Sustainability by Reduced Energy Consumption during Manufacturing: The Case of Cosmetic Emulsions
Abstract
:1. Introduction
2. Materials and Methods
2.1. Materials
2.2. Methods
2.2.1. Scale-Down Calculations
- Homogenisation Speed Calculations
- Effective Power Calculations
- Homogenisation Time Calculations
2.2.2. Emulsion Preparation Methods
2.2.3. Emulsion Characterisation: Rheology
Continuous Flow Test
Oscillatory Test
2.2.4. Emulsion Characterisation: Texture Analysis
2.2.5. Thermal Analysis by Differential Scanning Calorimetry (DSC)
2.2.6. Thermal Energy Calculations
2.2.7. Life Cycle Analysis
3. Results
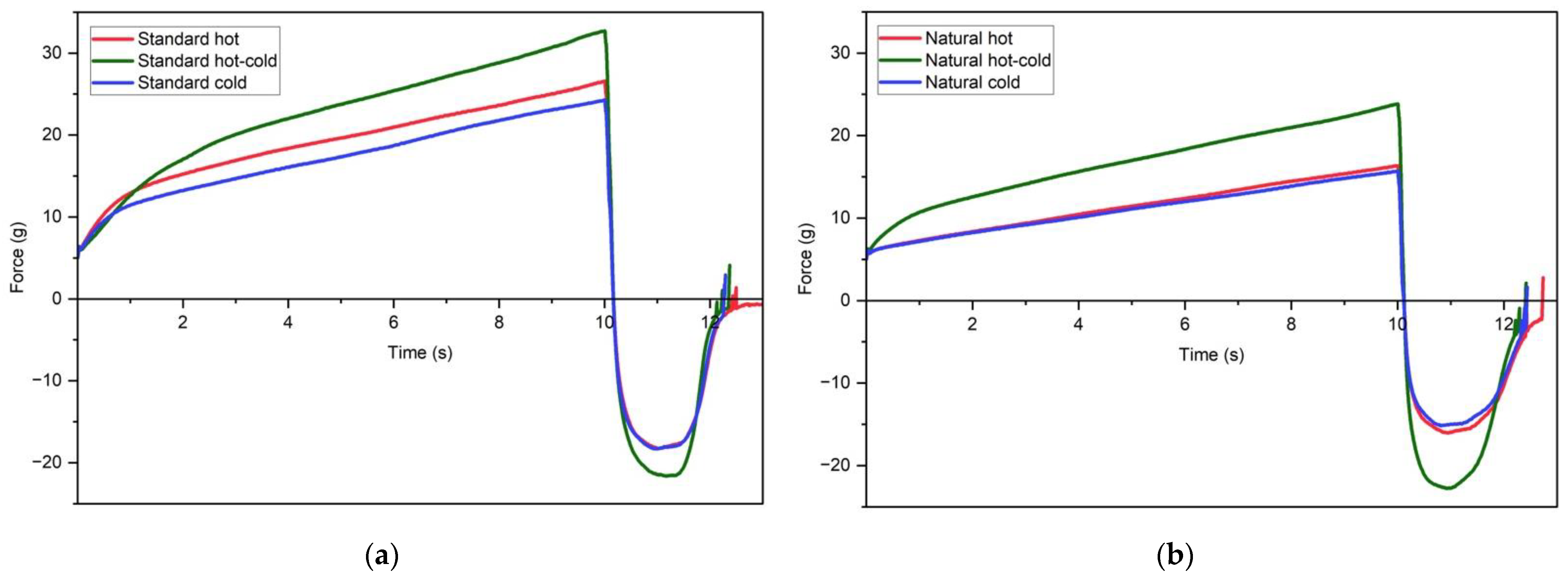
3.1. The Results of Rheological Tests
3.2. The Results of Texture Analysis
3.3. The Results of Thermal Analysis and Thermal Energy Calculations
3.4. The Results of Life Cycle Analysis
4. Discussion
5. Conclusions
Supplementary Materials
Author Contributions
Funding
Data Availability Statement
Acknowledgments
Conflicts of Interest
References
- Vital, X. Environmental Impacts of Cosmetic Products, Part 1: The Growing Importance of Metrics. In Sustainability: How the Cosmetics Industry Is Greening Up; Sahota, A., Ed.; John Wiley & Sons: New York, NY, USA, 2014; pp. 17–31. [Google Scholar]
- Van Geem, K.M.; Weckhuysen, B.M. Toward an e-chemistree: Materials for electrification of the chemical industry. MRS Bull. 2021, 46, 1187–1196. [Google Scholar] [CrossRef]
- IPCC. Climate Change 2013: The Physical Science Basis. In Contribution of Working Group I to the Fifth Assessment Report of the Intergovernmental Panel on Climate Change; Stocker, T.F., Qin, D., Plattner, G.-K., Tignor, M.M.B., Allen, S.K., Boschung, J., Nauels, A., Xia, Y., Bex, V., Midgley, P.M., Eds.; Cambridge University Press: Cambridge, UK, 2013. [Google Scholar]
- Bennett, C.J.; Brown, M.S. Energy and Waste Management. In Sustainability: How the Cosmetics Industry Is Greening Up; Sahota, A., Ed.; John Wiley & Sons: New York, NY, USA, 2014; pp. 155–174. [Google Scholar]
- Bom, S.; Ribeiro, H.M.; Marto, J. Sustainability Calculator: A Tool to Assess Sustainability in Cosmetic Products. Sustainability 2020, 12, 1437. [Google Scholar] [CrossRef]
- Bom, S.; Jorge, J.; Ribeiro, H.M.; Marto, J. A Step Forward on Sustainability in the Cosmetics Industry: A review. J. Clean. Prod. 2019, 225, 270–290. [Google Scholar] [CrossRef]
- Cold Processing of Emulsions. Available online: https://www.cosmeticsandtoiletries.com/research/methods-tools/article/21835518/cold-processing-of-emulsions (accessed on 26 April 2023).
- Lin, T.J. Low energy emulsification I: Principles and applications. J. Soc. Cosmet. Chem. 1978, 29, 117–125. [Google Scholar]
- Formulating Water-in-Oil Emulsions: A Scary Endeavor. Available online: https://www.cosmeticsandtoiletries.com/research/methods-tools/article/21833970/formulating-water-in-oil-emulsions-a-scary-endeavor (accessed on 26 April 2023).
- Specific Heat Capacity and Water. Available online: https://www.usgs.gov/special-topics/water-science-school/science/specific-heat-capacity-and-water (accessed on 10 April 2023).
- Raposo, S.; Salgado, A.; Eccleston, G.; Urbano, M.; Ribeiro, H.M. Cold processed oil-in-water emulsions for dermatological purpose: Formulation design and structure analysis. Pharm. Dev. Technol. 2014, 19, 417–429. [Google Scholar] [CrossRef]
- Lin, T.J. Low energy emulsification II: Evaluation of emulsion quality. J. Soc. Cosmet. Chem. 1978, 29, 745–756. [Google Scholar]
- Tamburic, S.; Craig, D.Q.M.; Vuleta, G.; Milic, J. An investigation into the use of thermorheology and texture analysis in the evaluation of W/O creams stabilized with a silicone emulsifier. Pharm. Dev. Technol. 1996, 1, 299–306. [Google Scholar] [CrossRef]
- Block, L.H. Non-Parenteral Liquids and Semisolids. In Pharmaceutical Process Scale-Up; Levin, M., Ed.; CRC Press: Boca Raton, FL, USA, 2006; pp. 89–128. [Google Scholar]
- Bom, S.; Fitas, M.; Martins, A.M.; Pinto, P.; Ribeiro, H.M.; Marto, J. Replacing synthetic ingredients by sustainable natural alternatives: A case study using topical O/W emulsions. Molecules 2020, 25, 4887. [Google Scholar] [CrossRef]
- Neal’s Yard Remedies. Manufacturing Method for Face and Body Lotion. Intern. Commun. 2022. [Google Scholar]
- How to Convert RPM to Linear Speed. Available online: https://sciencing.com/convert-rpm-linear-speed-8232280.html (accessed on 29 April 2023).
- Malvern Instruments. A Basic Introduction to Rheology. Available online: https://cdn.technologynetworks.com/TN/Resources/PDF/WP160620BasicIntroRheology.pdf (accessed on 29 April 2023).
- How to Calculate Time to Heat Water. Available online: https://sciencing.com/calculate-temperature-btu-6402970.html (accessed on 29 April 2023).
- IFSCC. IFSCC Monograph Number 2 The Fundamentals of Stability Testing; Micelle Press: Dorset, UK, 1992; pp. 1–23. [Google Scholar]
- Tamburic, S.; Sisson, H.; Cunningham, N.; Stevic, M. Rheological and texture analysis methods for quantifying yield value and level of thixotropy. SOFW J. 2017, 143, 24–30. [Google Scholar]
- Al-Shemmeri, T. Engineering Thermodynamics; Ventus Publishing ApS: Copenhagen, Denmark, 2010; pp. 1–96. [Google Scholar]
- Rojas, E.E.G.; Coimbra, J.S.; Telis-Romero, J. Thermophysical properties of cotton, canola, sunflower and soybean oils as a function of temperature. Int. J. Food Prop. 2013, 16, 1620–1629. [Google Scholar] [CrossRef]
- Nadolny, Z.; Dombek, G. Thermal properties of mixtures of mineral oil and natural ester in terms of their application in the transformer. E3S Web Conf. 2017, 19, 01040. [Google Scholar] [CrossRef]
- Evonik. Carbon Footprint & Feedstock. Intern. Commun. 2023. [Google Scholar]
- Henderson, N.L.; Meer, P.M.; Kostenbauder, H.B. Approximate Rates of Shear Encountered in Some Pharmaceutical Processes. J. Pharm. Sci. 1961, 50, 788–791. [Google Scholar] [CrossRef]
- Durgun, M.E.; Yapar, E.A. A critical step for the cosmetic industry: Scale-up. Univers. J. Pharm. Res. 2021, 6, 77–82. [Google Scholar] [CrossRef]
- Pal, R. Shear Viscosity Behavior of Emulsions of Two Immiscible Liquids. J. Colloid Interface Sci. 2000, 225, 359–366. [Google Scholar] [CrossRef]
- Tripathi, S.; Bhattacharya, A.; Singh, R.; Tabor, R.F. Rheological behavior of high internal phase water-in-oil emulsions: Effects of droplet size, phase mass fractions, salt concentration and aging. Chem. Eng. Sci. 2017, 174, 290–301. [Google Scholar] [CrossRef]
- Calvo, F.; Gomez, J.M.; Alvarez, O.; Ricardez-Sandoval, L. Effect of emulsification parameters on the rheology, texture, and physical stability of cosmetic emulsions: A multiscale approach. Chem. Eng. Res. Des. 2022, 186, 407–415. [Google Scholar] [CrossRef]
- Raposo, S.; Urbano, M.; Ribeiro, H.M. Scale up of a Low Energy Process for the Production of Oil in Water Emulsions. Athens J. Health 2015, 2, 21–30. [Google Scholar] [CrossRef]
- Wang, F.; Larson, R.G. Thixotropic constitutive modelling of shear banding by boundary-induced modulus gradient in lamellar gel networks. J. Rheol. 2023, 67, 35–51. [Google Scholar] [CrossRef]
- Datta, A.; Tanmay, V.S.; Tan, G.X.; Reynolds, G.W.; Jamadagni, S.N.; Larson, R.G. Characterizing the rheology, slip, and velocity profiles of lamellar gel networks. J. Rheol. 2020, 64, 851–862. [Google Scholar] [CrossRef]
- Jana, S.; Martini, S. Effect of high-intensity ultrasound and cooling rate on the crystallization behavior of beeswax in edible oils. J. Agric. Food Chem. 2014, 62, 10192–10202. [Google Scholar] [CrossRef]
- Thompson, D.G.; Taylor, A.S.; Graham, D.E. Emulsification and demulsification related to crude oil production. Colloids Surf. 1985, 15, 175–189. [Google Scholar] [CrossRef]
- Chen, S.; Øye, G.; Sjöblom, J. Rheological Properties of Model and Crude Oil Systems when Wax Precipitate under Quiescent and Flowing Conditions. J. Dispers. Sci. Technol. 2007, 28, 1020–1029. [Google Scholar] [CrossRef]
- Freitas, G.B.; Duncke, A.C.; Barbato, C.N.; de Oliveira, M.C.; Pinto, J.C.; Nele, M. Influence of wax chemical structure on W/O emulsion rheology and stability. Colloids Surf. A Physicochem. Eng. 2018, 558, 45–56. [Google Scholar] [CrossRef]
- IFSCC. IFSCC Monograph Number 3 An Introduction to Rheology; Micelle Press: Dorset, UK, 1997; pp. 1–35. [Google Scholar]
- Kralova, I.; Sjöblom, J.; Øye, G.; Simon, S.; Grimes, B.A.; Paso, K. Heavy Crude Oils/Particle Stabilized Emulsions. Adv. Colloid Interface Sci. 2011, 169, 106–127. [Google Scholar] [CrossRef] [PubMed]
- Gao, H.; Ma, L.; Cheng, C.; Liu, J.; Liang, R.; Zou, L.; Liu, W.; McClements, D.J. Review of recent advances in the preparation, properties, and applications of high internal phase emulsions. Trends Food Sci. Technol. 2021, 112, 36–49. [Google Scholar] [CrossRef]
- Lukic, M.; Jaksic, I.; Krstonosic, V.; Cekic, N.; Savic, S. A combined approach in characterization of an effective w/o hand cream: The influence of emollient on textural, sensorial and in vivo skin performance. Int. J. Cosmet. Sci. 2012, 34, 140–149. [Google Scholar] [CrossRef]
- Pompei, C.; Lucisano, M.; Zanoni, B.; Casiraghi, E. Evaluation of spreadability of food products by penetration tests and panel scores. J. Food Sci. 1988, 53, 592–596. [Google Scholar] [CrossRef]
- Estanqueiro, M.; Amaral, M.H.; Sousa Lobo, J.M. Comparison between sensory and instrumental characterization of topical formulations: Impact of thickening agents. Int. J. Cosmet. Sci. 2016, 38, 389–398. [Google Scholar] [CrossRef]
- Savary, G.; Grisel, M.; Picard, C. Impact of emollients on the spreading properties of cosmetic products: A combined sensory and instrumental characterization. Colloids Surf. B Biointerfaces 2013, 102, 371–378. [Google Scholar] [CrossRef] [PubMed]
- Fischer, L.; Huber, P. Energy Efficient production of Cosmetics. In Proceedings of the SCS Annual Conference, Cambridge, UK, 4–5 July 2023. [Google Scholar]
- Filling and Closing Line for Cream, Lotion, Makeup and Much More. Available online: https://www.groninger-group.com/en/cosmetics/cosmetic-filling-machines/creme-60/ (accessed on 28 April 2023).
- Glew, D.; Lovett, P.N. Life cycle analysis of shea butter use in cosmetics: From parklands to product, low carbon opportunities. J. Clean. Prod. 2014, 68, 73–80. [Google Scholar] [CrossRef]
- Impact Categories (LCA)—Overview. Available online: https://ecochain.com/knowledge/impact-categories-lca/ (accessed on 28 April 2023).







| Phase | INCI | Standard Hot and Hot-Cold % (w/w) | Standard Cold % (w/w) | Natural Hot and Hot-Cold % (w/w) | Natural Cold % (w/w) |
|---|---|---|---|---|---|
| A | Aqua | q.s. to 100.00 | 66.40 | 64.90 | |
| B | Acrylates/C10-30 alkyl acrylates crosspolymer | 0.20 | 0.50 | - | - |
| Potassium sorbate | - | - | 0.20 | 0.20 | |
| C | Glycerine | 3.00 | 3.00 | 3.00 | 3.00 |
| Xanthan gum | - | - | 0.20 | 0.20 | |
| D | PEG-7 glyceryl cocoate | 2.00 | 4.00 | - | - |
| Glyceryl oleate citrate | - | - | 2.00 | 4.00 | |
| Diethylhexyl carbonate | 20.00 | 20.00 | - | - | |
| Helianthus annuus (sunflower) seed oil | - | - | 20.00 | 20.00 | |
| Glyceryl stearate | 4.50 | - | 4.50 | - | |
| Cetearyl alcohol | 2.00 | - | 3.00 | - | |
| Bentonite (and) xanthan gum (and) citric acid (and) sodium stearyl glutamate | - | - | - | 7.00 | |
| E | Phenoxyethanol, ethylhexylglycerin | 0.70 | 0.70 | - | - |
| Levulinic acid (and) sodium levulinate (and) glycerin (and) aqua | - | - | 0.70 | 0.70 | |
| F | Sodium hydroxide | q.s. to pH 4.6–6.6 | - | - | |
| Phase | INCI | Standard Hot and Hot-Cold % (w/w) | Standard Cold % (w/w) | Natural Hot and Hot-Cold % (w/w) | Natural Cold % (w/w) |
|---|---|---|---|---|---|
| A | Aqua | 73.00 | 76.00 | 73.00 | 73.00 |
| Sodium chloride | 1.00 | 1.00 | 1.00 | 1.00 | |
| B | Paraffinum liquidum | 20.30 | 17.80 | - | - |
| Helianthus annus (sunflower) seed oil | - | - | 20.50 | 20.50 | |
| Microcrystalline wax (and) paraffin wax | 1.50 | - | - | - | |
| Cera alba | - | - | 0.30 | - | |
| Hydrogenated castor oil (and) castor oil | 1.00 | - | 0.20 | - | |
| Cetyl PEG/PPG-10/1 dimethicone | 2.50 | 2.50 | - | - | |
| Polyglyceryl-4 Diisostearate/polyhydroxystearate/sebacate (and) caprylic/capric triglyceride (and) poly-glyceryl-3 oleate (and) diisostearoyl polyglyceryl-3 dimer dilinoleate | - | - | 4.00 | 4.00 | |
| C | Zinc stearate | - | 2.00 | - | 0.50 |
| D | Phenoxyethanol (and) ethylhexylglycerin | 0.70 | 0.70 | - | - |
| Dehydroacetic acid (and) benzyl alcohol | - | - | 0.70 | 0.70 | |
| tocopherol | - | - | 0.30 | 0.30 |
| Diameter of rotor | 0.12 m |
| Gap between stator and rotor | 0.001 m |
| Homogenisation rpm and time | 3800 rpm for 20 min |
| Effective power | 10 kW |
| Batch size | 500 kg |
| Diameter of rotor | 0.0317 m |
| Gap between stator and rotor | 0.00046 m |
| Batch size | 0.5 kg |
| Total mass | 500 kg |
| Mass water phase | 70% of 500 kg = 350 kg |
| Mass oil phase | 30% of 500 kg = 150 kg |
| Cp water | 4184 J/kg·K [4] |
| Cp oil phase * | 2100 J/kg·K |
| Cp sunflower oil | 2124 J/kg·K [23] |
| Temperature difference | 45 K |
| Total mass | 500 kg |
| Mass water phase | 74% of 500 kg = 370 kg |
| Mass oil phase | 26% of 500 kg = 130 kg |
| Cp water | 4184 J/kg·K [4] |
| Cp mineral oil | 1902 J/kg·K [24] |
| Cp sunflower oil | 2124 J/kg·K [23] |
| Temperature difference | 62 K |
| Formulation | Hysteresis Loop Area (Pa/s) | Yield Stress (Pa) |
|---|---|---|
| Standard hot | 4076 | 96.6 |
| Standard hot-cold | 3483 | 77.1 |
| Standard cold | 4546 | 98.3 |
| Natural hot | 3103 | 12.5 |
| Natural hot-cold | 1832 | 12.4 |
| Natural cold | 6141 | 97.1 |
| Formulation | Hysteresis Loop Area (Pa/s) | Yield Stress (Pa) |
|---|---|---|
| Standard hot | 11,880 | 48.3 |
| Standard hot-cold | 11,110 | 54.6 |
| Standard cold | 11,860 | 48.2 |
| Natural hot | 3856 | 14.8 |
| Natural hot-cold | 14,660 | 35.5 |
| Natural cold | 4322 | 15.6 |
| Formulation | Firmness (g) | Work of Penetration (g·s) |
|---|---|---|
| Standard hot | 33.99 | 227.73 |
| Standard hot-cold | 31.67 | 218.66 |
| Standard cold | 26.88 | 178.15 |
| Natural hot | 20.74 | 152.63 |
| Natural hot-cold | 15.03 | 108.97 |
| Natural cold | 39.74 | 263.99 |
| Formulation | Firmness (g) | Work of Penetration (g·s) |
|---|---|---|
| Standard hot | 26.62 | 194.50 |
| Standard hot-cold | 32.73 | 230.31 |
| Standard cold | 24.32 | 174.64 |
| Natural hot | 16.37 | 114.76 |
| Natural hot-cold | 23.85 | 168.42 |
| Natural cold | 15.73 | 111.20 |
| Oil Phase | Type of Peak | Onset Point (°C) | Offset Point (°C) | Used Melting Temp. (°C) | Recommended Melting Temp. (°C) |
|---|---|---|---|---|---|
| O/W Standard | Melting | 14.9 | 33.3 | 65.0 | 40.0 |
| Crystallisation | 27.0 | 21.7 | |||
| O/W Natural | Melting | 43.5 | 61.3 | 65.0 | 65.0 |
| Crystallisation | 54.7 | 18.0 | |||
| W/O Standard | Melting | 72.4 | 81.9 | 82.0 | 82.0 |
| Crystallisation | 63.5 | 58.9 | |||
| W/O Natural | Melting | 41.3 | 63.0 | 82.0 | 63.0 |
| Crystallisation | 36.9 | 32.8 |
| Oil Phase | Energy Normally Used (kJ) | Minimum Energy Required (kJ) | Energy That Could Be Saved (%) |
|---|---|---|---|
| O/W standard | 157,963 | 71,801 | 54.5 |
| O/W natural | 157,824 | 157,824 | - |
| W/O standard | 222,622 | 222,622 | - |
| W/O natural | 226,201 | 156,881 | 30.7 |
| Process | CO2e for Ingredients | CO2e for Manufacturing | CO2e for Packaging | Total CO2e Figure |
|---|---|---|---|---|
| Standard hot emulsion | 0.30 | 204.38 | 29.58 | 234.26 |
| Standard hot-cold emulsion | 0.30 | 141.15 | 29.58 | 171.03 |
| Standard cold emulsion | 0.31 | 136.86 | 29.58 | 166.75 |
| Natural hot emulsion | 0.80 | 161.22 | 29.58 | 191.60 |
| Natural hot-cold emulsion | 0.80 | 141.15 | 29.58 | 171.53 |
| Natural cold emulsion | 0.98 | 136.86 | 29.58 | 167.42 |
| Process | CO2e for Ingredients | CO2e for Manufacturing | CO2e for Packaging | Total CO2e Figure |
|---|---|---|---|---|
| Standard hot emulsion | 0.15 | 204.38 | 29.58 | 234.11 |
| Standard hot-cold emulsion | 0.15 | 146.16 | 29.58 | 175.89 |
| Standard cold emulsion | 0.14 | 136.85 | 29.58 | 166.57 |
| Natural hot emulsion | 1.07 | 205.46 | 29.58 | 236.11 |
| Natural hot-cold emulsion | 1.07 | 147.24 | 29.58 | 177.89 |
| Natural cold emulsion | 1.04 | 136.85 | 29.58 | 167.47 |
Disclaimer/Publisher’s Note: The statements, opinions and data contained in all publications are solely those of the individual author(s) and contributor(s) and not of MDPI and/or the editor(s). MDPI and/or the editor(s) disclaim responsibility for any injury to people or property resulting from any ideas, methods, instructions or products referred to in the content. |
© 2023 by the authors. Licensee MDPI, Basel, Switzerland. This article is an open access article distributed under the terms and conditions of the Creative Commons Attribution (CC BY) license (https://creativecommons.org/licenses/by/4.0/).
Share and Cite
Tamburic, S.; Fröhlich, J.; Mistry, S.; Fischer, L.J.; Barbary, T.; Bunyan, S.; Dufton, E. Sustainability by Reduced Energy Consumption during Manufacturing: The Case of Cosmetic Emulsions. Cosmetics 2023, 10, 132. https://doi.org/10.3390/cosmetics10050132
Tamburic S, Fröhlich J, Mistry S, Fischer LJ, Barbary T, Bunyan S, Dufton E. Sustainability by Reduced Energy Consumption during Manufacturing: The Case of Cosmetic Emulsions. Cosmetics. 2023; 10(5):132. https://doi.org/10.3390/cosmetics10050132
Chicago/Turabian StyleTamburic, Slobodanka, Jana Fröhlich, Shivani Mistry, Ludger Josef Fischer, Tim Barbary, Sylvie Bunyan, and Elisabeth Dufton. 2023. "Sustainability by Reduced Energy Consumption during Manufacturing: The Case of Cosmetic Emulsions" Cosmetics 10, no. 5: 132. https://doi.org/10.3390/cosmetics10050132
APA StyleTamburic, S., Fröhlich, J., Mistry, S., Fischer, L. J., Barbary, T., Bunyan, S., & Dufton, E. (2023). Sustainability by Reduced Energy Consumption during Manufacturing: The Case of Cosmetic Emulsions. Cosmetics, 10(5), 132. https://doi.org/10.3390/cosmetics10050132

