CrossRef] [PubMed]
- Arung, E.T.; Furuta, S.; Ishikawa, H.; Kusuma, I.W.; Shimizu, K.; Kondo, R. Anti-melanogenesis properties of quercetin- and its derivative-rich extract from Allium cepa. Food Chem. 2011, 124, 1024–1028. [Google Scholar] [CrossRef]
- Masuda, M.; Itoh, K.; Murata, K.; Naruto, S.; Uwaya, A.; Isami, F.; Matsuda, H. Inhibitory effects of Morinda citrifolia extract and its constituents on melanogenesis in murine B16 melanoma cells. Biol. Pharm. Bull. 2012, 35, 78–83. [Google Scholar] [CrossRef] [PubMed]
- Nakashima, S.; Matsuda, H.; Oda, Y.; Nakamura, S.; Xu, F.; Yoshikawa, M. Melanogenesis inhibitors from the desert plant Anastatica hierochuntica in B16 melanoma cells. Bioorg. Med. Chem. 2010, 18, 2337–2345. [Google Scholar] [CrossRef] [PubMed]
- Chao, H.C.; Najjaa, H.; Villareal, M.O.; Ksouri, R.; Han, J.; Neffati, M.; Isoda, H. Arthrophytum scoparium inhibits melanogenesis through the down-regulation of tyrosinase and melanogenic gene expressions in B16 melanoma cells. Exp. Dermatol. 2013, 22, 131–136. [Google Scholar] [CrossRef] [PubMed]
- Choi, T.Y.; Kim, J.H.; Ko, D.H.; Kim, C.H.; Hwang, J.S.; Ahn, S.; Kim, S.Y.; Kim, C.D.; Lee, J.H.; Yoon, T.J. Zebrafish as a new model for phenotype-based screening of melanogenic regulatory compounds. Pigment Cell Res. 2007, 20, 120–127. [Google Scholar] [CrossRef] [PubMed]
- Shiraki, T.; Kojima, D.; Fukada, Y. Light-induced body color change in developing zebrafish. Photochem. Photobiol. Sci. 2010, 9, 1498–1504. [Google Scholar] [CrossRef] [PubMed]
- Chen, C.F.; Chu, C.Y.; Chen, T.H.; Lee, S.J.; Shen, C.N.; Hsiao, C.D. Establishment of a transgenic zebrafish line for superficial skin ablation and functional validation of apoptosis modulators in vivo. PLoS ONE 2011, 6, e20654. [Google Scholar] [CrossRef] [PubMed]
- Jung, D.W.; Williams, D.; Khersonsky, S.M.; Kang, T.W.; Heidary, N.; Chang, Y.T.; Orlow, S.J. Identification of the F1F0 mitochondrial ATPase as a target for modulating skin pigmentation by screening a tagged triazine library in zebrafish. Mol. Biosyst. 2005, 1, 85–92. [Google Scholar] [PubMed]
- Tomlinson, M.L.; Rejzek, M.; Fidock, M.; Field, R.A.; Wheeler, G.N. Chemical genomics identifies compounds affecting Xenopus laevis pigment cell development. Mol. Biosyst. 2009, 5, 376–384. [Google Scholar] [CrossRef] [PubMed]



| Quercetin Type (Pure or Derivatives) | Cell Line | Concentration Range | Cell Viability Conc. | Melanin Content | * Tyrosinase Activity (Cell Free or Cell System) | mRNA Expression | Protein Level Expression | Reference |
|---|---|---|---|---|---|---|---|---|
Quercetin (3,3′,4′,5,7-pentahydroxyflavone)![]() | 1. Human melanoma of vagina II (HMVII) melanoma cell 2. Normal human epidermal melanocytes (NHEM) | 1, 5, 10, and 20 μM | 1. ≤10 μM for HMVII—No cytotoxicity 2. ≤1 μM for NHEM—No cytotoxicity | ≤20 μM-Increase Blocking of tyrosinase activation by quercetin 1. Cycloheximide (10 μM) 2. actinomycin-D (5 μM) | Tyrosinase activity (cell system) At 1–20 μM —Enhance | Tyrosinase—No effect | Tyrosinase At 1–20 μM—Overexpression | Nagata et al., (2004) [31] |
| Quercetin | B16F10 melanoma (mice) NHEM (human) | 10–100 μM | >20 μM—Cell toxicity | 5 and 10 μM 72 h—Increase | Tyrosinase activity (cell free system) At 10–100 μM—Inhibit Tyrosinase Activity (cell system) At 5–10 μM—Enhance At 20–50 μM—Inhibit | p-PKA At 10–50 μM—Gradually low expression | Tyrosinase At 10 and 20 μM—Overexpression At 50 μM—Slightly low expression TRP-1 At 10, 20, and 50 μM—Gradually low expression TRP-2 At 5 and 10 μM—Overexpression At 20 and 50 μM—Gradually low expression | Yang et al., (2011) [41] |
| Quercetin | C3H/HeN Jrc mice (hair follicle tissues) | 50–160 μM | – | >50 μM—Increase | – | – | Tyrosinase TRP-2 At 5–160 μM—Overexpression TRP-1 At 50–160 μM—No effect | Takekoshi et al., (2013) [26] |
| Quercetin | HMVII (human) | 1–20 μM | ≤20 μM—No cytotoxicity | ≤20 μM—Increase | Tyrosinase Activity (cell system) At 20 μM—Enhance | – | – | Takekoshi et al., (2014) [21] |
| Quercetin | Melanoderm (human) | 10–100 μM | ≤100 μM—No cytotoxicity | At 10 μM—Increase | Tyrosinase Activity (cell system) At 10 μM 7 day—Enhance | – | Tyrosinase After 3 days at 10 μM—Overexpression | Takeyama et al., (2004) [32] |
| Quercetin | B16F10 melanoma Cell (mice) | 5, 10, and 50 μM | >10 μM—Cell toxicity | At 5, 10, and 50 μM—Decrease | – | – | – | Kim et al., (2012) [27] |
| Quercetin | Melan-a cells (mice) | 0.01–60 μg/mL | 0.01–60 μg/mL—No cytotoxicity | 60 μg/mL—Decrease | – | – | – | Chun et al., (2002) [28] |
| Quercetin | B16F10 melanoma (mice) | 30–50 µg/mL | >30 µg/mL for 48 h culture with MTT assay—Cell toxicity >2.5 µg/mL for 48 h culture with Trypan blue test—Cell toxicity | 30–100 µg/mL—Decrease | – | – | – | Chun et al., (2002) [29] |
| Quercetin | – | 0–200 μM | – | <200 μM—Decrease | – | – | – | Xie et al., (2003) [22] |
| Quercetin (Capparis spinosa L. extract) | B16 melanoma cells (mice) | 5–500 μM | Up to 500 μM—No cytotoxicity | At 50–500 μM—Increase | – | Tyrosinase, TRP-1 TRP-2—not determined | Tyrosinase After 24 h at 300 μM—Increase | Matsuyama et al., (2009) [33] |
| Quercetin (Morinda citrifolia extract) | B16 melanoma cells (mice) | 12.5, 25, 50, 100, and 200 μM | – | 12.5–50 μM–Increase 100 and 200 μM—Decrease | Tyrosinase activity (cell system) At 200 μM—Enhance | p-p38 MAPK—Overexpression—Depression of MITF ERK1/2—Overexpression—Activation of MITF | Tyrosinase At 5 and 200 μM—Low expression | Masuda et al., (2012) [44] |
| Quercetin rose hip (Rosa canina L. extract) | B16 melanoma cells (mice) | Eluates 250 µg/mL and 20 μM from EtOAC fraction | At 250 µg/mL—No cytotoxicity At 20 μM—No cytotoxicity | At 250 µg/mL—Decrease At 20 μM—Decrease | * Tyrosinase activity (cell free system & cell system) at 10–40 μM—Inhibit | – | Tyrosinase 10–40 μM—Low expression | Fujii et al., (2009) [37] |
| Quercetin (Anastatica hierochuntica) | B16 melanoma 4A5 cells (mice) | 0–100 μM | At <100 μM—No cytotoxicity | At <30 μM—Decrease | Tyrosinase activity (cell free system) at 1–30 μM—Enhance | Tyrosinase TRP-1 TRP-2—Low expression | – | Nakashima et al., (2010) [45] |
Quercetin derivatives Taxifolin![]() Luteolin ![]() | B16F10 melanoma cells (mice) | 0–200 μM | 0–200 μM—Cell toxicity | At 200 μM—Decrease | Tyrosinase Activity by Taxifolin and Luteolin (cell system) At 200 μM—Inhibit | – | Tyrosinase by Taxifolin and Luteolin At 200 μM—Overexpression | An et al., (2008) [39] |
1. 3-O-methyl quercetin![]() 2. 3’,4’,7-O-trimethylquercetin (Synthesized quercetin) ![]() | B16 melanoma cells (mice) | – | From at 6.25 μM—Cell toxicity | At 6.25–100 μM—Increase | – | – | Tyrosinase TRP-1 TRP-2 p38 MAPK—Low expression At 3.1–12.5 μM MITF p-p38 MAPK—Lack of stimulation | Yamauchi et al., (2014) [36] |
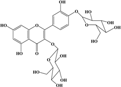
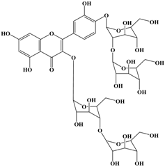
A. 4’-O-β-d-glucopyranosyl-quercetin-3-O-β-d-glucopyranosyl-(1→4)-β-d-glucopyranoside![]() B. 4’-O-β-d-glucopyranosyl-(1→2)-β-d-glucopyranosyl-quercetin-3-O-β-d-glucopyranosyl-(1→4)-β-d-glucopyranoside (Helminthostachys zeylanica root) ![]() | Murine B16 melanoma cells (mice) | – | At 10 μM—No cytotoxicity | At 10 μM—Increase | Tyrosinase activity (cell system) at 10 μM—Enhance | – | – | Yamauchi et al., (2013) [35] |
| Quercetin glucosides (4.5%) (Wine flavonoid fraction) ![]() | Melan-a cells (mice) | – | At 200 mg/L—Cell toxicity | At 8 mg/L—Increase | Tyrosinase activity (cell system) at 40 and 200 μM—Inhibit | – | – | Gómez-Cordovés et al., (2001) [40] |
A. Quercetin-4’-O-β-glucoside![]() B. Quercetin-3,4’-O-diglucoside ![]() | B16 melanoma cell (mice) | – | >10 μM—Slight cell toxicity | At 10, 100, and 200 μM—Increase | Tyrosinase activity (cell system) At 50, 100, and 200 μM—Slight increase | – | – | Yamauchi et al., (2014) [34] |
Quercetin 3-O-β-d-galactopyranoside (Nelnumbo nucifera Gaertn.)![]() | – | – | – | – | Tyrosinase activity (cell free system) IC50 = 15.67 μg/mL | – | – | Cho et al., (2013) [30] |
A. Quercetin-galactose-rhamnose-xylose![]() | B16F10 melanoma (mice) | 0–10 μM | >300 μM—Cell toxicity | 70 μM After 72 h—Decrease | – | Tyrosinas TRP-1 TRP MITF MC1R—All mRNA down-regulated | Tyrosinase–Decrease | Chao et al., (2013) [46] |
B. Quercetin-glucose-rhamnose (rutin) (Arthrophytum scoparium)![]() | B16F1 melanoma (mice) | – | <100 μM—No cytotoxicity | 100 μM Inhibition of cellular melanin | Tyrosinase activity (cell free system) Ethanol extract (40 μg/mL)—Inhibit | – | – | Taira et al., (2015) [38] |
© 2016 by the authors; licensee MDPI, Basel, Switzerland. This article is an open access article distributed under the terms and conditions of the Creative Commons Attribution (CC-BY) license (http://creativecommons.org/licenses/by/4.0/).
Share and Cite
Choi, M.-H.; Shin, H.-J. Anti-Melanogenesis Effect of Quercetin. Cosmetics 2016, 3, 18. https://doi.org/10.3390/cosmetics3020018
Choi M-H, Shin H-J. Anti-Melanogenesis Effect of Quercetin. Cosmetics. 2016; 3(2):18. https://doi.org/10.3390/cosmetics3020018
Chicago/Turabian StyleChoi, Moon-Hee, and Hyun-Jae Shin. 2016. "Anti-Melanogenesis Effect of Quercetin" Cosmetics 3, no. 2: 18. https://doi.org/10.3390/cosmetics3020018
APA StyleChoi, M.-H., & Shin, H.-J. (2016). Anti-Melanogenesis Effect of Quercetin. Cosmetics, 3(2), 18. https://doi.org/10.3390/cosmetics3020018














