A Proposal for Redesigning the Water Quality Network of the Tunjuelo River in Bogotá, Colombia through a Spatio-Temporal Analysis
Abstract
1. Introduction
2. Materials and Methods
2.1. Geographic Location
2.2. The Tunjuelo River Water Quality Network
2.3. Redesign Methodology
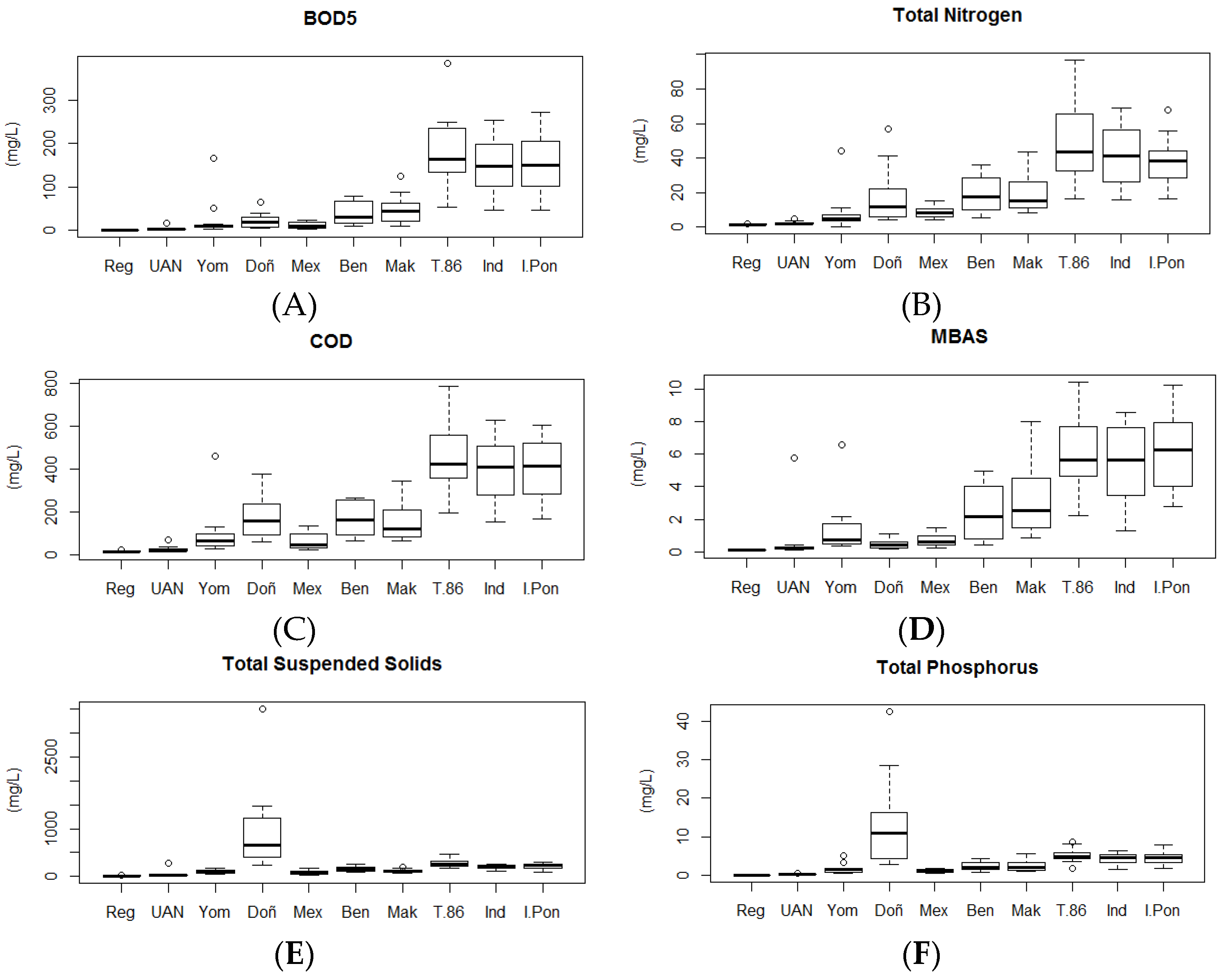
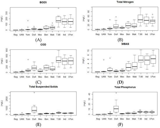
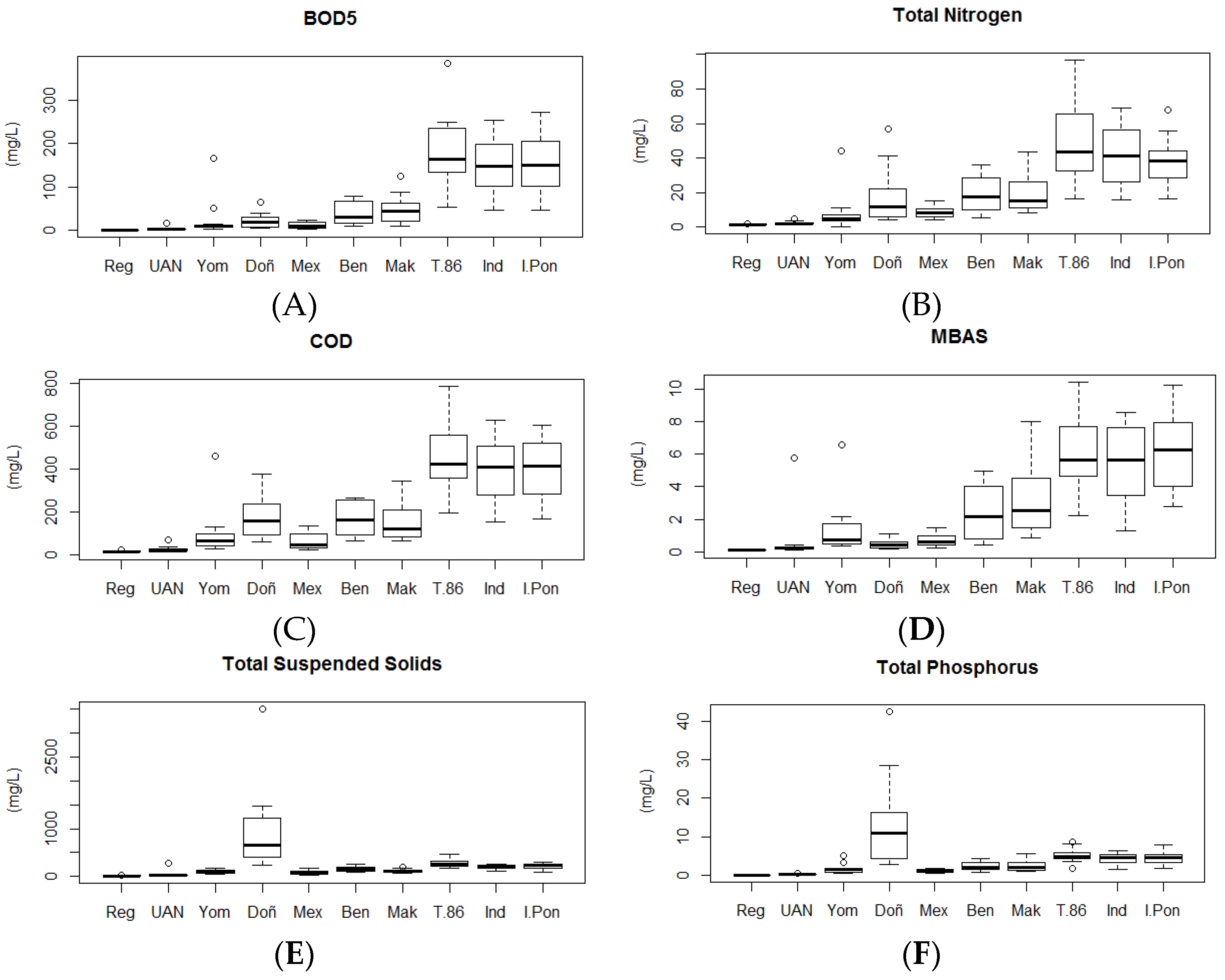
3. Results and Discussion
3.1. Spatial Clustering Analysis
3.1.1. River Section 1
3.1.2. River Section 2
3.1.3. River Section 3
3.1.4. River Section 4
3.2. Spatial Redesign of the Tunjuelo River Water Quality Network
3.3. Temporal Analysis
3.3.1. River Section 1
3.3.2. River Section 2
3.3.3. River Section 3
3.3.4. River Section 4
3.4. Temporal Redesign of the Tunjuelo River Water Quality Network
4. Conclusions
Author Contributions
Funding
Acknowledgments
Conflicts of Interest
References
- Hall, M.J.; Ellis, J.B. Water quality problems of urban areas. GeoJournal 1985, 11, 265–275. [Google Scholar] [CrossRef]
- Strobl, R.O.; Robillard, P.D.; Shannon, R.D.; Day, R.L.; McDonnell, A.J. A Water Quality Monitoring Network Design Methodology for the Selection of Critical Sampling Points: Part I. Environ. Monit. Assess. 2006, 112, 137–158. [Google Scholar] [CrossRef]
- Milon, J.W. Optimizing Nonpoint Source Controls in Water Quality Regulation 1. J. Am. Water Resour. Assoc. 1987, 23, 387–396. [Google Scholar] [CrossRef]
- Harrington, W.; Krupnick, A.J.; Peskin, H.M. Policies for nonpoint-source water pollution control. J. Soil Water Conserv. 1985, 40, 27–32. [Google Scholar]
- Loague, K.; Corwin, D.L. Point and NonPoint Source Pollution. In Encyclopedia of Hydrological Sciences; American Cancer Society: Atlanta, GA, USA, 2006; ISBN 978-0-470-84894-4. [Google Scholar]
- Gaddis, E.J.B.; Voinov, A.; Seppelt, R.; Rizzo, D.M. Spatial Optimization of Best Management Practices to Attain Water Quality Targets. Water Resour. Manag. 2014, 28, 1485–1499. [Google Scholar] [CrossRef]
- Todeschini, S.; Papiri, S.; Ciaponi, C. Placement Strategies and Cumulative Effects of Wet-weather Control Practices for Intermunicipal Sewerage Systems. Water Resour. Manag. 2018, 32, 2885–2900. [Google Scholar] [CrossRef]
- Mishra, A.K.; Coulibaly, P. Developments in hydrometric network design: A review. Rev. Geophys. 2009, 47. [Google Scholar] [CrossRef]
- Brabec, E.; Schulte, S.; Richards, P.L. Impervious Surfaces and Water Quality: A Review of Current Literature and Its Implications for Watershed Planning. J. Plan. Lit. 2002, 16, 499–514. [Google Scholar] [CrossRef]
- Bartram, J.; Ballance, R. Water Quality Monitoring: A Practical Guide to the Design and Implementation of Freshwater Quality Studies and Monitoring Programmes; CRC Press: Boca Raton, FA, USA, 1996; ISBN 978-0-419-22320-7. [Google Scholar]
- Vélez, C.; Alfonso, L.; Sánchez, A.; Galvis, A.; Sepúlveda, G. Centinela: An early warning system for the water quality of the Cauca River. J. Hydroinf. 2014, 16, 1409–1424. [Google Scholar] [CrossRef]
- Banik, B.K.; Alfonso, L.; Di Cristo, C.; Leopardi, A.; Mynett, A. Evaluation of Different Formulations to Optimally Locate Sensors in Sewer Systems. J. Water Resour. Plan. Manag. 2017, 143. [Google Scholar] [CrossRef]
- D’Arcy, B.; Frost, A. The role of best management practices in alleviating water quality problems associated with diffuse pollution. Sci. Total Environ. 2001, 265, 359–367. [Google Scholar] [CrossRef]
- Ellis, J.B. Sustainable surface water management and green infrastructure in UK urban catchment planning. J. Environ. Plan. Manag. 2013, 56, 24–41. [Google Scholar] [CrossRef]
- Ahlman, S.; Malm, A.; Kant, H.; Svensson, G.; Karlsson, P. Modelling non-structural Best Management Practices– focus on reductions in stormwater pollution. Water Sci. Technol. 2005, 52, 9–16. [Google Scholar] [CrossRef]
- Strobl, R.O.; Robillard, P.D. Network design for water quality monitoring of surface freshwaters: A review. J. Environ. Manag. 2008, 87, 639–648. [Google Scholar] [CrossRef]
- Sanders, T.G. Design of Networks for Monitoring Water Quality; Water Resources Publication: Littleton, CO, USA, 1983; ISBN 978-0-918334-51-0. [Google Scholar]
- Chacon-Hurtado, J.C.; Alfonso, L.; Solomatine, D.P. Rainfall and streamflow sensor network design: A review of applications, classification, and a proposed framework. Hydrol. Earth Syst. Sci. 2017, 21, 3071–3091. [Google Scholar] [CrossRef]
- Chen, Q.; Wu, W.; Blanckaert, K.; Ma, J.; Huang, G. Optimization of water quality monitoring network in a large river by combining measurements, a numerical model and matter-element analyses. J. Environ. Manag. 2012, 110, 116–124. [Google Scholar] [CrossRef]
- Ongley, E.D.; Ordoiiez, E.B. Redesign and Modernization of the Mexican Water Quality Monitoring Network. Water Int. 1997, 22, 187–194. [Google Scholar] [CrossRef]
- Alfonso, L.; Lobbrecht, A.; Price, R. Optimization of water level monitoring network in polder systems using information theory. Water Resour. Res. 2010, 46. [Google Scholar] [CrossRef]
- Alfonso, L.; Lobbrecht, A.; Price, R. Information theory–based approach for location of monitoring water level gauges in polders. Water Resour. Res. 2010, 46. [Google Scholar] [CrossRef]
- Ouyang, Y. Evaluation of river water quality monitoring stations by principal component analysis. Water Res. 2005, 39, 2621–2635. [Google Scholar] [CrossRef]
- Tirsch, F.S.; Male, J.W. River basin water quality monitoring network design: Options for reaching water quality goals. In Proceedings of the Twentieth Annual Conference of American Water Resources Associations, Middleburg, VA, USA, December 1984; American Water Resources Association: Middleburg, VA, USA, 1984; pp. 149–156. [Google Scholar]
- Maasdam, R.; Smith, D.G. New Zealand’s National River Water Quality Network 2. Relationships between physico-chemical data and environmental factors. N. Z. J. Mar. Freshw. Res. 1994, 28, 37–54. [Google Scholar] [CrossRef]
- Alfonso, L.; Ridolfi, E.; Gaytan-Aguilar, S.; Napolitano, F.; Russo, F. Ensemble Entropy for Monitoring Network Design. Entropy 2014, 16, 1365–1375. [Google Scholar] [CrossRef]
- Karamouz, M.; Karimi, M.; Kerachian, R. Design of Water Quality Monitoring Network for River Systems. In Proceedings of the World Water and Environmental Resources Congress, Salt Lake City, UT, USA, 27 June–1 July 2004. [Google Scholar]
- Peña-Guzmán, C.; Balaguera, P.; Hernandez, N.; Sierra, R. Redesign of Water Quality Network for the Urban Rivers in Salitre in Bogotá, Colombia, Using an Artificial Neural Network. In Proceedings of the New Trends in Urban Drainage Modelling, Palermo, Italy, September 2019; Mannina, G., Ed.; Springer International Publishing: Palermo, Italy, 2019; pp. 915–919. [Google Scholar]
- Beveridge, D.; St-Hilaire, A.; Ouarda, T.B.M.J.; Khalil, B.; Conly, F.M.; Wassenaar, L.I.; Ritson-Bennett, E. A geostatistical approach to optimize water quality monitoring networks in large lakes: Application to Lake Winnipeg. J. Gt. Lakes Res. 2012, 38, 174–182. [Google Scholar] [CrossRef]
- Karamouz, M.; Kerachian, R.; Akhbari, M.; Hafez, B. Design of River Water Quality Monitoring Networks: A Case Study. Environ. Model. Assess. 2008, 14, 705. [Google Scholar] [CrossRef]
- Chang, C.-L.; Lin, Y.-T. A water quality monitoring network design using fuzzy theory and multiple criteria analysis. Environ. Monit. Assess. 2014, 186, 6459–6469. [Google Scholar] [CrossRef]
- Cetinkaya Cem, P.; Harmancioglu Nilgun, B. Assessment of Water Quality Sampling Sites by a Dynamic Programming Approach. J. Hydrol. Eng. 2012, 17, 305–317. [Google Scholar] [CrossRef]
- Varekar, V.; Karmakar, S.; Jha, R.; Ghosh, N.C. Design of sampling locations for river water quality monitoring considering seasonal variation of point and diffuse pollution loads. Environ. Monit. Assess. 2015, 187, 376. [Google Scholar] [CrossRef]
- Peña-Guzmán, C.; Melgarejo, J.; Prats, D. El ciclo urbano del agua en Bogotá, Colombia: estado actual y desafíos para la sostenibilidad. Tecnol. Cienc. Agua 2016, 7, 57–71. [Google Scholar]
- Nguyen, T.H.; Helm, B.; Hettiarachchi, H.; Caucci, S.; Krebs, P. The selection of design methods for river water quality monitoring networks: A review. Environ. Earth Sci. 2019, 78, 96. [Google Scholar] [CrossRef]
- Khalil, B.; Ouarda, T.B.M.J. Statistical approaches used to assess and redesign surface water-quality-monitoring networks. J. Environ. Monit. 2009, 11, 1915–1929. [Google Scholar] [CrossRef]
- Khalil, B.; Ou, C.; Proulx-McInnis, S.; St-Hilaire, A. Statistical Analyses of the Adequacy of the Surface Water Quality Network in Saskatchewan; Saskatchewan Department of the Environment: Québec, QC, Canada, 2011; p. 333. [Google Scholar]
- Giridharan, L.; Venugopal, T.; Jayaprakash, M. Assessment of Water Quality Using Chemometric Tools: A Case Study of River Cooum, South India. Arch. Environ. Contam. Toxicol. 2009, 56, 654–669. [Google Scholar] [CrossRef] [PubMed]
- Boyacioglu, H.; Boyacioglu, H. Surface Water Quality Assessment by Environmetric Methods. Environ. Monit. Assess. 2007, 131, 371–376. [Google Scholar] [CrossRef]
- Langfelder, P.; Zhang, B.; Horvath, S. Defining clusters from a hierarchical cluster tree: the Dynamic Tree Cut package for R. Bioinformatics 2008, 24, 719–720. [Google Scholar] [CrossRef] [PubMed]
- Mei, K.; Zhu, Y.; Liao, L.; Dahlgren, R.; Shang, X.; Zhang, M. Optimizing water quality monitoring networks using continuous longitudinal monitoring data: A case study of Wen-Rui Tang River, Wenzhou, China. J. Environ. Monit. 2011, 13, 2755–2762. [Google Scholar] [CrossRef] [PubMed]
- Pinto, C.C.; Calazans, G.M.; Oliveira, S.C. Assessment of spatial variations in the surface water quality of the Velhas River Basin, Brazil, using multivariate statistical analysis and nonparametric statistics. Environ. Monit. Assess. 2019, 191, 164. [Google Scholar] [CrossRef] [PubMed]
- Mavukkandy, M.O.; Karmakar, S.; Harikumar, P.S. Assessment and rationalization of water quality monitoring network: A multivariate statistical approach to the Kabbini River (India). Environ. Sci. Pollut. Res. 2014, 21, 10045–10066. [Google Scholar] [CrossRef] [PubMed]
- Alves, J.D.P.H.; Fonseca, L.C.; Chielle, R.D.S.A.; Macedo, L.C.B. Monitoring water quality of the Sergipe River basin: An evaluation using multivariate data analysis. RBRH 2018, 23. [Google Scholar] [CrossRef]
- Calazans, G.M.; Pinto, C.C.; da Costa, E.P.; Perini, A.F.; Oliveira, S.C. The use of multivariate statistical methods for optimization of the surface water quality network monitoring in the Paraopeba river basin, Brazil. Environ. Monit. Assess. 2018, 190, 491. [Google Scholar] [CrossRef]
- El Gammal, H.A.A. Statistical analysis of water quality monitoring network case Study: Gharbia drainage catchments area. Adv. Environ. Biol. 2016, 10, 297–305. [Google Scholar]
- Simeonov, V.; Stratis, J.A.; Samara, C.; Zachariadis, G.; Voutsa, D.; Anthemidis, A.; Sofoniou, M.; Kouimtzis, T. Assessment of the surface water quality in Northern Greece. Water Res. 2003, 37, 4119–4124. [Google Scholar] [CrossRef]
- Vega, M.; Pardo, R.; Barrado, E.; Debán, L. Assessment of seasonal and polluting effects on the quality of river water by exploratory data analysis. Water Res. 1998, 32, 3581–3592. [Google Scholar] [CrossRef]
- Khalil, B.; Ouarda, T.B.M.J.; St-Hilaire, A. A statistical approach for the assessment and redesign of the Nile Delta drainage system water-quality-monitoring locations. J. Environ. Monit. 2011, 13, 2190–2205. [Google Scholar] [CrossRef]
- Guigues, N.; Desenfant, M.; Hance, E. Combining multivariate statistics and analysis of variance to redesign a water quality monitoring network. Environ. Sci. Process. Impacts 2013, 15, 1692–1705. [Google Scholar] [CrossRef] [PubMed]
- Pejman, A.H.; Bidhendi, G.R.N.; Karbassi, A.R.; Mehrdadi, N.; Bidhendi, M.E. Evaluation of spatial and seasonal variations in surface water quality using multivariate statistical techniques. Int. J. Environ. Sci. Technol. 2009, 6, 467–476. [Google Scholar] [CrossRef]
- Peña-Guzman, C.; Zamora, D. Determinación de las concentraciones de SST, DBO5, NT, PT, SAAM, GyA en el río Tunjuelo, Bogotá D.C. a través de modelos de redes neuronales tipo feed-forward. In Manejo del Riesgo en la Gestión del Agua: Retos Ante Los Riesgos Ambientales en el Ciclo del Agua, Justicia Ambiental y Conflictos; Universidad del Valle: Cali, Colombia, 2016; p. 440. ISBN 978-958-765-287-1. [Google Scholar]
- Ogwueleka, T.C. Use of multivariate statistical techniques for the evaluation of temporal and spatial variations in water quality of the Kaduna River, Nigeria. Environ. Monit. Assess. 2015, 187, 137. [Google Scholar] [CrossRef] [PubMed]







| Station (Abbreviations) | Section | Distance in Kilometers |
|---|---|---|
| La Regadera (Reg) | 1 | K0 + 000 |
| UAN (UAN) | 1 | K7 + 430 |
| Yomasa (Yom) | 2 | K12 + 881 |
| Doña Juana (Doñ) | 2 | K15 + 760 |
| Barrio Mexico (Mex) | 2 | K21 + 801 |
| San Benito (Ben) | 3 | K22 + 652 |
| Makro Auto Sur (Mak) | 3 | K31 + 839 |
| TV 86 (T.86) | 4 | K36 + 036 |
| Puente Independencia (ind) | 4 | K38 + 725 |
| Isla Ponton San Jose (I.Pon) | 4 | K43 + 550 |
| Station | Month | |||||||||||
|---|---|---|---|---|---|---|---|---|---|---|---|---|
| Jan. | Feb. | Mar. | Apr. | May | Jun. | Jul. | Aug. | Sep. | Oct. | Nov. | Dec. | |
| Regadera | X | X | X | X | X | X | X | |||||
| Yomasa | X | X | X | X | X | X | X | |||||
| Doña Juana | X | X | X | X | X | X | X | X | ||||
| Barrio Mexico | X | X | X | X | X | X | X | X | ||||
| San Benito | X | X | X | X | X | X | X | X | ||||
| TV 86 | X | X | X | X | X | X | X | X | ||||
| Isla Ponton San Jose | X | X | X | X | X | X | X | X | ||||
© 2019 by the authors. Licensee MDPI, Basel, Switzerland. This article is an open access article distributed under the terms and conditions of the Creative Commons Attribution (CC BY) license (http://creativecommons.org/licenses/by/4.0/).
Share and Cite
Peña-Guzmán, C.A.; Soto, L.; Diaz, A. A Proposal for Redesigning the Water Quality Network of the Tunjuelo River in Bogotá, Colombia through a Spatio-Temporal Analysis. Resources 2019, 8, 64. https://doi.org/10.3390/resources8020064
Peña-Guzmán CA, Soto L, Diaz A. A Proposal for Redesigning the Water Quality Network of the Tunjuelo River in Bogotá, Colombia through a Spatio-Temporal Analysis. Resources. 2019; 8(2):64. https://doi.org/10.3390/resources8020064
Chicago/Turabian StylePeña-Guzmán, Carlos Andrés, Lina Soto, and Angie Diaz. 2019. "A Proposal for Redesigning the Water Quality Network of the Tunjuelo River in Bogotá, Colombia through a Spatio-Temporal Analysis" Resources 8, no. 2: 64. https://doi.org/10.3390/resources8020064
APA StylePeña-Guzmán, C. A., Soto, L., & Diaz, A. (2019). A Proposal for Redesigning the Water Quality Network of the Tunjuelo River in Bogotá, Colombia through a Spatio-Temporal Analysis. Resources, 8(2), 64. https://doi.org/10.3390/resources8020064
