Abstract
A low power adaptive digital baseband architecture is presented for a low-IF receiver of IEEE 802.15.4-2006. The digital section’s sampling frequency and bit width are used as knobs to reduce the power under favorable signal and interference scenarios, thus recovering the design margins introduced to handle the worst case conditions. We show that in a 0.13 μm CMOS technology, for an adaptive digital baseband section of the receiver, power saving can be up to 85% (0.49 mW against 3.3 mW) in favorable interference and signal conditions. The proposed concepts in the design are tested using a receiver test setup where the design is hosted on a FPGA.
1. Introduction
In this work we propose minimizing power consumption of digital receiver depending on the quality of signal received. The version of IEEE 802.15.4-2006 at
MHz with DSSS physical layer with OQPSK modulation specifies
dB possible variation in the received signal strength. We take advantage of this large variation by designing a power scalable baseband architecture, which adapts itself to the variation in signal and interference levels. The digital section adapts the word length (
) and sampling frequency (
). To make the receiver adaptive and low power, various design techniques are proposed in this paper. The key features of this power scalable receiver are interference detector and SNR estimator (IDSE), variable tap and variable coefficient FIR filter, an adaptivity control unit and an adaptation procedure.
MHz with DSSS physical layer with OQPSK modulation specifies
dB possible variation in the received signal strength. We take advantage of this large variation by designing a power scalable baseband architecture, which adapts itself to the variation in signal and interference levels. The digital section adapts the word length (
) and sampling frequency (
). To make the receiver adaptive and low power, various design techniques are proposed in this paper. The key features of this power scalable receiver are interference detector and SNR estimator (IDSE), variable tap and variable coefficient FIR filter, an adaptivity control unit and an adaptation procedure.Minimizing power consumption of the receiver has been done by various authors in various ways. Varying
of the receiver to minimize power requires varying number of taps in the FIR filter. Authors in [1] have proposed a variable tap FIR filter based on approximate filtering to reduce power. In doing so, authors have demonstrated power reduction by a factor of 10. Besides varying number of taps to save power, we have used minimum resolution coefficients for FIR filters to save power. Author in [2] controls the resolution of analog-to-digital converter (ADC) in receiver and digital-to-analog converter (DAC) in transmitter. The ADC resolution is controlled depending on signal-to-noise and signal-to-interference ratio and resolution of DAC is controlled based on crest factor of modulation scheme. The author has not suggested any way to measure signal-to-noise and signal-to-interference ratio. Authors in [3] have proposed reconfigurable radio for MIMO wireless systems. Authors have emphasized on optimizing number of operations, latency requirements and the architecture of signal processing elements to minimize complexity of the MIMO signal processing. Number of antennas and modulations levels are reconfigurable in the systems proposed in [3]. Adaptive word length control is used to implement an OFDM based low power wireless baseband processing system [4]. OFDM processing essentially consists of filtering, followed by an FFT engine and then an equalization block. The Error Vector Magnitude (EVM) of the received signal is continuously monitored, to adjust the word length. If EVM is above a threshold, the word length is increased to improve precision and conversely, for good EVM (low error rate), the word length is reduced. Our approach for receiver design incorporates controlling the amplitude quantization and sampling frequency depending on the SNR levels and interference presence. Our approach of scaling power by varying
and
applies the concepts of adaptive signal processing to minimize power. Traditionally, adaptive signal processing is well known for minimizing error of signal processing structures [5], whereas our objective is to minimize power while keeping the error criteria as a constraint in the optimization formulation. An adaptation procedure is proposed to facilitate adaptation in packetized communication.
of the receiver to minimize power requires varying number of taps in the FIR filter. Authors in [1] have proposed a variable tap FIR filter based on approximate filtering to reduce power. In doing so, authors have demonstrated power reduction by a factor of 10. Besides varying number of taps to save power, we have used minimum resolution coefficients for FIR filters to save power. Author in [2] controls the resolution of analog-to-digital converter (ADC) in receiver and digital-to-analog converter (DAC) in transmitter. The ADC resolution is controlled depending on signal-to-noise and signal-to-interference ratio and resolution of DAC is controlled based on crest factor of modulation scheme. The author has not suggested any way to measure signal-to-noise and signal-to-interference ratio. Authors in [3] have proposed reconfigurable radio for MIMO wireless systems. Authors have emphasized on optimizing number of operations, latency requirements and the architecture of signal processing elements to minimize complexity of the MIMO signal processing. Number of antennas and modulations levels are reconfigurable in the systems proposed in [3]. Adaptive word length control is used to implement an OFDM based low power wireless baseband processing system [4]. OFDM processing essentially consists of filtering, followed by an FFT engine and then an equalization block. The Error Vector Magnitude (EVM) of the received signal is continuously monitored, to adjust the word length. If EVM is above a threshold, the word length is increased to improve precision and conversely, for good EVM (low error rate), the word length is reduced. Our approach for receiver design incorporates controlling the amplitude quantization and sampling frequency depending on the SNR levels and interference presence. Our approach of scaling power by varying
and
applies the concepts of adaptive signal processing to minimize power. Traditionally, adaptive signal processing is well known for minimizing error of signal processing structures [5], whereas our objective is to minimize power while keeping the error criteria as a constraint in the optimization formulation. An adaptation procedure is proposed to facilitate adaptation in packetized communication.Now let us look at power consumption numbers in present day communication receivers on CMOS technologies. In [6] authors have reported IEEE 802.15.4 receiver (CC2420 chip) consuming
mA when active with
V power supply. Low power analog front end design for IEEE 802.15.4 has been proposed in a few papers [7,8] . In [7], authors proposed a front end design in
CMOS technology that consumes
mW, whereas in a more recent paper the authors in [8] proposed a front end in 90 nm technology that consumes
mW when active. Authors in [9] have discussed power consumption of various wireless technology for WPAN applications. As mentioned, authors in [9] say that the power consumption of wireless devices scales with the data rate. Typically, IEEE 802.15.4 receiver consumes
mA for
Mbps,
mA for Bluetooth at
Mbps,
mA for WLAN at
Mbps. Power consumptions in analog and digital portion separately have been reported in some papers. Authors in [10] have reported that baseband of IEEE 802.15.4 consumes
mA at
V supply (
mW) in
m technology whereas the analog portion consumes
mA. The authors in [9] have given break up of analog and digital portion of the receiver for UWB. Here analog portion consumes
mA compared with
mA of digital at
MHz.
mA when active with
V power supply. Low power analog front end design for IEEE 802.15.4 has been proposed in a few papers [7,8] . In [7], authors proposed a front end design in
CMOS technology that consumes
mW, whereas in a more recent paper the authors in [8] proposed a front end in 90 nm technology that consumes
mW when active. Authors in [9] have discussed power consumption of various wireless technology for WPAN applications. As mentioned, authors in [9] say that the power consumption of wireless devices scales with the data rate. Typically, IEEE 802.15.4 receiver consumes
mA for
Mbps,
mA for Bluetooth at
Mbps,
mA for WLAN at
Mbps. Power consumptions in analog and digital portion separately have been reported in some papers. Authors in [10] have reported that baseband of IEEE 802.15.4 consumes
mA at
V supply (
mW) in
m technology whereas the analog portion consumes
mA. The authors in [9] have given break up of analog and digital portion of the receiver for UWB. Here analog portion consumes
mA compared with
mA of digital at
MHz.We start the next section by formulating an optimization problem for minimizing power while varying
and
for the digital baseband. Following this we explain our approach to minimize power based on this optimization. Section 3 explains the simulation and interference model used in subsequent sections. Section 4 discusses various blocks of the receiver, which are designed to accommodate variable
and
and to be compatible with adaptation procedure. Section 5 discusses the implementation specific details and dynamic power estimation of the design. Section 6 discusses experimental setup and results from the experimental setup to validate the concepts. Section 7 concludes the paper.
and
for the digital baseband. Following this we explain our approach to minimize power based on this optimization. Section 3 explains the simulation and interference model used in subsequent sections. Section 4 discusses various blocks of the receiver, which are designed to accommodate variable
and
and to be compatible with adaptation procedure. Section 5 discusses the implementation specific details and dynamic power estimation of the design. Section 6 discusses experimental setup and results from the experimental setup to validate the concepts. Section 7 concludes the paper.2. Power Scalable Digital Baseband
2.1. Optimizing Power
Figure 1.
Cartoon of a typical receiver with variable
and
of the digital section.
and
of the digital section.
Figure 1.
Cartoon of a typical receiver with variable
and
of the digital section.
and
of the digital section.
Figure 1 shows a typical receiver.
is the SNR seen at the input of the ADC. It is the ratio of total signal power to the total noise power. It should not be confused with Eb/No typically used in communication theory literature. Input of the ADC, consists of the signal and the noise. We have assumed a 2nd order Butterworth bandpass filter preceding the ADC. The noise present at the input of ADC also has out of desired signal band components. This makes
negative when noise is high. The packet error rate (PER) requirement translates to BER of
[11].
and
are chosen to minimize power while achieving target BER. More formally:
BER is independent of
and
, if these parameters are chosen very high. In such a case the implementation of digital portion does not alter the SNR calculation of the receiver, i.e., SNR seen at the input of the ADC is almost the same as SNR seen at the input of the demodulator. But in doing so the digital portion is over-designed and hence wastes power. In order to achieve a given BER, there can be different combinations of
and
for a given
and interference levels, each with its own power cost. Values of
and
that minimize power as given in Equation (1) will be used. Furthermore, with varying values of
and interference, the optimal choices for
and
can vary, necessitating an adaptive resolution based digital section. For different levels of
and interference, the optimal design parameters (
) will be stored in the LUT and used to configure the receiver. Finding a closed form expression for the function “
” in Equation (2) is hard due to the non-linear relationships. Coarser the ADC quantization
, harder it becomes to analyze the signal. Hence BER is found through MATLAB simulations, for different (
) values. The power function in Equation (1) is obtained by Synopsys Prime Power for different
and
values. Finally, the optimum
and
values are obtained by a simple search over design space.
is the SNR seen at the input of the ADC. It is the ratio of total signal power to the total noise power. It should not be confused with Eb/No typically used in communication theory literature. Input of the ADC, consists of the signal and the noise. We have assumed a 2nd order Butterworth bandpass filter preceding the ADC. The noise present at the input of ADC also has out of desired signal band components. This makes
negative when noise is high. The packet error rate (PER) requirement translates to BER of
[11].
and
are chosen to minimize power while achieving target BER. More formally:
and
, if these parameters are chosen very high. In such a case the implementation of digital portion does not alter the SNR calculation of the receiver, i.e., SNR seen at the input of the ADC is almost the same as SNR seen at the input of the demodulator. But in doing so the digital portion is over-designed and hence wastes power. In order to achieve a given BER, there can be different combinations of
and
for a given
and interference levels, each with its own power cost. Values of
and
that minimize power as given in Equation (1) will be used. Furthermore, with varying values of
and interference, the optimal choices for
and
can vary, necessitating an adaptive resolution based digital section. For different levels of
and interference, the optimal design parameters (
) will be stored in the LUT and used to configure the receiver. Finding a closed form expression for the function “
” in Equation (2) is hard due to the non-linear relationships. Coarser the ADC quantization
, harder it becomes to analyze the signal. Hence BER is found through MATLAB simulations, for different (
) values. The power function in Equation (1) is obtained by Synopsys Prime Power for different
and
values. Finally, the optimum
and
values are obtained by a simple search over design space.2.2. Proposed Architecture and Functioning
Figure 2 shows the architecture of the power scalable receiver. It includes synchronization units (acquisition, tracking, phase error estimator, frequency error estimator), CORDIC based NCO(Numerically Controlled Oscillator), FIR matched filters, decimator, demodulator, etc. Other than these units, the proposed receiver has units that make it adaptive. As shown in figure, it has an interference detector and an SNR estimator (IDSE), and an adaptivity control unit that decides the
and
of different sections of the receiver. For every packet the receiver starts off with the highest resolution and sampling frequency settings during the packet preamble. Synchronization (Timing, Frequency, Phase) is done with the highest settings and simultaneously, the interference and signal levels are estimated. By the end of the preamble, a LUT containing optimal values is consulted and the optimum
and
is used for the rest of the packet reception. All sections of the receiver in Figure 2 except the VGA and ADC are implemented in HDL for power estimation.
and
of different sections of the receiver. For every packet the receiver starts off with the highest resolution and sampling frequency settings during the packet preamble. Synchronization (Timing, Frequency, Phase) is done with the highest settings and simultaneously, the interference and signal levels are estimated. By the end of the preamble, a LUT containing optimal values is consulted and the optimum
and
is used for the rest of the packet reception. All sections of the receiver in Figure 2 except the VGA and ADC are implemented in HDL for power estimation.
Figure 2.
Proposed Adaptive Receiver.
is sampling frequency and
is word length.
is sampling frequency and
is word length.
Figure 2.
Proposed Adaptive Receiver.
is sampling frequency and
is word length.
is sampling frequency and
is word length.
Figure 3 shows the state diagram of the receiver with seven states. Timing synchronization is achieved over Acquisition and Tracking. The Frequency Error Estimator (FEE) estimates the error between carrier frequency of the desired signal and frequency of the local oscillators that down-converts the signal. Similarly, Phase Error Estimator (PhEE) estimates the error in phase of input signal and down-converting signals. These estimates are used to correct the errors in frequency and phase to allow coherent demodulation of the signal. Start-Frame-Delimiter (SFD) check provides a means to check if the synchronization achieved is reliable to further demodulate the data. As shown in the figure, acq_success, track_success, FEE_success and PhEE cause transition of states during synchronization. The synchronizing units work in tandem. sync_succ signifies completion of synchronization and preamble of the packet. Detailed architecture of these synchronization units can be found in [12,13,14]. The decimator, demodulator and detector work in two different settings of
and
. The first setting as shown in the Figure 3 (
Msps,
-bit) is the setting of word length and sampling frequency for the receiver during preamble of the packet. The second setting (
,
) applies for rest of the packet, i.e., PHY service data unit (PSDU).
and
. The first setting as shown in the Figure 3 (
Msps,
-bit) is the setting of word length and sampling frequency for the receiver during preamble of the packet. The second setting (
,
) applies for rest of the packet, i.e., PHY service data unit (PSDU).
Figure 3.
State Diagram of Receiver. STATES: (1) Acquisition; (2) Tracking; (3) Frequency error estimation (FEE); (4) Phase error estimation (PhEE); (5) Decimate, demodulate and detect at
and
; (6) Start-Frame-Delimiter (SFD) check; (7) Decimate, demodulate and detect at
and
.
and
; (6) Start-Frame-Delimiter (SFD) check; (7) Decimate, demodulate and detect at
and
.
Figure 3.
State Diagram of Receiver. STATES: (1) Acquisition; (2) Tracking; (3) Frequency error estimation (FEE); (4) Phase error estimation (PhEE); (5) Decimate, demodulate and detect at
and
; (6) Start-Frame-Delimiter (SFD) check; (7) Decimate, demodulate and detect at
and
.
and
; (6) Start-Frame-Delimiter (SFD) check; (7) Decimate, demodulate and detect at
and
.
The preamble is a sequence of symbol “1” followed by two SFD symbols as shown in the Figure 4. The figure shows a typical packet structure and the average time taken by various synchronization steps during the preamble when
is high. The synchronization designed for this receiver works on the continuous flowing sampled data from ADC. Figure 5(a) shows the typical buffered implementation of a receiver. Here, various signal processing blocks inside the receiver access the data from the buffer. This allows the receiver algorithms to reuse the data and gives better convergence performance. However, our approach for the receiver design does not use any buffer to save area and power. Figure 5(b) shows the non-buffered approach. Here, besides passing information regarding completion of its functioning as discussed above, every module passes a sample index to the subsequent module. For, e.g., acquisition unit passes acq_success and a count track_address to the tracking block once acquisition is done. The tracking unit initiates a counter when acq_success is received. The counter counts number of samples and the tracking begins when the counter reaches the count track_address. Once the synchronization is done (
) is raised, all synchronization blocks turn off and receiver data-path (NCO, Matched filters, decimator, demodulator and detector) adjusts itself to new settings of
and 
is high. The synchronization designed for this receiver works on the continuous flowing sampled data from ADC. Figure 5(a) shows the typical buffered implementation of a receiver. Here, various signal processing blocks inside the receiver access the data from the buffer. This allows the receiver algorithms to reuse the data and gives better convergence performance. However, our approach for the receiver design does not use any buffer to save area and power. Figure 5(b) shows the non-buffered approach. Here, besides passing information regarding completion of its functioning as discussed above, every module passes a sample index to the subsequent module. For, e.g., acquisition unit passes acq_success and a count track_address to the tracking block once acquisition is done. The tracking unit initiates a counter when acq_success is received. The counter counts number of samples and the tracking begins when the counter reaches the count track_address. Once the synchronization is done (
) is raised, all synchronization blocks turn off and receiver data-path (NCO, Matched filters, decimator, demodulator and detector) adjusts itself to new settings of
and 
Figure 4.
Preamble and timing for various synchronization units. Figure shows how various synchronization blocks work in tandem.
=
MHz,
=
-bit.
—1 to 30 MHz.
—1 to 8 bits.
=
MHz,
=
-bit.
—1 to 30 MHz.
—1 to 8 bits.
Figure 4.
Preamble and timing for various synchronization units. Figure shows how various synchronization blocks work in tandem.
=
MHz,
=
-bit.
—1 to 30 MHz.
—1 to 8 bits.
=
MHz,
=
-bit.
—1 to 30 MHz.
—1 to 8 bits.
Changing sampling frequency requires the estimates for synchronization computed during preamble to be preserved. Values of the estimate depend on the sampling frequency [13]. The frequency estimate needs to be scaled and the phase continuity has to be preserved. The path from ADC output to the input of the demodulator has a latency of a number of clock cycles due to FIR, CORDIC pipelines, decimator, etc., as shown in Figure 6. When the sampling frequency of the receiver is changed after the packet preamble, the delay elements in these contain samples sampled at the highest sampling frequency used during preamble. The receiver is very sensitive to timing error when the sampling frequency is very low. For, e.g., for sampling frequency of 2 Msps, every pulse is sampled twice. In such a case, an error of one sample results in offset by half a pulse. Hence the delay across the data-path needs to be carefully accounted, particularly, when the sampling frequency is low. While changing
and
, it is proposed to discard all samples in delay elements across the receiver. This is due to the fact that the samples in delay elements across the receiver is sampled at higher sampling frequency than the new assigned
and
for the data duration. Delay elements are reset when the adap_ctrl goes high. As shown in Figure 6, once the sync_succ goes high, demodulator waits until the sample_index reaches start_index. Value of start_index is equal to number of clock cycle delay from output of ADC to demodulator.
and
, it is proposed to discard all samples in delay elements across the receiver. This is due to the fact that the samples in delay elements across the receiver is sampled at higher sampling frequency than the new assigned
and
for the data duration. Delay elements are reset when the adap_ctrl goes high. As shown in Figure 6, once the sync_succ goes high, demodulator waits until the sample_index reaches start_index. Value of start_index is equal to number of clock cycle delay from output of ADC to demodulator.
Figure 5.
Buffered and non-buffered implementation of the receiver.
Figure 5.
Buffered and non-buffered implementation of the receiver.

Figure 6.
Latency in data-path and preserving timing.
Figure 6.
Latency in data-path and preserving timing.

3. Determining Optimal LUT
As discussed in previous section, we use simulations to determine the combinations of quantization parameters that guarantee the BER for Equation (2). Thus for each input
and interference, we evaluate BER of the receiver for several different settings of
and
.
and interference, we evaluate BER of the receiver for several different settings of
and
.3.1. Simulation Model
We use the fixed point toolbox of Matlab for quantization simulations. The simulation model used is shown in Figure 7. As we see in the simulation model signal, noise and interference pass through the channel select filter. The variable gain amplifier (VGA), upon getting feedback from digital portion of the receiver, re-sizes signal levels to full scale of ADC. Noise levels are controlled by the SNR control to maintain a
at the input of ADC. Amplitude and time resolutions of ADC and digital baseband sections are variable.
at the input of ADC. Amplitude and time resolutions of ADC and digital baseband sections are variable.
Figure 7.
Simulation Model,
is the variable gain of VGA,
and
are sampling frequency and bitwidth respectively.
is the variable gain of VGA,
and
are sampling frequency and bitwidth respectively.
Figure 7.
Simulation Model,
is the variable gain of VGA,
and
are sampling frequency and bitwidth respectively.
is the variable gain of VGA,
and
are sampling frequency and bitwidth respectively.
3.2. Interference Modeling
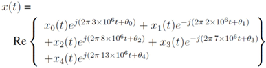
The standard specifies four interfering channels [15]. Channels adjacent to the desired channel transmit at same power level as the desired,
dBm, whereas alternate channels should be considered transmitting
dBm. Adjacent channels are
MHz apart from the desired channel on either side. Similarly, alternate channels are
MHz apart. For an IF of
MHz [16], input to the ADC can be given as
is the desired baseband signal.
and
are adjacent baseband signals.
and
are alternate baseband signals.
dBm, whereas alternate channels should be considered transmitting
dBm. Adjacent channels are
MHz apart from the desired channel on either side. Similarly, alternate channels are
MHz apart. For an IF of
MHz [16], input to the ADC can be given as
is the desired baseband signal.
and
are adjacent baseband signals.
and
are alternate baseband signals.BER simulation to find all combination of
and
can be very time consuming [17]. Instead we have developed a technique to reduce the computation time. Initially we find the variance of correlations at the output of correlation demodulator. We use the same variance measure in our subsequent simulations with different receiver settings. We found that this technique reduces the simulation complexity lot in comparison with doing BER simulations with bandpass signals.
and
can be very time consuming [17]. Instead we have developed a technique to reduce the computation time. Initially we find the variance of correlations at the output of correlation demodulator. We use the same variance measure in our subsequent simulations with different receiver settings. We found that this technique reduces the simulation complexity lot in comparison with doing BER simulations with bandpass signals.4. Implementation Details
4.1. Interference Detector and
Estimator (IDSE)
As mentioned in previous sections, central to the adaptive receiver is the Interference detector and SNR estimator. IDSE is active during the preamble. Power in adjacent, alternate and desired signal bands is measured non-coherently.
is the power measured in adjacent channels,
is the total power in alternate channels and
is the power in the desired signal’s channel.
is the power measured in adjacent channels,
is the total power in alternate channels and
is the power in the desired signal’s channel.4.1.1. Interference Detector
Proximity of the adjacent channel to the desired channel makes it more harmful to the signal than the alternate channels.
As can be seen from Figure 8, IDSE has three inputs: I and Q inputs from ADC and a signal that indicates if detection or estimation should be done. This input signal has three states: detect alternate, detect adjacent and estimate
. For all three states, setting of NCO is changed to down-convert adjacent or alternate or desired signal. IDSE consists of two arms, one each for one adjacent or alternate channel. Only one arm is active during
estimation. Both arms have a CORDIC NCO unit to down-convert the interference or signal. Output of detectors/estimator goes to a comparator that compares it with threshold. For interference detection, output of comparators is 1-bit to indicate presence of interferences. In estimator mode, comparator finds the range in which the measured
falls. LUT has SNR steps with difference of
dB. Since SNR variation can be up-to
dB so it has
SNR steps, requiring 6-bit index. There are four possible combinations from interference detection: Alternate present/absent and Adjacent present/absent, it is indicated by
bits. So, LUT is indexed by
-bits.
. For all three states, setting of NCO is changed to down-convert adjacent or alternate or desired signal. IDSE consists of two arms, one each for one adjacent or alternate channel. Only one arm is active during
estimation. Both arms have a CORDIC NCO unit to down-convert the interference or signal. Output of detectors/estimator goes to a comparator that compares it with threshold. For interference detection, output of comparators is 1-bit to indicate presence of interferences. In estimator mode, comparator finds the range in which the measured
falls. LUT has SNR steps with difference of
dB. Since SNR variation can be up-to
dB so it has
SNR steps, requiring 6-bit index. There are four possible combinations from interference detection: Alternate present/absent and Adjacent present/absent, it is indicated by
bits. So, LUT is indexed by
-bits.
Figure 8.
Non-coherent interference detection procedure.
Figure 8.
Non-coherent interference detection procedure.

Figure 9(a) and Figure 9(b) are frequency responses of FIR filters used in IDSE and data-path of the receiver. The filter used for IDSE has a sharper roll-off. Interference from each interfering channel is down-converted to baseband and filtered by this filter. It can be seen from the filter’s frequency response that the attenuation at
MHz and
MHz distance is approximately
dB. When measuring the desired signal power, due to attenuation by the matched filter, adjacent signal level falls to
dB and alternate signal level falls to
dB. These levels of interference are quite low and do not corrupt the signal power estimation. Whereas, while measuring interference power, signal power from desired band can affect the interference power measurement. This is due to the fact that the maximum possible signal power is
dBm and it can spill to neighboring bands. At such high signal level even after the attenuation by the matched filter, its strength in neighboring channels is high enough to affect interference power measurement.
MHz and
MHz distance is approximately
dB. When measuring the desired signal power, due to attenuation by the matched filter, adjacent signal level falls to
dB and alternate signal level falls to
dB. These levels of interference are quite low and do not corrupt the signal power estimation. Whereas, while measuring interference power, signal power from desired band can affect the interference power measurement. This is due to the fact that the maximum possible signal power is
dBm and it can spill to neighboring bands. At such high signal level even after the attenuation by the matched filter, its strength in neighboring channels is high enough to affect interference power measurement.
Figure 9.
Frequency Response of FIR Filters.
Figure 9.
Frequency Response of FIR Filters.

Let
and
be the in-phase and
and
are the quadrature phase adjacent channels. These terms are analogously defined for alternate channels too.
is the gain of VGA [18,19]. Measured power in adjacent and alternate channels (
) can be defined as:
where,
and
be the in-phase and
and
are the quadrature phase adjacent channels. These terms are analogously defined for alternate channels too.
is the gain of VGA [18,19]. Measured power in adjacent and alternate channels (
) can be defined as:
If
exceeds a-priori calculated threshold,
, then adjacent interference is detected. Similarly,
is the threshold what is compared with
. Figure 10 shows the effect of desired signal power on adjacent channel interference detection. The figure is obtained for front end noise figure (
) of
dB [20].
is the normalized threshold for detecting presence of adjacent interference. When signal power is large, then even in absence of adjacent interference,
can exceed
.
in figure is probability of false adjacent interference detection.
increases with increase in desired signal strength. When signal power is more than
dBm, then even in absence of adjacent interference
exceeds
. As shown later, when
is high (
),
and
settings of receiver is a minimum irrespective of outcome of interference detection. Effect of
is less severe on detecting alternate interference as alternate channels are farther in frequency domain. Variance of interference detector reduces with increase in number of pulses utilized for detection. Interference detection is done over four half sine pulses, as the variance does not change much for further increase in duration of detection.
exceeds a-priori calculated threshold,
, then adjacent interference is detected. Similarly,
is the threshold what is compared with
. Figure 10 shows the effect of desired signal power on adjacent channel interference detection. The figure is obtained for front end noise figure (
) of
dB [20].
is the normalized threshold for detecting presence of adjacent interference. When signal power is large, then even in absence of adjacent interference,
can exceed
.
in figure is probability of false adjacent interference detection.
increases with increase in desired signal strength. When signal power is more than
dBm, then even in absence of adjacent interference
exceeds
. As shown later, when
is high (
),
and
settings of receiver is a minimum irrespective of outcome of interference detection. Effect of
is less severe on detecting alternate interference as alternate channels are farther in frequency domain. Variance of interference detector reduces with increase in number of pulses utilized for detection. Interference detection is done over four half sine pulses, as the variance does not change much for further increase in duration of detection.
Figure 10.
Performance of Interference detector for
=
dB. Minimum
=
dBm. NF is calculated for minimum
. As figure shows, large desired signal power hinders accurate interference detection. But as evident from Table 1, accurate interference detection is needed until
is
dB above minimum.
of
dB corresponds to
dB
.
=
dB. Minimum
=
dBm. NF is calculated for minimum
. As figure shows, large desired signal power hinders accurate interference detection. But as evident from Table 1, accurate interference detection is needed until
is
dB above minimum.
of
dB corresponds to
dB
.
Figure 10.
Performance of Interference detector for
=
dB. Minimum
=
dBm. NF is calculated for minimum
. As figure shows, large desired signal power hinders accurate interference detection. But as evident from Table 1, accurate interference detection is needed until
is
dB above minimum.
of
dB corresponds to
dB
.
=
dB. Minimum
=
dBm. NF is calculated for minimum
. As figure shows, large desired signal power hinders accurate interference detection. But as evident from Table 1, accurate interference detection is needed until
is
dB above minimum.
of
dB corresponds to
dB
.
4.1.2. SNR Estimation
Similar to power measurement of interferences, power measured in desired signal channel is
If
and
are given by
, where
is AWGN, then
Since signal and noise are uncorrelated,
,
and
are given by
, where
is AWGN, then
,
Thus to measure
, Equations (8) and (9) can be used. Front end of the receiver is designed for a constant noise figure. Thus the worst case variance of noise
contributed by the front end is known. Hence, SNR can be estimated using Equation (11).
estimator is ON for one symbol duration.
, Equations (8) and (9) can be used. Front end of the receiver is designed for a constant noise figure. Thus the worst case variance of noise
contributed by the front end is known. Hence, SNR can be estimated using Equation (11).
estimator is ON for one symbol duration.4.2. CORDIC Down-Converter and Phase Generation for CORDIC Blocks
Figure 11.
Variable phase generation for CORDIC units. Such units are used in NCO to downconvert the IF signal to baseband, In interference estimators to down-convert interferences to baseband and in adaptive FIR unit to generate sinusoid coefficients. Input to this unit is only
, which is fed from LUT.
, which is fed from LUT.
Figure 11.
Variable phase generation for CORDIC units. Such units are used in NCO to downconvert the IF signal to baseband, In interference estimators to down-convert interferences to baseband and in adaptive FIR unit to generate sinusoid coefficients. Input to this unit is only
, which is fed from LUT.
, which is fed from LUT.
CORDIC is used in rotation mode to down-convert the signal from IF to baseband [21]. Change in sampling frequency requires variable phase generation for CORDIC unit. Figure 11 shows the variable phase generator for various CORDIC/NCO units mentioned above. Input to this block is sampling frequency provided by LUT. We have used 11 pipelined stage of CORDIC for IF to baseband conversion. The phase is represented by
bits. Number of pipeline stages and word length for phase representation are optimized based on analysis in [22], with the constraint that errors introduced by quantization in above two parameters should not corrupt a full length packet.
is the estimated frequency error generated by FEE.
is the phase error estimated by PhEE.
bits. Number of pipeline stages and word length for phase representation are optimized based on analysis in [22], with the constraint that errors introduced by quantization in above two parameters should not corrupt a full length packet.
is the estimated frequency error generated by FEE.
is the phase error estimated by PhEE.4.3. FIR Filter, Decimator and Demodulator
4.3.1. Adaptive FIR Filter
FIR filter in the receiver chain is a matched filter to the baseband half-sine pulse. Frequency response of the filter is shown in Figure 9(b). Figure 12 shows the structure of the adaptive FIR filter. As shown, the adaptive FIR structure has one CORDIC unit for coefficient generation, a theta generator for CORDIC unit, one central controller, and
taps (corresponding to maximum sampling frequency). The CORDIC unit generates FIR coefficients that are input to multipliers. The theta generator supplies phase values to CORDIC unit to generate coefficients. Generating FIR coefficients with CORDIC makes it more amenable to adaptive architecture. The phase values depend on
. Resolution of coefficients are controlled based on
.
taps (corresponding to maximum sampling frequency). The CORDIC unit generates FIR coefficients that are input to multipliers. The theta generator supplies phase values to CORDIC unit to generate coefficients. Generating FIR coefficients with CORDIC makes it more amenable to adaptive architecture. The phase values depend on
. Resolution of coefficients are controlled based on
.
Figure 12.
Adaptive FIR Filter. Controller controls the multiplexer to select which input to pass on to next delay element. A filter tap is deactivated by feeding a zero to its delay elements. Based on
controller controls the word length of FIR coefficients. Multipliers are Baugh–Wooley multipliers.
controller controls the word length of FIR coefficients. Multipliers are Baugh–Wooley multipliers.
Figure 12.
Adaptive FIR Filter. Controller controls the multiplexer to select which input to pass on to next delay element. A filter tap is deactivated by feeding a zero to its delay elements. Based on
controller controls the word length of FIR coefficients. Multipliers are Baugh–Wooley multipliers.
controller controls the word length of FIR coefficients. Multipliers are Baugh–Wooley multipliers.
Tap coefficients are sampled half sinusoid. Frequency response of filter is shown in Figure 9(b). Since the tap coefficients are symmetric, the filter has folded architecture with number of taps equal to half of number of coefficients. Number of taps need to be adjusted with change in sampling frequency to keep it matched. Each tap in the filter consists of a multiplexed delay element, an adder and a multiplier. The multiplexer is a
multiplexer. Depending on the sampling frequency, either a zero or output of the preceding delay element or input to the FIR filter is multiplexed to the input of delay element. As shown in the figure, when the sampling frequency is
Msps, delay elements numbered 14 and 15 are active and all other delay elements have zero inputs. Multipliers corresponding to inactive taps get zeros at its input and hence have no dynamic power. The carry save adder adds outputs of the multipliers.
multiplexer. Depending on the sampling frequency, either a zero or output of the preceding delay element or input to the FIR filter is multiplexed to the input of delay element. As shown in the figure, when the sampling frequency is
Msps, delay elements numbered 14 and 15 are active and all other delay elements have zero inputs. Multipliers corresponding to inactive taps get zeros at its input and hence have no dynamic power. The carry save adder adds outputs of the multipliers.4.3.2. Decimator, Demodulator and Detector
Decimator in the data-path is an adaptive decimator. It decimates incoming samples depending on the sampling frequency. The demodulator is the 16-ary quasi orthogonal correlation demodulator. It correlates the incoming samples with the stored modulation symbols. Output of demodulator is 16 correlation values. The detector finds the maximum of these correlation values and declares it as the symbol arrived.
5. Implementation and Power Estimation
The design is coded in verilog HDL. Once pre-synthesis simulations are successful, RTL is synthesized for ASIC and FPGA implementation. The power estimation and comparison is done for ASIC implementation and design validation is done on FPGA platform. For power estimation, it is synthesized in
-nm UMC CMOS process for maximum sampling frequency of
Msps using Synopsys Design Compiler. The power estimation is done once post synthesis simulation is successful. Synopsys Prime Power is used for estimating dynamic power. Input to Prime Power is the VCD (Value Change Dump) file generated from verilog simulation and the synthesized netlist. The VCD file contains all signal transition that occurred during the simulation. For generating VCD file, input to the simulator are the synthesized netlist, test vectors generated in MATLAB and SDF (Standard Delay Format) file used for synthesis.
-nm UMC CMOS process for maximum sampling frequency of
Msps using Synopsys Design Compiler. The power estimation is done once post synthesis simulation is successful. Synopsys Prime Power is used for estimating dynamic power. Input to Prime Power is the VCD (Value Change Dump) file generated from verilog simulation and the synthesized netlist. The VCD file contains all signal transition that occurred during the simulation. For generating VCD file, input to the simulator are the synthesized netlist, test vectors generated in MATLAB and SDF (Standard Delay Format) file used for synthesis.
Figure 13.
Word length (
) control, multi-bit to 1-bit control, on signal level and word level.
) control, multi-bit to 1-bit control, on signal level and word level.
Figure 13.
Word length (
) control, multi-bit to 1-bit control, on signal level and word level.
) control, multi-bit to 1-bit control, on signal level and word level.
Figure 13 shows a quantizer in hardware. For an input with word length N, quantizer shifts the input to right by
with sign of the word preserved as shown in Figure 13 for
equal to one. By doing this, higher order bits do not see lot of switching when they are processed further in the receiver. There will be activity in the lower order bits of the word. Hence with smaller
, there is saving in dynamic power.
with sign of the word preserved as shown in Figure 13 for
equal to one. By doing this, higher order bits do not see lot of switching when they are processed further in the receiver. There will be activity in the lower order bits of the word. Hence with smaller
, there is saving in dynamic power.Table 1 shows the estimated power for various
and
combinations for a given
under different conditions of interference. Case-I corresponds to the case when there is no interference and only noise is present in the system. Case-II corresponds to the case when there is no interference on the alternate channels and only adjacent interference is present with noise. Case-III is the case where adjacent channels are absent, whereas, alternate channels and noise are present in the channel. In case-IV all interferences are present along with noise. Every
and
combination in the table satisfies the required BER. The estimated power is also shown for all combinations. The combination of
and
that consumes lowest power for a particular interference and
condition is put into the LUT. Such entries are listed under gray shading. The power is estimated for maximum length packet. Average power (
) is calculated as follows:
is the average power consumption during preamble and SFD.
is the average power during data. As shown in Figure 4,
is preamble and SFD duration. It is
symbol long and data is
symbols long. The power spent during synchronization is fixed (
=
mW) and depends on
and
settings for the data duration. In order to have a simple clock generator, the operating sampling frequency (
) for the design are integer division of
Msps. They are
,
,
,
,
,
,
, and
Msps respectively. As shown in Table 1, the sampling frequencies are quantized to the next higher operating sampling frequency. For, e.g., sampling frequency of
Msps is raised to
Msps. We can see from the table, maximum power consumed by the design is
mW. The lowest power consumed by the design as can be seen from the table is
mW, when
is
Msps and
is
-bit. At this sampling frequency, there is only one multiplier active in the FIR filter.
of 2 Msps means the signal with IF of 3 MHz is under-sampled. In spite of under-sampling and coarsely quantizing (
-bit) the signal, specified BER is achieved when
is high. Thus we see that saving in power can be approximately seven times when
is high and interferences are absent.
and
combinations for a given
under different conditions of interference. Case-I corresponds to the case when there is no interference and only noise is present in the system. Case-II corresponds to the case when there is no interference on the alternate channels and only adjacent interference is present with noise. Case-III is the case where adjacent channels are absent, whereas, alternate channels and noise are present in the channel. In case-IV all interferences are present along with noise. Every
and
combination in the table satisfies the required BER. The estimated power is also shown for all combinations. The combination of
and
that consumes lowest power for a particular interference and
condition is put into the LUT. Such entries are listed under gray shading. The power is estimated for maximum length packet. Average power (
) is calculated as follows:
is the average power consumption during preamble and SFD.
is the average power during data. As shown in Figure 4,
is preamble and SFD duration. It is
symbol long and data is
symbols long. The power spent during synchronization is fixed (
=
mW) and depends on
and
settings for the data duration. In order to have a simple clock generator, the operating sampling frequency (
) for the design are integer division of
Msps. They are
,
,
,
,
,
,
, and
Msps respectively. As shown in Table 1, the sampling frequencies are quantized to the next higher operating sampling frequency. For, e.g., sampling frequency of
Msps is raised to
Msps. We can see from the table, maximum power consumed by the design is
mW. The lowest power consumed by the design as can be seen from the table is
mW, when
is
Msps and
is
-bit. At this sampling frequency, there is only one multiplier active in the FIR filter.
of 2 Msps means the signal with IF of 3 MHz is under-sampled. In spite of under-sampling and coarsely quantizing (
-bit) the signal, specified BER is achieved when
is high. Thus we see that saving in power can be approximately seven times when
is high and interferences are absent.
Table 1.
Sampling frequency (Msps) and power (mW) for different interference and
values for the receiver.
values for the receiver.
| *Interference attenuation | No. of bits
![]() | Sampling Frequency (
/ ) in Msps , Power in mW | ||||||
|---|---|---|---|---|---|---|---|---|
= dB | = dB | = dB | = dB | = dB | = dB | dB | ||
| Case-I No interference Only noise | 1 | * | 10/10, 1.48 | 7/10, 1.48 | 4/5, 0.85 | 1/1 0.49 | 1/1, 0.49 | 1/1 0.49 |
| 2 | 13/15, 2.49 | 7/10, 1.76 | 4/5, 0.96 | 1/1, 0.49 | 1/1, 0.49 | 1/1, 0.49 | 1/1, 0.49 | |
| 4 | 13/15, 2.92 | 8/10, 2.11 | 1/1, 0.50 | 1/1, 0.50 | 1/1, 0.50 | 1/1, 0.50 | 1/1, 0.50 | |
| 8 | 13/15, 3.30 | 3/3, 0.75 | 1/1, 0.52 | 1/1, 0.52 | 1/1, 0.52 | 1/1, 0.52 | 1/1, 0.52 | |
| Case-II No Alternate Adjacent – Standard Specific | 1 | * | * | * | * | 11/15, 2.5 | 1/1, 0.49 | 1/1, 0.49 |
| 2 | * | * | * | * | 9/10, 1.76 | 1/1, 0.49 | 1/1, 0.49 | |
| 4 | 22/30, 6 | 8/10, 2.11 | 8/10, 2.11 | 7/10, 2.11 | 7/10, 2.11 | 1/1, 0.50 | 1/1, 0.50 | |
| 8 | 12/15, 3.3 | 8/10, 2.7 | 8/10, 2.7 | 7/10, 2.7 | 5/5, 1.23 | 1/1, 0.52 | 1/1, 0.52 | |
| Case-III No Adjacent Alternate – Standard Specific | 1 | * | * | * | 23/30, 4.18 | 9/10, 1.47 | 1/1, 0.49 | 1/1, 0.49 |
| 2 | * | * | 25/30, 5.0 | 19/30, 5.0 | 6/6, 1.5 | 1/1, 0.49 | 1/1, 0.49 | |
| 4 | 13/15, 2.92 | 12/15, 2.92 | 4/5, 1.07 | 4/5, 1.07 | 3/3, 0.71 | 1/1, 0.50 | 1/1, 0.50 | |
| 8 | 14/15, 3.3 | 7/10, 2.7 | 4/5, 1.19 | 4/5, 1.23 | 3/3, 0.75 | 1/1, 0.52 | 1/1, 0.52 | |
| Case-IV Standard Specific | 1 | * | * | * | * | 15/15, 2.15 | 5/5, 0.85 | 1/1, 0.49 |
| 2 | * | * | * | * | 14/15, 2.49 | 3/3, 0.66 | 1/1, 0.49 | |
| 4 | 23/30, 6.0 | 13/15, 2.92 | 13/15, 2.92 | 7/10, 2.11 | 6/6, 1.19 | 1/1, 0.50 | 1/1, 0.50 | |
| 8 | 14/15, 3.3 | 13/15, 3.3 | 7/10, 2.7 | 7/10, 2.7 | 6/6, 1.38 | 1/1, 0.52 | 1/1, 0.52 | |
* indicate that the corresponding word length at particular
will not result in acceptable BER; Cells in gray shade are the ones fed to the LUT in the receiver.
will not result in acceptable BER; Cells in gray shade are the ones fed to the LUT in the receiver.Looking into Table 1, when there is no interference (Case-I), the variation in power is from
mW to
mW. It suggests that even with a high-order interference reject filter in RF chain of the receiver, just by
estimation power saving of the order of 5 times is possible. It is evident from the Table 1 that when
is very high (
dB),
of
Msps and
of
-bit works for all interference condition. Thus inaccuracy in interference detection is tolerable at very high
as mentioned in a previous section on IDSE. Since this is the power averaged over the maximum packet length possible, the lowest power values is a function of packet length. The average packet length depends on the application and usage. The power numbers for different packet length can be obtained from Equation (12). One more point to consider while looking at the power numbers is, the numbers do not include the possible power savings that can be obtained from a variable resolution ADC. A variable resolution and variable sampling rate ADC can take advantage of different possible
and
settings to lower the power consumption.
mW to
mW. It suggests that even with a high-order interference reject filter in RF chain of the receiver, just by
estimation power saving of the order of 5 times is possible. It is evident from the Table 1 that when
is very high (
dB),
of
Msps and
of
-bit works for all interference condition. Thus inaccuracy in interference detection is tolerable at very high
as mentioned in a previous section on IDSE. Since this is the power averaged over the maximum packet length possible, the lowest power values is a function of packet length. The average packet length depends on the application and usage. The power numbers for different packet length can be obtained from Equation (12). One more point to consider while looking at the power numbers is, the numbers do not include the possible power savings that can be obtained from a variable resolution ADC. A variable resolution and variable sampling rate ADC can take advantage of different possible
and
settings to lower the power consumption.Table 2 shows break-up of gate count of the design in percentage. Total gate count of the design is approximately
K gates. We see that tracking unit has largest gate count. We see that expense of adaptivity and lowering power is
% additional gate count of IDSE unit. The design contains approximately
% memory elements (ROM). The design has many Baugh–Wooley 2’s complement signed multipliers in it, it is by virtue of many FIR filters in IDSE unit and in data-path. Though synchronization units consume more area as shown in Table 2, average power consumed by synchronization units is very less. Considering this, we realize that adding any component to data-path requires more attention than adding a component to synchronization unit. Finally, Figure 14 shows the power consumption as a function of
and
, as was discussed while formulating the design problem in Equation (1).
K gates. We see that tracking unit has largest gate count. We see that expense of adaptivity and lowering power is
% additional gate count of IDSE unit. The design contains approximately
% memory elements (ROM). The design has many Baugh–Wooley 2’s complement signed multipliers in it, it is by virtue of many FIR filters in IDSE unit and in data-path. Though synchronization units consume more area as shown in Table 2, average power consumed by synchronization units is very less. Considering this, we realize that adding any component to data-path requires more attention than adding a component to synchronization unit. Finally, Figure 14 shows the power consumption as a function of
and
, as was discussed while formulating the design problem in Equation (1).
Table 2.
Estimated gate count and design summary from ASIC simulation.
| Blocks and Gate count in % | |||
| IDSE | 16 | Tracking | 36 |
| Match Filters | 19.8 | Acquisition | 5.7 |
| PhEE | 4.95 | Demod | 4.83 |
| ROM | 4.1 | FEE | 4 |
| NCO | 2.4 | Detector | 1. |
| Theta gen. | 0.86 | ||
| Designed for | IEEE 802.15.4-2006 |
| Technology | UMC 130 nm CMOS |
| Gate count | ~606 K gates |
| Area | ~2.42 mm ![]() |
| Power | variable, 0.49–3.3 mW |
| Frequency | variable, 1–30 Msps |
Figure 14.
Power as a function of
and
, Equation (1). Variation in power consumption of the design in seen to be
%.
and
, Equation (1). Variation in power consumption of the design in seen to be
%.
Figure 14.
Power as a function of
and
, Equation (1). Variation in power consumption of the design in seen to be
%.
and
, Equation (1). Variation in power consumption of the design in seen to be
%.
6. Experimental Results and Discussions
The design is implemented on a Xilinx Virtex-II pro FPGA [23] and is tested with a receiver test setup. The test setup includes Vector Signal Generators (VSG), Oscilloscope, FPGA board, spectrum analyzer and a PC with software as shown in Figure 15(a). Figure 15(b) shows the FPGA board with RF daughterboard. RF daughterboard is made using discrete components and works at center frequency of
GHz. Inputs are modulated RF and local oscillator signals. The RF input from signal generator is downconverted to IF and digitized before presenting it to the FPGA board. The FPGA does the further processing in the digital to extract the packet. Packet error and packet loss are measured inside the FPGA. This is done by transmitting a packet with 20 known symbols by triggering the VSG repeatedly. Demodulated symbols are compared with the stored sequence of symbols in the FPGA. The packet error counter (packet_err_count) is incremented with every packet error. For packet loss measurement, number of packet transmitted is counted and compared with the number of sync_succ occurred, i.e., number of time synchronization is achieved.
GHz. Inputs are modulated RF and local oscillator signals. The RF input from signal generator is downconverted to IF and digitized before presenting it to the FPGA board. The FPGA does the further processing in the digital to extract the packet. Packet error and packet loss are measured inside the FPGA. This is done by transmitting a packet with 20 known symbols by triggering the VSG repeatedly. Demodulated symbols are compared with the stored sequence of symbols in the FPGA. The packet error counter (packet_err_count) is incremented with every packet error. For packet loss measurement, number of packet transmitted is counted and compared with the number of sync_succ occurred, i.e., number of time synchronization is achieved.
Figure 15.
Experimental setup and RF board with FPGA.
Figure 15.
Experimental setup and RF board with FPGA.

Figure 16 shows snapshot of the baseband signal after the low-IF to baseband downconverter from the experimental setup. The snapshot is taken from within FPGA using Chipscope [23]. Characteristic of the signal changes midway. First half of the snapshot shows the preamble duration. The signal has high dynamic range during this period, when synchronization and IDSE units are active. Second half of the signal has lesser dynamic range. It is the duration of the packet that contains the data. The data duration shown here is captured when the input to the receiver is 1-bit and sampled at 2 Msps.
Figure 16.
Baseband signal in the receiver during a packet reception from experimental setup.
Figure 16.
Baseband signal in the receiver during a packet reception from experimental setup.

Figure 17 shows the amplitude vs. time of the signal during various instances of packet reception. Time is in micro seconds and amplitude is the digitally quantized signal. Figure 17(a) shows the baseband signal with frequency and phase error, corresponding to section labeled “A” in Figure 16. Figure 17(b) shows the baseband signal after frequency and phase error correction, corresponding to section “B” labeled in Figure 16. The signal shown here is very close to the ideal baseband signal inside the receiver, since input noise is low. The signal has very high resolution, as is evident from the smoothness of the sinusoid pulses. Smoother high resolution signals cause more switching and hence consume more power. Baseband signal during sampling frequency and bitwidth transition is shown in Figure 17(c). As can be seen, the smooth sinusoids transform to less dynamic low resolution signal. Content of registers in the datapath is discarded during this period. Figure 17(d) shows the baseband signal during data period of the packet. As evident from the figure, signal has low amplitude resolution and is not as smooth as signals captured in Figure 17(b). Signal shown in figure is captured when input to the digital receiver is
-bit and the clock frequency is
Msps. The power consumption of the receiver is less when the receiver processes such low resolution (time and amplitude) signal.
-bit and the clock frequency is
Msps. The power consumption of the receiver is less when the receiver processes such low resolution (time and amplitude) signal.
Figure 17.
Baseband signals from experimental setup, at various instances of a packet, obtained at the output of low-IF to baseband downconverter.
Figure 17.
Baseband signals from experimental setup, at various instances of a packet, obtained at the output of low-IF to baseband downconverter.

Figure 18(a) and Figure 18(b) shows the power break-up of the synchronization and data-path sections. The power is averaged over the maximum packet length. The power break up shown is obtained for
equal to 8-bit. As can be seen that power consumption by the synchronization unit is much smaller than the units in the data path as they are “ON” for much shorter duration. Among the synchronization units, the fine time tracking unit consumes the most power as it contains many correlators for estimating the fine timing. In data path FIR filters consume the largest power due to many multiply and accumulate units in it.
equal to 8-bit. As can be seen that power consumption by the synchronization unit is much smaller than the units in the data path as they are “ON” for much shorter duration. Among the synchronization units, the fine time tracking unit consumes the most power as it contains many correlators for estimating the fine timing. In data path FIR filters consume the largest power due to many multiply and accumulate units in it.
Figure 18.
Power consumption of synchronization and data-path units, averaged over maximum length packet, for
= 8 bit.
= 8 bit.
Figure 18.
Power consumption of synchronization and data-path units, averaged over maximum length packet, for
= 8 bit.
= 8 bit.
Figure 19(a) shows the measured PER vs.
for the receiver working at
-bit and
Msps. From the figure it is seen that the
required to meet 1% packet error is around
dB. Whereas, from Table 1 it is seen that the minimum
required is around
dB. As discussed earlier, non-idealities of the RF front end and the experimental setup might be the reason for this difference.
for the receiver working at
-bit and
Msps. From the figure it is seen that the
required to meet 1% packet error is around
dB. Whereas, from Table 1 it is seen that the minimum
required is around
dB. As discussed earlier, non-idealities of the RF front end and the experimental setup might be the reason for this difference.The Figure 19(b) shows the PER vs.
when receiver works on its lowest configuration,
-bit and
Msps. It is seen from this figure that the lowest
meeting the error criteria is around
dB. Table 1 suggests that it requires around 5 dB of
for
-bit
Msps setting to meet the error specification. The difference can be attributed to the factors discussed above. The packet loss is nearly same in both Figure 19(a) and Figure 19(b). This is because the synchronization section in both cases runs at same settings of
and
. Though the experimental
values differ from the values obtained through simulation, the difference is not very significant from the point of verifying the idea of the power scalable receiver. The experimental results verify the claim that for different signal conditions different setting (
,
) of the receiver can be used to minimize power while meeting the error criteria. The design of the receiver proves to be working well to receive the packets with different
and
settings.
when receiver works on its lowest configuration,
-bit and
Msps. It is seen from this figure that the lowest
meeting the error criteria is around
dB. Table 1 suggests that it requires around 5 dB of
for
-bit
Msps setting to meet the error specification. The difference can be attributed to the factors discussed above. The packet loss is nearly same in both Figure 19(a) and Figure 19(b). This is because the synchronization section in both cases runs at same settings of
and
. Though the experimental
values differ from the values obtained through simulation, the difference is not very significant from the point of verifying the idea of the power scalable receiver. The experimental results verify the claim that for different signal conditions different setting (
,
) of the receiver can be used to minimize power while meeting the error criteria. The design of the receiver proves to be working well to receive the packets with different
and
settings.
Figure 19.
Experimentally obtained packet error and packet loss vs.
for two different cases.
for two different cases.
Figure 19.
Experimentally obtained packet error and packet loss vs.
for two different cases.
for two different cases.
7. Conclusions
We have proposed a baseband digital receiver design that changes its sampling frequency (
) and word length (
) based on interference detection and signal quality (
) estimation. The approach is based on a LUT in the digital section of the receiver. Interference detector and
estimator that suit this approach have been proposed. Settings of different sections of digital receiver changes as
and
vary. But, this change in settings ensures that the desired BER is achieved. Overall, the receiver reduces amount of processing when conditions are benign and does more processing when conditions are not favorable. A hardware protocol is proposed for packet based communication that facilitates power scalable design. It is shown that the power consumption by the digital baseband can be reduced by
% (
times) when there is no interference and
(
) is high. Design is experimentally verified and the proposed fact is established that energy condition of the hardware can be minimized when the signal condition is better.
) and word length (
) based on interference detection and signal quality (
) estimation. The approach is based on a LUT in the digital section of the receiver. Interference detector and
estimator that suit this approach have been proposed. Settings of different sections of digital receiver changes as
and
vary. But, this change in settings ensures that the desired BER is achieved. Overall, the receiver reduces amount of processing when conditions are benign and does more processing when conditions are not favorable. A hardware protocol is proposed for packet based communication that facilitates power scalable design. It is shown that the power consumption by the digital baseband can be reduced by
% (
times) when there is no interference and
(
) is high. Design is experimentally verified and the proposed fact is established that energy condition of the hardware can be minimized when the signal condition is better.Acknowledgements
Thanks to DeitY, Ministry of Communication Information Technology, Government of India for the funding support.
References
- Ludwig, J.T.; Nawab, S.H.; Chandrakasan, A.P. Low-Power Digital Filtering Using Approximate Processing. IEEE J. Solid State Circuits 1996, 31, 395–400. [Google Scholar] [CrossRef]
- Hellmark, L.M. Method and apparatus for adaptive bit resolution in a digital receiver and digital transmitter. U.S. Patent 6504863 B1, 7 January 2003. [Google Scholar]
- Amiri, K.; Cavallaro, J.R.; Dick, C.; Rao, R.M. A High Throughput Congurable SDR Detector for Multi-user MIMO Wireless Systems. J. Signal Process. Syst. 2010, 62, 233–245. [Google Scholar]
- Sinha, A.; Chandrakasan, A.P. Energy Efficient Filtering Using Adaptive Precision and Variable Voltage. In Proceedings of the 12th Annual IEEE International ASIC/SOC Conference, Washington, DC, USA, 15–18 September 1999; pp. 327–331.
- Haykin, S. Adaptive Filter Theory; Prentice Hall: Upper Saddle River, NJ, USA, 2002. [Google Scholar]
- Bougard, B.; Catthoor, F.; Daly, D.C.; Chandrakasan, A.; Dehaene, W. Energy Efficiency of the IEEE 802.15.4 Standard in Dense Wireless Microsensor Networks: Modeling and Improvement Perspectives. In Proceedings of the DesignAutomation and Test in Europe, Munich, Germany, 7–11 March 2005; pp. 196–201.
- Kluge, W.; Poegel, F.; Roller, H.; Lange, M.; Ferchland, T.; Dathe, L.; Eggert, D. A fully integrated 2.4-GHz IEEE 802.15. 4-compliant transceiver for ZigBee applications. IEEE J. Solid State Circuits 2006, 41, 2767–2775. [Google Scholar] [CrossRef]
- Tedeschi, M.; Liscidini, A.; Castello, R. Low-Power Quadrature Receivers for ZigBee (IEEE 802.15. 4) Applications. IEEE J. Solid State Circuits 2010, 45, 1710–1719. [Google Scholar] [CrossRef]
- Troesch, F.; Steiner, C.; Zasowski, T.; Burger, T.; Wittneben, A. Hardware Aware Optimization of an Ultra Low Power UWB Communication System. In Proceedings of the 2007 IEEE International Conference on Ultra-Wideband (ICUWB 2007), Singapore, 24–26 September 2007; pp. 174–179.
- Retz, G.; Shanan, H.; Mulvaney, K.; O’Mahony, S.; Chanca, M.; Crowley, P.; Billon, C.; Khan, K.; Quinlan, P. A Highly Integrated Low-Power 2.4 GHz Transceiver Using a Direct-Conversion Diversity Receiver in 0.18
m CMOS for IEEE 802.15.4 WPAN. In Proceedings of the 2009 IEEE International Solid-State Circuits ConferenceDigest of Technical Papers (ISSCC 2009), San Francisco, CA, USA, 8–12 February 2009; pp. 414–415, 415a. - Oh, N.J.; Lee, S.G. Building a 2.4 GHz Radio Transceiver using 802.15.4. IEEE Circuits Dev. Mag. 2005, 21, 43–51. [Google Scholar] [CrossRef]
- Viterbi, A.J. CDMA Principles of Spread Spectrum Communication; Addison-Wesley Longman, Inc.: Boston, MA, USA, 1995. [Google Scholar]
- Meyr, H.; Moeneclaey, M.; Fechtel, S. Digital Communication Receivers: Synchronization, Channel Estimation, and Signal Processing; John Wiley & Sons, Inc.: New York, NY, USA, 1997. [Google Scholar]
- Ammer, M.J. Low Power Synchronization for Wireless Communication. Ph.D. Thesis, University of California Berkeley, Berkeley, CA, USA, 2004. [Google Scholar]
- IEEE Std 802.15.4-2006. IEEE Standard for Information Technology–Local and Metropolitan Area Networks–Specific Requirements–Part 15.4: Wireless Medium Access Control (MAC) and Physical Layer (PHY) Specifications for Low-Rate Wireless Personal Area Networks (LR-WPANs). Available online: http://ieeexplore.ieee.org/servlet/opac?punumber=11161 (accessed on 16 October 2012).
- Scolari, N.; Enz, C.C. Digital receiver architectures for the IEEE 802.15.4 standard. In Proceedings of the 2004 International Symposium on Circuits and Systems (ISCAS ’04), Vancouver, Canada, 23–26 May 2004; pp. 345–348.
- Jeruchim, M. Techniques for Estimating the Bit Error Rate in the Simulation of Digital Communication Systems. IEEE J. Sel. Areas Commun. 1984, 2, 153–170. [Google Scholar] [CrossRef]
- Yee, D.G.W. A Design Methodology for Highly-Integrated Low-Power Receivers for Wireless Communications. Ph.D. Thesis, University of California Berkeley, Berkeley, CA, USA, 2001. [Google Scholar]
- Cho, K.M. Optimum gain control for A/D conversion using digitizing I/Q data in quadrature sampling. IEEE Trans. Aerosp. Electron. Syst. 1991, 27, 178–181. [Google Scholar] [CrossRef]
- Do, A.V.; Boon, C.C.; Anh, M.; Yeo, K.S.; Cabuk, A. An Energy Aware CMOS Receiver Front end for Low Power 2.4 GHz Applications. IEEE Trans. Circuits Syst.I 2010, 57, 2675–2684. [Google Scholar] [CrossRef]
- Andraka, R. A survey of CORDIC algorithms for FPGA based computers. In Proceedings of the 1998 ACM/SIGDA Sixth International Symposium on Field Programmable Gate Arrays (FPGA ’98), Monterey, CA, USA, 22–24 February 1998; ACM Press: New York, NY, USA, 1998; pp. 191–200. [Google Scholar]
- Vankka, J. Direct Digital Synthesizers: Theory, Design and Applications. Ph.D. Thesis, Helsinki University of Technology, Helsinki, Finland, 2000. [Google Scholar]
- Xilinx, Inc. Xilinx Virtex II Pro Boards. 2010. Available online: http://www.xilinx.com/univ/xupv2p.html (accessed on 1 December 2010).
© 2012 by the authors; licensee MDPI, Basel, Switzerland. This article is an open-access article distributed under the terms and conditions of the Creative Commons Attribution license ( http://creativecommons.org/licenses/by/3.0/).



