Next Article in Journal
Where to Start? Participatory Systems Mapping for Place-Based Service Integration in the City of Casey
Previous Article in Journal
Two-Stage Robust Optimization for Coupled Multi-Agent Task Allocation in Disaster Response Under Demand Uncertainty
 
 
Font Type:
Arial Georgia Verdana
Font Size:
Aa Aa Aa
Line Spacing:
Column Width:
Background:
Article

Volatility Spillovers Between China’s Financial Markets and Strategic Metal Assets: Evidence from LLM Knowledge Distillation

School of Economics and Management, Nanjing Tech University, Nanjing 211816, China
*
Author to whom correspondence should be addressed.
Systems 2026, 14(4), 406; https://doi.org/10.3390/systems14040406
Submission received: 9 March 2026 / Revised: 1 April 2026 / Accepted: 3 April 2026 / Published: 7 April 2026

Abstract

This study employs a TVP-VAR-BK-DY framework to examine volatility spillovers between China’s financial markets and strategic metal assets. To capture retail investor sentiment, we construct a sentiment index using an LLM knowledge distillation framework. Building on this index, the analysis further incorporates economic policy uncertainty to investigate the joint effects of retail investor sentiment and economic policy uncertainty on cross-market volatility spillovers. The results show that: (1) Price movements in certain assets exhibit leading effects, while metals with stronger financial characteristics generate more pronounced spillover effects. (2) The spillover structure between China’s financial markets and strategic metal assets displays substantial heterogeneity across time horizons and frequency bands. In the 1–5-day frequency band, the stock market serves as a net transmitter of volatility to the banking sector, gold, and copper. In the frequency band exceeding five days, these three assets exert reverse net spillover effects on the stock market. (3) The effects of retail investor sentiment and economic policy uncertainty on volatility spillovers differ significantly. The impact of retail investor sentiment is primarily concentrated in the 1–5-day frequency band, whereas economic policy uncertainty exhibits significant spillover effects in the frequency band exceeding six months.

1. Introduction

With China’s economic growth and industrial expansion, financial market reforms have deepened, strengthening the linkages between China’s financial and commodity markets. As critical resources for economic development and industrial security, commodities affect manufacturing costs and macroeconomic expectations through price fluctuations and are closely linked to financial markets via asset allocation and risk-hedging channels [1,2,3,4]. With the continued deepening of global economic integration, cross-border financial and trade networks have become increasingly intertwined. From a systems perspective, national markets are shaped not only by domestic fundamentals but also by external shocks. Consequently, financial and commodity markets have evolved into highly interconnected and complex systems, where cross-country and cross-market risk transmission and volatility spillovers have become pervasive [5]. As the world’s second-largest economy and a major manufacturing hub, China has become increasingly influential in global financial markets and has assumed a more prominent role in commodity pricing, particularly for industrial commodities. Through international trade, cross-border capital flows, and supply–demand linkages along global industrial chains, China has established substantial two-way spillovers and interactions with the financial and commodity markets of the world’s major economies.
At the same time, the high proportion of retail investors in China’s financial markets means that micro-level irrational behavior plays a significant role in asset pricing and risk transmission processes [6,7]. Particularly against the backdrop of intensifying geopolitical conflicts, global economic policy uncertainty has increased substantially. Political and economic crises in a single country can trigger systemic chain reactions worldwide, thereby intensifying financial market instability and causing sharp fluctuations in commodity prices [8,9,10]. Simultaneously, uncertainty shocks further amplify cross-market risk transmission by influencing retail investor sentiment. Therefore, examining volatility spillovers between China’s financial and commodity markets from the joint perspective of retail investor sentiment and economic policy uncertainty, while incorporating cross-economy comparisons under geopolitical shocks, is important for advancing the understanding of cross-market risk transmission and informing more effective risk-prevention measures.
Existing research on volatility spillover effects between financial markets and commodity markets has primarily focused on three aspects: First, the impact of financial market volatility on commodity prices [11,12]. Chen et al. [13] found that financial stress shocks exert a significant negative impact on commodity prices, with the magnitude of this effect being approximately 2.8 times greater during periods of high market volatility than during periods of low volatility. The second aspect is the role of commodities in providing safe-haven and risk-diversification functions within financial market volatility [14,15]. Kyriazis and Corbet [16] found that during black swan events, crude oil and cryptocurrencies exert significant impacts on banking indices, whilst traditional safe-haven assets effectively hedge banking sector risks. Further risk diversification can be achieved through assets such as natural gas and wheat. The third aspect is the tail risk spillover effects in commodity markets under extreme market shocks [17,18]. Kamal et al. [19] observed that during the global financial crisis, risk transmission is initially driven by metals before gradually spreading to grain, livestock, and energy markets. In contrast, under the COVID-19 shock, risk contagion first concentrates in grain, livestock, and energy commodities, with metals emerging as a key transmitter only after the crisis becomes financialized. However, existing studies largely examine the linkages between financial markets and commodities at a macro level, with limited attention to strategic metal assets. Meanwhile, relevant literature typically focuses on spillovers between individual financial sectors and commodities, failing to capture cross-market risk transmission from a systemic perspective. To address these shortcomings, this study examines the specific attributes and industrial chain positions of different metals and incorporates both the Chinese stock market and banking sector into the analytical framework to systematically investigate volatility spillovers between China’s financial markets and strategic metal assets across various frequency bands.
In recent years, with the advancement of behavioral finance theory, research examining volatility spillover effects across different markets from the perspective of market sentiment has become a hot topic. Research in this area can be broadly categorized into three strands: First, the impact of investor sentiment on herd behavior in stock markets [20]. Filip and Pochea [21] found that over time, investors’ decision-making has become increasingly sensitive to sentiment information in online news and social media. The second area is the mutual interaction between social media sentiment and financial market volatility [22]. For instance, Yang et al. [23] found that market volatility plays a dominant role in shaping sentiment across various assets, and that the correlation between market sentiment and volatility significantly intensifies during periods of global systemic crisis. The third area is the impact of investor behavior on financial contagion during exceptional periods [24]. Yuan et al. [25] found that investor behavior helps explain COVID-19-induced financial contagion and exhibits significant heterogeneity across market conditions and contagion scenarios. However, existing research has paid insufficient attention to the role of market sentiment in the volatility spillover between China’s financial markets and strategic metal assets. Moreover, existing sentiment indicators predominantly focus on macro-level dimensions, such as media sentiment or consumer confidence, making it difficult to capture the irrational behavior of retail investors at the micro level. In this regard, this study develops an LLM knowledge distillation framework to quantify sentiment from large-scale stock forum comments and construct a high-frequency retail investor sentiment index. This enables a more precise characterization of how micro-level retail investor irrationality influences cross-market volatility spillovers.
In summary, this study first employs the TVP-VAR-BK-DY model to empirically examine the volatility spillover effects between China’s financial market and strategic metal assets along three dimensions: time, direction, and frequency. We then develop an LLM knowledge distillation framework to quantify sentiment from large-scale stock forum comments and construct a high-frequency retail investor sentiment index. By integrating this index with economic policy uncertainty, this study systematically investigates their joint effects on volatility spillovers between China’s financial markets and strategic metal assets. The contributions of this study are reflected in the following three aspects: (1) Unlike previous studies centered on the aggregate commodity market, this study focuses on strategic metal assets. By accounting for metal heterogeneity in terms of asset-specific attributes and industrial-chain positions, it applies the TVP-VAR-BK-DY model to investigate volatility spillovers between China’s financial market and strategic metal assets across multiple frequency domains. (2) This study extends the volatility spillover framework between China’s financial market and strategic metal assets by integrating retail investor sentiment and economic policy uncertainty. Using an LLM-based knowledge distillation framework, it quantifies sentiment in stock forum comments and constructs a high-frequency retail investor sentiment index, thereby capturing fluctuations in retail sentiment and its dynamic evolution more precisely. It then incorporates economic policy uncertainty to examine how volatility spillovers are shaped by micro-level irrational behavior and macro-level uncertainty shocks. (3) This study yields novel and instructive conclusions: significant volatility spillovers exist be-tween China’s financial markets and strategic metal assets, with the spillover intensity closely related to each asset’s financial attributes and position within the industrial chain. Moreover, certain assets exhibit clear price-leading effects.

2. Mechanisms and Theoretical Analysis

2.1. Interlinkage Mechanism Between China’s Financial Markets and Strategic Metal Assets

The interconnectedness between China’s financial markets and strategic metal assets spans the stock market, banking sector, and precious and industrial metal markets, and is also shaped by multiple factors including economic policy uncertainty, investor sentiment, and geopolitical shocks [26,27]. Specifically, the linkage mechanisms can be broadly classified into risk allocation transmission mechanisms, real demand transmission mechanisms, and the cross-market resonance mechanism of major geopolitical events. Details of these mechanisms are given below.
(1) Risk allocation transmission mechanisms. Shifts in financial risk appetite and adjustments to asset allocation constitute the foundation of the linkage between China’s financial markets and strategic metal assets [28]. When volatility intensifies in the stock market or banking sector, investors’ risk appetite tends to decline, prompting capital to reallocate from high-risk assets toward metals with safe-haven properties and thereby exerting upward pressure on metal prices. Conversely, as financial markets stabilize and risk appetite recovers, capital flows back from safe-haven assets into equities, placing downward pressure on metal prices.
(2) Real demand transmission mechanisms. Strategic metal assets are widely used in infrastructure development, manufacturing, and related sectors, with price fluctuations closely linked to real economic activity. As an industrial powerhouse, China’s financial markets influence real economic activity through credit allocation and shifts in investment expectations, thereby affecting the demand for industrial metals [29]. Easier financial conditions and accelerated credit expansion stimulate infrastructure investment and manufacturing activity, thereby increasing demand for industrial metals such as copper [30,31]. By contrast, financial tightening or economic slowdowns weaken real demand, exerting downward pressure on metal prices.
(3) The cross-market resonance mechanism of major geopolitical events. During major global or regional shocks, China’s financial markets and strategic metal assets exhibit pronounced cross-market resonance [32]. For instance, the COVID-19 pandemic and the Russia-Ukraine conflict have exacerbated financial market volatility by disrupting capital flows, supply chain stability, and energy price expectations, while simultaneously impacting the supply-demand dynamics and pricing of strategic metals [33]. Such exogenous shocks amplify volatility spillovers between financial markets and strategic metal assets, causing the two markets to be highly correlated in the short term and thereby intensifying systemic risk transmission.
In summary, the linkages between China’s financial market and strategic metal assets are jointly driven by multiple mechanisms. These cross-market linkages manifest not only through interactions in asset prices, but also through the dynamic transmission and diffusion of risks across markets. Accordingly, the underlying transmission mechanisms exhibit clear time-varying characteristics and may differ across time horizons. On this basis, this study advances the following hypotheses:
H1. 
Significant volatility spillovers exist between China’s financial market and strategic metal assets, with spillover intensity being closely associated with each asset’s financial attributes and industrial-chain position. In addition, the price movements of some assets may exhibit leading effects.
H2. 
The volatility spillover relationship between China’s financial market and strategic metal assets exhibits significant heterogeneity across time and frequency domains.

2.2. The Mechanism of the Effects of Retail Investor Sentiment and Economic Policy Uncertainty on China’s Financial Markets and Strategic Metal Assets

Economic policy uncertainty exerts a persistent and profound influence on the linkage mechanism between China’s financial markets and strategic metal assets by affecting industrial structure, market expectations, and investor sentiment [34]. Meanwhile, retail investors constitute an important micro-level force in China’s stock and metals markets, influencing asset price formation and volatility transmission through their trading behavior and sentiment fluctuations. Figure 1 illustrates the mechanisms through which retail investor sentiment and economic policy uncertainty affect China’s financial markets and strategic metal assets.
On the one hand, retail investor sentiment amplifies short-term correlation between financial markets and strategic metal assets through emotional contagion and herding behavior. Against a backdrop of heightened information asymmetry and market volatility, retail investors’ trading becomes more susceptible to emotional influences. Herding behavior and excessive reactions among retail investors exacerbate stock market volatility, which is transmitted to strategic metal markets through cross-market asset allocation and speculative trading channels [35]. Particularly in precious and industrial metal markets, emotionally driven capital flows tend to trigger sharp short-term price movements, thereby amplifying spillover effects between China’s financial markets and strategic metal assets.
On the other hand, economic policy uncertainty influences the medium-to-long-term linkage between the two markets by reshaping industrial development expectations and risk-aversion demands [36,37]. When macroeconomic policies adjust or policy expectations become uncertain, market participants develop divergent assessments of economic growth, industrial development, and resource demand. This divergence heightens financial market volatility, which in turn affects the supply-demand dynamics and price trends of strategic metal assets [38,39]. Concurrently, economic policy uncertainty affects investors’ risk aversion and induces capital reallocation between equities and strategic metals. As a result, precious metals with safe-haven characteristics may experience temporary price support, whereas industrial metals become more sensitive to economic cyclical fluctuations.
Further analysis reveals a significant interactive amplification effect between retail investor sentiment and economic policy uncertainty. Under heightened policy uncertainty, retail investors become more susceptible to emotional influences and noise, leading to a pronounced intensification of irrational trading behavior.
In summary, retail investor sentiment and economic policy uncertainty shape the linkage between China’s financial market and strategic metal assets through two distinct channels: micro-level behavioral responses and the macroeconomic environment. Specifically, retail investor sentiment amplifies short-run market fluctuations through sentiment contagion and herding effects, whereas economic policy uncertainty affects market linkages over the medium and long term by reshaping expectations and altering safe-haven demand. Moreover, under geopolitical shocks, policy uncertainty may further intensify volatility spillovers between the two markets by influencing retail investor sentiment. Accordingly, this study proposes the following hypothesis:
H3. 
Retail investor sentiment and economic policy uncertainty exert heterogeneous effects on the volatility spillovers between China’s financial market and strategic metal assets. Moreover, economic policy uncertainty has an amplifying effect on retail investor sentiment.
Figure 2 presents the flowchart of the study, providing a clear overview of the research framework and methodological process.

3. Model Construction

This study employs the TVP-VAR-BK-DY model developed by Chatziantoniou et al. [40] to analyze volatility spillovers between China’s financial markets and strategic metal assets. Compared with the conventional TVP-VAR model, this framework integrates two spillover measurement approaches within a time-varying parameter setting. Specifically, the DY spillover index is used to dynamically characterize the magnitude and direction of volatility spillovers across variables, capturing the time-varying nature of risk transmission within the system. In addition, the BK spillover index decomposes overall spillover effects in the frequency domain into short- and long-term bands, thereby revealing volatility spillover characteristics across multiple time bands.
Based on this framework, we specify the following t-th order TVP-VAR model:
x t = Φ 1 t x t 1 + Φ 2 t x t 2 + + Φ p t x t p + ϵ t ϵ t ~ N ( 0 , Σ t )
In Equation (1), x t and ϵ t are N × 1 vectors representing the vector of endogenous variables and the error term vector, respectively. Σ t and Φ i t ( i = 1 , 2 , p ) are N × N matrices denoting the time-varying variance–covariance matrix and the time-varying VAR coefficient matrices, respectively. After estimating the model parameters using the multivariate Kalman filter, the TVP-VAR model can be transformed into a TVP-VMA model based on the Wold decomposition theorem.
Based on the above framework, the time-varying coefficient matrices Ψ h are extracted from the TVP-VMA model to compute the generalized forecast error variance decomposition (GFEVD). The GFEVD provides the basis for constructing the spillover network and characterizing dynamic spillover linkages among variables [41,42]. The spillover effect from variable j to variable i is defined as shown in Equation (2):
θ i j t ( H ) = Σ t j j 1 H h = 0 Ψ h Σ t i j t 2 H h = 0 Ψ h Σ t Ψ h i i
θ ˜ i j t ( H ) = θ i j t ( H ) N k = 1 θ i j t ( H )
For a forecast horizon H = 1, 2, …, θ i j t ( H ) denotes the contribution of variable j to the forecast error variance of variable i at horizon H. Since the sum of θ ˜ i j t ( H ) does not equal one, normalization is required to obtain the standardized forecast error variance decomposition matrix θ ˜ i j t to satisfy i = 1 N θ ˜ i j t ( H ) = 1 and j = 1 N i = 1 N θ ˜ i j t ( H ) = N .
Based on the above framework, the connectedness of the spillover network is further estimated by computing the net pairwise directional connectedness (NPDC), which is defined as follows:
N P D C i j t ( H ) = θ ˜ i j t ( H ) θ ˜ j i t ( H )
A positive N P D C i j t ( H ) > 0 indicates that the influence of variable j on variable i is stronger, whereas a negative value implies the opposite. Equations (5) and (6) measure the volatility spillovers transmitted from variable i to all other variables j, and from all other variables j to variable i, respectively.
T O i t ( H ) = N i = 1 , i j θ ˜ j i t ( H )
F R O M i t ( H ) = N j = 1 , i j θ ˜ i j t ( H )
T O i t ( H ) measures the directional spillovers transmitted from variable i to all other variables in the network, whereas F R O M i t ( H ) captures the directional spillovers received by variable i from all other variables in the network. By subtracting Equation (6) from Equation (5), the net spillover index (NET) is obtained, reflecting the net spillover of variable i within the overall spillover network:
N E T i t ( H ) = T O i t ( H ) F R O M i t ( H )
The Total Connectedness Index (TCI) measures the overall interconnectedness among assets in the network and captures the net systemic impact of risk spillovers. A higher TCI indicates stronger risk transmission between China’s financial markets and strategic metal assets, reflecting greater market interdependence.
T C I t ( H ) = N 1 N i = 1 T O i t ( H ) = N 1 N i = 1 F R O M i t ( H )
While the preceding framework examines spillover connectedness in the time domain, it does not fully capture risk transmission across different time scales. Following Stiassny [43], we employ spectral decomposition to estimate frequency-domain connectedness and distinguish risk transmission across distinct bands. The corresponding frequency response function is defined as follows:
Ψ ( e i ω ) = h = 0 e i ω h Ψ h
Here, i = 1 denotes the imaginary unit and ω represents frequency. Accordingly, the spectral density of variable x t at frequency ω is further analyzed. This spectral density can be interpreted as the Fourier transform representation of the time-varying parameter vector moving-average model, TVP-VMA (∞). The spectral density matrix of x t at frequency ω is defined as follows:
S x ( ω ) = h = E ( x t x t h ) e i ω h = Ψ ( e i ω h ) Σ t Ψ ( e + i ω h )
The Frequency-GFEVD can be viewed as a combination of the spectral density and the GFEVD. To ensure comparability of the frequency-domain decomposition results, the Frequency-GFEVD must be normalized, and its expression is given as follows:
θ i j t ( ω ) = ( Σ t ) j j 1 h = 0 Ψ ( e i ω h ) Σ t i j t 2 h = 0 Ψ ( e i ω h ) Σ t Ψ ( e i ω h )   i i
θ ˜ i j t ( ω ) = θ i j t ( ω ) N k = 1 θ i j t ( ω )
To overcome the limitations of single-frequency analysis and more comprehensively characterize dynamic interdependence among variables, this study integrates over all frequencies within a specified band d = (a, b), where a, b ∈ (−π, π) and a < b. This procedure effectively decomposes fluctuations across different time scales and reveals heterogeneous spillover characteristics between short- and long-term frequency bands:
θ ˜ i j t ( d ) = a b θ ˜ i j t ( ω ) d ω
Accordingly, connectedness measures consistent with Diebold and Yılmaz [44,45] can be derived. In this study, however, the measure refers specifically to frequency connectedness, capturing volatility spillovers between China’s financial markets and strategic metal assets within a given frequency band d, and thereby revealing the intensity and direction of risk transmission across different horizons:
N P D C i j t ( d ) = θ ˜ i j t ( d ) θ ˜ j i t ( d )
T O i t ( d ) = N i = 1 , i j θ ˜ j i t ( d )
F R O M i t ( d ) = N i = 1 , i j θ ˜ i j t ( d )
N E T i t ( d ) = T O i t ( d ) F R O M i t ( d )
T C I t ( d ) = N 1 N i = 1 T O i t ( d ) = N 1 N i = 1 F R O M i t ( d )
The above estimates reflect band-specific connectedness rather than the system-wide level. To overcome this limitation, we follow Baruník and Křehlík [46], assigning weights to each frequency band based on its contribution to the overall system. The weight Γ ( d ) is defined as Γ ( d ) = N i , j = 1 θ ˜ i j t ( d ) / N . The total frequency connectedness index is then computed as follows:
N P D C ˜ i j t ( d ) = Γ ( d ) N P D C i j t ( d )
T O i t ˜ ( d ) = Γ ( d ) T O i t ( d )
F R O M ˜ i t ( d ) = Γ ( d ) F R O M i t ( d )
N E T ˜ i t ( d ) = Γ ( d ) N E T i t ( d )
Finally, the relationship between the frequency-domain and time-domain connectedness measures is defined as follows:
N P D C i j t ( H ) = d N P D C i j t ( d )
T O i t ( H ) = d T O i t ( d )
F R O M i t ( H ) = d F R O M i t ( d )
N E T i t ( H ) = d N E T i t ( d )
T C I t ( H ) = d T C I t ( d )

4. Empirical Result Analysis

4.1. Data Sources and Descriptive Statistics

This study employed daily data spanning 7 May 2010 to 30 September 2025 to investigate the volatility spillover effects between China’s financial markets and strategic metal assets. To ensure representativeness, the financial market is proxied by the stock market and the banking sector. The stock market captures changes in investor expectations, risk preferences, and aggregate asset pricing, whereas the banking sector serves as the core channel for credit creation, liquidity allocation, and risk transmission. Strategic metal assets are represented by gold, silver, platinum, and copper, which jointly capture the heterogeneity of metal assets in terms of financial and industrial attributes. Gold is primarily characterized by safe-haven and store-of-value functions, giving it strong financial attributes. Silver and platinum combine precious-metal and industrial-metal features, with prices driven by safe-haven demand, investment activity, and industrial demand. Copper, by contrast, is a representative industrial metal whose price is highly sensitive to macroeconomic conditions and real-sector demand.
In terms of data selection, the stock market is represented by the Shanghai Composite Index (SH), while the banking sector is proxied by the CSI Bank Index (YH). For gold (AU9999), silver (AG (T+D)), and platinum (PT9995), prices are measured using the daily closing prices of the corresponding contracts traded on the Shanghai Gold Exchange. These contracts are highly active and liquid, and thus provide a reliable reflection of pricing conditions in China’s metals market. Given that copper is primarily characterized by its industrial attributes and lacks a unified spot benchmark price, this study used the continuous copper index from the Shanghai Futures Exchange as the proxy for copper prices. All raw data used in this study were obtained from the Wind and RESSET databases. Detailed data sources are reported in Table 1.
Figure 3 presents the time series of China’s financial markets and strategic metal assets. As shown in Figure 3d, it is evident that the Shanghai Composite Index exhibits significant volatility, characterized by short bull and prolonged bear markets. Following the 2008–2009 bull market, the index experienced a brief rebound in the latter half of 2010 before entering a protracted four-year period of fluctuating decline. From June 2014 to June 2015, propelled by deepening market reforms, the growth of the internet economy, and accommodative monetary policy, China’s stock market underwent a rapid revaluation. During this period, the Shanghai Composite Index surged approximately 3000 points within a year, reaching a historic peak of 5178 before experiencing a swift retracement and entering an extended period of volatile consolidation. Between 2019 and 2020, market sentiment gradually improved as reforms such as the launch of the STAR Market and the rollout of the registration-based IPO system took effect, enabling the Shanghai Composite Index to advance steadily. In September 2024, following the Chinese government’s introduction of a comprehensive package of capital market reforms, market confidence recovered markedly. The stock market then bottomed out and entered a period of volatile upward adjustment.
Figure 3c illustrates the historical trajectory of the banking index. Analysis reveals that the timing of fluctuations in this index exhibits a high degree of synchronization with the Shanghai Composite Index. However, the banking index demonstrates stronger defensive resilience, with upward movements exceeding downward corrections. Overall, it presents a stair-step upward trend, reflecting the robust capital position of China’s banking sector.
As shown in Figure 3a,b,e,f, the gold price surged periodically during 2010–2011, followed by a phase of fluctuating decline, reaching a trough around 2016. Subsequently, prices established a sustained upward trend, rising nearly fivefold from their 2016 low by the end of the sample period. The price movements of silver and copper are generally correlated, but silver possesses both precious and industrial characteristics. In the long term, silver’s price dynamics are more aligned with gold, indicating strong investment characteristics and persistence. At points of volatility, however, silver’s price moves in high synchrony with copper, displaying industrial cyclical traits. It is noteworthy that although copper price movements exhibit higher frequency, silver price fluctuations demonstrate greater amplitude. Platinum prices exhibit a marked trend reversal, declining over a decade-long cycle from 2010 to 2020. Between 2020 and early 2025, prices remained relatively stable within a consolidation range, followed by a rapid upward movement beginning in April 2025.
As illustrated in Figure 3, fluctuations across metal assets are highly synchronized in timing, yet differ markedly in magnitude and cyclical patterns. The original price data were transformed into log differences and multiplied by 100 to rescale the magnitude:
R t = 100 × ln P t P t 1
This transformation not only captures the underlying characteristics of asset price movements but also provides clear economic interpretations for the model parameters. Concurrently, it enhances data convergence and stability, mitigates right-skewness, and brings the distribution closer to normality, thereby improving the robustness of subsequent model estimation and statistical inference.
Table 2 presents the descriptive statistics of the logarithmic returns for China’s financial markets and strategic metal assets.
A detailed analysis of Table 2 reveals the following: First, in terms of mean values, the average returns on metal assets are ranked as follows: gold, silver, copper, and platinum. The average returns on gold and silver are 0.0326 and 0.0264, respectively, significantly higher than those of other metals. This indicates that, during the sample period, against the backdrop of heightened global uncertainty and increased safe-haven demand, both assets demonstrated stronger value-appreciation potential, benefiting from their financial attributes and safe-haven appeal. By contrast, the mean return of copper is only 0.0105, indicating that although copper prices exhibit an upward trend, they remain relatively stable. This may be attributed to the fact that, as an industrial metal, its price movements are more closely tied to the real economic cycle, industrial demand, and manufacturing activity. The mean value for platinum stands at −0.0001. As illustrated in Figure 3f, this outcome primarily stems from its prolonged downward trajectory during the sample period. Although prices rebounded in recent years, overall returns remain constrained by historical price movements. In the financial markets, both the banking sector and the stock market exhibit positive mean returns, with the banking sector outperforming the stock market. This indicates that during the sample period, banks, as a weighted sector, delivered relatively stable returns owing to their high dividend yields and low valuations. However, the stock market primarily fluctuated within a range, lacking a sustained upward trend. Overall, the average returns of China’s financial markets are significantly lower than those of gold and silver. Against the backdrop of frequent geopolitical conflicts, returns in China’s financial markets are more reflective of structural opportunities, whereas precious metals, especially gold, exhibit stronger portfolio appeal under uncertainty shocks.
Second, in terms of standard deviation, silver records the highest volatility at 0.0264, reflecting its highly volatile nature as a speculative metal whose price is more easily driven by market sentiment, liquidity shocks, and short-term capital trading. Copper and platinum exhibit comparable levels of volatility, with standard deviations of 0.0191 and 0.0218, respectively. As an industrial metal, copper’s price movements are closely linked to real economic activity, with relatively stable volatility. Platinum, by contrast, exhibits a more complex volatility structure. As a key raw material for automotive catalytic converters, its price is influenced by industrial policy and demand cycles. Concurrently, platinum possesses precious metal attributes, with investment demand further amplifying its price volatility. Consequently, its return standard deviation is slightly higher than that of copper. By comparison, gold exhibits the lowest return standard deviation at merely 0.0145. Combined with the preceding analysis of mean returns, it is evident that gold exhibits both the highest mean return and the lowest volatility, underscoring its value as a core global safe-haven asset [47]. In recent years, against a backdrop of heightened geopolitical uncertainty and rising inflation expectations, gold has experienced a sustained upward trend owing to its dual attributes as a safe-haven asset and an inflation hedge [48].
Finally, from the perspective of kurtosis and skewness, the return series of gold, silver, the banking sector, and the stock market all exhibit pronounced leptokurtic characteristics, with kurtosis values of 8.5512, 7.0128, 6.3236, and 7.2023, respectively. Gold exhibits a relatively low standard deviation and high kurtosis, indicating that its returns usually fluctuate modestly around the mean but can be amplified sharply during periods of heightened macroeconomic uncertainty or abrupt changes in monetary policy expectations. Its negative skewness further suggests pronounced downside tail risk, with gains often reversing quickly when safe-haven demand recedes or real interest rates rise, thereby producing an asymmetric pattern of gradual gains and sharp declines. Silver shares similar statistical characteristics with gold, indicating that precious metals generally exhibit asymmetric return distributions and significant tail risk. The stock market exhibits the lowest skewness at −0.8587 and relatively high kurtosis, indicating that its returns fluctuate within a narrow range under normal conditions but are prone to sharp pullbacks under the impact of sudden events. The banking sector exhibits a skewness of 0.0842, indicating robust resilience during extreme market downturns and underscoring its role as an important risk hedge and market stabilizer. Copper and platinum exhibit lower kurtosis values of 4.4163 and 5.0382, respectively, with significantly higher skewness than gold and silver. This indicates that, as industrial metals, copper and platinum have a lower probability of extreme return realizations. Their price fluctuations more readily reflect cyclical shifts in macroeconomic conditions and physical demand rather than sudden financial shocks.
The aforementioned descriptive statistics indicate that the return series of China’s financial markets and strategic metal assets exhibit pronounced skewness and fat-tailed distributions, with a high frequency of extreme volatility events. Simultaneously, the JB test and ARCH test significantly reject the assumptions of normality and homoscedasticity. This further confirms the presence of pronounced fat tails and volatility clustering in the return series, reflecting the nonstationary and time-varying nature of market dynamics. Against this backdrop, employing the TVP-VAR-BK-DY model for analysis demonstrates considerable rationality and necessity. Finally, the results of the ADF unit root test indicate that all return series reject the null hypothesis at the 5% significance level, satisfying the stationarity requirement and establishing the econometric foundation for subsequent model estimation.
Figure 4 presents the time series of logarithmic returns for China’s financial markets and strategic metal assets. As shown in Figure 4, all return series fluctuate around zero, exhibiting pronounced mean-reverting behavior. This finding is consistent with the stationarity results of the ADF unit root test. Moreover, all series exhibit a typical volatility clustering effect, whereby large fluctuations tend to occur in clusters. This pattern is particularly evident during the 2015 stock market turmoil and the outbreak of COVID-19 in 2020, when asset returns experienced pronounced turbulence. This conditional heteroskedasticity indicates that market risk exhibits pronounced time-varying dynamics. In addition, from a distributional perspective, the return series of all assets contain extreme observations beyond the normal range and display significant leptokurtic and fat-tailed characteristics. Specifically, the stock market and banking sector returns exhibited pronounced negative extremes during 2015–2016, reflecting liquidity risks and panic sentiment during periods of market volatility. Meanwhile, extreme fluctuations in strategic metal assets such as silver and copper were primarily concentrated during the 2011 European debt crisis, the 2020 COVID-19 pandemic, and the 2022 Russia-Ukraine conflict. The existence of such extreme values indicates that linear models based on the assumption of normal distribution struggle to capture the true risk structure of the market. Moreover, abnormal return volatility tends to align closely with major external shocks, indicating that China’s financial markets and strategic metal assets are highly sensitive to global systemic risks and geopolitical developments.

4.2. Static Spillover Effect Analysis

Table 3 presents the total static spillover matrix between China’s financial markets and strategic metal assets.
Detailed analysis reveals the following: Firstly, regarding the total connectivity index (TCI) dimension, the overall system spillover index stands at 44.41, indicating substantial volatility spillovers and a high degree of interconnectedness between China’s financial markets and strategic metal assets. In terms of own variance contributions, the banking sector and the stock market exhibit values of 60.3 and 58.18, respectively, indicating a relatively high degree of independence. This indicates that volatility in China’s financial markets is driven primarily by internal information, policy adjustments, and fundamental factors rather than shocks from external metal markets. Among them, the banking sector, as the core stabilizing segment of the market, exhibits greater independence than the stock market. Among strategic metals, copper exhibits the highest own variance contribution, followed by platinum. This indicates that metals with pronounced industrial attributes are primarily driven by macroeconomic cycles and their own supply-demand fundamentals, demonstrating relative immunity to cross-market risk contagion. Silver displays the lowest own variance contribution, confirming its pronounced financial speculative nature and susceptibility to external shocks. By comparison, gold exhibits a higher degree of own variance contribution than silver, reflecting its status as a safe-haven asset. Overall, industrial metals demonstrate significantly greater asset independence than precious metals as their price fluctuations are driven more by fundamental factors than by financial shocks.
Secondly, regarding the directional volatility spillover (TO) dimension, silver exhibits the highest spillover value at 61.3, with its spillover effect most pronounced towards gold, followed by platinum and copper. The underlying reason lies in the fact that, compared to gold, the silver market has a smaller capacity and a stronger speculative atmosphere, making prices prone to overreacting to market information. This high volatility makes silver act as a risk amplifier within the precious metals, thereby exerting a significant one-way spillover effect on gold. Meanwhile, as a metal with industrial attributes, silver transfers macroeconomic risks to copper and platinum through industrial demand channels, resulting in a high level of spillover to the entire metal asset class. By contrast, silver exhibits a relatively weak spillover effect on China’s financial markets, indicating a degree of risk isolation between commodity markets and traditional financial markets. Moreover, non-systemic fluctuations in a single commodity are unlikely to have a significant impact on the vast financial market. Among all metal assets, copper exhibits the highest spillover effect on the stock market and banking sector, while the spillover effect of Chinese financial markets on copper is also significantly higher than that on other metals. This phenomenon primarily stems from China’s status as the world’s largest industrial nation, coupled with copper’s extensive industrial applications. Copper price fluctuations directly reflect macroeconomic expectations and shifts in manufacturing costs, subsequently transmitting between the metals market and China’s financial markets through fundamental channels [49,50].
Thirdly, regarding the directional volatility spill-in (FROM) dimension, all strategic metal assets are subject to significant external shocks, with silver exhibiting the highest spill-in index, followed by gold and platinum, while copper is the least affected by external shocks. Combined with the preceding analysis of spillover dimensions, silver not only exhibits the highest spillover value but also demonstrates the greatest sensitivity to external shocks, reflecting its high volatility and speculative nature. Specifically, silver is primarily influenced by gold; when gold prices fluctuate, silver prices tend to follow. At the same time, gold, platinum, and copper are all influenced by fluctuations in silver prices. Owing to its dual characteristics, silver generates significant risk spillovers to both precious and industrial metals. Moreover, the banking sector acts as a net receiver of spillovers from the stock market, reflecting its defensive role as a hedge against financial market risks.
Fourthly, regarding the net volatility spillover (NET) dimension, both silver and the stock market exhibit positive net spillover indices, with silver registering a net spillover value of 7.98 and the stock market at 1.53. This indicates that both silver and the stock market serve as key transmitters of volatility within the system. Moreover, owing to its dual nature, silver demonstrates the highest net spillover value. Meanwhile, gold, platinum, copper, and the banking sector exhibit negative net spillover indices, with the spillover values decreasing in order of gold, copper, platinum, and the banking sector. These results indicate that, despite receiving spillovers from other assets, gold and the banking sector maintain strong independence and stability, consistent with their safe-haven roles. Conversely, copper and platinum, as industrial metals, act as the primary risk absorbers within the system and are particularly sensitive to fluctuations in financial markets and precious metal prices.
Table 4 and Table 5 present the short-term static spillover matrix (1–5-day) and long-term static spillover matrix (5–inf-day) for China’s financial markets and strategic metal assets, aiming to examine volatility spillover characteristics within a trading week and longer frequency bands.
Detailed analysis reveals the following: Firstly, regarding the total connectivity index (TCI) dimension, the short-term total connectedness between China’s financial markets and strategic metal assets is 35.77, compared with 8.64 in the long term. This suggests that volatility spillovers between the two markets are primarily concentrated within a trading week. A further examination of own variance contributions shows that the ranking of short-term own contributions across markets is consistent with that of the total own contributions, while long-term own contributions remain at a relatively low level of 9–12. This further indicates that the persistence of cross-market price fluctuations is largely concentrated within a single trading week, whereas spillovers beyond this band remain relatively stable.
Secondly, regarding the directional volatility spillover (TO) dimension, the long-term spillover index for silver is markedly lower than its short-term counterpart, exhibiting a decay rate of 37.52%. This finding indicates that silver’s volatility spillovers are primarily driven by short-term sentiment-based trading and high-frequency speculative activity, with effects largely concentrated within a single trading week. As the frequency band extends beyond five days, market sentiment gradually dissipates, leading to a rapid decline in spillover effects. By contrast, copper exhibits the smallest long-term attenuation in the spillover index, at only 19.53. This suggests that copper price fluctuations are more firmly anchored in real economic demand and industrial cycles. Such low-frequency factors exhibit substantial persistence, rendering copper’s volatility spillovers relatively stable over longer frequency bands.
Thirdly, regarding the directional volatility spill-in (FROM) dimension, the decay rates of spill-in effects from short- to long-term frequency bands follow the order of silver, gold, platinum, the banking sector, the stock market, and copper. This pattern primarily stems from the structural differences in the financial and physical attributes of different assets. Silver possesses both precious-metal and industrial-metal characteristics and is associated with a high share of speculative trading. Leverage and sentiment-driven trades rapidly amplify short-term macroeconomic uncertainty and safe-haven demand, thereby generating pronounced high-frequency spill-in effects. However, over the long-term frequency band, silver’s industrial demand and fundamentals are insufficient to sustain elevated volatility, leading to a rapid decay in spillover effects. In contrast, copper prices are closely tied to global economic cycles and infrastructure and manufacturing demand. As a result, while short-term spill-in effects are relatively limited, low-frequency shocks driven by real demand exhibit strong persistence, resulting in the least attenuation at longer frequencies.
Fourthly, regarding the net volatility spillover (NET) dimension, frequency-domain decomposition reveals pronounced heterogeneity in net volatility spillovers across assets over short- and long-term frequency bands. Gold exhibits negative net volatility spillovers in the short-term but shifts to positive values in bands exceeding five days. The reason for this is that gold prices are long-term dominated by US dollar interest rates and inflation expectations, thereby serving as a pricing anchor for other assets. Silver exhibits positive net volatility spillovers in both short-term and long-term frequency bands. In the long-term frequency band, despite its industrial applications, silver shows weaker demand stability than copper and platinum. Consequently, its price dynamics are more strongly driven by financial factors, leading to persistent volatility spillovers to other assets. In terms of financial assets, the banking sector exhibits negative net volatility spillovers in the short term but positive spillovers in the long term, whereas the stock market displays the opposite characteristics. This finding indicates that, in the short term, the banking sector primarily functions as a recipient of volatility spillovers from the stock market. However, in the long term, the banking system, as the credit hub and carrier of macroeconomic policies, exerts systematic influence on the stock market and metal assets. Among industrial metals, copper exhibits negative net volatility spillovers in the short term but positive spillovers in the long term. By contrast, platinum shows negative net volatility spillovers in both the short and long term. The reason is that the liquidity of the platinum market is significantly weaker than that of gold, silver, and copper, and its price fluctuates with the overall situation of the metal market in the short term, while it continues to absorb the impact of changes in the macroeconomic, financial environment, and industrial structure in the long term.
Figure 5 presents the nonlinear Granger causality between China’s financial markets and strategic metal assets. The nonlinear Granger causality test characterizes the lead–lag information relationship between variables from a time-series forecasting perspective. Specifically, it evaluates whether the historical information of one variable significantly improves the explanatory and predictive power for another variable after controlling for its own lags. This method provides crucial evidence for analyzing the directionality of cross-market volatility transmission.
Analysis of Figure 5 reveals that the Granger causality test p-value from gold to silver is 0.01, indicating that historical gold prices significantly enhance predictive power for silver prices. This reflects gold’s role as an information leader and pricing anchor within the precious metals system. Meanwhile, the p-values for silver’s Granger tests against copper and platinum are 0.01 and 0.02, respectively, indicating equally significant Granger causality. This finding suggests silver possesses forward-looking capability in reflecting macroeconomic sentiment and industrial expectations. Owing to its dual role as both a precious and industrial metal, silver prices are highly sensitive to shifts in financial risk appetite and manufacturing activity. Consequently, these price movements transmit signals to the copper and platinum markets, which are predominantly driven by physical demand, thereby establishing a pronounced predictive relationship. Moreover, the stock market’s test p-value for copper is 0.05, indicating that the stock market reflects macroeconomic expectations ahead of copper prices. As an industrial metal highly sensitive to manufacturing and infrastructure demand, copper prices are primarily influenced by shifts in physical demand, exhibiting a relatively lagged price response. Consequently, anticipated fluctuations in the stock market subsequently transmit to the copper market. Meanwhile, the p-value for copper’s impact on the banking sector is 0.02, indicating that macroeconomic and industrial sentiment reflected in copper prices further propagate to the banking sector, thereby influencing its risk exposure and profit expectations. This finding is consistent with copper’s characteristic as an information carrier for the real economy, particularly over longer frequency bands.
Figure 6 illustrates the spillover network between China’s financial markets and strategic metal assets. The combined aggregate and frequency-domain decomposition result shows that spillovers between China’s financial markets and strategic metal assets exhibit pronounced structural heterogeneity, with their direction and magnitude depending on each metal’s asset attributes and position within the industrial chain.
Further analysis indicates the following: Firstly, from the perspective of the total spillover network, silver and the stock market emerge as core nodes in volatility spillovers, while gold, copper, platinum, and the banking sector primarily function as recipients of volatility spillovers. Among all assets, silver exhibits the most pronounced volatility spillovers, with spillover intensity significantly stronger toward other metals than toward financial markets. This finding highlights silver’s prominent role in transmitting risk within the strategic metals system.
Secondly, within the 1–5-day short-term spillover network, silver and the stock market remain the primary transmitters of volatility. As a spillover source, silver’s short-term volatility is transmitted mainly to copper and gold, while its effect on platinum is comparatively weaker. In contrast, short-term volatility spillovers from the stock market primarily affect the banking sector. Concurrently, the stock market is affected by short-term fluctuations in platinum prices. This phenomenon stems from platinum’s dual role in automotive demand and precious metal investment. Its short-term price volatility impacts profit expectations for resource, mining, and related listed companies, subsequently transmitted through portfolio rebalancing channels to the stock market, thereby generating significant short-term spillover effects.
Thirdly, in the long-term spillover network exceeding five days, silver remains the primary node of volatility transmission. Meanwhile, gold, the banking sector, and copper shift from net receivers in the short term to net transmitters, whereas the stock market transitions from a short-term transmitter to a net receiver. In the long-term frequency band, volatility in silver primarily spills over to platinum. This finding suggests that as the time scale lengthens, speculative noise in silver prices gradually dissipates, and its volatility becomes more closely tied to global manufacturing activity. Platinum, however, due to its limited market liquidity and relatively lagging price adjustments, becomes the primary recipient of this information transmission.
Fourthly, in the short-term frequency band, the stock market generates significant volatility spillovers to the banking sector and gold, reflecting its amplifying role in risk information transmission. However, in the long-term frequency band, the stock market primarily absorbs spillovers from the banking sector and gold, with the banking sector influencing the stock market’s macro liquidity through the credit supply channel. Gold, acting as an anchor for pricing inflation and real interest rates, exerts a systemic influence on the long-term valuation of the stock market. Concurrently, copper primarily absorbs volatility spillovers from the stock market, banking sector, and platinum in the short term, but becomes a net spillover transmitter in the long-term frequency band. This outcome indicates that financial market shocks initially transmit to copper prices in the short term, with copper prices subsequently feeding back into financial markets through real economy channels.

4.3. Dynamic Spillover Effect Analysis

Figure 7 plots the time series of the volatility spillover index between China’s financial market and strategic metal assets. The figure shows that volatility spillovers exhibit pronounced time-varying dynamics and substantial frequency-domain heterogeneity. As the world’s second-largest economy and a major manufacturing hub, China is deeply integrated into global financial, trade, and industrial-chain networks. Its market fluctuations are therefore shaped not only by domestic factors, but also by international financial crises, trade frictions, and geopolitical shocks. Accordingly, the volatility spillovers between China’s financial market and strategic metal assets exhibit strong global interconnectedness. Against this backdrop, this study related the seven episodes of sharp increases in volatility spillovers during the sample period to major domestic and global events. The detailed analysis is presented below.
(1) Between May and December 2010, the total volatility spillover index rose rapidly from 42 to 55. This surge was attributed to the outbreak of the Greek sovereign debt crisis in May 2010, which heightened global risk aversion and accelerated capital inflows into safe-haven assets such as precious metals. In November of the same year, the Federal Reserve initiated a new round of quantitative easing, with increased global liquidity amplifying volatility in commodity markets. Concurrently, the People’s Bank of China tightened monetary policy by raising interest rates and repeatedly increasing the reserve requirement ratio. Under the combined impact of internal and external shocks, the intensifying interaction between bullish and bearish forces drove a rapid increase in the total volatility spillover index.
(2) Between August and December 2011, the total volatility spillover index rose rapidly from 43 to 58, reaching a high point within the sample period. This surge stemmed from the historic downgrade of the United States’ sovereign credit rating by Standard & Poor’s on 5 August 2011, which triggered a sharp increase in market risk aversion. Meanwhile, the European sovereign debt crisis spread to core economies such as Italy and Spain, precipitating liquidity strains across global financial markets. Against this backdrop, hedge funds and institutional investors suffered substantial equity losses and were forced to liquidate highly liquid metal assets to meet margin calls, thereby triggering pronounced volatility in gold and silver prices. Concurrently, China’s stock market continued its downward trajectory, with the Shanghai Composite Index falling to decade-earlier levels. The combined effect of multiple external shocks and a tightening policy environment amplified the spillover of volatility between financial markets and strategic metal assets.
(3) From September to December 2014 and July to September 2015, the total volatility spillover index experienced two sharp surges. This development can be attributed to the gradual recovery of China’s stock market since September 2014. On 17 November, the launch of the Shanghai–Hong Kong Stock Connect introduced northbound capital inflows and signaled further market opening. Meanwhile, the central bank implemented its first interest rate cut in two years, significantly improving market liquidity and thereby boosting stock market valuations and the level of spillover effects. The sharp increase in the volatility spillover index from July to September 2015 was associated with the adjustment of the leveraged bull market. The bull market had been highly reliant on off-exchange financing. In mid-June 2015, the China Securities Regulatory Commission initiated rigorous investigations and clean-up operations targeting non-compliant financing activities. On 11 August 2015, the People’s Bank of China adjusted the RMB quotation mechanism, triggering a significant phase of currency depreciation. This intensified capital outflow pressures, driving synchronous declines in both the stock market and banking sector, and substantially elevating volatility spillover levels.
(4) From September 2015 to January 2018, the total volatility spillover index declined steadily, indicating a gradual dissipation of extreme risk premia as asset valuations reverted to fundamental levels. Meanwhile, the global economy maintained its recovery, with markets operating in a high-growth, low-inflation environment. However, between February and September 2018, the total volatility spillover index resumed its upward trajectory, reversing a three-year downward trend. This shift was primarily driven by the outbreak of the China–US trade war. In March 2018, the United States imposed tariffs on Chinese goods, and frictions escalated over the following months. This notably disrupted China’s export outlook and technology supply chains, plunging the Chinese stock market into a year-long unidirectional decline. Meanwhile, market concerns regarding a global economic slowdown triggered by trade conflicts intensified. Copper prices, regarded as an economic barometer, swiftly followed the downward trajectory of stock markets.
(5) From January to April 2020, the total volatility spillover index experienced a significant surge. The upward trend during this period was primarily driven by the outbreak of the COVID-19 pandemic. The phased shutdown of China, the world’s manufacturing hub, disrupted global supply chains. As one of the largest consumers of industrial metals, China’s demand expectations weakened sharply, leading to pronounced declines in copper, silver, and platinum prices. As the pandemic rapidly spread globally, the US stock market triggered circuit breakers four times within two weeks in March 2020, with global financial markets experiencing the most severe liquidity shock since the 2008 financial crisis. Moreover, the total volatility spillover index rose again between December 2021 and December 2022 following a period of gradual decline. This shift was closely linked to the geopolitical shock triggered by the Russia–Ukraine conflict. The crisis accelerated the restructuring of global supply chains, induced sharp fluctuations in energy and base metal prices, and heightened systemic risks worldwide, thereby amplifying cross-asset volatility spillovers.
(6) From March 2023 to March 2024, the total volatility spillover index gradually declined, reflecting muted volatility across assets and a notable easing of cross-market interconnectedness. However, between March and October 2024, volatility spillover values rose sharply again. This movement was closely associated with a copper price surge initiated by expectations of production cuts at Chinese smelters and amplified by a short squeeze in New York copper futures, which drove prices to historical peaks. Concurrently, geopolitical risks such as the Russia-Ukraine conflict and the Israel-Palestine conflict intensified, supporting a sustained upward trend in gold prices despite a strong US dollar environment. On 24 September, the People’s Bank of China announced a reduction in reserve requirement ratios and interest rates, alongside a package of policies directly supporting the stock market. The Shanghai Composite Index rose by over 20% within five trading days, with market pessimism regarding China’s economy markedly revised. The resulting improvement in industrial demand expectations propelled copper prices upward alongside the equity market.
(7) From 3 to 8 April 2025, the total volatility spillover index rose by approximately 32% over the short term. This sharp surge during the period was primarily driven by global market panic triggered by US trade protectionist policies. On 2 April 2025, US President Trump announced the imposition of Liberation Day tariffs. This aggressive trade protection policy far exceeded market expectations, triggering a sharp decline in global stock markets and panic selling of precious metal assets. Subsequently, on 9 April 2025, following two consecutive days of historic declines in US equities, the American government announced a three-month postponement of tariff measures. The market swiftly recovered after undergoing extreme adjustments, with the total volatility spillover Index also rapidly retreating.
Analyzing Figure 7 from a frequency-domain perspective reveals that volatility spillovers between China’s financial markets and strategic metal assets are predominantly characterized by short-term fluctuations spanning 1 to 5 days. Concurrently, as China’s economic strength grows and its influence over metal pricing gradually increases, the level of spillovers between the two markets has exhibited a declining trend. While the total spillover effect weakens, the long-term spillover driven by fundamentals has relatively strengthened. This indicates that the dominant mechanism for cross-market risk transmission is shifting from sentiment and liquidity shocks towards fundamental factors.
Figure 8 and Figure 9 respectively depict the time-series dynamics of directional volatility spillover and directional volatility inflow between China’s financial markets and strategic metal assets. The results indicate that the spillover and spill-in series across assets exhibit high synchronization in their volatility phases, with sharp fluctuations largely coinciding with peaks in the total volatility spillover index. This phenomenon reflects the pronounced resonance of systemic risk within a highly integrated modern financial system. When faced with shifts in macroeconomic policy or geopolitical shocks, assets do not operate independently but interact through cross-market linkages. When a single asset experiences an exogenous shock and exhibits significant volatility, the resulting changes in risk premiums, emotional contagion, and liquidity pressures rapidly propagate throughout the entire market network. Concurrently, given the differences in financial attributes and industrial demand across the stock market, banking sector, and strategic metal assets, the direction and intensity of spillover effects across these assets under the same shock exhibit marked heterogeneity.
Further analysis of Figure 8 and Figure 9 reveals that the volatility spillover and spill-in series for the banking sector, stock market, and copper exhibit a high degree of consistency over most periods. This characteristic stems from the close interconnection among these three sectors within the macroeconomic cycle and the real economy. As core components of China’s financial system, the stock market and banking sector exhibit heightened sensitivity to shifts in economic growth expectations, credit conditions, and liquidity. As a representative industrial metal, copper prices directly reflect the conditions of manufacturing activity and infrastructure investment, particularly in China, the world’s largest consumer. Consequently, during macroeconomic shocks or cyclical fluctuations, financial market risks are transmitted to copper prices through bank credit and corporate investment channels, resulting in pronounced consistency in their volatility spillover dynamics. By contrast, gold, silver, and platinum exhibit a high degree of similarity in their volatility dynamics, primarily due to their shared precious metal attributes and financialization characteristics. These metals serve both as safe-haven assets and stores of value in portfolio allocation. When market uncertainty rises or global liquidity tightens, investors tend to allocate across precious metals in a coordinated manner, thereby amplifying the synchronization of their price movements. As shown in Figure 8 and Figure 9, in the absence of major global systemic risk shocks during 2016–2018, volatility spillovers among the banking sector, the stock market, and copper generally declined, whereas those of platinum, gold, and silver remained relatively stable or even increased. This pattern indicates that the higher the degree of financialization of a metal, the more pronounced its volatility spillover effects become.
Figure 10 presents the time series of net volatility spillovers (NET) between China’s financial markets and strategic metal assets. As shown in Figure 10a, gold was predominantly a net transmitter during 2013–2020, whereas it primarily acted as a net receiver in 2010–2013 and 2020–2025. This indicates that under relatively stable macroeconomic conditions, gold exerts a degree of risk transmission to other assets. In contrast, during periods of systemic stress and major geopolitical shocks, gold mainly functions as a safe haven, absorbing volatility spillovers from other assets. As shown in Figure 10b, silver, characterized by strong speculative attributes, exhibits consistently positive volatility spillover values throughout the sample period. Since 2020, heightened geopolitical tensions have further amplified its spillover intensity. As shown in Figure 10c–e, the banking sector and copper are significantly influenced by the Chinese stock market. Notably, the troughs in copper’s volatility spillover coincide with periods of significant downturns in the Chinese stock market, reflecting the rapid transmission of financial shocks to industrial metal prices. Concurrently, the banking sector, acting as a stabilizer and buffer for the stock market, predominantly functions as the recipient of volatility spillovers, exhibiting relatively stable fluctuations in most instances [51,52].
The preceding section analyzed the volatility spillover characteristics of individual assets from the perspectives of spillovers and spill-ins. To further elucidate the pairwise spillover relationships and their dynamic dependence, this study constructed net pairwise spillover time series. Figure 11 presents the net pairwise spillovers between China’s financial markets and strategic metal assets.
A detailed analysis reveals the following: Firstly, gold exhibits pronounced heterogeneity in its volatility spillovers with other assets. Throughout the sample period, it consistently acts as a net recipient of spillovers from silver. Between 2010 and 2019, the net volatility spillover from gold to silver fluctuated mainly within the range of −5 to 0. Since 2020, following the outbreak of COVID-19 and the escalation of geopolitical tensions, spillovers from silver to gold have intensified markedly, with the net value stabilizing around −5. Meanwhile, volatility spillovers from gold to the banking sector remained relatively stable, though they experienced a temporary increase from May to July 2024. This phenomenon may be associated with heightened global uncertainty and high-interest rate conditions. Against this backdrop, gold prices have increasingly served as a leading indicator of systemic risk, with their movements transmitting to bank valuations through financial stability expectations.
Secondly, the stock market exhibits pronounced time-varying spillover effects with respect to strategic metal assets. In most periods, net spillovers from the stock market to gold remained within the narrow range of −1 to 1 and only intensified during pronounced stock market downturns. The timing of spillovers between the stock market and silver largely coincided with that of gold, although silver predominantly acts as a net transmitter to the stock market. Compared with metal assets, volatility spillovers between the banking sector and the stock market were the most pronounced, with the banking sector mainly serving as a net recipient from the stock market during most periods. Notably, a significant divergence emerges in the spillover curves of the two sectors across frequency bands. Specifically, the banking sector absorbs volatility shocks from the stock market in the short term, while generating net spillovers to the stock market over longer frequency bands beyond five days. This pattern reflects the coexistence of short-term absorption and long-term feedback. Further examination of the net pairwise spillovers between the stock market and copper reveals that spillovers from equities to copper intensify markedly during periods of sharp stock market volatility. This surge was particularly pronounced in 2018–2019 and was closely associated with China–US trade frictions, reflecting the forward-looking nature of the Chinese stock market in anticipating shifts in raw material demand.

4.4. The Impact of Retail Investor Sentiment on Volatility Spillovers Between China’s Financial Markets and Strategic Metal Assets

The preceding section has systematically analyzed the volatility spillover relationship between China’s financial markets and strategic metal assets. With the continued development of China’s financial markets and improvements in information dissemination efficiency, retail investor sentiment has increasingly become a significant factor influencing asset price volatility and cross-market risk transmission. Compared to institutional investors, retail investors are more numerous and trade more frequently. Their decisions are more susceptible to emotional fluctuations, noise information, and market sentiment, thereby amplifying market volatility and risk transmission [53,54,55]. Particularly in China’s capital markets, retail investors constitute a significant proportion. Their sentiment shifts not only directly influence equity markets but may also transmit to strategic metal prices through channels such as asset allocation, risk aversion, and speculative trading [56,57].
Building on this, this study constructed a retail investor sentiment index and systematically examined its role and time-varying characteristics in the volatility spillover process between China’s financial markets and strategic metal assets from a behavioral finance perspective. It should be emphasized that the analysis of sentiment-driven spillovers in this study is grounded in behavioral finance and seeks to explain how sentiment shapes cross-market risk transmission at the mechanism level. Investor sentiment and expectations are inherently influenced by subjective emotions, value preferences, and other heterogeneous factors. As a result, their manifestations and effects depend on market structure, institutional environment, and external shocks, making them context-specific rather than universally generalizable.

4.4.1. Construction of the Retail Investor Sentiment Index

To investigate the impact of retail investor sentiment on volatility spillovers between China’s financial markets and strategic metal assets, this study utilized comments from the Shanghai Composite Index forum on East Money as the sentiment data source. As one of China’s earliest internet finance platforms, East Money has a vast and highly active user base, along with a substantial accumulation of historical data. Its forum texts effectively reflect the overall sentiment dynamics among retail investors, demonstrating strong representativeness. Building on this, the study selected 6,884,143 comments from the Shanghai Composite Index forum between 7 May 2010 and 30 September 2025 to construct a retail investor sentiment indicator. To ensure temporal consistency between the textual data and market transactions, the raw comments were systematically preprocessed through procedures including text cleaning and trading-date alignment. The detailed procedure is described below.
Firstly, at the textual level, this study standardized the content of stock forum comments using Python 3.10. This process involved removing HTML tags, redundant spaces, and non-textual characters, and converting the content into a standard string format. To further mitigate noise interference, this study excluded short texts less than four characters and invalid comments consisting solely of numerals, thereby enhancing the validity and stability of sentiment information.
Secondly, regarding the temporal dimension, this study established mapping rules based on the trading calendar to convert natural-day comments into their trading-day equivalents, thereby accurately capturing the market impact of retail investor sentiment. Specifically, comments posted on trading days were assigned directly to the corresponding day. Comments published on non-trading days, such as weekends or public holidays, were consolidated and attributed to the subsequent trading day. This approach captured the concentrated release of sentiment information from non-trading periods during the following trading session. Such processing reduced the bias inherent in simple time shifting and better aligned with real-world information assimilation mechanisms.
Finally, sentiment analysis was conducted on the cleaned stock forum comments. With advances in artificial intelligence technology, large language models (LLMs) have demonstrated superior performance in zero-shot semantic understanding and complex reasoning tasks [58,59]. However, constrained by computational power and computational costs, directly applying LLMs to full-text sentiment analysis proved inefficient. Given the advantages of lightweight models in inference efficiency and computational cost, the study constructed an analytical framework based on LLM knowledge distillation. This approach enabled efficient sentiment analysis of financial texts through knowledge transfer [60,61,62]. The specific steps are illustrated in Figure 12.
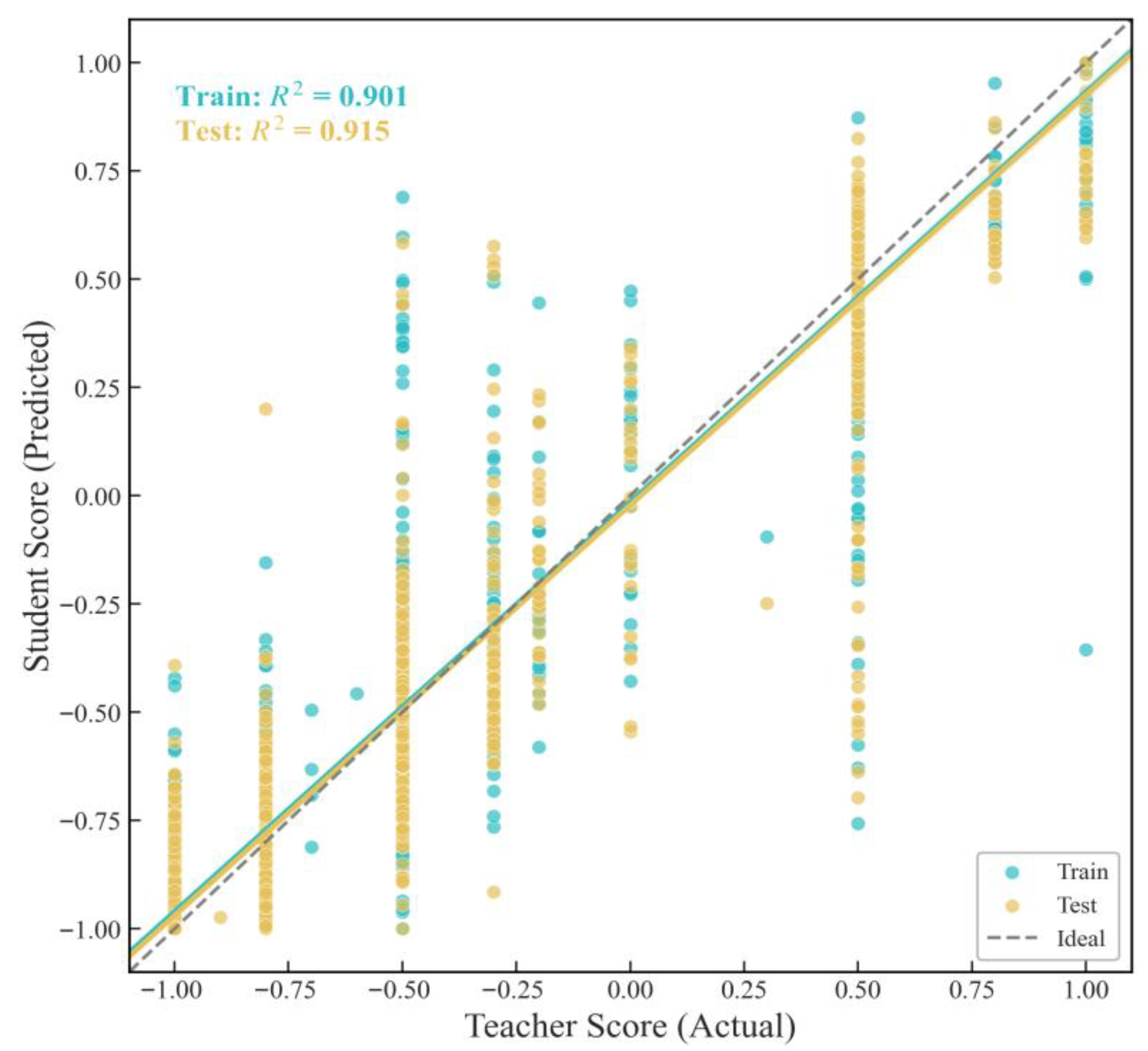
In the first step, the study used the general-purpose LLM Qwen2.5 to generate high-quality sentiment labels for representative comment samples, thereby forming a high-information-density training dataset [63]. Given substantial variation in comment volume over time and differences in online language contexts, this study constructed the training dataset by randomly sampling the raw comment corpus on a yearly basis. Specifically, 2000 comments are selected for each year from 2011 to 2025, while all 1881 comments from 2010 are retained due to the relatively low posting volume. The final dataset consists of 31,881 comments spanning 2010–2025, ensuring adequate representation of sentiment expression across different market phases. In the sentiment scoring process, this study categorized comments into seven intervals: Extreme Enthusiasm (0.8000–1.0000), Confident Optimism (0.6000–0.7999), Moderate Optimism (0.3000–0.5999), Neutral Watchfulness (−0.2999 to 0.2999), Mild Bearishness (−0.5999 to −0.3000), Confident Bearishness (−0.7999 to −0.6000), Extreme Panic (−1.0000 to −0.8000). Following manual sampling and consistency validation, the sentiment scores generated by the LLM demonstrated high accuracy in both emotional direction and intensity assessment.
In the second step, during knowledge distillation, this study employed Erlangshen-RoBERTa-110M-Sentiment as the student model [64]. Based on the RoBERTa architecture, the model contains approximately 110 million parameters, primarily from the embedding layer, multiple Transformer encoder layers, and the output layer. Given its strong semantic representation capability in Chinese sentiment analysis and relatively small parameter size, it offers higher distillation and inference efficiency while maintaining robust performance. To capture the continuous nature of emotional intensity, the study formulated emotion recognition as a regression task rather than a conventional classification problem. It used the continuous sentiment scores generated by the teacher model Qwen2.5 as soft labels to conduct full-parameter supervised fine-tuning of the student model, thereby achieving knowledge distillation.
Figure 13 shows that the model exhibited favorable convergence during training. The training loss declined rapidly in the early stages, indicating that the model effectively captured the primary semantic and emotional structures of the samples. As the number of training steps increased, the training loss continued to decline and gradually stabilized, reflecting the model’s enhanced fitting capability. In contrast, the validation loss decreased synchronously during the early and middle stages, reaching a minimum of 0.1070 at approximately 800 training steps, which corresponded to the model’s optimal generalization performance. Thereafter, although the training loss continued to decline, the validation loss no longer improved and even showed a slight rebound, indicating the onset of mild overfitting. Accordingly, the study applied the early stopping criterion to select the model with the lowest validation loss as the final model, which was used for subsequent sentiment index construction and empirical analysis.
After training was completed, this study evaluated the analytical performance of the fine-tuned RoBERTa model. Figure 14 presents the fitted scatter plot, where the Train curve represents the model’s analytical results on the training set and illustrates its fitting capability. The Test curve represents the model’s performance on unseen samples and serves to evaluate its generalization capability. This verified whether the model captured the underlying logic of financial text sentiment rather than merely memorizing the training data. The model exhibited a strong fit on both the training and test sets. Specifically, the coefficient of determination reached 0.915 on the test set, slightly exceeding the 0.901 observed for the training set. This outcome indicates that the model’s out-of-sample predictive performance did not exhibit significant deterioration, demonstrating sound generalization capability and stability.
To further evaluate the models’ ability to characterize emotional distribution patterns, this study plotted the probability density curves of sentiment scores for both the LLM and RoBERTa models. As shown in Figure 15, the fine-tuned RoBERTa model effectively reproduced the bimodal structure of the LLM’s output distribution, clearly distinguishing the clustering characteristics of negative and positive emotions. Concurrently, the RoBERTa model exhibited high consistency with the LLM in both peak location and magnitude, while producing a smoother distribution. This result indicates that knowledge distillation effectively reduced sentiment measurement noise and enhanced distributional stability while preserving the overall structure of the sentiment distribution.
Beyond evaluating the predictive accuracy of the models, this study further compared the computational efficiency of the LLM and the fine-tuned RoBERTa models, as shown in Figure 16. The results demonstrate that knowledge distillation yields significant performance improvements. The RoBERTa model achieves approximately 1281.3× faster inference while maintaining high sentiment analysis accuracy, along with an 11× reduction in memory usage and a 63.6× reduction in parameter storage.
Having obtained approximately 6.88 million sentiment scores, this study further constructed a daily retail investor sentiment index. First, weights were assigned to individual comments. Given that social media readership typically exhibits a long-tail distribution, a small number of highly popular posts account for a large share of total daily views. Weighting directly by raw readership would allow popular comments to dominate the sentiment index and obscure the sentiment information conveyed by other investors. To this end, this study employed a logarithmic transformation of reading volume using ln(1 + x). This approach preserves the significance of popular comments while effectively mitigating the impact of outliers, thereby enhancing the robustness of the sentiment index.
Furthermore, based on these weights, this study calculated daily sentiment scores:
S t = i D t s i w i i D t w i
where S t denotes the daily sentiment on day t, S i represents the sentiment score of an individual post, w i signifies the weight assigned to that post, and D t constitutes the aggregate of all posts on that day. Following the calculation of daily sentiment scores, this study plotted a time series of retail investor sentiment, as shown in Figure 17. The grey curve in Figure 17 represents the raw daily retail sentiment index. The purple curve denotes the 10-day moving average, reflecting short-term sentiment trends, and enables sensitive capture of rapid fluctuations. The red curve indicates the 20-day moving average, reflecting medium-term sentiment trends. Compared to the 10-day moving average, the 20-day moving average is smoother and more effective in filtering out short-term sentiment noise, thereby providing a clearer view of overall market sentiment.
Analysis of Figure 17 indicates that the retail investor sentiment index exhibited significantly greater volatility between 2010 and 2014 than in other periods. The reasons for this can be traced to two factors: First, between 2010 and 2014, China’s stock market regulatory framework remained relatively underdeveloped. The Shanghai Composite Index experienced frequent and pronounced fluctuations, which in turn amplified emotional volatility among retail investors. Second, internet penetration was relatively low during this period, and East Money’s stock forums were still in their early stages of development. The limited number of active users and modest posting volume led to relatively small sample sizes, thereby amplifying sentiment index volatility. Meanwhile, the retail investor sentiment index has consistently remained below zero, indicating a generally pessimistic mood among China’s retail investors. This characteristic, on the one hand, reflects the Chinese stock market’s pattern of short bull and prolonged bear markets, where wealth accumulation effects remain limited. On the other hand, this pattern also reflects that stock forum comments are largely driven by emotional expression, as retail investors are less likely to post after gains but more likely to express negative sentiment following losses. By further analyzing the 20-day moving average, retail investor sentiment exhibits pronounced persistence and accumulation effects. Against a bear market backdrop, short-term market rebounds struggle to reverse the prevailing sentiment trend.
To further examine the validity and explanatory power of the constructed retail investor sentiment index, this study conducted a nonlinear Granger causality test involving the sentiment index, China’s financial markets, and strategic metal assets, as illustrated in Figure 18. The test results show that the p-value for the effect of the stock market on the retail investor sentiment index is 0.01, rejecting the null hypothesis of no impact. Concurrently, the p-value for the effect of the sentiment index on the stock market is 0.03, similarly significantly rejecting the null hypothesis. The findings above indicate a significant bidirectional nonlinear Granger causality between retail investor sentiment and the stock market, suggesting mutual influence and feedback during the trading process. On the one hand, price fluctuations and return performance in the stock market directly influence retail investor sentiment. On the other hand, changes in retail sentiment can feed back into the stock market through trading behavior. These findings provide causal evidence of the explanatory power of the retail sentiment index for financial markets and offer strong support for its validity and effectiveness.

4.4.2. Retail Investor Sentiment Spillover Network

Following the construction and validation of the retail investor sentiment index, this study further investigated the volatility spillover relationship among retail sentiment and China’s financial markets and strategic metal assets. It systematically examined the transmission mechanisms and influence pathways of retail sentiment across different asset classes. Unlike the existing literature, which largely relies on low-frequency monthly sentiment proxies and macro-level indicators such as consumer confidence and expectations, the sentiment index constructed in this study is rooted in the irrational behavior of individual investors. It therefore captures the high-frequency dynamics of investor sentiment and its cross-market transmission more effectively, offering a new perspective on the risk linkages between China’s financial market and strategic metal assets.
Figure 19 illustrates the time series of net pairwise spillovers from retail investor sentiment to China’s financial markets and strategic metal assets. As shown in Figure 19, retail investor sentiment exerts minimal volatility spillover effects on strategic metal assets. For the majority of periods, retail sentiment primarily acts as a receiver of strategic metal assets volatility, only generating significant spillover effects within the 1–5-day frequency band when sentiment becomes extremely negative. Conversely, in the long-term frequency band exceeding five days, strategic metal assets exert sustained cyclical volatility spillover effects on retail investor sentiment. A closer examination of Figure 19a,b,e,f shows that the short-term volatility spillovers from retail investor sentiment to gold and silver are relatively weak, with spillover values remaining within a narrow range of 0–2. By contrast, the volatility spillovers from gold and silver to retail investor sentiment are mainly distributed within the range of 0–6. This pattern suggests that the price formation mechanisms of precious metals are largely insulated from fluctuations in retail investor sentiment and are affected only to a limited extent when retail sentiment becomes extremely pessimistic and safe-haven demand rises sharply. By contrast, retail sentiment exhibits a more pronounced volatility spillover effect with copper and platinum. This stems primarily from the strong industrial attributes of both metals, whose price fluctuations are highly correlated with macroeconomic and industrial cycles. They acutely reflect the recovery and recessionary phases of the real economy, thereby generating higher levels of volatility spillover.
Analysis of Figure 19c,d reveals that volatility spillovers among the banking sector, stock markets and retail investor sentiment are exceptionally pronounced. An examination of the time-varying spillover dynamics shows that the spillover patterns of retail investor sentiment are highly synchronized with those of the banking sector and the stock market. When combined with the performance of the Shanghai Composite Index, the peaks of the spillover series are found to concentrate during periods of sustained market declines. Further analysis of net pairwise spillovers across frequency bands shows that retail investor sentiment primarily generates short-term net spillovers to the banking sector and stock market within the 1–5-day band. In contrast, over bands exceeding five days, the banking sector and stock market exert substantially larger and nearly symmetrical volatility spillovers on retail investor sentiment. The findings indicate that, in the long-term frequency band, fluctuations in China’s stock market and banking sector dominate retail investor sentiment. Although retail sentiment amplifies financial market volatility in the short-term frequency band, it lacks the capacity to dominate pricing mechanisms in China’s financial markets.
Figure 20 presents the spillover network among retail investor sentiment, China’s financial markets, and strategic metal assets. From both aggregate and frequency-domain perspectives, the volatility spillovers between retail investor sentiment and China’s financial markets as well as strategic metal assets exhibit pronounced frequency-dependent differences in both direction and magnitude.
Detailed analysis indicates the following: Firstly, from the perspective of the total spillover network, the stock market, gold, and silver act as net transmitters of volatility spillovers, whereas the banking sector, copper, platinum, and retail investor sentiment function as net recipients. In particular, the stock market exerts significant volatility spillovers on the banking sector and retail investor sentiment. As a metal with pronounced speculative characteristics, silver exhibits significant spillover effects on the volatility of other assets, with a more pronounced impact on other metals. By contrast, although gold also functions as a spillover node, its spillover influence is comparatively weaker.
Secondly, within the short-term spillover network spanning one to five days, the stock market, silver, and retail investor sentiment act as spillover transmitters, whereas the banking sector, gold, copper, and platinum serve as spillover recipients. In the long-term spillover network beyond five days, gold, silver, copper, the stock market, and the banking sector act as spillover transmitters, while retail investor sentiment and platinum serve as recipients of volatility spillovers. A detailed analysis of the frequency-domain heterogeneity across different assets reveals the following: First, retail investor sentiment exerts significant volatility spillovers on the stock market and banking sector in the short-term frequency band, while acting as a net recipient of spillovers from all other assets in the long-term frequency band. Second, silver generates strong volatility spillovers to all other assets in the short-term frequency band, with spillover intensity markedly exceeding that in the long-term band. Finally, the banking sector absorbs spillovers from the stock market in the short-term frequency band, but exerts a reverse constraining effect on the stock market over longer frequency bands.
In summary, the above analysis indicates that retail investor sentiment exerts a significant influence on the stock market and the banking sector in the short-term frequency band, but lacks pricing power over assets in the long term. Within the spillover network linking China’s financial markets and strategic metal assets, retail investor sentiment primarily acts as an amplifier of short-term volatility. As the cornerstone of China’s financial system, the banking sector primarily absorbs shocks from the stock market and retail investor sentiment in the short-term frequency band while acting as a stabilizer and buffer for retail investor sentiment and the stock market over longer frequency bands.

4.5. The Impact of the Interaction Between Retail Investor Sentiment and Economic Policy Uncertainty on Volatility Spillovers Between China’s Financial Markets and Strategic Metal Assets

The previous section examined volatility spillovers of retail investor sentiment across different assets and explored the mechanisms through which micro-level irrational behavior of retail investors influences spillover dynamics between China’s financial markets and strategic metal assets. However, against the backdrop of frequent geopolitical conflicts and rising global trade and economic uncertainty, focusing solely on retail investor sentiment is insufficient to fully characterize the mechanisms underlying risk spillovers in today’s complex market environment.
Compared with the micro-level behavioral disturbances captured by retail investor sentiment, economic policy uncertainty primarily reflects changes in the macro-policy environment, industrial expectations, and safe-haven demand. By reshaping expectations of economic growth, industrial conditions, and resource demand, it influences both financial market volatility and the pricing of strategic metal assets. It may also affect investors’ risk preferences and portfolio allocation, thereby driving reallocations between equity and strategic metal assets and shaping the medium- to long-term linkages between the two markets. Moreover, its interaction with retail investor sentiment may further amplify cross-market volatility transmission. Accordingly, this study incorporates economic policy uncertainty into the analytical framework to examine its role in volatility spillovers between the two markets [65].
This study employed the China Economic Policy Uncertainty index constructed by Huang et al. [66], which is based on keyword searches across ten major Chinese newspapers. By drawing on multiple media sources, the index effectively mitigates single-media bias and provides a more accurate measure of economic policy uncertainty in China. Given that the economic policy uncertainty index is measured at a monthly frequency and evolves over relatively long cycles, we converted retail investor sentiment, China’s financial market variables, and strategic metal asset variable data to a monthly frequency to ensure data consistency and enhance analytical precision. Specifically, retail investor sentiment is treated as a state variable, with the monthly level computed as the mean of daily sentiment within each month. For China’s financial markets and strategic metal assets, monthly volatility is measured by the standard deviation of daily returns within each month.
Figure 21 depicts the network spillovers among economic policy uncertainty, retail investor sentiment, China’s financial markets, and strategic metal assets, highlighting the frequency-domain features of volatility spillovers driven by the interaction between retail investor sentiment and economic policy uncertainty and their roles in the overall network. By comparing changes in the direction and magnitude of spillovers across short- and long-term frequency bands, this study reveals heterogeneous roles of the interaction between retail investor sentiment and economic policy uncertainty in cross-market risk transmission.
Firstly, from the perspective of the total spillover network, the stock market, banking sector, silver, gold and platinum serve as volatility spillover transmitters. While copper, retail investor sentiment and economic policy uncertainty act as recipients. A detailed analysis shows that fluctuations in both China’s financial markets and strategic metal assets influence economic policy uncertainty. Against a backdrop of heightened capital market volatility, policy adjustments are implemented to stabilize market operations. Meanwhile, economic policy uncertainty further affects retail investor sentiment, reinforcing the role of retail investor sentiment as a passive recipient within the broader risk transmission network.
Secondly, from the perspective of spillover networks across different frequency bands, within the frequency band below six months, the stock market, banking sector, silver, gold, and platinum act as volatility spillover transmitters, while copper, retail investor sentiment, and economic policy uncertainty serve as spillover recipients. By contrast, in the frequency band beyond six months, the banking sector, gold, silver, and economic policy uncertainty become volatility spillover transmitters, while the stock market, copper, platinum, and retail investor sentiment absorb volatility shocks from other assets. Closer examination indicates that, within the frequency band below six months, economic policy uncertainty primarily absorbs volatility spillovers from China’s financial markets and strategic metal assets. In contrast, in the frequency band exceeding six months, economic policy uncertainty becomes a key source of volatility spillovers, exerting significant long-term effects on the stock market and strategic metal assets. The banking sector’s volatility spillovers increase substantially in the frequency band beyond six months, exerting significant effects not only on the stock market but also on economic policy uncertainty. This phenomenon stems mainly from the banking sector’s pivotal role within the financial system. When volatility intensifies and risk exposure increases within the banking system, the probability of regulatory and monetary policy adjustments increases as authorities seek to preserve financial stability, thereby elevating economic policy uncertainty.
Based on the above analysis, it is evident that within a monthly dimension volatility spillover network, retail investor sentiment struggles to exert tangible influence upon China’s financial markets, strategic metal assets, and economic policy uncertainties. By contrast, economic policy uncertainty is influenced by fluctuations in China’s stock market and strategic metal assets in the short-term frequency band, while in the frequency band exceeding six months, it transforms into a significant spillover node, exerting a marked impact on both China’s stock market and strategic metal assets. The findings indicate that retail investor sentiment at the micro level exerts only a short-term spillover amplification effect on China’s financial markets and strategic metal assets within five trading days, without exerting any substantive influence on macro policy formulation. While macroeconomic policy uncertainty is subject to the impact of fluctuations from various assets within six months, it exerts a significant long-term influence on China’s financial markets and strategic metal assets in the frequency band beyond six months.

5. Conclusions

This study employed the TVP-VAR-BK-DY model to empirically examine volatility spillovers between China’s financial market and strategic metal assets from the three dimensions of time, direction, and frequency. Building on this analysis, we developed an LLM-based knowledge distillation framework for sentiment analysis to quantify sentiment from large-scale stock forum comments and construct a high-frequency daily retail investor sentiment index. By further incorporating the economic policy uncertainty index, we systematically examined the interactive effects of retail investor sentiment and economic policy uncertainty on volatility spillovers between China’s financial markets and strategic metal assets. The main empirical findings are as follows:
(1) Significant volatility spillover effects exist between China’s financial markets and strategic metal assets, with spillover intensity closely related to assets’ financial attributes and their positions within the industrial value chain. Moreover, price movements in certain assets exhibit leading effects. Compared with copper and platinum, which are primarily industrial commodities, gold and silver exhibit more pronounced volatility spillovers owing to their stronger financial attributes. The stock market also generates significant spillovers to the banking sector. Moreover, historical gold prices significantly improve the predictability of silver, while past silver prices further enhance the predict-ability of copper and platinum.
(2) Across different time horizons and frequency bands, volatility spillovers between China’s financial markets and strategic metal assets exhibit pronounced heterogeneity. Volatility spillovers between China’s financial market and strategic metal assets display strong global interconnectedness. They increase significantly during periods of geopolitical shocks and industrial policy shifts, but diminish substantially as the international environment and policy expectations stabilize. In the 1–5-day frequency band, the stock market acts as a net transmitter of volatility to the banking sector, gold, and copper. Conversely, in the frequency band exceeding five days, the banking sector, gold, and copper exert reverse spillover effects on the stock market.
(3) Retail investor sentiment and economic policy uncertainty exert heterogeneous effects on the volatility spillovers between China’s financial market and strategic metal assets, and economic policy uncertainty has an amplifying effect on retail investor sentiment. The influence of retail sentiment is mainly concentrated within the 1–5-day frequency band, whereas beyond five days, it primarily acts as a net recipient of spillovers from both markets. Meanwhile, in the frequency band of less than six months, economic policy uncertainty primarily absorbs spillovers from China’s financial markets and strategic metal assets. Beyond six months, it becomes a net spillover transmitter, exerting significant effects on the stock market, strategic metal assets, and retail investor sentiment.
The findings of this study deepen our understanding of the linkage mechanism between financial market sentiment fluctuations and commodity prices, and provide empirical reference for refining cross-market risk regulatory frameworks. However, the evidence suggests that the intricate linkage between China’s financial markets and strategic metal assets is not solely driven by investor irrationality and policy uncertainty shocks, but is also influenced by factors such as shifts in the global commodity supply–demand structure and the evolution of internet finance. Therefore, subsequent research can further explore the transmission mechanisms of volatility spillovers between China’s financial markets and strategic metal assets from the perspectives of global industrial chain evolution and the diffusion of internet development.

Author Contributions

D.S.: Data Curation, Writing—Original draft preparation and Analysis. J.W.: Conceptualization, Methodology, Funding Acquisition and Project Administration. L.W.: Formal analysis, Writing—Review and Editing and Supervision. All authors have read and agreed to the published version of the manuscript.

Funding

This research is supported by Later-stage Funding Project of the National Social Science Fund (24FGLB100), Youth Project of the National Social Science Foundation (25CJY108), Major Strategic and Policy-Oriented Bidding Projects in Jiangsu Province’s Educational Science Planning (JS/2024/ZD0104-01849), Youth Project of Jiangsu Provincial Social Science Foundation (25GLC003), General Project of Basic Science (Natural Science) Research in Higher Education Institutions in Jiangsu Province (25KJB630008) and Project of the Jiangsu Provincial Decision-making Consultation Base (25SSL085).

Data Availability Statement

The original contributions presented in this study are included in the article. Further inquiries can be directed to the corresponding author.

Conflicts of Interest

The authors declare that they have no competing interests.

References

  1. Fatima, S.; Gan, C.; Hu, B. Price stability properties and volatility analysis of precious metals: An ICSS algorithm approach. J. Risk Financ. Manag. 2022, 15, 465. [Google Scholar] [CrossRef]
  2. Ali, S.; Ijaz, M.S.; Yousaf, I. Dynamic spillovers and portfolio risk management between defi and metals: Empirical evidence from the COVID-19. Resour. Policy 2023, 83, 103672. [Google Scholar] [CrossRef]
  3. Chen, T.; Zheng, X.; Wang, L. Systemic risk among Chinese oil and petrochemical firms based on dynamic tail risk spillover networks. N. Am. J. Econ. Financ. 2025, 77, 102404. [Google Scholar] [CrossRef]
  4. Zheng, Q.; Wu, J.; Lin, B. Asymmetric volatility spillover between clean energy and nonferrous metal markets under climate risks: Portfolio hedging implications. Resour. Policy 2026, 112, 105801. [Google Scholar] [CrossRef]
  5. Samuelson, P.A.; Nordhaus, W.D. Economics, 19th ed.; McGraw-Hill Education: Columbus, OH, USA, 2009. [Google Scholar]
  6. Yang, B.; Gao, Q.; Li, J. Market ambiguity, investor sentiment and market anomalies–Evidence from the Chinese A-share market. Res. Int. Bus. Financ. 2025, 75, 102721. [Google Scholar] [CrossRef]
  7. Hu, X.; Liu, L.; Cui, T.; Xia, L. Penalized Logistic Regressions with Technical Indicators, Fundamental Indicators and Sentiment Indicators Predict Weekly Stock Up or Down Trends. Comput. Econ. 2026; online ahead of print. [CrossRef]
  8. Wang, M.; Su, Y. How Russian-Ukrainian geopolitical risks affect Chinese commodity and financial markets? Financ. Res. Lett. 2023, 56, 104179. [Google Scholar] [CrossRef]
  9. Wu, H.; Zhu, H.; Huang, F.; Mao, W. How does economic policy uncertainty drive time–frequency connectedness across commodity and financial markets? N. Am. J. Econ. Financ. 2023, 64, 101865. [Google Scholar] [CrossRef]
  10. Polat, O.; Ertuğrul, H.M.; Sakarya, B.; Akgül, A. TVP-VAR based time and frequency domain food & energy commodities connectedness an analysis for financial/geopolitical turmoil episodes. Appl. Energy 2024, 357, 122487. [Google Scholar] [CrossRef]
  11. Ding, S.; Cui, T.; Zheng, D.; Du, M. The effects of commodity financialization on commodity market volatility. Resour. Policy 2021, 73, 102220. [Google Scholar] [CrossRef]
  12. Chen, P.; Miao, X. Understanding the role of China’s factors in international commodity price fluctuations: A perspective of monetary−fiscal policy interaction. Econ. Anal. Policy 2024, 81, 1464−1483. [Google Scholar] [CrossRef]
  13. Chen, L.; Verousis, T.; Wang, K.; Zhou, Z. Financial stress and commodity price volatility. Energy Econ. 2023, 125, 106874. [Google Scholar] [CrossRef]
  14. Huang, J.; Li, Y.; Zhang, H.; Chen, J. The effects of uncertainty measures on commodity prices from a time−varying perspective. Int. Rev. Econ. Finance 2021, 71, 100−114. [Google Scholar] [CrossRef]
  15. Ahmed, A.D.; Huo, R. Volatility transmissions across international oil market, commodity futures and stock markets: Empirical evidence from China. Energy Econ. 2021, 93, 104741. [Google Scholar] [CrossRef]
  16. Kyriazis, N.; Corbet, S. Evaluating the dynamic connectedness of financial assets and bank indices during black−swan events: A Quantile−VAR approach. Energy Econ. 2024, 131, 107329. [Google Scholar] [CrossRef]
  17. Naeem, M.A.; Hamouda, F.; Karim, S. Tail risk spillover effects in commodity markets: A comparative study of crisis periods. J. Commod. Mark. 2024, 33, 100370. [Google Scholar] [CrossRef]
  18. Szturo, M.; Włodarczyk, B.; Ionescu, G.H.; Firoiu, D.; Braga, V. Systemic risk and contagion in the commodity market: Identifying volatility transmission during crisis periods. Technol. Econ. Dev. Econ. 2025, 31, 1130−1148. [Google Scholar] [CrossRef]
  19. Kamal, M.M.; Roca, E.; Li, B.; Lin, C.; Reza, R. Price contagion and risk spillover in the global commodities market: COVID−19 pandemic vs. global financial crisis. Resour. Policy 2025, 103, 105553. [Google Scholar] [CrossRef]
  20. Handoko, B.L.; Sundjaja, A.M.; Hendriana, E. Determinants of Cryptocurrency Investment Decision: Integrating Behavioural and Technology Perspectives. J. Risk Financ. Manag. 2026, 19, 43. [Google Scholar] [CrossRef]
  21. Filip, A.M.; Pochea, M.M. Intentional and spurious herding behavior: A sentiment driven analysis. J. Behav. Exp. Financ. 2023, 38, 100810. [Google Scholar] [CrossRef]
  22. Mumtaz, M.A.; Ranvijay; Lodhi, R.; Verma, N.; Gaur, A. Transforming tweets into opinions: A deep learning approach to analyse and predict election result using social media data. J. Comput. Soc. Sci. 2026, 9, 14. [Google Scholar] [CrossRef]
  23. Yang, N.; Fernandez−Perez, A.; Indriawan, I. Spillover between investor sentiment and volatility: The role of social media. Int. Rev. Financ. Anal. 2024, 96, 103643. [Google Scholar] [CrossRef]
  24. Akkus, H.T.; Memis, H.; Icellioglu, C.S. Investigation of dynamic volatility relationships among global indices in the presence of COVID-19 impact: Evidence from TVP-VAR approach. J. Comput. Appl. Math. 2026, 473, 116909. [Google Scholar] [CrossRef]
  25. Yuan, Y.; Wang, H.; Jin, X. Pandemic-driven financial contagion and investor behavior: Evidence from the COVID-19. Int. Rev. Financ. Anal. 2022, 83, 102315. [Google Scholar] [CrossRef]
  26. Zhu, X.; Chen, Y.; Chen, J. Effects of non-ferrous metal prices and uncertainty on industry stock market under different market conditions. Resour. Policy 2021, 73, 102243. [Google Scholar] [CrossRef]
  27. Ren, X.; Fu, C.; Tao, L.; Yuan, L.; Xu, Z. Financialization trends and climate policy uncertainty: Implications for China’s nonferrous metal market. Res. Int. Bus. Financ. 2025, 77, 102922. [Google Scholar] [CrossRef]
  28. Cai, Y.; Chang, H.W.; Xiang, F.; Chang, T. Can precious metals hedge the risks of Sino–US political relation?–Evidence from Toda–Yamamoto causality test in quantiles. Financ. Res. Lett. 2023, 58, 104327. [Google Scholar] [CrossRef]
  29. Wang, J.; Sheng, D.; Wang, L. Volatility Spillover Between China’s Carbon Market and Traditional Manufacturing. Mathematics 2025, 13, 1514. [Google Scholar] [CrossRef]
  30. Dong, X.; Huang, J.; Chen, J. Driving factors and key paths of metal consumption in China: Evidence from structural decomposition and structural path analysis. Environ. Dev. Sustain. 2025, 27, 9357–9377. [Google Scholar] [CrossRef]
  31. Su, H.; Wu, Q.; Zhou, N.; Zheng, Y. Dynamic spillover of upstream primary metals and by-product metals market and its impact from the downstream new energy vehicles market. Miner. Econ. 2025, 38, 77–95. [Google Scholar] [CrossRef]
  32. Li, B.; Haneklaus, N.; Rahman, M.M. Dynamic connectedness and hedging opportunities of the commodity and stock markets in China: Evidence from the TVP-VAR and cDCC-FIAPARCH. Financ. Innov. 2024, 10, 52. [Google Scholar] [CrossRef]
  33. Wang, L.; Sun, Y.; Wang, J. Price Volatility Spillovers in Energy Supply Chains: Empirical Evidence from China. Energies 2025, 18, 3204. [Google Scholar] [CrossRef]
  34. Lin, B.; Wang, Z. Economic policy uncertainty, coal price, and industrial output: Evidence from China. Energy 2025, 332, 137198. [Google Scholar] [CrossRef]
  35. Wang, J.; Chen, P.; Wang, J.; Guo, X.; Wang, X. Monetary policy, investor sentiment, and the asymmetric jump risk of Chinese stock market. IEEE Trans. Comput. Soc. Syst. 2023, 11, 1631–1643. [Google Scholar] [CrossRef]
  36. Wang, L.; Yang, Z.; Chen, T.; Xu, T.; Xiao, B. The Mechanism of Green Transition of Energy Enterprises Applying Noncooperative–Cooperative Biform Game Model. Systems 2025, 13, 942. [Google Scholar] [CrossRef]
  37. Wang, J.; Xu, Y.; Wang, L. Dynamic Responses of Green Securities Market and Traditional Financial Market to Economic Policy Uncertainty in China: A TVP-SVAR-SV Approach. Systems 2026, 14, 246. [Google Scholar] [CrossRef]
  38. Chen, D.; Zeng, Z.; Chen, Y. Heterogeneous impacts of multiple climate policies on the chinese stock market. Financ. Res. Lett. 2024, 60, 104816. [Google Scholar] [CrossRef]
  39. Wang, N.; Yin, J.; Li, Y. Economic policy uncertainty and stock market volatility in China: Evidence from SV-MIDAS-t model. Int. Rev. Financ. Anal. 2024, 92, 103090. [Google Scholar] [CrossRef]
  40. Chatziantoniou, I.; Gabauer, D.; Gupta, R. Integration and risk transmission in the market for crude oil: New evidence from a time-varying parameter frequency connectedness approach. Resour. Policy 2023, 84, 103729. [Google Scholar] [CrossRef]
  41. Koop, G.; Pesaran, M.H.; Potter, S.M. Impulse response analysis in nonlinear multivariate models. J. Econom. 1996, 74, 119–147. [Google Scholar] [CrossRef]
  42. Pesaran, H.H.; Shin, Y. Generalized impulse response analysis in linear multivariate models. Econ. Lett. 1998, 58, 17–29. [Google Scholar] [CrossRef]
  43. Stiassny, A. A spectral decomposition for structural VAR models. Empir. Econ. 1996, 21, 535–555. [Google Scholar] [CrossRef]
  44. Diebold, F.X.; Yilmaz, K. Better to give than to receive: Predictive directional measurement of volatility spillovers. Int. J. Forecast. 2012, 28, 57–66. [Google Scholar] [CrossRef]
  45. Diebold, F.X.; Yılmaz, K. On the network topology of variance decompositions: Measuring the connectedness of financial firms. J. Econom. 2014, 182, 119–134. [Google Scholar] [CrossRef]
  46. Baruník, J.; Křehlík, T. Measuring the frequency dynamics of financial connectedness and systemic risk. J. Financ. Econometr. 2018, 16, 271–296. [Google Scholar] [CrossRef]
  47. Konstantakis, K.N.; Xidonas, P.; Michaelides, P.G.; Goutte, S. Gold and CoVid-19: Uncovering the safe haven hypothesis with dynamic MSR modeling. Int. Rev. Financ. Anal. 2023, 89, 102858. [Google Scholar] [CrossRef]
  48. Ming, L.; Yang, P.; Tian, X.; Yang, S.; Dong, M. Safe haven for crude oil: Gold or currencies? Financ. Res. Lett. 2023, 54, 103793. [Google Scholar] [CrossRef]
  49. Liu, Y.; Guo, Y.; Wei, Q. Time-varying and multi-scale analysis of copper price influencing factors based on LASSO and EMD methods. J. Commod. Mark. 2024, 34, 100388. [Google Scholar] [CrossRef]
  50. Soares, A.F.; Spers, R.G.; Jhunior, R.O.S. Projection of global copper demand in the context of energy transition. Resour. Policy 2025, 103, 105567. [Google Scholar] [CrossRef]
  51. Samarasinghe, A. Stock market liquidity and bank stability. Pac. Basin Financ. J. 2023, 79, 102028. [Google Scholar] [CrossRef]
  52. Du, X.; Cheng, J.; Zhu, D.; Yan, Y. Does central bank communication on financial stability work?—An empirical study based on Chinese stock market. Int. Rev. Econ. Financ. 2023, 85, 390–407. [Google Scholar] [CrossRef]
  53. Hudson, Y.; Yan, M.; Zhang, D. Herd behaviour & investor sentiment: Evidence from UK mutual funds. Int. Rev. Financ. Anal. 2020, 71, 101494. [Google Scholar] [CrossRef]
  54. Gric, Z.; Bajzík, J.; Badura, O. Does sentiment affect stock returns? A meta-analysis across survey-based measures. Int. Rev. Financ. Anal. 2023, 89, 102773. [Google Scholar] [CrossRef]
  55. Tang, Z.; Lin, Q.; Cai, Y.; Chen, K.; Liu, D. Harnessing the power of real-time forum opinion: Unveiling its impact on stock market dynamics using intraday high-frequency data in China. Int. Rev. Financ. Anal. 2024, 93, 103210. [Google Scholar] [CrossRef]
  56. Nash, J. Non-Cooperative Games. Ann. Math. 1951, 54, 286–295. [Google Scholar] [CrossRef]
  57. Becker, G.S. The Economic Approach to Human Behavior; University of Chicago Press: Chicago, IL, USA, 1976. [Google Scholar]
  58. Wang, L.; Wang, Y.; Wang, J.; Yu, L. Forecasting Nonlinear Green Bond Yields in China: Deep Learning for Improved Accuracy and Policy Awareness. Financ. Res. Lett. 2025, 107889. [Google Scholar] [CrossRef]
  59. Li, H.; Hu, J. A hybrid deep learning framework for stock price prediction considering the investor sentiment of online forum enhanced by popularity. Comput. Econ. 2026, 1–36. [Google Scholar] [CrossRef]
  60. Sepahvand, M.; Abdali-Mohammadi, F.; Taherkordi, A. An adaptive teacher–student learning algorithm with decomposed knowledge distillation for on-edge intelligence. Eng. Appl. Artif. Intell. 2023, 117, 105560. [Google Scholar] [CrossRef]
  61. Gou, J.; Chen, Y.; Yu, B.; Liu, J.; Du, L.; Wan, S. Reciprocal teacher-student learning via forward and feedback knowledge distillation. IEEE Trans. Multimed. 2024, 26, 7901–7916. [Google Scholar] [CrossRef]
  62. Liu, Y.; Cao, J.; Li, B.; Hu, W.; Ding, J.; Li, L. Cross-Architecture Knowledge Distillation. In Proceedings of the Asian Conference on Computer Vision (ACCV), Hanoi, Vietnam, 8–12 December 2022; pp. 3396–3411. [Google Scholar] [CrossRef]
  63. Niu, M.; El-Tawil, Y.; Romana, A.; Provost, E.M. Rethinking emotion annotations in the era of large language models. IEEE Trans. Affect. Comput. 2025, 16, 2668–2679. [Google Scholar] [CrossRef]
  64. Zhang, J.; Gan, R.; Wang, J.; Zhang, Y.; Zhang, L.; Yang, P.; Gao, X.; Wu, Z.; Dong, X.; He, J.; et al. Fengshenbang 1.0: Being the foundation of Chinese cognitive intelligence. arXiv 2022, arXiv:2209.02970. [Google Scholar] [CrossRef]
  65. Zhou, Z.; Wang, K. War Discourse Predicts Stock Market Volatility: A Century of Evidence. Financ. Res. Lett. 2025, 82, 107567. [Google Scholar] [CrossRef]
  66. Huang, Y.; Luk, P. Measuring economic policy uncertainty in China. China Econ. Rev. 2020, 59, 101367. [Google Scholar] [CrossRef]
Figure 1. Mechanism diagram of the effects of retail investor sentiment and economic policy uncertainty (Drawn by the authors).
Figure 1. Mechanism diagram of the effects of retail investor sentiment and economic policy uncertainty (Drawn by the authors).
Systems 14 00406 g001
Figure 2. Flowchart of the study (Drawn by the authors).
Figure 2. Flowchart of the study (Drawn by the authors).
Systems 14 00406 g002
Figure 3. Time series of China’s financial markets and strategic metal assets. (a) Time series of gold (AU); (b) Time series of silver (AG); (c) Time series of the banking sector index (YH); (d) Time series of the stock market index (SH); (e) Time series of copper (CU); (f) Time series of platinum (PT). (Drawn by the authors).
Figure 3. Time series of China’s financial markets and strategic metal assets. (a) Time series of gold (AU); (b) Time series of silver (AG); (c) Time series of the banking sector index (YH); (d) Time series of the stock market index (SH); (e) Time series of copper (CU); (f) Time series of platinum (PT). (Drawn by the authors).
Systems 14 00406 g003
Figure 4. Time series of Log returns for China’s financial markets and strategic metal assets. (a) Time series of log returns for gold (AU); (b) Time series of log returns for silver (AG); (c) Time series of log returns for the banking sector index (YH); (d) Time series of log returns for the stock market index (SH); (e) Time series of log returns for copper (CU); (f) Time series of log returns for platinum (PT). (Drawn by the authors).
Figure 4. Time series of Log returns for China’s financial markets and strategic metal assets. (a) Time series of log returns for gold (AU); (b) Time series of log returns for silver (AG); (c) Time series of log returns for the banking sector index (YH); (d) Time series of log returns for the stock market index (SH); (e) Time series of log returns for copper (CU); (f) Time series of log returns for platinum (PT). (Drawn by the authors).
Systems 14 00406 g004
Figure 5. Nonlinear granger causality between China’s financial markets and strategic metal assets (Note: ** and * denote statistical significance at the 5% and 10% levels, respectively. Darker shades of red indicate smaller p-values and stronger statistical significance). (Drawn by the authors).
Figure 5. Nonlinear granger causality between China’s financial markets and strategic metal assets (Note: ** and * denote statistical significance at the 5% and 10% levels, respectively. Darker shades of red indicate smaller p-values and stronger statistical significance). (Drawn by the authors).
Systems 14 00406 g005
Figure 6. Spillover network between China’s financial markets and strategic metal assets. (a) Total volatility spillover network; (b) Short-term (1–5-day) volatility spillover network; (c) Long-term (5–inf-day) volatility spillover network. (Note: Nodes denote assets. Colored lines represent spillovers from each asset, with arrows for direction and thickness for strength). (Drawn by the authors).
Figure 6. Spillover network between China’s financial markets and strategic metal assets. (a) Total volatility spillover network; (b) Short-term (1–5-day) volatility spillover network; (c) Long-term (5–inf-day) volatility spillover network. (Note: Nodes denote assets. Colored lines represent spillovers from each asset, with arrows for direction and thickness for strength). (Drawn by the authors).
Systems 14 00406 g006
Figure 7. Time series of the volatility spillover index between China’s financial markets and strategic metal assets (Drawn by the authors).
Figure 7. Time series of the volatility spillover index between China’s financial markets and strategic metal assets (Drawn by the authors).
Systems 14 00406 g007
Figure 8. Time series of directional volatility spillovers (TO) between China’s financial markets and strategic metal assets. (a) Directional volatility spillovers (TO) of gold (AU); (b) Directional volatility spillovers (TO) of silver (AG); (c) Directional volatility spillovers (TO) of the banking sector index (YH); (d) Directional volatility spillovers (TO) of the stock market index (SH); (e) Directional volatility spillovers (TO) of copper (CU); (f) Directional volatility spillovers (TO) of platinum (PT). (Drawn by the authors).
Figure 8. Time series of directional volatility spillovers (TO) between China’s financial markets and strategic metal assets. (a) Directional volatility spillovers (TO) of gold (AU); (b) Directional volatility spillovers (TO) of silver (AG); (c) Directional volatility spillovers (TO) of the banking sector index (YH); (d) Directional volatility spillovers (TO) of the stock market index (SH); (e) Directional volatility spillovers (TO) of copper (CU); (f) Directional volatility spillovers (TO) of platinum (PT). (Drawn by the authors).
Systems 14 00406 g008
Figure 9. Time series of directional volatility spill-ins (FROM) between China’s financial markets and strategic metal assets. (a) Directional volatility spill-ins (FROM) of gold (AU); (b) Directional volatility spill-ins (FROM) of silver (AG); (c) Directional volatility spill-ins (FROM) of the banking sector index (YH); (d) Directional volatility spill-ins (FROM) of the stock market index (SH); (e) Directional volatility spill-ins (FROM) of copper (CU); (f) Directional volatility spill-ins (FROM) of platinum (PT). (Drawn by the authors).
Figure 9. Time series of directional volatility spill-ins (FROM) between China’s financial markets and strategic metal assets. (a) Directional volatility spill-ins (FROM) of gold (AU); (b) Directional volatility spill-ins (FROM) of silver (AG); (c) Directional volatility spill-ins (FROM) of the banking sector index (YH); (d) Directional volatility spill-ins (FROM) of the stock market index (SH); (e) Directional volatility spill-ins (FROM) of copper (CU); (f) Directional volatility spill-ins (FROM) of platinum (PT). (Drawn by the authors).
Systems 14 00406 g009
Figure 10. Time series of net volatility spillovers (NET) between China’s financial markets and strategic metal assets. (a) Net volatility spillovers (NET) of gold (AU); (b) Net volatility spillovers (NET) of silver (AG); (c) Net volatility spillovers (NET) of the banking sector index (YH); (d) Net volatility spillovers (NET) of the stock market index (SH); (e) Net volatility spillovers (NET) of copper (CU); (f) Net volatility spillovers (NET) of platinum (PT). (Drawn by the authors).
Figure 10. Time series of net volatility spillovers (NET) between China’s financial markets and strategic metal assets. (a) Net volatility spillovers (NET) of gold (AU); (b) Net volatility spillovers (NET) of silver (AG); (c) Net volatility spillovers (NET) of the banking sector index (YH); (d) Net volatility spillovers (NET) of the stock market index (SH); (e) Net volatility spillovers (NET) of copper (CU); (f) Net volatility spillovers (NET) of platinum (PT). (Drawn by the authors).
Systems 14 00406 g010
Figure 11. Time series of net pairwise spillovers between China’s financial markets and strategic metal assets (Note: Each subplot denotes net pairwise spillovers from the former asset to the latter asset). (Drawn by the authors).
Figure 11. Time series of net pairwise spillovers between China’s financial markets and strategic metal assets (Note: Each subplot denotes net pairwise spillovers from the former asset to the latter asset). (Drawn by the authors).
Systems 14 00406 g011
Figure 12. Large-scale financial sentiment analysis framework based on LLM knowledge distillation (Drawn by the authors).
Figure 12. Large-scale financial sentiment analysis framework based on LLM knowledge distillation (Drawn by the authors).
Systems 14 00406 g012
Figure 13. Training loss curve (Drawn by the authors).
Figure 13. Training loss curve (Drawn by the authors).
Systems 14 00406 g013
Figure 14. Machine learning fitted scatter plot (Drawn by the authors).
Figure 14. Machine learning fitted scatter plot (Drawn by the authors).
Systems 14 00406 g014
Figure 15. Comparison of sentiment score distributions (Drawn by the authors).
Figure 15. Comparison of sentiment score distributions (Drawn by the authors).
Systems 14 00406 g015
Figure 16. Knowledge distillation efficiency analysis (Drawn by the authors).
Figure 16. Knowledge distillation efficiency analysis (Drawn by the authors).
Systems 14 00406 g016
Figure 17. Time series of retail investor sentiment (Drawn by the authors).
Figure 17. Time series of retail investor sentiment (Drawn by the authors).
Systems 14 00406 g017
Figure 18. Nonlinear granger causality among retail investor sentiment, China’s financial markets, and strategic metal assets (Note: ** and * denote statistical significance at the 5% and 10% levels, respectively. Darker shades of red indicate smaller p-values and stronger statistical significance). (Drawn by the authors).
Figure 18. Nonlinear granger causality among retail investor sentiment, China’s financial markets, and strategic metal assets (Note: ** and * denote statistical significance at the 5% and 10% levels, respectively. Darker shades of red indicate smaller p-values and stronger statistical significance). (Drawn by the authors).
Systems 14 00406 g018
Figure 19. Time series of net pairwise spillovers from retail investor sentiment to China’s financial markets and strategic metal assets. (a) Net pairwise spillovers from retail investor sentiment to gold (AU); (b) Net pairwise spillovers from retail investor sentiment to silver (AG); (c) Net pairwise spillovers from retail investor sentiment to the banking sector index (YH); (d) Net pairwise spillovers from retail investor sentiment to the stock market index (SH); (e) Net pairwise spillovers from retail investor sentiment to copper (CU); (f) Net pairwise spillovers from retail investor sentiment to platinum (PT). (Drawn by the authors).
Figure 19. Time series of net pairwise spillovers from retail investor sentiment to China’s financial markets and strategic metal assets. (a) Net pairwise spillovers from retail investor sentiment to gold (AU); (b) Net pairwise spillovers from retail investor sentiment to silver (AG); (c) Net pairwise spillovers from retail investor sentiment to the banking sector index (YH); (d) Net pairwise spillovers from retail investor sentiment to the stock market index (SH); (e) Net pairwise spillovers from retail investor sentiment to copper (CU); (f) Net pairwise spillovers from retail investor sentiment to platinum (PT). (Drawn by the authors).
Systems 14 00406 g019
Figure 20. Spillover network among retail investor sentiment, China’s financial markets, and strategic metal assets. (a) Total volatility spillover network; (b) Short-term (1–5-day) volatility spillover network; (c) Long-term (5–inf-day) volatility spillover network. (Note: Nodes denote assets. Colored lines represent spillovers from each asset, with arrows for direction and thickness for strength). (Drawn by the authors).
Figure 20. Spillover network among retail investor sentiment, China’s financial markets, and strategic metal assets. (a) Total volatility spillover network; (b) Short-term (1–5-day) volatility spillover network; (c) Long-term (5–inf-day) volatility spillover network. (Note: Nodes denote assets. Colored lines represent spillovers from each asset, with arrows for direction and thickness for strength). (Drawn by the authors).
Systems 14 00406 g020
Figure 21. Spillover network among economic policy uncertainty, retail investor sentiment, China’s financial markets, and strategic metal assets. (a) Total volatility spillover network; (b) Short-term (1–6-month) volatility spillover network; (c) Long-term (6–inf-month) volatility spillover network. (Note: Nodes denote assets. Colored lines represent spillovers from each asset, with arrows for di-rection and thickness for strength). (Drawn by the authors).
Figure 21. Spillover network among economic policy uncertainty, retail investor sentiment, China’s financial markets, and strategic metal assets. (a) Total volatility spillover network; (b) Short-term (1–6-month) volatility spillover network; (c) Long-term (6–inf-month) volatility spillover network. (Note: Nodes denote assets. Colored lines represent spillovers from each asset, with arrows for di-rection and thickness for strength). (Drawn by the authors).
Systems 14 00406 g021
Table 1. Variables and data sources.
Table 1. Variables and data sources.
VariableData Source
sentimentComments from the Eastmoney Stock Bar of ZSSH000001
AUShanghai Gold Exchange Au99.99 Spot Contract (AU9999)
AGShanghai Gold Exchange Silver Deferred Contract (AG(T+D))
YHCSI Banks Index
SHShanghai Composite Index
CUShanghai Futures Exchange Copper Continuous Index
PTShanghai Gold Exchange Platinum Contract (Pt9995)
Table 2. Descriptive statistics of Log returns for China’s financial markets and strategic metal assets.
Table 2. Descriptive statistics of Log returns for China’s financial markets and strategic metal assets.
MeanSDSEVarKurtosisSkewnessMinMaxADFJBARCH
sentiment−0.22050.00210.12980.01682.22360.7589−0.75480.54880.0000.0000.000
AU0.03260.01450.88900.79038.5512−0.6323−9.44335.03330.0000.0000.000
AG0.02640.02661.62692.64677.0128−0.4891−11.37139.01800.0000.0000.000
YH0.01510.02281.39721.95216.32360.0842−10.50188.64850.0000.0000.000
SH0.00930.02061.25941.58607.2023−0.8587−8.87297.75510.0000.0000.000
CU0.01050.01911.16921.36694.4163−0.2188−6.84866.16020.0000.0000.000
PT−0.00010.02181.33151.77295.0382−0.0520−10.406910.41120.0000.0000.000
Table 3. Total static spillover matrix.
Table 3. Total static spillover matrix.
AUAgYHSHCUPTFROM
AU50.6828.790.741.043.5615.249.32
Ag26.6646.681.191.778.115.5953.32
YH0.811.4860.330.235.571.6239.7
SH12.1628.9258.187.931.8141.82
CU4.1610.715.718.462.958.0737.05
PT16.3318.161.571.917.2854.7545.25
TO48.9561.338.1443.3532.4342.29TCI
Net−0.367.98−1.561.53−4.62−2.9644.41
Table 4. Short-term static spillover matrix (1–5-day).
Table 4. Short-term static spillover matrix (1–5-day).
AU (1–5)Ag (1–5)YH (1–5)SH (1–5)CU (1–5)PT (1–5)FROM (1–5)
AU4123.410.620.852.9212.2940.09
Ag21.3637.450.961.416.4112.4942.62
YH0.641.1748.7824.754.581.2932.42
SH0.811.7422.8446.276.461.4733.32
CU3.498.94.87.1151.596.6330.92
PT12.9214.191.171.395.643.9935.26
TO39.2149.4130.3835.5125.9834.16TCI
Net−0.896.79−2.052.19−4.95−1.135.77
Table 5. Long-term static spillover matrix (5–inf-day).
Table 5. Long-term static spillover matrix (5–inf-day).
AU (5–Inf)Ag (5–Inf)YH (5–Inf)SH (5–Inf)CU (5–Inf)PT (5–Inf)FROM (5–Inf)
AU9.695.380.120.180.632.99.22
Ag5.39.230.240.361.693.1110.69
YH0.170.3111.525.480.990.337.28
SH0.190.416.0811.911.470.348.5
CU0.671.810.911.2911.361.456.13
PT3.413.970.410.521.6710.769.99
TO9.7511.897.767.836.458.13TCI
Net0.521.20.48−0.660.32−1.868.64
Disclaimer/Publisher’s Note: The statements, opinions and data contained in all publications are solely those of the individual author(s) and contributor(s) and not of MDPI and/or the editor(s). MDPI and/or the editor(s) disclaim responsibility for any injury to people or property resulting from any ideas, methods, instructions or products referred to in the content.

Share and Cite

MDPI and ACS Style

Sheng, D.; Wang, J.; Wang, L. Volatility Spillovers Between China’s Financial Markets and Strategic Metal Assets: Evidence from LLM Knowledge Distillation. Systems 2026, 14, 406. https://doi.org/10.3390/systems14040406

AMA Style

Sheng D, Wang J, Wang L. Volatility Spillovers Between China’s Financial Markets and Strategic Metal Assets: Evidence from LLM Knowledge Distillation. Systems. 2026; 14(4):406. https://doi.org/10.3390/systems14040406

Chicago/Turabian Style

Sheng, Dian, Jining Wang, and Lei Wang. 2026. "Volatility Spillovers Between China’s Financial Markets and Strategic Metal Assets: Evidence from LLM Knowledge Distillation" Systems 14, no. 4: 406. https://doi.org/10.3390/systems14040406

APA Style

Sheng, D., Wang, J., & Wang, L. (2026). Volatility Spillovers Between China’s Financial Markets and Strategic Metal Assets: Evidence from LLM Knowledge Distillation. Systems, 14(4), 406. https://doi.org/10.3390/systems14040406

Note that from the first issue of 2016, this journal uses article numbers instead of page numbers. See further details here.

Article Metrics

Back to TopTop