Abstract
Interest in clean beauty is rising due to minimalism in the formulation of cosmetics, rational use of water, and fewer chemical additives like preservatives, colorants, surfactants, and artificial fragrances. Green ingredients lead to the development of sustainable formulations with advanced performance and are less aggressive to human health and the environment. Currently, the electrospinning technique is used as a simple one-step manufacturing process to produce nanostructured cosmetics under mild temperature conditions. This study focuses on the utilization of rice bran oil (RBO) in the creation of sustainable nanostructured cosmetics for potential cosmetic and well-being applications. Four sustainable formulations were developed to optimize the creation of nanostructured cosmetics using ethyl cellulose and rice bran oil (RBO). Ethanol absolute and polyvinyl pyrrolidone have been chosen to compose the sustainable formulation due to their biocompatibility and biodegradability. We studied four different RBO concentrations regarding morphology, encapsulation efficiency, biodegradability, and cytotoxicity. Nanostructured cosmetics present biomimetic surfaces, high RBO encapsulation ability, low mass loss at simulated physiologic conditions, and non-cytotoxicity. Therefore, the minimalist sustainable formulation does not contain any toxic solvents and incompatible harmful excipients, was nanostructured using a mild manufacturing process, and obtained high RBO entrapment.
1. Introduction
Within the realm of nanofibers, natural compounds, especially those of plant origin, stand out prominently. The ability to encapsulate these natural compounds in nanofibers has been extensively explored, covering extracts from turmeric, moringa leaves, graviola leaves [1], and an array of essential oils including lavender, cinnamon, peppermint, eucalyptus, sage, oregano [2], and fish oil [3]. The nanofiber matrix has proven effective in preserving these natural compounds and preventing rapid degradation and evaporation of their bioactive components, resulting in reduced toxicity to human cells [1].
On the other hand, rice bran, a by-product of rice processing, has been widely explored in the production of rice bran oil (RBO). This oil is recognized for its high nutritional quality, with significant contents of oleic acid, linoleic acid, and other bioactive compounds such as gamma-oryzanol, tocopherols, squalene, and phytosterols, earning it the moniker of a “nutritional health oil” [4,5]. RBO has been substantiated to possess lipid-lowering, antihypertensive, antihyperglycemic, anti-inflammatory, antioxidative, anticancer, and hepato-protective effects [6,7].
Due to the great benefits of RBO and its nutritional and functional constituents, analysis of its pharmacological properties (quality and composition) is essential [8]. Around 89% are neutral lipids at the time of grinding, 4% are rich in tocopherols and tocotrienols, and 2 to 4% are free fatty acids (FFA). This level of FFA is desirable because it allows for better refinement of the material [9]. The bran is stabilized with heat treatment at 120 °C, an important process that denatures the oxidizing enzymes and ensures that the nutrients remain intact [10]. The extraction process is carried out chemically or with hydrolytic pressing. Chemically, the solvents can be petroleum-based, such as ethanol, isopropanol, D-limonene, and ethyl acetate, but hexane is the most efficient [11].
Rice bran oil occupies a privileged position in the industry as it can be used as a substitute for other edible vegetable oils, emulsifying, and finds application in the production of paints, glycerin, fertilizers, and even margarine [6,12]. In the cosmetic field, RBO finds its application in a diverse range of products, including moisturizers, skin creams, soaps, massage oils, lipsticks, sunscreen formulations, and more [7]. In vitro studies have demonstrated emollient and antioxidant activities of RBO [13], while in a clinical study, treatment with gels and creams containing RBO extracts resulted in enhanced skin hydration and improvements in skin thickness, roughness, elasticity, and whitening [14]. RBO nanofibers, on the other hand, were studied as novel industrial Oil-in-Water Pickering emulsions [15], but the association of RBO with nanofibers remains relatively uncharted territory.
The use of rice bran oil in the production of nanofibers represents a significant innovation [13]. Beyond its health-promoting attributes, the sustainable and economic appeal of this oil is notable as it utilizes an abundant by-product of the rice industry, thus reducing waste [4]. In summary, electrospinning offers an innovative methodology for encapsulating active compounds, including natural ones, in nanofibers [1,16]. RBO, with its nutritive properties and versatile applications, represents a promising alternative in nanofiber production, aligning with sustainability and economic principles [4,13]. The main aim of this study was to investigate the application of rice bran oil (RBO) in the development of sustainable nanostructured cosmetics for potential utilization in the cosmetic and well-being sectors.
2. Material and Methods
Ethylcellulose (EC) Aqualon™ and polyvinylpyrrolidone (PVP) Plasdone™ were provided by Ashland (Ashland Ltda, Jaguaré, SP, Brazil). Ethanol absolute (analytical grade) was supplied by Dinâmica (Dinâmica Group, Barueri, SP, Brazil). Phosphate buffered solution (PBS, pH = 7.4) was purchased from Thermo Fisher Scientific (Waltham, MA, USA).
2.1. Rice Bran Oil
The rice bran oil utilized in the formulation was sourced from non-transgenic rice bran (Oryza sativa L.). The RBO was supplied by the company HT-Nutri (Hellmut Tessmann Ind. Com. Óleos Vegetais, Camaquã, RS, Brazil) in accordance with the Ministry of Agriculture, Livestock and Supply (MAPA) registration RS-15033-05020. The solute was extracted chemically, obtaining a free acidity in oleic acid of 20 g/kg, unsaponifiable raw material of 60 g/kg, total fatty acids of 850 g/kg, Gamma-oryzanol of 10 g/kg, moisture of 5000 mg/kg, vitamin E of 200 IU/g, Peroxide of 10 meq/1000 g/kg available in liquid form in yellow color.
2.2. Formulation Preparation
A 10% (w/v) polymeric solution was prepared by solubilization of EC and PVP (9:1) in 20 mL ethanol absolute at room temperature and stirred for 24 h to ensure complete dissolution of the polymers. After this period, 1%, 5%, and 10% of RBO was added to the solution and magnetically stirred for homogenization. Four different formulations were obtained: (1) RBO 0%; (2) RBO 1%; (3) RBO 5%, and (4) RBO 10%. All preparations were immediately used for electrospinning.
2.3. Electrospinning Process
Each solution was loaded into a plastic syringe with a metallic needle attached (diameters 0.33 µm–0.70 µm). The syringe delivered the polymer solution at a controlled flow rate of 0.1–20 mL/h. The electrospinning was conducted at 5–15 kV, with temperature at 20 °C–25 °C and relative humidity at 45–55%. The distance between the needle tip and the collector was about 7–25 cm (Table 1).
Table 1.
Electrospinning parameters.
2.4. Microstructure Analysis
The Field-Emission Gun Scanning electron microscope Tescan (model Mira 3 XMU—TESCAN, Czech Republic) was used to evaluate the nanostructured cosmetic microstructure. The sample was fixed on aluminum strips using double-sided carbon adhesive tape and then coated with a layer of gold using an electron microscope Sputter Coater (Capovani Brothers Inc., Scotia, New York, NY, USA). The fibers’ average diameters were measured using the software Image J (National Institute of Health, Stapleton, NY, USA). Diameter mean was determined by performing 50 random measurements from three different regions of the sample.
2.5. Liquid Uptake Capacity
The hydration capacity of the nanostructured cosmetic was determined in vitro using PBS. Dried samples (40 × 40 mm2) with predetermined weights were immersed in 15 mL of PBS at 37 ± 1 °C for 24 h. After this period, the samples were removed from the PBS and dried using absorbent paper to remove the excess PBS, and their final weight was determined [17]. The absorption and retention capacity of PBS (LU) was measured for each formulation in triplicate calculated according to Equation (1), where Ww is the mass of the sample in the wet state and Wd is the mass of the sample after drying:
LU = (Ww − Wd)/Wd
2.6. Weight Loss under Simulated Physiological Conditions
The stability of the nanostructured cosmetic regarding mass loss was analyzed in vitro in a simulated physiological microenvironment. Dried samples (Wi) with known masses (≈25 mg) were placed in a vial containing 15 mL of PBS and kept at 37 ± 1 °C for 7 days. After this period, the samples were removed, washed with distilled water, and dried at room temperature until they reached constant mass (Wf) [17]. Mass loss (M) was measured in triplicate and calculated using Equation (2):
M = [(Wi − Wf)/Wi] × 100
2.7. Encapsulation Efficiency
The encapsulation efficiency (EE) is defined as the ratio of the total amount of RBO encapsulated/entrapped in the nanofiber to the total amount of RBO used in the polymeric formulation. EE was determined using the reporter method at the wavelength of 326 nm. The absorbances obtained were normalized against the blank absorbance. Briefly, the fibers were solubilized in ethanol + dichloromethane 1:1 to extract the entrapped RBO. The solution was centrifuged at 4000 rpm for 5 min to separate the RBO from the sample. The solubilized RBO was detected using UV-visible spectroscopy (UV-VIS-NIR DUETTA™, Horiba Science, São Paulo, SP, Brazil), and the concentration was calculated according to the regression equation for the reporter standard curve (n = 3). The concentration detection limit was 0.08 mg/mL.
Superficial concentration and distribution of RBO along the fibers were assessed on the nanostructured cosmetic surface, right after the electrospinning process and after seven days’ submersion in PBS, pH 7.4, and temperature of 37 ± 1 °C (n = 3). The EE was calculated using the following Equation (3):
EE = (Amount of RBO in electrospun/total amount of RBO added) × 100
2.8. Cell Culture
The human melanoma cell line (SK-MEL-28) was kindly provided by Dra. Carmen Silvia Passos Lima from the Cancer Genetics Laboratory at the State University of Campinas (UNICAMP). The cells were thawed and maintained in Iscove’s Modified Dulbecco’s Medium (IMDM) supplemented with 10% fetal bovine serum (FBS) and 50 mg/mL Penicillin and Streptomycin (Gibco Inc., Billings, MT, USA) and were kept in an oven at 37 °C containing 5% CO2.
2.8.1. Cell Viability
The melanoma cell line (SK-MEL-28) was seeded in 96-well plates at a density of 4 × 104 cells/well (100 µL per well) and kept in IMDM at 37 °C for 24 h to confluence. The cells were then incubated with RBO at 8 concentrations (20%, 10%, 5%, 2.5%, 1.25%, 0.62%, 0.31%, and 0.15%) or RBO-incorporated nanofibers at 4 concentrations (0%, 1%, 5%, and 10%) for 48 h. The control remained in the culture medium without any treatment for the same period. After the incubation time, cell survival (viability) was assessed using the MTT method. The MTT reagent (5 mg/mL) was added to the culture and the cells were incubated for 3 h in an oven at 37 °C with 5% CO2. The cells were then treated for 15 min with isopropyl alcohol, and cytotoxicity was assessed by measuring the absorbance of the samples at 540 nm in a Multiskan GO Spectrophotometer microplate reader (Thermo Fisher Scientific, Inc., Waltham, MA, USA). The results were expressed as the percentage of cell viability normalized to the control group (untreated cells). The percentage was assessed by normalizing the absorbance to the untreated control. The formula for cell viability is typically:
where mean OD treatment is the absorbance of treated cells, mean OD control is the absorbance of the control cells, and OD blank is the absorbance of the medium without cells.
2.8.2. Statistical Analysis of Cell Viability
The analysis was carried out using GraphPad prism, V, 8.0 (GraphPad, San Diego, CA, USA). The level of significance was determined using a one-way ANOVA test, followed by Dunnet’s multiple comparisons test. The level of significance adopted was (p < 0.05).
2.9. Statistical Analysis of Physicochemical Parameters
All physicochemical data were expressed as mean ± SD. Statistical analysis of the data was performed using a one-way ANOVA with a post hoc Tukey HSD test with a confidence level of 95% (p < 0.05).
3. Results
3.1. Nanostructured Cosmetic Morphology
The sustainable formulations produced high fiber density without defects, demonstrating the great performance of the electrospinning process. The nanostructured cosmetic surface has advanced features, such as emulating the extracellular matrix (Figure 1).
Figure 1.
Microstructures of RBO formulations (A) 0%, (B) 1%, (C) 5%, and (D) 10%.
The fibers’ diameters are shown in Table 2. There is statistical significance between the formulations (Tukey test, p < 0.05).
Table 2.
Fiber diameter.
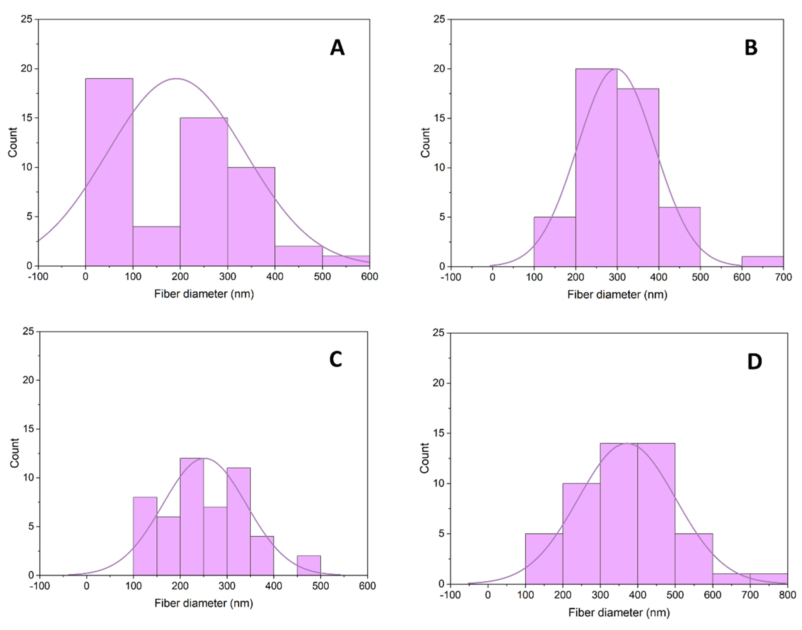
The histograms of the fibers’ diameter distribution are present in Figure 2. There is variation between the four designed formulations. Formulation B shows a more homogeneous diameter distribution and formulation A has a more heterogenous diameter distribution.
Figure 2.
Histograms of fibers’ diameters distribution. (A) RBO 0%, (B) RBO 1%, (C) RBO 5%, and (D) RBO 10%.
3.2. Liquid Uptake Performance
The liquid uptake evaluated in simulated physiological conditions, a temperature of 37 °C ± 1 °C, PBS, and pH 7.4, reached values around 600% (Figure 3). There is no statistical difference between the formulations (n = 3).
Figure 3.
Liquid uptake performance. There is no statistical difference between the formulations (Tukey test, p < 0.05).
3.3. Weight Loss in Simulated Physiological Conditions
The mass loss was evaluated at simulated physiological conditions using PBS and a temperature of 37 °C ± 1 °C for seven days. The morphology of the nanostructured cosmetic slightly changed and presented the degradation products on the surface (Figure 4).
Figure 4.
Surface morphology after mass loss at simulated physiological conditions. (A) RBO 0%, (B) RBO 1%, (C) RBO 5%, and (D) RBO 10%. The yellow circles show the degradation products on the surface.
The percentage of mass loss is shown in Figure 5. The value reached between 1.94% and 3.76%. However, there is no statistical difference between the formulations (n = 3).
Figure 5.
Mass loss at simulated physiological conditions. There is no statistical difference between the formulations (Tukey test, p < 0.05).
3.4. Encapsulation Efficiency
The percentage value of encapsulation efficiency reached between 85% and 97%. The concentration of 50 mg/g was more efficiently encapsulated than the concentration of 100 mg/g. The concentration of 10 mg/g is below the limit of detection (≤LD). There is statistical significance between formulations (n = 3). The p-value reached 0.02742 in the one-way Anova with Tukey test (Table 3).
Table 3.
Encapsulation efficiency (EE).
The superficial concentration and distribution of RBO along the fibers were assessed. The study was performed before and after seven days of RBO release in simulated physiological conditions. There is statistical significance between the formulations. However, there is no statistical difference before and after the release in the same formulation (n = 3) (Tukey test, p < 0.05). The RBO 5% formulation released around 21.26%, and the RBO 10% formulation released around 11.59% during seven days (Figure 6).
Figure 6.
Superficial concentration before and after seven days of RBO release. The different letters indicate statistical significance between the formulations (Tukey test, p < 0.05).
3.5. Cell Viability
In the context of cytotoxicity assessment, the MTT assay was employed to evaluate the impact of RBO and RBO-incorporated nanofibers on SK-MEL-28 cell viability after 48 h of treatment (Figure 7).
Figure 7.
RBO and RBO-incorporated nanofibers viability in SK.MEL.28 cell line. (A) RBO exhibited significant cytotoxicity to human melanoma cells only at a 20% treatment concentration. (B) Nanofibers alone and RBO-incorporated nanofibers did not significantly impact the proliferation of SK.MEL.28 cells. The values were obtained after 48 h of treatment in two independent experiments, each with three replicates (mean ± SEM). Significant differences between the control (black column) and the 20% RBO treatment are represented by *** p < 0.0008.
The results from the MTT assays demonstrated that when SK-MEL-28 cells were treated with varying concentrations of RBO, the percentage of cell viability exhibited a concentration-dependent response (Figure 7A).
At lower RBO concentrations (0.15% to 2.5%), cell viability remained relatively high, with values ranging from 71.43% to 84.91%. However, as the RBO concentration increased to 20%, cell viability declined to 62.04% compared with the control.
Conversely, when RBO was encapsulated into nanofibers, the nanofiber itself exhibited negligible cytotoxicity, with cell viability above 100% (Figure 7B). Notably, the RBO-incorporated nanofibers displayed promising biocompatibility, with cell viability ranging from 93.20% to 97.51% at the tested concentrations (1%, 5%, and 10%).
4. Discussion
Cosmetics research and the well-being market are moving towards natural cosmetics and botanic formulations in order to obtain more effective and dermo-safe products according to the demands for sustainability [18].
The successful production of an environmentally sustainable cosmetic product starts with the development of minimalist formulations and the choice of an efficient manufacturing process.
Electrospinning is used to manufacture clean beauty products as an innovative alternative to conventional products. Electrospinning has advantages such as its nano-scale fiber diameter, the presence of interconnected pores, which enables a high surface/volume ratio, and a light and comfortable cosmetic product [19,20].
The nanostructured cosmetic morphology showed as an interconnected fiber with a size approaching the nanoscale, namely between 89 nm and 447 nm (Figure 1). Godakanda et al. [21], when synthesizing nanofibers containing only PVP, EC, and ethanol, obtained a diameter of 0.409 ± 89 µm, almost double the diameter obtained in our synthesis (0.216 ± 0.127). A reduced nanofiber diameter presents multifaceted benefits, boasting a larger surface area for heightened interactions in adsorption, chemical reactions, and drug delivery [22]. Their finer structure enhances cellular adhesion and promotes superior filtration efficacy against particles [23] and microorganisms [24]. Additionally, thinner nanofibers exhibit enhanced mechanical properties suitable for tissue engineering and material reinforcement [25]. Lastly, their reduced size enables a more controlled and uniform drug release, catering to advanced pharmaceutical delivery systems.
Further, we produced a highly efficient encapsulation RBO process (Table 3), with a minimal amount of ingredients, specifically, two polymers, and one green solvent, being around 90% botanical, biodegradable, or renewable source ingredients (Table 1).
Normally, botanical formulations have desirable features such as mildness, efficacy, biodegradability, and low toxicity. During the seven days under simulated physiological conditions, the nanostructured cosmetic biodegraded between 2% and 4% (Figure 5).
Although no statistical significance was observed for the parameters of liquid uptake and mass loss, the graphical representation depicts a noticeable trend. Concerning liquid uptake data, increasing RBO concentrations in formulations led to a reduced absorption rate (Figure 3). Similarly, mass loss decreased as the RBO concentration increased (Figure 5). A more detailed examination of these trends might offer insights into the nuanced influence of concentration on the performance of the nanostructured cosmetic.
Safety and efficacy are also two important aspects of cosmetic products. Many studies evaluating the effects of various vegetable oils have demonstrated their ability to protect the skin and their antioxidant and anti-inflammatory actions [26], reflecting the importance of developing and advancing therapies using natural products. Among these compounds, RBO stands out for being an important antioxidant rich in phytochemicals such as ɣ-oryzanol, which has a strong anti-inflammatory action [11,27]. This ability of RBO is beneficial to health, highlighting the importance of developing new strategies for encapsulating the drug and new dosages.
The results of the cytotoxicity assays provide critical insights into the biocompatibility of RBO and RBO-encapsulated nanofibers with SK-MEL-28 cells. Notably, RBO, when applied directly to cells, exhibited concentration-dependent cytotoxicity, which is a crucial consideration when determining the appropriate RBO concentration for incorporation into nanofibers. Except for the 20% concentration, all others showed a viability close to 80%, which indicates that these treatments have good biocompatibility and ability to support cell proliferation, according to ISO-10993-5 [28].
Cancer cells cultured in vitro are frequently used across various research fields beyond the specific domain of cancer investigation, providing a convenient model for studying general biological processes. These applications include vaccine development [29], myelodysplastic syndrome [30], drug repurposing [31,32], and toxicity studies [33,34], among others. Notably, SK-MEL-28 cells have been previously employed in cosmetic research [35]. In our study, despite SK-MEL-28 cells being a melanoma cell line, they represent a type of human skin cell, offering a quick and accessible system to investigate the cytotoxicity of oils and oil-incorporated nanofibers.
These findings emphasize the importance of optimizing RBO concentrations to ensure both the preservation of cell viability and the potential therapeutic benefits of RBO for skin cells. Conversely, the nanostructured cosmetics demonstrated excellent biocompatibility, even at higher concentrations, suggesting their potential as a delivery system for natural substances like RBO. The results support the concept that nanostructured cosmetics could serve as a promising platform for the controlled release of RBO and other bioactive compounds for skin applications as they do not adversely affect cell viability.
Further studies should explore the controlled release capabilities of these nanostructured cosmetics and their potential for promoting skin-applicable products.
5. Conclusions
The formulation developed in this study, mainly derived from botanical sources, comprising two polymers and one green solvent, embodies an environmentally sustainable approach, offering significant promise for applications in cosmetic and well-being products.
The electrospinning process produced a nanostructured cosmetic with a biomimetic structure and special features. The architecture is free from defects and capable of encapsulating a high concentration of RBO with great yield.
In summary, the results highlight the favorable biocompatibility of nanostructured cosmetics with SK-MEL-28 cells, suggesting their potential as a delivery system for natural compounds in skin cell applications. The concentration-dependent cytotoxicity of RBO underscores the need for precise control in optimizing RBO concentrations. These findings open avenues for further research on controlled release systems to promote skin-applicable products.
Author Contributions
Conceptualization, L.L.L. and K.B.-d.-S.; formal analysis, L.L.L. and K.B.-d.-S.; investigation, L.L.L., K.B.-d.-S. and I.M.C.T.; project administration, L.L.L. and R.A.R.; resources, C.R., G.R.L. and J.V.L.d.S.; supervision, J.V.L.d.S.; writing—original draft preparation, L.L.L. and K.B.-d.-S.; writing—review and editing, L.L.L., K.B.-d.-S., I.M.C.T., C.R., P.E.N.F.V., E.B., R.A.R., J.V.L.d.S. and G.R.L. All authors have read and agreed to the published version of the manuscript.
Funding
This research was funded by study grant CAPES (#88887.802571/2023-00).
Institutional Review Board Statement
Not applicable.
Informed Consent Statement
Not applicable.
Data Availability Statement
The data presented in this study are available on request from the corresponding author. The data are not publicly available due to privacy restrictions.
Acknowledgments
We thank Ashland Ltd., Brazil, for kindly donating the Aqualon™ and Plasdone™. We thank HT Nutri for donating the rice bran oil. We thank the Information Technology Center (CTI) Renato Archer for the infrastructure provided. Lima thanks the institutional training program of MCTI/CNPq agencies. We also thank CNPq, Conselho Nacional de Desenvolvimento Científico e Tecnológico—Brasil, and Rafael Felipe Vicentini for his support in elaborating the graphical abstract.
Conflicts of Interest
The authors declare no conflict of interest.
References
- Priyanto, A.; Hapidin, D.A.; Khairurrijal, K. Potential Loading of Virgin Coconut Oil into Centrifugally-Spun Nanofibers for Biomedical Applications. ChemBioEng Rev. 2022, 9, 393–408. [Google Scholar] [CrossRef]
- Mele, E. Electrospinning of Essential Oils. Polymers 2020, 12, 908. [Google Scholar] [CrossRef] [PubMed]
- García-Moreno, P.J.; Stephansen, K.; van der Kruijs, J.; Guadix, A.; Guadix, E.M.; Chronakis, I.S.; Jacobsen, C. Encapsulation of Fish Oil in Nanofibers by Emulsion Electrospinning: Physical Characterization and Oxidative Stability. J. Food Eng. 2016, 183, 39–49. [Google Scholar] [CrossRef]
- Xu, D.; Hao, J.; Wang, Z.; Liang, D.; Wang, J.; Ma, Y.; Zhang, M. Physicochemical Properties, Fatty Acid Compositions, Bioactive Compounds, Antioxidant Activity and Thermal Behavior of Rice Bran Oil Obtained with Aqueous Enzymatic Extraction. LWT 2021, 149, 111817. [Google Scholar] [CrossRef]
- Lai, O.-M.; Jacoby, J.J.; Leong, W.-F.; Lai, W.-T. Nutritional Studies of Rice Bran Oil. In Rice Bran Rice Bran Oil; Academic Press and AOCS Press: Cambridge, MA, USA, 2019; pp. 19–54. ISBN 9780128128282. [Google Scholar]
- Punia, S.; Kumar, M.; Siroha, A.K.; Purewal, S.S. Rice Bran Oil: Emerging Trends in Extraction, Health Benefit, and Its Industrial Application. Rice Sci. 2021, 28, 217–232. [Google Scholar] [CrossRef]
- Wang, Y. Applications of Rice Bran Oil. In Rice Bran and Rice Bran Oil, 1ª ed.; Elsevier: Amsterdam, The Netherlands, 2019; pp. 159–168. [Google Scholar]
- Pestana, V.R.; Zambiazi, R.C.; Mendonça, C.R.B.; Bruscatto, M.H.; Lerma-García, M.J.; Ramis-Ramos, G. Quality Changes and Tocopherols and γ-Orizanol Concentrations in Rice Bran Oil During the Refining Process. Am. Oil Chem. Soc. 2008, 85, 1013–1019. [Google Scholar] [CrossRef]
- Rohman, A. Rice Bran Oil’s Role in Health and Cooking. In Benefits, Risks and Mechanisms of Whole Grains in Health Promotion; Academic Press: Cambridge, MA, USA, 2014; pp. 481–490. [Google Scholar]
- Bitencourt, R.G.; Rammazzina Filho, W.A.; Paula, J.T.; Garmus, T.T.; Cabral, F.A. Cabral. Solubility of γ-oryzanol in supercritical carbon dioxide and extraction from rice bran. J. Supercrit. Fluids. 2016, 107, 196–200. [Google Scholar] [CrossRef]
- Sahini, M.G.; Mutegoa, E. Extraction, phytochemistry, nutritional, and therapeutical potentials of rice bran oil: A review. Phytomed. Plus 2023, 3, 100453. [Google Scholar] [CrossRef]
- Juchen, P.T.; Araujo, M.N.; Hamerski, F.; Corazza, M.L.; Voll, F.A.P. Extraction of Parboiled Rice Bran Oil with Supercritical CO2 and Ethanol as Co-Solvent: Kinetics and Characterization. Ind. Crops Prod. 2019, 139, 111506. [Google Scholar] [CrossRef]
- Huang, Z.-R.; Lin, Y.-K.; Fang, J.-Y. Biological and Pharmacological Activities of Squalene and Related Compounds: Potential Uses in Cosmetic Dermatology. Molecules 2009, 14, 540–554. [Google Scholar] [CrossRef]
- Manosroi, A.; Chutoprapat, R.; Abe, M.; Manosroi, W.; Manosroi, J. Anti-Aging Efficacy of Topical Formulations Containing Niosomes Entrapped with Rice Bran Bioactive Compounds. Pharm. Biol. 2012, 50, 208–224. [Google Scholar] [CrossRef] [PubMed]
- Ilias, N.N.; Mohd Rozalli, N.H.; Mohamad Kassim, M.H. Characterizations of Rice Bran Nanofibers Produced by Enzymatic Treatment and Their Role in Stabilizing Oil-in-Water Pickering Emulsions. Waste Biomass Valorization 2023, 14, 1–13. [Google Scholar] [CrossRef]
- Cui, H.; Zhang, C.; Li, C.; Lin, L. Preparation and Antibacterial Activity of Litsea Cubeba Essential Oil/Dandelion Polysaccharide Nanofiber. Ind. Crops Prod. 2019, 140, 111739. [Google Scholar] [CrossRef]
- Lima, L.L.; Bierhalz, A.C.K.; Moraes, Â.M. Influence of the Chemical Composition and Structure Design of Electrospun Matrices on the Release Kinetics of Aloe Vera Extract Rich in Aloin. Polym. Degrad. Stab. 2020, 179, 109233. [Google Scholar] [CrossRef]
- Singh, P.; Bhat, S.S.; Singh, N.; Venkanna, B.U.; Mohamed, R.; Rao, R.P. Cell-Based Model Systems for Validation of Various Efficacy-Based Claims for Cosmetic Ingredients. Cosmetics 2022, 9, 107. [Google Scholar] [CrossRef]
- Teno, J.; Pardo-Figuerez, M.; Hummel, N.; Bonin, V.; Fusco, A.; Ricci, C.; Donnarumma, G.; Coltelli, M.B.; Danti, S.; Lagaron, J.M. Preliminary Studies on an Innovative Bioactive Skin Soluble Beauty Mask Made by Combining Electrospinning and Dry Powder Impregnation. Cosmetics 2020, 7, 96. [Google Scholar] [CrossRef]
- Holsback, V.S.S.; Lima, L.L.; d’Ávila, M.A.; Leonardi, G.R. Perspectives of Using Electrospun Nanofibers for Dermatological Application. Int. J. Dermatol. 2022, 61, 1552–1554. [Google Scholar] [CrossRef]
- Godakanda, V.U.; Li, H.; Alquézar, L.; Zhao, L.; Zhu, L.M.; da Silva, R.; de Silva, K.N.; Williams, G.R. Ajustable drug release from polyvinylpyrrolidone-ethylcellulose nanofibers. Int. J. Pharm. 2019, 562, 172–179. [Google Scholar] [CrossRef]
- Leung, V.; Ko, F. Biomedical applications of nanofibers. Polym. Adv. Technol. 2011, 22, 350–365. [Google Scholar] [CrossRef]
- Zhang, Q.; Welch, J.; Park, H.; Wu, C.-Y.; Sigmund, W.; Marijnissen, J.C.M. Improvement in nanofiber filtration by multiple thin layers of nanofiber mats. J. Aerosol Sci. 2010, 41, 230–236. [Google Scholar] [CrossRef]
- Decostere, B.; Daels, N.; De Vrieze, S.; Dejans, P.; Van Camp, T.; Audenaert, W.; Hogie, J.; Westbroek, P.; De Clerck, K.; Van Hulle, S.W.H. Performance assessment of electrospun nanofibers for filter applications. Desalination 2009, 249, 942–948. [Google Scholar]
- Lim, C.T. Nanofiber technology: Current status and emerging developments. Prog. Polym. Sci. 2017, 70, 1–17. [Google Scholar]
- Lin, T.-K.; Zhong, L.; Santiago, J.L. Anti-Inflammatory and Skin Barrier Repair Effects of Topical Application of Some Plant Oils. Int. J. Mol. Sci. 2017, 19, 70. [Google Scholar] [CrossRef] [PubMed]
- Rigo, L.A.; da Silva, C.R.; de Oliveira, S.M.; Cabreira, T.N.; de Bona da Silva, C.; Ferreira, J.; Beck, R.C.R. Nanoencapsulation of Rice Bran Oil Increases Its Protective Effects against UVB Radiation-Induced Skin Injury in Mice. Eur. J. Pharm. Biopharm. 2015, 93, 11–17. [Google Scholar] [CrossRef]
- 10993–5: 2009; Biological Evaluation of Medical Devices—Part 5: Tests for In Vitro Cytotoxicity. International Organization for Standardization: Geneva, Switzerland, 2009.
- Mirabelli, P.; Coppola, L.; Salvatore, M. Cancer cell lines are useful model systems for medical research. Cancers 2019, 11, 1098. [Google Scholar] [CrossRef] [PubMed]
- Drexler, H.G.; Dirks, W.G.; MacLeod, R.A. Many are called MDS cell lines: One is chosen. Leuk. Res. 2009, 33, 1011–1016. [Google Scholar] [CrossRef] [PubMed]
- Raghuvanshi, R.; Bharate, S.B. Recent Developments in the Use of Kinase Inhibitors for Management of Viral Infections. J. Med. Chem. 2022, 65, 893–921. [Google Scholar] [CrossRef] [PubMed]
- Bekerman, E.; Neveu, G.; Shulla, A.; Brannan, J.; Pu, S.Y.; Wang, S.; Xiao, F.; Barouch-Bentov, R.; Bakken, R.R.; Mateo, R.; et al. Anticancer kinase inhibitors impair intracellular viral trafficking and exert broad-spectrum antiviral effects. J. Clin. Investig. 2017, 127, 1338–1352. [Google Scholar] [CrossRef]
- Williams, D.P.; Shipley, R.; Ellis, M.J.; Webb, S.; Ward, J.; Gardner, I.; Creton, S. Novel in vitro and mathematical models for the prediction of chemical toxicity. Toxicol. Res. 2013, 2, 40–59. [Google Scholar] [CrossRef]
- Asic, A.; Kurtovic-Kozaric, A.; Besic, L.; Mehinovic, L.; Hasic, A.; Kozaric, M.; Hukic, M.; Marjanovic, D. Chemical toxicity and radioactivity of depleted uranium: The evidence from in vivo and in vitro studies. Environ. Res. 2017, 156, 665–673. [Google Scholar] [CrossRef]
- Klein, R.; Müller, E.; Kraus, B.; Brunner, G.; Estrine, B.; Touraud, D.; Heilmann, J.; Kellermeier, M.; Kunz, W. Biodegradability and cytotoxicity of choline soaps on human cell lines: Effects of chain length and the cation. RSC Adv. 2013, 3, 23347–23354. [Google Scholar] [CrossRef]
Disclaimer/Publisher’s Note: The statements, opinions and data contained in all publications are solely those of the individual author(s) and contributor(s) and not of MDPI and/or the editor(s). MDPI and/or the editor(s) disclaim responsibility for any injury to people or property resulting from any ideas, methods, instructions or products referred to in the content. |
© 2023 by the authors. Licensee MDPI, Basel, Switzerland. This article is an open access article distributed under the terms and conditions of the Creative Commons Attribution (CC BY) license (https://creativecommons.org/licenses/by/4.0/).






