Abstract
Phytic acid is a natural compound widely used as depigmenting agent in cosmetic emulsions. Few studies are available in the literature covering the stability and the antioxidating property of this substance, used alone or into emulsions. Therefore, the purpose of this work was to investigate the thermal behavior and antioxidant properties of phytic acid alone and into cosmetic emulsions. The thermal behavior of this substance was evaluated by thermogravimetry (TG)/derivative thermogravimetry (DTG) and differential scanning calorimetry (DSC) and the free-radical-scavenging activity by 1,1-diphenyl-2-picrylhydrazyl (DPPH). TG/DTG and DSC curves allowed evaluation of the thermal behavior of phytic acid. These results showed that the substance presented four stages of mass loss. Thermal decomposition of the material initiated at 150 °C. Thermal behavior of the cosmetic emulsions detected that the addition of phytic acid decreased the thermal stability of the system. DPPH free-radical-scavenging activity showed that phytic acid incorporated into emulsion had no antioxidant capacity compared to BHT. In summary, we concluded that the thermoanalytical techniques (TG and DSC) were efficient and reliable in the characterization of phytic acid alone and incorporated into cosmetic emulsions.
1. Introduction
Phytic acid (myo-inositol hexaphosphate, IP6) is a potent inhibitor of iron-catalyzed hydroxyl radical formation as it chelates the free iron and then blocks its coordination site [1]. Furthermore, due to its antioxidant properties, it is widely used as a nutritional supplement [2]. Several studies have uncovered its antioxidant activity in meat products, protective effects against oxidative damage in emulsions and, as a result, have led to an enhancement of shelf life for these products [3]. Currently, phytic acid is largely used as a depigmenting agent, acting through the inhibition of tyrosinase (by chelating copper and iron ions [4], and also as an antioxidant to bleach hyperchromic spots. For this reason, phytic acid has been widely used in cosmetic emulsions as an antioxidant for skin care products [5].
Thermal analysis is one of the most widely used techniques in the studies of characterization. It consists of a number of techniques for measuring the physical property of a substance or its reaction products, whilst subjecting the substance to a controlled temperature program [6].
Thermoanalytical techniques, such as differential scanning calorimetry (DSC), thermogravimetry and derivative thermogravimetry (TG/DTG), are extremely important for evaluating the stability and processes of thermal decomposition of materials. They are important in the studies of pre-formulation of drugs, because they allow the investigation of potential physical and chemical interactions between drugs and pharmaceutical adjuvants [7,8,9]. Few works are available that investigate the stability and the antioxidating property of this substance, used alone or in the presence of adjuvants. Recently, our group investigated the thermal behavior of phytic acid. We concluded that this substance when heated to 150 °C approximately for one hour, showed thermal decomposition. The resulting solution was colorless and became brown [10]. Khattab et al. (2010) [11] also evaluated phytic acid and other bioactive components of canola seeds, and determined the free-radical-scavenging activity of phytic acid by DPPH (1,1-diphenyl-2-picrylhydrazyl). The authors concluded that phytic acid showed optimal DPPH-scavenging activity, the highest antioxidant effect observed followed by condensed tannins and chlorophyll. In another study, Carli et al. (2006) [12] evaluated the thermal behavior of phytic acid and complexation with Ni (II) and concluded that this form of dipotassium salt allowed eight sites of protonation. In a system of phytic acid with Ni (II), seven stability constants were previously obtained, which revealed that the more the phytic acid was deprotonated, stronger was the interaction with the ion Ni (II).
The purpose of this work was investigated additional information about the thermal behavior of phytic acid alone and also incorporated into cosmetic emulsion by thermogravimetry (TG)/derivative thermogravimetry (DTG) and differential scanning calorimetry (DSC). Additionally, it evaluated the antioxidant potential of this substance alone and incorporated emulsions by DPPH.
2. Experimental Section
2.1. Materials
Absolute ethanol was purchased from Labsynth (São Paulo, Brazil). DPPH was purchased from Sigma-Aldrich (St. Louis, MO, USA). Phytic acid, a product originating from China, was supplied by a distributor. According to the distributor, the sample was a minimum 50% (w/w) solution in water. Two cosmetic emulsions were prepared containing the ingredients described in Table 1. Phytic acid and butylated hydroxytoluene (BHT), when added into the emulsion systems, were used at 5.0% and 0.05% w/w, respectively. The two emulsions were identical except for one component (BHT), which was only used in the first emulsion.
Table 1.
Components, suppliers and composition (weight %) of the prepared cosmetic formulation.
| Components (INCI) | Suppliers | % (w/w) |
|---|---|---|
| Phytic acid | Allchemistry® (São Paulo, Brazil) | 5.0 |
| Cetearyl alcohol, ceteth10, lanolin Alcohol and hydrocarbon | Henrifarma® (São Paulo, Brazil) | 20 |
| Ethoxylated lanolina | Galena® (Campinas, Brazil) | 5.0 |
| Cyclopentasiloxane | Daltomare® (São Paulo, Brazil) | 2.5 |
| Polydimethylsiloxane fluid | Daltomare® (São Paulo, Brazil) | 1.0 |
| BHT | Vital Especialidades® (São Paulo, Brazil) | 0.05 |
| Propylparaben | Pharma Nostra® (Campinas, Brazil) | 0.08 |
| Methylparaben | Pharma Nostra® (Campinas, Brazil) | 0.15 |
| Disodium dihydrogen ethylenediaminetetraacetate (EDTA) | All Chemistry® (São Paulo, Brazil) | 0.1 |
| Imidazolidinyl urea | ISP® (São Paulo, Brazil) | 0.1 |
| Propyleneglycol | Sarfam® (São Paulo, Brazil) | 3.0 |
| Water | Merck Millipore® Mili-Q® Simplicity UV (Darmstadt, Germany) | – |
INCI = International Nomenclature of Cosmetic Ingredients.
2.2. Methods
2.2.1. Thermal Analysis
Thermal characterization of phytic acid alone and incorporated into the cosmetic emulsion were performed using a calorimetric cell, model DSC–50, and a thermobalance, model TGA–51 (Shimadzu, Kyoto, Japan), using the following experimental conditions: (a) temperature ranged of from 25 to 500 °C (DSC) and 25 to 900 °C (TG); (b) heating rate (β) of 10 °C·min−1; (c) dynamic atmosphere of N2 (DSC) and air (TG) at a flow rate of 100 mL·min−1; (d) partially closed Al crucibles (DSC) and Pt crucibles (TG); (e) sample mass of approximately 2.0 mg for the DSC experiment, and of approximately 15.0 mg for the TG experiment. A TG curve for the empty crucible was obtained for each experimental condition used in non-isothermal tests (blank curves) and subtracted from each result obtained under the same conditions. Verification of the gain or loss of mass was performed using a sample of calcium oxalate CaC2O4·H2O, which exhibited three well-defined mass losses. For the DSC experiments, calibration data of the calorimetric cell were checked using standard samples of Zn and In. For the temperature axis, the melting temperatures of both metals had to be taken into account: 156.6 °C and 419.5 °C, respectively. For the heat flow, the expected value for the enthalpy of fusion of In was 28.5 J/g.
2.2.2. DPPH Free Radical Scavenging Test
DPPH free radical scavenging test was performed on the following samples: emulsion with BHT (EM/BHT); emulsion with BHT and phytic acid 5% (EM/PHYT/BHT); emulsion phytic acid 5% without BHT (EM/PHYT); blank emulsion without BHT (EM/BL); and ethanolic solution of phytic acid 5% (v/v) (ET/PHYT). To determine the DPPH radicals scavenged, 50 µL of 5% phytic acid ethanolic solution and 0.5 g of cosmetic emulsions were dissolved in 2.5 mL of 0.90 mM DPPH solution in ethanol [13]. All samples were analyzed in triplicate. The absorbance values were measured at 517 nm in Ultraviolet-visible spectrophotometry (Thermo Scientific® Evolution 600, Waltham, MA, USA), after thirty minutes in the dark and converted into the percentage of free radical scavenging (%FRS) using the following equation [14,15]:
Legend: %FRS: Percentage of free radical scavenging; Abscontrol: Absorbance of negative control sample; Abssample: Absorbance of samples.
2.2.3. Statistical Analysis
Data were analyzed using a one factor analysis of variance (ANOVA) and Tukey mean separation for multiple comparisons with MINITAB® Version 16 (State College, PA, USA).
3. Results and Discussion
3.1. Thermal Analysis
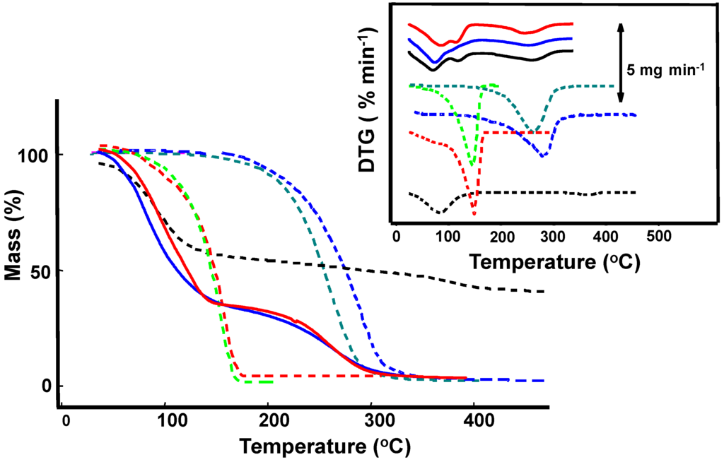
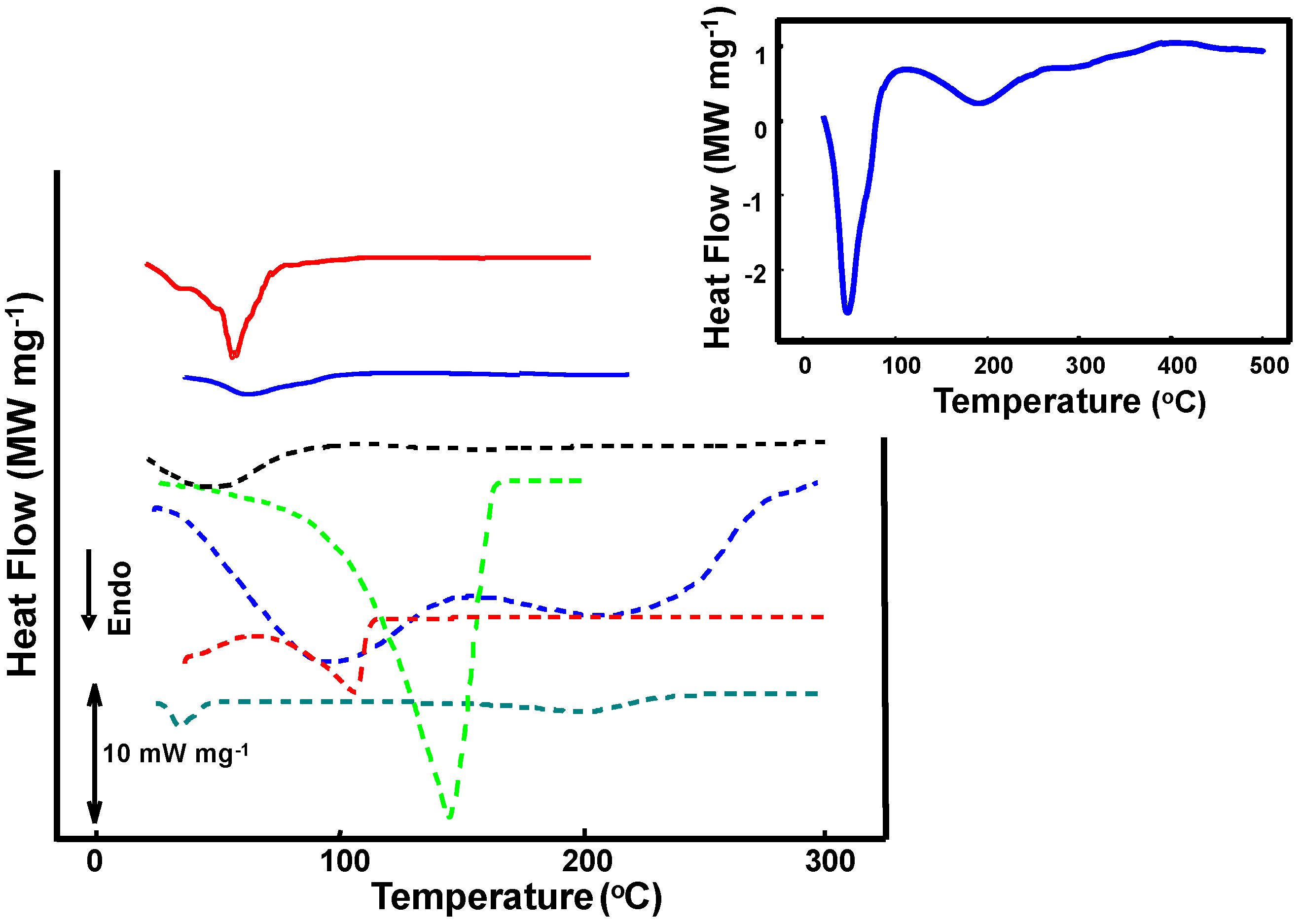
The TG/DTG plots for phytic acid (Figure 1) show four events of mass loss. The first event, with 40.8%, occurred between 25 and around 160 °C (DTG Tpeak = 83 °C), and it corresponds to the removal of water present in the sample, as indicated by supplier. However, our group investigated that when this substance was maintained at a 150 °C signs of carbonization could be observed. The carbonization process indicates the beginning of the thermal decomposition process, this fact was not observed in the TG/DTG curves. After one hour, the solution became brownish, and after 24 h at the same temperature turned black [10]. The second event occurred between 162 and 292 °C with Δm = 5.5%. The expansion of the DTG curve over this temperature range (inserted in Figure 1) showed at least two events of mass loss (Tpeak = 222 and 256 °C). The third event occurred between 248 and 447 °C with Δm = 9.2% (DTG Tpeak = 364 °C). The second and third events could be attributed to the carbonization process and dehydration due to the decomposition of OH groups that were contained in the acid. The fourth event occurred between 447 and 863 °C (Δm = 41.5% and DTG Tpeak = 648 °C) and it was due to the process of thermal decomposition of phytate groups and the elimination of elemental carbon formed in the previous steps. At the temperature of 870 °C, the accumulated mass loss was 97%.
The DSC curve showed an endothermic event between 21 and 120 °C, characteristic of the elimination of water (Tpeak = 48.17 °C). The second event was endothermic and could be attributed to the onset of thermal decomposition due to carbonization of the sample and removal of the OH groups from the acid (Tpeak = 156.9 °C). The third event observed in the DSC curve was exothermic (Tpeak = 325.5 °C) and corresponded to the third mass loss shown in the TG/DTG curves. Carli et al. (2006) [12] had evaluated the thermal behavior of phytic acid as dipotassium salt (K2C6H18P6O24) and they had identified a sample mass loss in three stages TG/DTG and the DSC profile had occurred in three thermic events. However, we found four stages of mass loss in TG/DTG curves, which could be related to the use of phytic acid in an aqueous solution.
Figure 1.
TG/DTG and DSC curves of phytic acid.
Figure 1.
TG/DTG and DSC curves of phytic acid.

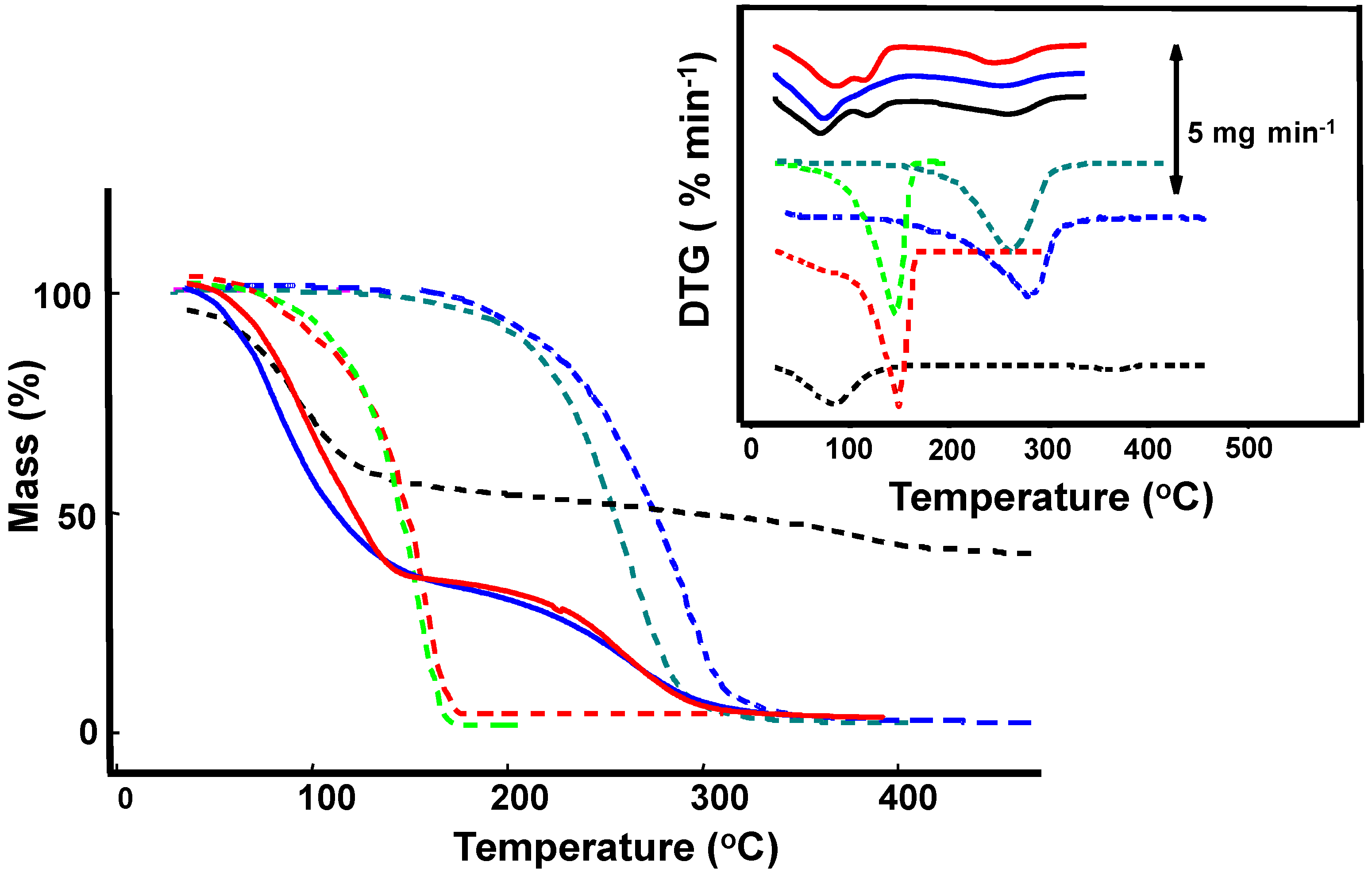
Figure 2 and Figure 3 illustrate the TG/DTG and DSC curves of the two emulsions and the adjuvants of highest volumes. TG/DTG curves of emulsion without this substance developed three mass loss events, the first around 25 °C to 101 °C, with mass loss of 45.7% (peak temperature DTG Tpeak DTG = 86 °C). This event characterized the elimination of free or loosely bound water in the emulsion. The second stage partially overlapped the first one, between 104 °C and 150 °C, with a mass loss of 21.8% (Tpeak DTG = 114 °C), and could be attributed to the removal of more strongly bound water. The total mass loss at 150 °C was about 68%, which was compatible with the water content of the emulsion of approximately 70.0%. During the third and final step, the part related to the emulsion oil phase was processed between 154 °C and 313 °C, with a mass loss of 31.3%. This event could be attributed to the volatilization process of the most adjuvants, Cetearyl alcohol-ceteth10 (CCLH) and ethoxylated lanolin. By comparing the results of the first stage of DTG curve mass loss, it was possible to determine that the emulsion of phytic acid showed a lower stability over the active-free emulsion.
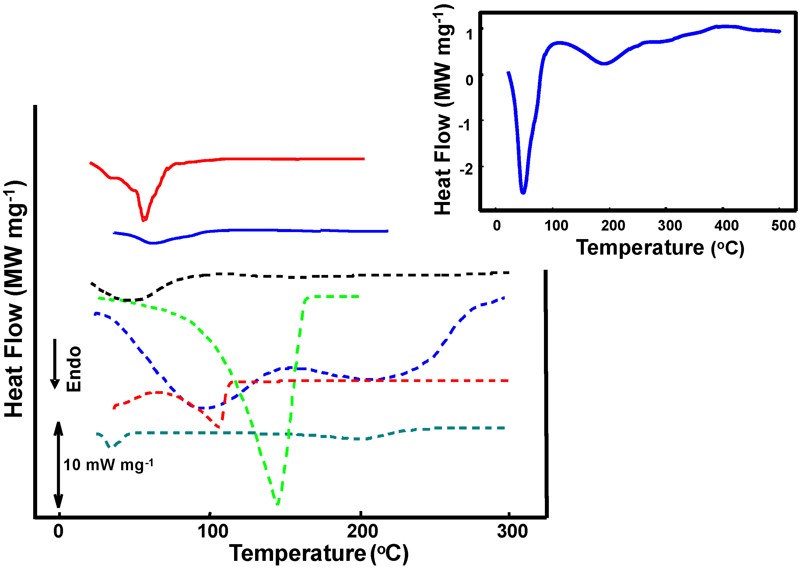
DSC curves (Figure 3) showed overlapping endothermic events between 25 °C and approximately 110 °C and Tpeak = 55.9 °C. These events were caused by the elimination of water from the total emulsion system, as well as by the melting and volatilization of formulation components. However, from DTG curves of the emulsion with phytic acid and from the reduction of DTG peak temperature (Tpeak DTG) we determined that the overlapping endothermic events could be related to the decrease of emulsion thermal stability. DSC curves of the emulsion of this substance (Figure 3) also revealed a decrease of the extrapolated peak onset temperature (Tonset DSC). Table 2 lists the values of Tonset DSC and Tpeak of curves DTG and DSC.
As previously mentioned, phytic acid has depigmentation activity, especially when combined with other bleaching compounds, such as hydroquinone. Due to the results described, the cosmetic formulators should be aware while incorporating this compound into emulsions since phytic acid decreases the thermal stability of these systems.
Table 2.
Values of Tonset DSC and Tpeak of curves DTG and DSC of emulsions.
| Emulsions | Tpeak DTG (°C) Stage 1 | T peak DTG (°C) Stage 2 | T peak DTG (°C) Stage 3 | Tonset DSC (°C) | Tpeak DSC (°C) |
|---|---|---|---|---|---|
| Without phytic acid | 86 | 114 | 246 | 50 | 56 |
| phytic acid | 73 | – | 252 | 32 | 49 |
Figure 2.
TG/DTG curves of the:
emulsion;
phytic acid (5.0% w/w);
lanolin ethoxylated;
Cetearyl alcohol-ceteth10;
propyleneglycol;
cyclopentasiloxane;
emulsion phytic acid 5.0% (w/w).
emulsion;
phytic acid (5.0% w/w);
lanolin ethoxylated;
Cetearyl alcohol-ceteth10;
propyleneglycol;
cyclopentasiloxane;
emulsion phytic acid 5.0% (w/w).
Figure 2.
TG/DTG curves of the:
emulsion;
phytic acid (5.0% w/w);
lanolin ethoxylated;
Cetearyl alcohol-ceteth10;
propyleneglycol;
cyclopentasiloxane;
emulsion phytic acid 5.0% (w/w).
emulsion;
phytic acid (5.0% w/w);
lanolin ethoxylated;
Cetearyl alcohol-ceteth10;
propyleneglycol;
cyclopentasiloxane;
emulsion phytic acid 5.0% (w/w).
Figure 3.
TG/DTG curves of the:
emulsion;
phytic acid (5.0% w/w);
lanolin ethoxylated;
Cetearyl alcohol-ceteth10;
propyleneglycol;
cyclopentasiloxane;
emulsion phytic acid 5.0% (w/w).
emulsion;
phytic acid (5.0% w/w);
lanolin ethoxylated;
Cetearyl alcohol-ceteth10;
propyleneglycol;
cyclopentasiloxane;
emulsion phytic acid 5.0% (w/w).
Figure 3.
TG/DTG curves of the:
emulsion;
phytic acid (5.0% w/w);
lanolin ethoxylated;
Cetearyl alcohol-ceteth10;
propyleneglycol;
cyclopentasiloxane;
emulsion phytic acid 5.0% (w/w).
emulsion;
phytic acid (5.0% w/w);
lanolin ethoxylated;
Cetearyl alcohol-ceteth10;
propyleneglycol;
cyclopentasiloxane;
emulsion phytic acid 5.0% (w/w).
3.2. DPPH Free Radical Scavenging Test
The ability of the samples to provide hydrogen was estimated using the DPPH free radical. In the presence of a hydrogen provider (scavenger), DPPH is reduced and a stable free radical is formed from the scavenger [16]. DPPH assay is one of the well-known frequently used methods to evaluate the free-radical-scavenging activity [17,18,19]. It has been widely used in model systems to investigate the scavenging activities of several natural compounds, such as phenolic compounds, anthocyanins, or crude mixtures, such as methanol extracts of plants [20,21]. Therefore, DPPH free-radical-scavenging was used to compare the scavenging effect of phytic acid alone and when incorporated into emulsions without or with BHT. Synthetic antioxidants such as BHT are often added in cosmetic emulsions as antioxidant. We used the BHT as a comparison to evaluate the antioxidant activity of phytic acid. The maximum absorbance of the DPPH ethanolic solution was attained at 517 nm. The method determines the antiradical power by measuring a decrease in the DPPH absorbance, resulting in color change from purple to yellow, when the DPPH is scavenged by an antioxidant molecule [11,22]. Few papers discuss the antioxidant activity of phytic acid alone or in emulsion. The choice of this method was due to the fact that DPPH presents less interference compared with other techniques, such as Oxygen radical absorbance capacity (ORAC) and Thiobarbituric acid-reactive substances (TBARS) [23]. Khatb et al. (2010) [11] observed that phytic acid DPPH-scavenging activity developed the highest antioxidant effect followed by condensed tannins and chlorophyll, presented in canola seeds (Brassica napus L. and Brassica juncea L.). Stodolak et al. (2007) [24] evaluated the effects of addition of phytic acid in extending the stability of beef and pork meat through TBARS assay. They established that phytic acid inhibited lipid peroxidation.
This study compared the DPPH free-radical-scavenging activity of phytic acid alone and incorporated into emulsions (Figure 4). The samples EM/BHT, EM/HPHYT/BHT, EM/HPHYT, EM/BL and ET/HPHYT showed, respectively, scavenging activities of 97.6 ± 0.016, 96.1 ± 0.009, 36.0 ± 0.007, 10.7 ± 0.031 and 13.0 ± 0.010. No statistically significant difference occurred in the %FRS of EM/BHT and EM/HPHYT, indicating that phytic acid showed no antioxidant effect within emulsions with BHT. Statistical samples of EM/BL and ET/HPHYT were equal at a high significance level. On the other hand, the sample ET/HPHYT showed to be different from EM/HPHYT at a high level of significance. Our results indicated that phytic acid incorporated into emulsions had a higher scavenging efficiency compared to phytic acid in ethnolic solution, while BHT incorporated into emulsions presented higher antioxidant activity than phytic acid. These results corroborated with Ahnet et al. (2004) [25] who reported that phytic acid presented lower antioxidant activity than BHT and BHA. However, after irradiation, the radical-scavenging ability of this compound increased. Additionally, the same authors concluded that phytic acid significantly reduced the TBARS values, especially in oil emulsions [26,27]. In this context, phytic acid had a protective action, inhibiting lipid peroxidation. It would, therefore, be interesting to further study its interaction when incorporated into emulsions. In addition, this compound might provide an antioxidant effect on the skin tissue.
In contrast to these findings, our results demonstrated that phytic acid decrease the thermal stability of emulsions. The most likely explanation for this contrasting conclusion is that the applied techniques (TG/DTG and DSC) use temperatures above emulsion storage temperature. This is why these techniques accelerate the thermal decomposition process, leading to lipid peroxidation. Moreover, phytic acid has low pH and this may decrease the stability of the emulsion.
Figure 4.
Free radicals scavenging of samples: EM/BHT, EM/HPHYT/BHT, EM/HPHYT, EM/BL and ET/HPHYT. Results of antioxidant activity expressed as mean ± standard deviation. Different letters above the bars represent statistically significant differences between groups. The results were evaluated according to the One-Way ANOVA statistical test, followed by Tukey test for comparison between groups (significance level = 0.05).
Figure 4.
Free radicals scavenging of samples: EM/BHT, EM/HPHYT/BHT, EM/HPHYT, EM/BL and ET/HPHYT. Results of antioxidant activity expressed as mean ± standard deviation. Different letters above the bars represent statistically significant differences between groups. The results were evaluated according to the One-Way ANOVA statistical test, followed by Tukey test for comparison between groups (significance level = 0.05).

4. Conclusions
We concluded that thermal analysis is an effective and reliable technique to evaluate the stability of emulsions and the characterization of the thermal behavior of phytic acid. The changes in the thermoanalytical profiles in the DSC and TG/DTG allowed us to conclude that the addition of phytic acid decreases the thermal stability of emulsions. DPPH results demonstrated that phytic acid has a lower antioxidant capacity compared to BHT in emulsions. Furthermore, this study evaluated other components, which enhanced the stability of formulations containing phytic acid.
Acknowledgments
The authors would like to express their appreciation to Professor Dr. Carlota Rangel Yugi by encouraging the writing of this article. Additionally, we would like to thank to Conselho Nacional de Desenvolvimento Científico e Tecnológico (CNPq) and Coordenação de Aperfeiçoamento de Pessoal de Nível Superior (CAPES).
Author Contributions
André Luis Máximo Daneluti contributed to the experimental and theoretical parts of this work. André Rolim Baby, Maria Valéria Robles Velasco and Jivaldo do Rosário Matos contributed with this manuscript scientific supervising and editing.
Conflicts of Interest
The authors declare no conflict of interest.
References
- Graf, E.; Empson, K.L.; Eaton, J.W. Phytic acid. A natural antioxidant. J. Biol. Chem. 1987, 262, 11647–11650. [Google Scholar] [PubMed]
- Urbano, G.; Lopez-Jurado, M.; Aranda, D.; Vidal-Valverde, C.; Tenório, E.; Porres, J. The role of phytic acid in legumes: Antinutrient or beneficial function? J. Physiol. Biochem. 2000, 56, 283–294. [Google Scholar] [CrossRef] [PubMed]
- Empson, K.L.; Labuza, T.P.; Graf, E. Phytic acid as a food antioxidant. J. Food Sci. 1991, 56, 560–563. [Google Scholar] [CrossRef]
- Arocha, J.R. Nuevas opciones en el tratamiento del melasma. Dermat. Venez. 2003, 41, 11–14. [Google Scholar]
- Manosroi, A.; Chutoprapat, R.; Sato, Y.; Miyamoto, K.; Hsueh, K.; Abe, M.; Manosroi, W.; Manosroi, J. Antioxidant activities and skin hydration effects of rice bran bioactive compounds entrapped in niosomes. J. Nanosci. Nanotech. 2011, 11, 2269–2277. [Google Scholar] [CrossRef]
- Matos, J.R.; Mercuri, L.; Barros, G. Análise térmica aplicada a fármacos e medicamentos. In Biofarmacotécnica; Storpirtis, S., Ed.; Editora Guanabara Koogan S/A: Rio de Janeiro, Brazil, 2009; pp. 32–48. (In Portuguese) [Google Scholar]
- Araújo, A.A.S.; Storpirtis, S.; Mercuri, L.P.; Carvalho, F.M.S.; Santos Filho, M.; Matos, J.R. Thermal analysis of the antiretroviral Zidovudine (AZT) and evaluation of the compatibility with adjuvant used in solid dosage forms. Int. J. Pharm. 2003, 206, 303–314. [Google Scholar] [CrossRef]
- Tomassetti, M.; Catalani, A.; Rossi, V.; Vecchio, S. Thermal analysis study of interaction between acetoaminophen and excipients in solid dosage forms and in some binary mixtures. J. Pharm. Biomed. Anal. 2005, 375, 949–955. [Google Scholar] [CrossRef] [PubMed]
- Giron, D. Applications of thermal analysis in the pharmaceutical industry. J. Pharm. Biomed. Anal. 1986, 4, 755–770. [Google Scholar] [CrossRef]
- Daneluti, A.L.M.; Matos, J.R. Study of thermal behavior of phytic acid. Bras. J. Pharm. Sci. 2013, 49, 275–283. [Google Scholar] [CrossRef]
- Khattab, R.; Goldenberg, E.; Lin, L.; Thiyam, U. Quantitative analysis and free-radical-scavenging activity of chlorophyll, phytic acid, and condensed tannins in canola. Food Chem. 2010, 122, 1266–1272. [Google Scholar] [CrossRef]
- Carli, D.L.; Rosso, N.D.; Schnitzler, E.; Carneiro, P.I.B. Estudo da estabilidade do ácido fítico e o íon Ni(II). Cienc. Tecnol. Aliment. 2006, 26, 19–26. (In Portuguese) [Google Scholar] [CrossRef]
- Hatano, T.; Kagawa, H.; Yasuhara, T.; Okuda, T. Two new flavonoids and other constituents in licorice root: Their relative astringency and radical scavenging effects. Chem. Pharm. Bull. 1988, 36, 2090–2097. [Google Scholar] [CrossRef] [PubMed]
- Bondet, V.; Brand-Williams, W.; Berset, C. Kinetics and mechanisms of antioxidant activity using the DPPH· free radical method. Food Sci. Technol. 1997, 30, 609–615. [Google Scholar]
- Velasco, M.V.R.; Balogh, T.S.; Pedriali, C.A.; Sarruf, F.D.; Pinto, C.A.S.O.; Kaneko, T.M.; Baby, A.R. Associação da rutina com p-metoxicinamato de octila e benzofenona-3: Avaliação in vitro da eficácia fotoprotetora por espectrofotometria de refletância. Lat. Am. J. Pharm. 2008, 27, 23–27. (In Portuguese) [Google Scholar]
- Rival, G.S.; Boeriu, C.G.; Wichers, H.J. Caseins and casein hydrolysates. 2. Antioxidative properties and relevance to lipoxygenase inhibition. J. Agric. Food Chem. 2001, 49, 295–302. [Google Scholar] [CrossRef] [PubMed]
- Sarojini, B.K.; Vidyagayatri, M.; Darshanraj, C.G.; Bharath, B.R.; Manjunatha, H. DPPH scavenging assay of novel 1,3-disubstituted-1H-pyrazol-5-ols and their in silico studies on some proteins involved in Alzheimer’s disease signaling cascade. Lett. Drug Des. Discov. 2010, 7, 214–224. [Google Scholar] [CrossRef]
- Szabo, M.R.; Iditoiu, C.; Chambre, D.; Lupea, A.X. Improved DPPH determination for antioxidant activity spectrophotometric assay. Chem. Pap. 2007, 61, 214–216. [Google Scholar] [CrossRef]
- Zivkovic, J.; Mujic, I.; Zekovic, Z.; Vidovic, S.; Mujic, A.; Jokic, S. Radical scavenging, antimicrobial activity and phenolic content of Castanea sativa extracts. J. Cen. Eur. Agric. 2009, 10, 175–182. [Google Scholar]
- Hu, C.; Kitts, D.D. Studies on the antioxidant activity of Echinaceae root extract. J. Agric. Food Chem. 2000, 48, 1466–1472. [Google Scholar] [CrossRef] [PubMed]
- Sanchez-Moreno, C.; Larrauri, J.A.; Saura-Calixto, F.A. Procedure to measure the antiradical efficiency of polyphenols. J. Sci. Food Agric. 1998, 76, 270–276. [Google Scholar] [CrossRef]
- Gulçin, I. Antioxidant and antiradical activities of l-carnitine. Life Sci. 2005, 78, 803–811. [Google Scholar] [CrossRef] [PubMed]
- Badarinath, A.V.; Mallikarjuna, K.R.A.; Chetty, C.M.S.; Ramkanth, S.; Rajan, T.V.S.; Gnanaprakash, K. A review on in-vitro antioxidant methods: Comparisions, correlations and considerations. Int. J. PharmTech Res. 2010, 2, 1276–1285. [Google Scholar]
- Stodolak, B.; Starzynska, A.; Czyszczon, A.; Zyla, K. The effect of phytic acid on oxidative stability of raw and cooked meat. Food Chem. 2007, 101, 1041–1045. [Google Scholar] [CrossRef]
- Ahn, H.-J.; Kim, J.-H.; Jo, C.; Kim, M.-J.; Byun, M.-W. Comparison of irradiated phytic acid and other antioxidants for antioxidant activity. Food Chem. 2004, 88, 173–178. [Google Scholar] [CrossRef]
- Graf, E.; Eaton, J.W. Antioxidant functions of phytic acid. Free Radic. Biol. Med. 1990, 8, 61–69. [Google Scholar] [CrossRef]
- Lee, B.J.; Hendricks, D.G. Phytic acid protective against beef round muscle lipid peroxidation. J. Food Sci. 1995, 60, 241–244. [Google Scholar] [CrossRef]
© 2015 by the authors; licensee MDPI, Basel, Switzerland. This article is an open access article distributed under the terms and conditions of the Creative Commons Attribution license (http://creativecommons.org/licenses/by/4.0/).