Abstract
Jaboticaba, a popular Brazilian fruit, has recently garnered scientific interest due to its nutritional properties and high levels of bioactive compounds. However, this fruit is highly perishable due to its high moisture content and physical–chemical structure. Therefore, it is imperative to employ methods for preserving it and explore its potential as a food resource. This study investigates the use of a spray drying method to dehydrate whole jaboticaba fruits. The effects of air temperature (T) ranging from 67.9 to 132.1 °C, air flow rate (AF) from 1.54 to 1.86 m3/min, maltodextrin concentration (M) from 8.9 to 41.1%, and feed flow rate (FF) from 0.36 to 0.84 L/h on the moisture content, drying yield, and bioactive compounds (total phenolic, total flavonoid, citric acid, and ascorbic acid contents) were quantified. The results indicate that spray drying can produce a powder with reduced moisture content levels, a satisfactory drying yield, and high levels of bioactive compounds if performed under specific conditions. An optimization study using desirability analysis shows that having T, AF, M, and FF at 132.1 °C, 1.86 m3/min, 15.0%, and 0.4549 L/h, respectively, is the optimal condition for the studied variables. Spray drying has proven to be a very promising alternative for jaboticaba processing, enabling better applications as a food resource.
1. Introduction
The jaboticaba or jabuticaba, scientifically known as Myrciaria cauliflora, is a seasonal berry native to the Brazilian Atlantic Forest, which has recently garnered attention as a food resource due to its organoleptic, nutritional, and health properties [1,2]. This fruit is rich in carbohydrates (such as glucose, fructose, and sucrose), dietary fibers, and organic acids (primarly citric, succinic and malic acids). It is also packed with vitamins (including A, B1, B2, and notably vitamin C), and minerals, such as copper, manganese, calcium, potassium, and iron [3,4]. Furthermore, jaboticaba is an excellent source of various antioxidant compounds. As a result, consuming jaboticaba fruit is linked to various wellness advantages, including protection against inflammatory and cardiovascular diseases, gastrointestinal disorders, cancer and Alzheimer’s [4,5,6].
Jaboticaba is a fruit appreciated worldwide, often consumed fresh. Additionally, it is utilized in the production of a range of artisanal products, including jellies, juices, vinegar, brandy, liqueurs, and wines [5,6]. However, its high sugars and moisture content make this fruit highly perishable, leading to rapid alterations in appearance, significant water loss, and deterioration or fermentation of the pulp. These changes occur within two to four days after the harvest. Consequently, the commercialization period for jaboticaba is extremely short, resulting in primarily local consumption and limiting its use on a large scale, such as in the food or pharmaceutical industries [7,8,9].
Given these factors, the assessment of preservation techniques to enhance value, maintain the nutritional and health properties, and broaden the potential uses of jaboticaba is exceptionally crucial. Drying stands out as an effective method, reducing moisture levels in fruits and fruit residues, and consequently inhibiting microbial growth, and chemical and enzymatic reactions, thereby extending shelf life and facilitating prolonged storage and transportation [10,11,12,13]. Several studies have explored various drying methods for processing jaboticaba, including the oven-method [14,15], freeze-drying [14,16,17], drum drying [18], and foam mat drying [19], each with its own set of advantages and limitations. Within this context, the spray drying of jaboticaba fruits has emerged as another compelling option for processing this material, given its successful use in the powder production of diverse feedstocks [20].
Spray drying is recognized as one of the most prominent industrial techniques for manufacturing foods in powdered form and/or microencapsulated food ingredients. It involves atomizing a fluid material through a hot gas, typically air, resulting in the instant formation of powder particles [20,21]. The method offers numerous advantages, including a short heat contact time between air and the samples, high efficiency in moisture removal, consistent reduction in the volume of powdered products, the production of powders with instantaneous solubility, and the high quality and improvement of organoleptic properties, among others [21,22,23]. However, the main challenges in spray drying lie in achieving the desired properties of the powder with cost management. Therefore, identifying the optimal operational criteria and processing conditions is crucial to preserve the quality of the dried products throughout the process [23,24]. The literature reports various studies demonstrating successful fruit drying using spray dryers, including watermelon [25], açaí [26], tamarind [27], mango [28], acerola [29], pineapple [24], and sour cherry [30].
The purpose of this work was to assess the viability of utilizing dried jaboticaba as a food resource by investigating its powder production using a spray drying methodology. Differently to other papers in the literature, we opted to spray dry the whole fruit (pulp, peel, and seeds) and examined the impact of operating variables, including air temperature, air flow rate, maltodextrin concentration, and feed flow rate on both the process yield and the final product quality. Quality was determined by evaluating the content of bioactive compounds, specifically total phenolics, total flavonoids, acidity, and ascorbic acid content.
2. Materials and Methods
2.1. Raw Material
The jaboticaba fruits used in this study were collected from a local plantation located in the region of Ibiá (19°28′40″ S, 46°32′20″ W), a small city in the state of Minas Gerais, southeastern Brazil. The fruits were washed, divided into small portions, stored in airtight polyethylene bags, and maintained frozen at −18 °C up to the start of the experiments.
2.2. Experimental Apparatus and Procedure
A laboratory-scale spray dryer (LM MSD 1.0, LabMaq, Ribeirão Preto, SP, Brazil) was employed to produce the jaboticaba powder (Figure 1). The equipment measures 0.76 m (width), 1.80 m (height), and 0.72 m (depth), weighs 180 kg, and is entirely constructed from stainless steel AISI 304. It consists of a drying chamber that is 0.625 m long and has a diameter of 0.20 m, a dual-fluid nozzle atomizer featuring a 1.2 mm orifice diameter, and has an evaporative capacity of 1.0 L per hour. The atomizing air flow was set at 40 L per minute. The material was fed into the dryer through a peristaltic pump, and the powder produced was collected in a cyclone located at the end of the system. In this work, as previously reported, we chose to utilize the entire jaboticaba fruit, considering that about one third of its weight consists of peels, while the remaining two thirds consist of pulp and seeds. Several studies in the literature report the nutritional potential of all these parts [1,4,5].
Figure 1.
Scheme of spray dryer system.
Before spray drying, the jaboticaba fruits were ground in an industrial blender (Camargo Industrial, São Carlos, SP, Brazil), with distilled water added at a ratio of 1:1.5 (mass of jaboticaba to water). Then, the resulting jaboticaba suspension passed through an 18-mesh Tyler sieve to remove particles larger than 1.2 mm, which were discarded to prevent clogging the atomizer nozzle during the drying process [31]. Approximately 120 g of this suspension was used for each experiment.
Preliminary tests with this jaboticaba suspension resulted in a powder with high adherence and stickiness on the internal structures of the spray dryer. Natural sugar and acid-rich foods such as fruits and vegetables present challenges to drying under normal spray drying conditions [20,32], necessitating the use of a carrier agent in the experiments. Maltodextrin is a conventional carrier agent obtained from the acid hydrolysis of corn starch. It is commonly employed in spray drying materials with high sugar content because of its high water solubility, reduced viscosity, neutral flavor and color, stability, and low cost [32,33]. Thus, maltodextrin (MOR-Rex® 1910, Ingredion, São Paulo, SP, Brazil) with 10 DE (dextrose equivalent) was added in the suspension in different concentrations relative to the suspension mass feed in the dryer. The concentration levels were defined in the experimental design, as can be seen in the next section.
2.3. Experimental Design
The experiments followed an orthogonal central composite design (CCD) with four independent variables and four replicates at the central level, totaling 28 experiments. The independent variables studied were as follows: drying air temperature (T), drying air flow rate (AF), maltodextrin concentration (M), and jaboticaba feed flow rate (FF). Table 1 displays the coded and real values for the variables utilized in the experimental design.
Table 1.
Coded and real values of the experimental design.
2.4. Moisture Analysis
The moisture content of both fresh and dried samples, on a wet basis, was measured using the oven method at 105 ± 3 °C for 24 h, in accordance with the Association of Official Analytical Chemists’ methodology (AOAC) [34]. Existing research indicates that fruits dried to moisture contents below 10% are appropriate for handling, processing, transportation, and storage, as microbial growth is inhibited and undesirable reactions are prevented [35,36]. Therefore, it is imperative that spray dryer experiments produce powder with moisture levels below this threshold.
2.5. Drying Yield (DY)
For each experiment in this study, the drying process yield (DY) was calculated as the percentage ratio of the material collected in the spray dryer’s cyclone underflow to the amount of jaboticaba suspension input into the system, both on a dry basis.
2.6. Analysis of Bioactive Compounds
The analysis of bioactive compound content in jaboticaba powder samples aimed to evaluate how the operational spray drying conditions affect the final product’s quality. The analyses were performed in triplicate, and the bioactive compound content was reported as the mean value ± standard deviation.
2.6.1. Total Phenolic Content (TPC)
Total phenolic content was measured using the Folin–Ciocalteau method [37], with gallic acid (C7H6O5) as the standard. Spectrophotometric readings were taken at 622 nm using a V1200 spectrophotometer (VWR, Leuven, Belgium). The results are expressed in milligrams of gallic acid/100 g of sample (dry matter).
2.6.2. Total Flavonoid Content (TFC)
The total flavonoid content was determined using the colorimetric method outlined by Zhishen et al. [38], with rutin (C27H30O16) as the standard. Spectrophotometric readings were performed at 450 nm using a V1200 spectrophotometer (VWR, Leuven, Belgium). The results are reported in milligrams of rutin/100 g of sample (dry matter).
2.6.3. Acidity or Citric Acid Content (CA)
The determination of citric acid (C6H8O7) content in the samples, expressed as total titratable acidity, was conducted via titration with standardized 0.1 N sodium hydroxide (NaOH), following the AOAC’s official methodology [34]. The results are presented in milligrams of citric acid/100 g of sample (dry matter).
2.6.4. Ascorbic Acid Content (AA)
The determination of ascorbic acid or vitamin C (C6H8O6) content was determined using the titration method, involving the reduction of standardized 2,6-dichloroindophenol (C12H7NCl2O2) in the presence of oxalic acid (C2H2O4) [34]. The results were expressed in milligrams of ascorbic acid/100 g of sample (dry matter).
2.7. Statistical Analysis
All results of drying yield (DY) and bioactive compound content (TPC, TFC, CA, and AA) were evaluated using multifactorial analysis of variance (ANOVA) at a 95 % confidence level. For each response, multiple regression equations and surface responses were fitted. Additionally, the desirability function was used as an optimization technique with the aim of defining the best operating conditions for spray drying jaboticaba. Desirability analysis is a statistical method that optimizes processes by integrating multiple responses or performance criteria into a unified composite measure. Commonly employed in engineering, market research, and quality control, it enables the maximization or minimization of a response by converting it into a composite function with values ranging from 0 (completely undesirable) to 1 (fully desirable) [39,40]. Statistica v.12 software (Statsoft) was used for all statistical analyses.
3. Results and Discussion
3.1. Drying Performance
The spray drying of jaboticaba produces a fine and homogeneous powder with a pinkish color, as shown in Figure 2. Table 2 presents the final moisture content and drying yield (DY) results from each test in the experimental design.
Figure 2.
Jaboticaba suspension (fresh material) and powder produced after spray drying.
Table 2.
Final moisture and drying yield (DY) experimental results.
It can be observed that while the fresh jaboticaba suspension had a moisture content of 90.59 ± 0.62% (wet basis), the produced powder had a final moisture content ranging from 0.62 to 4.54%, which is lower than the values suggested by the literature [35,36]. These results indicate that regardless of the operating conditions (T, AF, M, and FF) used in this work, the spray drying of jaboticaba produced a powder with appropriate moisture levels suitable for handling, storage, and transportation. This highlights the efficacy of a spray dryer in processing this material, producing a dried product with potential for use as a food resource.
Table 2 also presents the experimental results of the drying yield (DY) obtained in each experimental design run, where values ranged from 19.92% to 63.82%. This suggests a significant impact of the variables studied on the amount of jaboticaba powder produced. Wall deposition is a critical issue in spray drying, influenced by various operational factors, and directly impacts both the quantity and quality of the powder produced, leading to increased manufacturing and maintenance costs [23]. An initial analysis of Table 2 reveals that the best DY results were obtained in experiments that combined higher air temperatures (T) with lower air flow rates (AF), reduced maltodextrin concentration (M), and low feed flow rates (FF). This is exemplified by the high DY obtained in Experiments 2 and 1, of 62.83 and 58.53%, respectively, and the low DY observed in Experiments 15, 17, and 13, of 19.92, 22.30, and 23.34%, respectively.
The statistical analysis of the DY results indicated that all independent variables influenced the yield results. However, the temperature (T) and the feed flow rate (FF) had the greatest impact. Temperature showed a positive effect (higher T values increased the DY), while feed flow rate had a negative effect (lower FF values increased the DY). The regression equation fitted for the drying yield (DY) is Equation (1) (R2 = 0.9051). In this equation, as well as in Equations (3)–(6) for the bioactive compounds content analysis, the variables are represented in coded form according to Equation (2), as shown below.
The response surfaces generated by Equation (1) are depicted in Figure 3. Figure 3a shows the significant effect of temperature on the drying yield, with the best values obtained at temperatures (T) above 110 °C, independent of the air flow rate (AF) used. High temperatures cause greater heat exchange, promoting a rapid moisture removal and preventing powder accumulation inside the dryer structures [20,23]. Lower feed flow rates (FF) associated with low maltodextrin concentration were most beneficial to DY results, as can be seen in Figure 3b. This can be attributed to the fact that reduced rates of sample feed produce small droplets that are quickly dried in the equipment, facilitating the exchange of heat and mass with the drying air [30,41]. However, although maltodextrin can be a fundamental carrier agent for increasing spray drying efficiency [32,33], the best DY results were obtained for concentrations of this carrier agent lower than 20%, indicating a limit value for adding this substance without compromising the drying efficiency.
Figure 3.
Drying yield (DY) surface responses: (a) temperature (T) × air flow rate (AF) and (b) maltodextrin (M) × feed flow rate (FF).
Therefore, it was possible to define the best experimental conditions to produce the greatest amount of powder from a jaboticaba suspension in a spray dryer. However, it is still important to verify if the operating conditions used had a significant impact on the quality of the final product, as expressed by the bioactive compounds content results showed in the next sections.
3.2. Bioactive Compounds
3.2.1. Total Phenolic Content (TPC)
Numerous studies have highlighted jaboticaba as a significant source of phenolic compounds, predominantly found in its peel and seeds. Over 80 phenolic compounds have been identified in the entire fruit and its parts, including anthocyanins, hydroxybenzoic acid derivatives (ellagitannins, gallotannins, galic, and ellagic acid derivatives), hydroxycinnamic acids, flavanols, flavonols, flavones, and flavanones [42,43,44]. The substantial amount of total phenolic compounds (TPC) observed in the fresh jaboticaba suspension (without maltodextrin’s addition) of this study—9268.27 mg gallic acid/100 g sample (dry matter)—confirmed that this fruit is a rich source of these bioactive compounds.
The total phenolic content (TPC) found after each experiment of the experimental design (see conditions in Table 2) is displayed in Figure 4. Analyzing the results, a considerable reduction in phenolic levels can be observed compared to fresh jaboticaba. This reduction was expected, given that the incorporation of maltodextrin would result in reduced percentages of bioactive compounds in the mass of powder obtained. However, since the TPC values ranged between 137.99 and 1315.38 mg of gallic acid/100 g of sample (dry matter), as observed in experiments 22 and 21, respectively, it can be seen that the results can also be affected by the other operating conditions evaluated in this study. Silva et al. [45] verified in the spray drying of jaboticaba depulping residue that the levels of total phenolics were affected not only by the quantity of maltodextrin added but also by the air temperature and feed flow rate.
Figure 4.
Total phenolic content (TPC) results.
The statistical analysis of the total phenolic content results showed that the maltodextrin content (M) had the highest effect on TPC, influencing the results both in linear and quadratic forms, as well as with interactions with air flow rate (AF) and feed flow rate (FF). Additionally, the FF had a significant quadratic influence on TPC. The air temperature (T) shows significant effects through interactions with the other three independent variables. Equation (3) (R2 = 0.8565) is the regression equation fitted for TPC.
The effects of maltrodextrin content (M) and feed flow rate (FF) on the TPC results are illustrated in Figure 5. Intermediate values of the feed flow rate (FF) associated with low maltrodextrin content led to higher TPC results, as seen in the TPC results of Experiment 21 (Figure 4), which combines the best conditions of these two variables (M = 8.9% and FF = 0.60 L/h), or in experiments 12 and 3, performed with 15% maltodextrin (−1 level of the experimental design). Concentrations higher than 15–20% of maltodextrin are rarely observed in studies of fruit drying with the spray drying technique [24,26,45]. Thus, an appropriate amount of this carrier agent can be added to the process without impacting the quality of the final product.
Figure 5.
Total phenolic content (TPC) surface response: maltodextrin (M) × feed flow rate (FF).
3.2.2. Total Flavonoid Content (TFC)
Flavonoids are bioactive compounds present in many fruits and vegetables, exhibiting diverse physiological effects such as antioxidant, antibacterial, anti-inflammatory, antiallergic, and vasodilatory action [46,47]. Flavonoids such as quercitin, quercitrin, rutin, isoquercitrin, quercimeritrin, and myricitrin have already been identified in jaboticaba, especially in the peels [44,45,46,47,48]. Figure 6 presents the total flavonoid content (TFC) results obtained after each experiment of the experimental design.
Figure 6.
Total flavonoid content (TFC) results.
Analogous to what was observed for phenolic compounds, the TFC results for the jaboticaba powder show a considerable reduction compared to the fresh fruit (19.98 mg rutin/100 g sample in dry matter) and significant variation with the operating conditions, ranging from 1.19 to 7.70 mg gallic rutin/100 g of sample (dry matter) after drying. The statistical analysis for TFC results shows that, apart from the air flow rate (AF), all other independent variables had a significant effect. The influence of maltodextrin concentration (M) is once again extremely relevant, with a linear, quadratic, and combined effect (with T and FF) on TFC results. The variables feed flow rate (FF) and temperature (T) show a significative interaction effect. Equation (4) exhibits the fitted equation (R2 = 0.8367) for TFC, with its corresponding response surface illustrated in Figure 7.
Figure 7.
Total flavonoid content (TPC) surface response: maltodextrin (M) × feed flow rate (FF).
As observed for TPC, the maltodextrin content had a negative effect on TFC, with the best results found at values lower than 15% for this variable, exemplified by experiments 3, 12, 9, and 10, which showed the highest values of flavonoid content in the experimental design, all conducted with 15% carrier agent. A combination of low maltodextrin concentrations with high feed flow rates produced a considerable increase in the TFC results, as exemplified again by Experiments 12, 9, and 10, which yielded 7.51, 5.42, and 5.22 mg rutin/100 g sample in dry matter, respectively, with an FF of 0.75 L/h. These findings are in agreement with some spray drying studies [49].
3.2.3. Acidity (CA)
Acidity (CA) is represented by the content of citric acid in the samples, an antioxidant compound frequently present in fruits and vegetables. In the food industry, citric acid is used as an acidulant, lowering the pH of food and preventing microbial growth, and enhancing the flavor and aroma of food products [50,51]. The literature reports the presence of considerable quantities of citric acid in jaboticaba fruits and their processing residues [2,3].
While the CA in the fresh samples was 8285.90 mg citric acid/100 g (dry matter), the levels of citric acid in the powder product (Figure 8) ranged from 886.98 to 2773.69 mg citric acid/100 g of sample in dry matter. The statistical analysis showed that all independent variables evaluated were significant for the CA results, either in isolated form and/or in interaction with other variables. However, the negative effect of maltodextrin concentration, which was also observed for phenolic and flavonoid compounds, was more intense for this bioactive compound, as observed in the parameters of the fitted regression equation for CA (Equation (5); R2 = 0;9398). Figure 9 presents the response surface obtained from this equation. The results obtained are interesting because there are very few studies in the literature that evaluate the effects of drying conditions on the citric acid content of jaboticaba.
Figure 8.
Acidity (CA) results.
Figure 9.
Citric acid content (CA) surface response: maltodextrin (M) × feed flow rate (FF).
In Figure 9, it was possible to observe the more intense effect of the maltrodextrin content (M) on CA compared to the feed flow rate, with the best results obtained for an M lower than 15%. Experiments 1, 2, 12, and 21 (Figure 8), for example, were all performed with low quantities of maltodextrin and produced a powder with acidity greater than 2300 mg citric acid/100 g of sample (dry matter).
3.2.4. Ascorbic Acid Content (AA)
Ascorbic acid, also known as vitamin C, is a powerful antioxidant that acts as a preservative in foods, inhibiting browning and other oxidative reactions [52,53]. The presence of vitamin C in jaboticaba has attracted considerable attention, as various studies in the literature have highlighted significant quantities of this vitamin found in different subspecies of this fruit [53,54,55,56]. The ascorbic acid content results of the powder product can be seen in Figure 10.
Figure 10.
Ascorbic acid content (AA) results.
The AA in fresh fruit was 239.40 mg ascorbic acid/100 g of sample (dry matter), while the ascorbic acid content found in the powder product ranged from 43.13 to 222.46 mg ascorbic acid/100 g of sample (dry matter), indicating a significant influence of the operating conditions, with this similarly observed for other bioactive compounds. However, the best values of AA in the dried samples were close to those observed for the fresh jaboticaba, indicating the lesser effect of the spray drying process on this bioactive compound in comparison to phenolics, flavonoids, and citric acid.
All variables studied influenced the AA obtained in the powder product, with maltodextrin (M) and temperature (T) having the greatest effects. The equation fitted for AA is presented in Equation (6) (R2 = 0.8542). The response surface obtained can be seen in Figure 11.
Figure 11.
Ascorbic acid content (AA) surface response: maltodextrin (M) × temperature (T).
The significant nonlinear effects of temperature (T) and maltrodextrin (M) on AA can be seen in Figure 11. Higher values of AA were found in the experiments performed, for the most part, at high temperatures. Experiments 10 and 18 confirm this behavior, as they were performed at 120 °C and 132.1 °C and had AA values of 177.17 and 175.97 mg ascorbic acid/100 g of sample (dry matter). Although the temperature sensitivity of vitamin C is well-established in the literature [57,58], in the spray drying process higher temperatures also imply shorter drying times, which may have influenced the maintenance of the AA levels in the dried samples.
Interesting conclusions about the effect of maltodextrin content (M) can also be obtained analyzing Figure 11. Different to the other bioactive compounds analyzed in this work, whose increase in maltodextrin concentration negatively affected their results, it was possible observe that the best AA results were found in two specific ranges of M: where it was less than 15% (similar to the other compounds), but also when it was larger than 35%. The fact that higher levels of maltodextrin concentration impact the results positively may be linked to the thermal-protective property of this carrier agent that causes a retention of this vitamin in the samples, which was also observed in the spray drying of other fruits [59,60]. Experiments 10 and 15, for example, with 15% and 35% of maltodextrin content, both produced higher AA results: 177.17 and 222.46 mg ascorbic acid/100 g of sample in dry matter.
3.3. Multi-Response Optimization
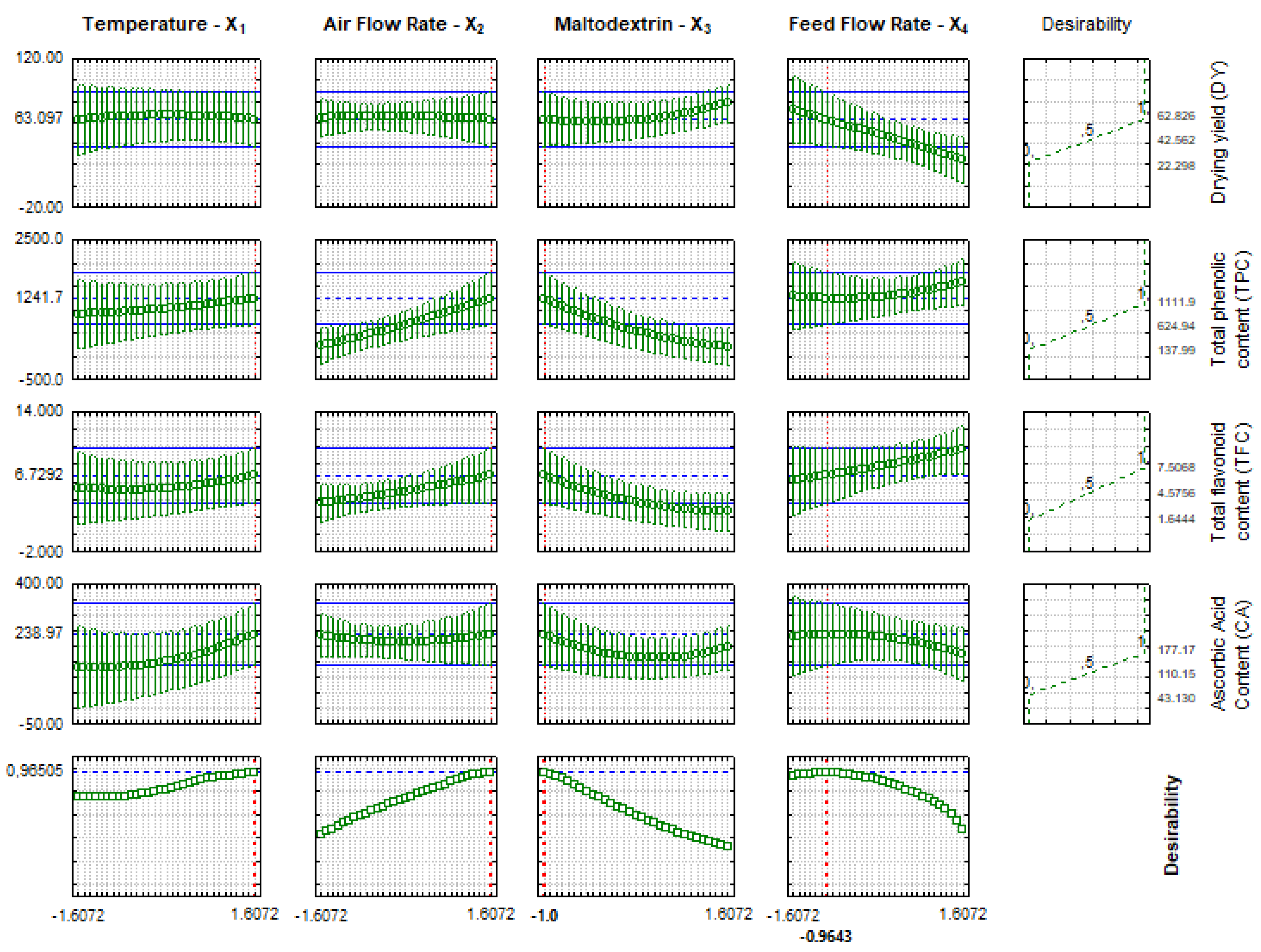
Based on the obtained results and the fitted equations, a multi-response optimization was conducted using desirability analysis [39]. The aim was to identify the optimal conditions for obtaining jaboticaba powder with a satisfactory yield and with the best possible quality. Thus, the drying yield (DY), total phenolic content (TPC), total flavonoid content (TFC), and ascorbic acid (AA) content were defined as responses. The results are presented in Figure 12.
Figure 12.
Desirability functions for drying yield (DY), total phenolic content (TPC), total flavonoid content (TFC), and ascorbic acid content (AA).
The optimal conditions found were as follows: a temperature (T) of 132.1 °C (+1.6072 of the experimental design—Table 1), an air flow rate (AF) of 1.86 m3/min (+1.6072), maltodextrin content (M) of 15.0% (−1), and a feed flow rate (FF) of 0.4549 L/h (−0.9643). At these levels, the predicted results for responses were, respectively, as follows: a DY of 56.48%; TPC of 1018.3 mg gallic acid/100 g of sample in dry matter; TFC of 3.79 mg rutin/100 g of sample in dry matter; CA of 2048.61 mg citric acid/100 g of sample in dry matter; and AA of 183.71 mg ascorbic acid/100 g of sample in dry matter. These conditions, which were obtained considering the simultaneous maximization of the quantity of powder obtained in spray drying and its quality in terms of the presence of bioactive compounds, proved to be suitable for the use of this technique to obtain powdered jaboticaba.
4. Conclusions and Recommendations
The use of a spray drying method to produce a dried powder product from jaboticaba proved to be a compelling alternative for better utilizing this fruit as a food resource. All the operational conditions used resulted in a moisture content after drying lower than 5.0%, which is ideal for extending the shelf life of this material, known for its high perishability and deterioration under natural conditions.
All the independent variables (temperature, air flow rate, maltodextrin concentration, and feed flow rate) showed statistical significance for drying yield (DY) results, with the best experimental results obtained at temperatures higher than 110 °C and with lower values of air flow and feed flow rate. Although preliminary tests indicate the need to use the carrier agent maltodextrin, concentrations greater than 20% adversely affected the drying performance, indicating a limit value for this material.
Additionally, the experimental conditions that enhance bioactive compound levels after drying were identified. In general, all operation variables have some influence on the results for bioactive compounds. Maltodextrin contents lower than 15% were favorable for all analyzed bioactive compounds. Temperature, feed flow, and air flow rates affected the results in different ways for each compound, necessitating a detailed analysis depending on which compound was intended to be prioritized in the final product. The optimization by desirability analysis showed that it is possible to achieve a high drying yield and satisfactory levels of bioactive compounds under the following operational conditions: an air temperature of 132.1 °C, air flow rate of 1.86 m3/min, maltodextrin content of 15.0 %, and a feed flow rate (FF) of 0.4549 L/h.
Thus, according to the results of this study, we can conclude that the spray dryer was a good option for the efficient drying of jaboticaba fruit, allowing one to obtain a product with low moisture content, good process yield, and desired levels of bioactive compounds, suitable for its application as a functional food product, if conducted under adequate conditions. Maltodextrin proved to be an important carrier agent, but there is a limit to the quantity used in order to avoid compromising the quality of the final product.
In future studies, the range of the optimum conditions found in this work could be explored with a larger sample size.
Author Contributions
Conceptualization, N.C.S., G.B.A. and M.A.S.B.; methodology, N.C.S. and G.B.A.; software, G.B.A.; validation, N.C.S. and M.A.S.B.; formal analysis, N.C.S., G.B.A. and M.A.S.B.; investigation, G.B.A.; resources, M.A.S.B.; data curation, N.C.S. and G.B.A.; writing—original draft preparation, N.C.S.; writing—review and editing, M.A.S.B.; visualization, N.C.S., G.B.A. and M.A.S.B.; supervision, N.C.S. and M.A.S.B.; project administration, M.A.S.B.; funding acquisition, M.A.S.B. All authors have read and agreed to the published version of the manuscript.
Funding
This research was funded by the Brazilian research funding agencies CNPq (Brazilian National Council for Scientific and Technological Development), CAPES (Brazilian Federal Agency for the Support and Improvement of Higher Education), and FAPEMIG (State of Minas Gerais Research Support Foundation).
Data Availability Statement
The raw data supporting the conclusions of this article will be made available by the authors on request.
Acknowledgments
We would like to thank the Faculty of Chemical Engineering (FEQUI) and the Federal University of Uberlândia for their support.
Conflicts of Interest
The authors declare no conflicts of interest.
References
- Wu, S.-B.; Long, C.; Kennelly, E.J. Phytochemistry and health benefits of jaboticaba, an emerging fruit crop from Brazil. Food Res. Int. 2013, 54, 148–159. [Google Scholar] [CrossRef]
- Barroso, T.; Sganzerla, W.; Rosa, R.; Castro, L.; Maciel-Silva, F.; Rostagno, M.; Forster-Carneiro, T. Semi-continuous flow-through hydrothermal pretreatment for the recovery of bioproducts from jabuticaba (Myrciaria cauliflora) agro-industrial by-product. Food Res. Int. 2022, 158, 111547. [Google Scholar] [CrossRef] [PubMed]
- Lima, A.J.B.; Corrêa, A.D.; Dantas-Barros, A.M.; Nelson, D.L.; Amorim, A.C.L. Sugars, organic acids, minerals and lipis in jabuticaba. Rev. Bras. Frutic. 2011, 33, 540–550. [Google Scholar] [CrossRef]
- Inada, K.O.P.; Leite, I.B.; Martins, A.B.N.; Fialho, E.; Tomás-Barberán, F.A.; Perrone, D.; Monteiro, M. Jaboticaba berry: A comprehensive review on its polyphenol composition, health effects, metabolism, and the development of food products. Food Res. Int. 2021, 147, 110518. [Google Scholar] [CrossRef] [PubMed]
- Geraldi, M.V.; Souza, A.C.; Norde, M.M.; Berni, P.R.; Reguengo, L.M.; Geloneze, B.; Marostica, M.R. Jaboticaba peels improve postprandial glucose and inflammation: A randomized controlled trial in adults with metabolic syndrome. Nutr. Res. 2024, 125, 36–49. [Google Scholar] [CrossRef] [PubMed]
- Benvenutti, L.; Zielinkski, A.A.F.; Ferreira, S.R.S. Jaboticaba (Myrtaceae cauliflora) fruit and its by-products: Alternative sources for new foods and functional components. Trends Food Sci. Technol. 2021, 112, 118–136. [Google Scholar] [CrossRef]
- Henrique, C.M.; Prati, P.; Parisi, M.M.C.; Tavares, S. Determination of shelf life of jaboticaba’s fruits cv. ‘Sabará’. Braz. J. Biosyst. Eng. 2015, 9, 320–327. [Google Scholar] [CrossRef][Green Version]
- Barros, R.S.; Finger, F.L.; Magalhães, M.M. Changes in non-structural carbohydrates in developing fruit of Myrciaria jaboticaba. Sci. Hortic. 1996, 66, 209–215. [Google Scholar] [CrossRef]
- Nascimento, T.P.; Bettiol Neto, J.E.; Pereira, R.A.; Castro, I.A.; Chagas, E.A.; Lajolo, F.M.; Cordenunsi, B.R. Effect of thinning on flower and fruit and of edible coatings on postharvest quality of jaboticaba fruit stored at low temperature. Food Sci. Technol. 2013, 33, 424–433. [Google Scholar] [CrossRef]
- Silva, N.C.; Duarte, C.R.; Barrozo, M.A.S. Effects of dehydration methods on quality characteristics of yellow passion fruit coproducts. J. Sci. Food Agr. 2017, 97, 4750–4759. [Google Scholar] [CrossRef]
- Silva, D.I.S.; Souza, G.F.M.V.; Barrozo, M.A.S. Heat and mass transfer of fruit residues in a fixed bed dryer: Modeling and product quality. Dry. Technol. 2018, 37, 1321–1327. [Google Scholar] [CrossRef]
- Santos, R.L.; Brandão, R.J.; Nunes, G.; Duarte, C.R.; Barrozo, M.A.S. Analysis of particles collisions in a newly designed rotating dryer and its impact on the Camu-Camu (Myrciaria dubia) pulp drying. Dry. Technol. 2022, 40, 2034–2045. [Google Scholar] [CrossRef]
- Nogueira, G.D.R.; Silva, P.B.; Souza, G.F.M.V.; Duarte, C.R.; Barrozo, M.A.S. Vacuum Microwave Drying of Acerola Residue: Effects of Pre-treatment and Operating Variables on Main Bioactive Compounds. Waste Biomass Valori. 2023, 14, 1281–1292. [Google Scholar] [CrossRef]
- Inada, K.O.P.; Nunes, S.; Martínez-Blázquez, J.A.; Tomás-Barberán, F.A.; Perrone, D.; Monteiro, M. Effect of high hydrostatic pressure and drying methods on phenolic compounds profile of jabuticaba (Myrciaria jaboticaba) peel and seed. Food Chem. 2020, 309, 125794. [Google Scholar] [CrossRef]
- Chua, L.S.; Wahab, N.S.A. Drying Kinetic of Jaboticaba Berries and Natural Fermentation for Anthocyanin-Rich Fruit Vinegar. Foods 2023, 12, 65. [Google Scholar] [CrossRef]
- Leite, A.V.; Malta, L.G.; Riccio, M.F.; Eberlin, M.N.; Pastore, G.M.; Júnior, M.R.M. Antioxidant Potential of Rat Plasma by Administration of Freeze-Dried Jaboticaba Peel (Myrciaria jaboticaba Vell Berg). J. Agric. Food Chem. 2011, 59, 2277–2283. [Google Scholar] [CrossRef]
- Moura, M.S.; Costa, B.S.G.; Giaconia, M.A.; Andrade, R.R.; Braga, A.R.C.; Braga, M.B. Jaboticaba powders production by freeze-drying: Influence of octenyl succinic anhydride-modified starch concentrations over anthocyanins and physical properties. J. Food Process Eng. 2023, 46, e14256. [Google Scholar] [CrossRef]
- Nunes, L.P.; Ferrari, C.C.; Ito, D.; Souza, E.C.G.; Germer, S.P.M. Drum drying process of jabuticaba pulp using corn starch as an additive. Braz. J. Food Technol. 2020, 23, e2019166. [Google Scholar] [CrossRef]
- Ferreira, M.N. Study of Jaboticaba Drying (Pulp and Peel) Using the Foam Mat Technique. Master’s Dissertation, Food Science and Technology Course, Federal University of Goiás, Goiânia, GO, Brazil, 2017; 109p. Available online: https://repositorio.bc.ufg.br/tede/handle/tede/7962 (accessed on 7 May 2024).
- Shishir, M.R.I.; Chen, W. Trends of spray drying: A critical review on drying of fruit and vegetable juices. Trends Food Sci. Technol. 2017, 65, 49–67. [Google Scholar] [CrossRef]
- Avellone, G.; Salvo, A.; Costa, R.; Saija, E.; Bongiorno, D.; Di Stefano, V.; Calabrese, G.; Dugo, G. Investigation on the influence of spray-drying technology on the quality of Sicilian Nero d’Avola wines. Food Chem. 2018, 240, 222–230. [Google Scholar] [CrossRef]
- Fernandes, R.V.B.; Borges, S.V.; Botrel, D.A. Influence of spray drying operating conditions on microencapsulated rosemary essential oil properties. Food Sci. Technol. 2013, 33, 171–178. [Google Scholar] [CrossRef]
- Keshani, S.; Daud, W.R.W.; Nourozi, M.M.; Namvar, F.; Ghasemi, M. Spray drying: An overview on wall deposition, process and modeling. J. Food Eng. 2015, 146, 152–162. [Google Scholar] [CrossRef]
- Braga, V.; Guidi, L.R.; Santana, R.C.; Zotarelli, M.F. Production and characterization of pineapple-mint juice by spray drying. Powder Technol. 2020, 375, 409–419. [Google Scholar] [CrossRef]
- Quek, S.Y.; Chok, N.K.; Swedlung, P. The physicochemical properties of spray-dried watermelon powders. Chem. Eng. Process Process Intensif. 2007, 46, 386–392. [Google Scholar] [CrossRef]
- Tonon, R.V.; Brabet, C.; Hubinger, M. Influence of process conditions on the physicochemical properties of açai (Euterpe oleraceae Mart) powder produced by spray drying. J. Food Eng. 2008, 88, 411–418. [Google Scholar] [CrossRef]
- Muzaffar, K.; Kumar, P. Moisture sorption isotherms and storage study of spray dried tamarind pulp powder. Powder Technol. 2016, 291, 322–327. [Google Scholar] [CrossRef]
- Zotarelli, M.F.; Silva, V.M.; Durigon, A.; Hubinger, M.D.; Laurindo, J.B. Production of mango powder by spray drying and cast-tape drying. Powder Technol. 2017, 305, 447–454. [Google Scholar] [CrossRef]
- Ribeiro, C.M.C.M.; Magliano, L.C.S.A.; Costa, M.M.A.; Bezerra, T.K.A.; Silva, F.I.H.; Maciel, M.I.S. Optmization of the spray drying process conditions for acerola and seriguela juice mix. Food Sci. Technol. 2019, 39, 48–55. [Google Scholar] [CrossRef]
- Karaca, A.C.; Guzel, O.; Ak, M.M. Effect of processing conditions and formulation on spray drying of sour cherry juice concentrate. J. Sci. Food Agr. 2016, 96, 449–455. [Google Scholar] [CrossRef] [PubMed]
- Oliveira, P.P.; Schmidt, V.C.R.; Santana, R.C.; Zotarelli, M.F. Production and characterization of mint (Mentha spicata L.) by spray drying. J. Food Process Eng. 2023, 47, e14508. [Google Scholar] [CrossRef]
- Adhikari, B.; Howes, T.; Bhandari, B.R.; Troung, V. Effect of addition of maltodextrin on drying kinetics and stickiness of sugar and acid-rich foods during convective drying: Experiments and modelling. J. Food Eng. 2004, 62, 53–68. [Google Scholar] [CrossRef]
- Bakowska-Barczak, A.M.; Kolodziejczyk, P.P. Black currant polyphenols: Their storage stability and microencapsulation. Ind. Crop Prod. 2011, 34, 1301–1309. [Google Scholar] [CrossRef]
- AOAC, Association of Official Analytical Chemists. Official Methods of Analysis of the Association of Official Analytical Chemists, 16th ed.; AOAC: Gaithersburg, MD, USA, 1995; Volume 1. [Google Scholar]
- Bhandari, B.R.; Adhikari, B.P. Water activity in food processing and preservation. In Drying Technologies in Food Processing; Chen, X.D., Mujumdar, A.S., Eds.; Blackwell Publishing Ltd.: Hoboken, NJ, USA; John Wiley & Sons: West Sussex, UK, 2008; p. 55. [Google Scholar]
- Chen, X.D.; Patel, K.C. Biological changes during food drying processes. In Drying Technologies in Food Processing; Chen, X.D., Mujumdar, A.S., Eds.; Blackwell Publishing Ltd.: Hoboken, NJ, USA; John Wiley & Sons: West Sussex, UK, 2008; p. 90. [Google Scholar]
- Singleton, V.L.; Orthofer, R.; Lamuela-Raventós, R.M. Analysis of total phenols and other oxidation substrates and antioxidants by means of folin–ciocalteu reagent. Methods Enzymol. 1999, 299, 52–178. [Google Scholar] [CrossRef]
- Zhishen, J.; Mengcheng, T.; Jianming, W. The determination of flavonoid contents in mulberry and their scavenging effects on superoxide radicals. Food Chem. 1999, 64, 555–559. [Google Scholar] [CrossRef]
- Derringer, G.; Suich, R. Simultaneous Optimization of Several Response Variables. J. Qual. Technol. 1980, 12, 214–219. [Google Scholar] [CrossRef]
- Nogueira, G.D.R.; Duarte, C.R.; Barrozo, M.A.S. Hydrothermal carbonization of acerola (Malphigia emarginata D.C.) wastes and its application as an adsorbent. Waste Manage 2019, 95, 466–475. [Google Scholar] [CrossRef]
- Chaula, L.T.; Conceição, E.C.; Bara, M.T.F.; Paula, J.R.; Couto, R.O. Engineering spray-dried rosemary extracts with improved physicomechanical properties: A design of experiments issue. Braz. J. Pharmacog. 2017, 27, 236–244. [Google Scholar] [CrossRef]
- Cefali, L.C.; Franco, J.G.; Santos, E.M.; Nicolini, G.F.; Fava, A.L.M.; Figueiredo, M.C.; Ataíde, J.A.; Foglio, M.A.; Mazzola, P.G. Jaboticaba, a Brazilian jewel, source of antioxidant and wound healing promoter. Sustain. Chem. Pharm. 2021, 20, 100401. [Google Scholar] [CrossRef]
- Costa, A.G.V.; Garcia-Diaz, D.F.; Jimenez, P.; Silva, P.I. Bioactive compounds and health benefits of exotic tropical red–black berries. J. Funct. Food 2013, 5, 539–549. [Google Scholar] [CrossRef]
- Reynertson, K.A.; Wallace, A.M.; Adachi, S.; Gil, R.R.; Yang, H.; Basile, M.J.; D’Armiento, J.; Weistein, I.B.; Kennelly, E.J. Bioactive depsides and anthocyanins from jaboticaba (Myrciaria cauliflora). J. Nat. Prod. 2006, 69, 1228–1230. [Google Scholar] [CrossRef]
- Silva, M.C.; Souza, V.B.; Thomazini, M.; Silva, E.R.; Smaniotto, T.; Carvalho, R.A.; Genovese, M.I.; Favaro-Trindade, C.S. Use of the jabuticaba (Myrciaria cauliflora) depulping residue to produce a natural pigment powder with functional properties. LWT—Food Sci. Technol. 2014, 55, 203–209. [Google Scholar] [CrossRef]
- Einbond, L.S.; Reynertson, K.A.; Luo, X.-D.; Basile, M.J.; Kennely, E.J. Anthocyanin antioxidants from edible fruits. Food Chem. 2004, 84, 23–28. [Google Scholar] [CrossRef]
- Correia, V.T.V.; Silva, P.R.; Ribeiro, C.M.S.; Ramos, A.L.C.C.; Mazzinghy, A.C.C.; Silva, V.D.M.; Júnior, A.H.O.; Nunes, B.V.; Vieira, A.L.S.; Ribeiro, L.V.; et al. An Integrative Review on the Main Flavonoids Found in Some Species of the Myrtaceae Family: Phytochemical Characterization, Health Benefits and Development of Products. Plants 2022, 11, 2796. [Google Scholar] [CrossRef] [PubMed]
- Wu, S.-B.; Dastmalchi, K.; Long, C.L.; Kennelly, E.J. Metabolite profiling of jaboticaba (Myrciaria cauliflora) and other dark-colored fruit juices. J. Agr. Food Chem. 2012, 60, 7513–7525. [Google Scholar] [CrossRef] [PubMed]
- Borges, L.L.; Martins, F.S.; Conceição, E.C.; Silveira, D. Optimization of the Spray-Drying Process for Developing Jabuticaba Waste Powder Employing Response Surface Methodology. J. Food Process Eng. 2015, 40, e12276. [Google Scholar] [CrossRef]
- Podsedek, A. Natural antioxidant and antioxidant capacity of Brassica vegetables: A review. LWT-Food Sci. Technol. 2007, 40, 1–11. [Google Scholar] [CrossRef]
- Hansuld, M.K.; Briant, A.M. The effect of citric acid on selected edible starches and flours. J. Food Sci. 1954, 19, 581–589. [Google Scholar] [CrossRef]
- Njus, D.; Kelley, P.M.; Tu, Y.-J.; Schlegel, H.B. Ascorbic acid: The chemistry underlying its antioxidant properties. Free Radic. Biol. Med. 2020, 159, 37–43. [Google Scholar] [CrossRef] [PubMed]
- Assis, S.A.; Vellosa, J.C.R.; Brunetti, I.L.; Khalil, N.M.; Leite, K.M.S.; Martins, A.B.G.; Oliveira, O.M.M.F. Antioxidant activity, ascorbic acid and total phenol of exotic fruits occurring in Brazil. Int. J. Food Sci. Nutr. 2009, 60, 439–448. [Google Scholar] [CrossRef]
- Rufino, M.S.M.; Alves, R.E.; Fernandes, F.A.N.; Brito, E.S. Free radical scavenging behavior of ten exotic tropical fruits extracts. Food Res. Int. 2011, 44, 2072–2075. [Google Scholar] [CrossRef]
- Inada, K.O.P.; Oliveira, A.A.; Revorêdo, T.B.; Martins, A.B.N.; Lacerda, E.C.Q.; Freire, A.S.; Braz, B.F.; Santelli, R.E.; Torres, A.G.; Perrone, D.; et al. Screening of the chemical composition and occurring antioxidants in jabuticaba (Myrciaria jaboticaba) and jussara (Euterpe edulis) fruits and their fractions. J. Funct. Foods 2015, 17, 422–433. [Google Scholar] [CrossRef]
- Garcia, L.G.C.; Silva, F.A.; Asquieri, E.R.; Boas, E.V.B.V.; Damiani, C. Bioactive compounds and antioxidant activity of jabuticaba var. Pingo de mel during its physiological development. Food Sci. Technol. 2019, 39, 556–562. [Google Scholar] [CrossRef]
- Sablani, S.S.; Rahman, M.S. Fundamentals of Food Dehydration. In Food Drying Science and Technology; Hui, Y.H., Clary, C., Farid, M.M., Fasina, O.O., Noomhorm, A., Welti-Chanes, J., Eds.; DEStech Publication, Inc.: Lancaster, PA, USA, 2008; Chapter 1; pp. 1–42. [Google Scholar]
- Ribeiro, J.A.; Oliveira, D.T.; Passos, M.L.; Barrozo, M.A.S. The use of nonlinearity measures to discriminate the equilibrium moisture equations for Bixa Orellana seeds. J. Food Eng. 2005, 66, 63–68. [Google Scholar] [CrossRef]
- Rodríguez-Hernández, G.R.; González-García, R.; Grajales-Lagunes, A.; Ruiz-Cabrera, M.A.; Abud-Archila, M. Spray-drying of cactus pear juice (Opuntia streptacantha): Effect on the physicochemical properties of powder and reconstituted product. Dry. Technol. 2007, 23, 955–973. [Google Scholar] [CrossRef]
- Igual, M.; Ramires, S.; Mosquera, L.H.; Martínez-Navarrete, N. Optimization of spray drying conditions for lulo (Solanum quitoense L.) pulp. Powder Technol. 2014, 256, 233–238. [Google Scholar] [CrossRef]
Disclaimer/Publisher’s Note: The statements, opinions and data contained in all publications are solely those of the individual author(s) and contributor(s) and not of MDPI and/or the editor(s). MDPI and/or the editor(s) disclaim responsibility for any injury to people or property resulting from any ideas, methods, instructions or products referred to in the content. |
© 2024 by the authors. Licensee MDPI, Basel, Switzerland. This article is an open access article distributed under the terms and conditions of the Creative Commons Attribution (CC BY) license (https://creativecommons.org/licenses/by/4.0/).











