Analysis of the Impact of Heterogeneous Platoon for Mixed Traffic Flow: Stability and Safety
Abstract
1. Introduction
2. Literature Review
3. Methodology
3.1. String Stability
3.1.1. Composition of Homogeneous Platoons
- (1)
- CTG strategy
- (2)
- VTG1 strategy
- (3)
- VTG2 strategywhere and are the spacing and speed difference between vehicle and its preceding vehicle ; and are the general expressions of the longitudinal control model and the acceleration feedback parameters under the * strategy, where * = {CTG, VTG1, VTG2}.
3.1.2. Homogeneous Traffic Flow
- (1)
- Stability conditions with different spacing control strategies
- CTG strategy
- VTG1 strategy
- VTG2 strategy
- (2)
- Stability conditions for HDVs
3.1.3. Heterogeneous Traffic Flow
3.2. Traffic Safety
4. Numerical Simulation
4.1. Traffic Stability Simulation with a Straight Highway
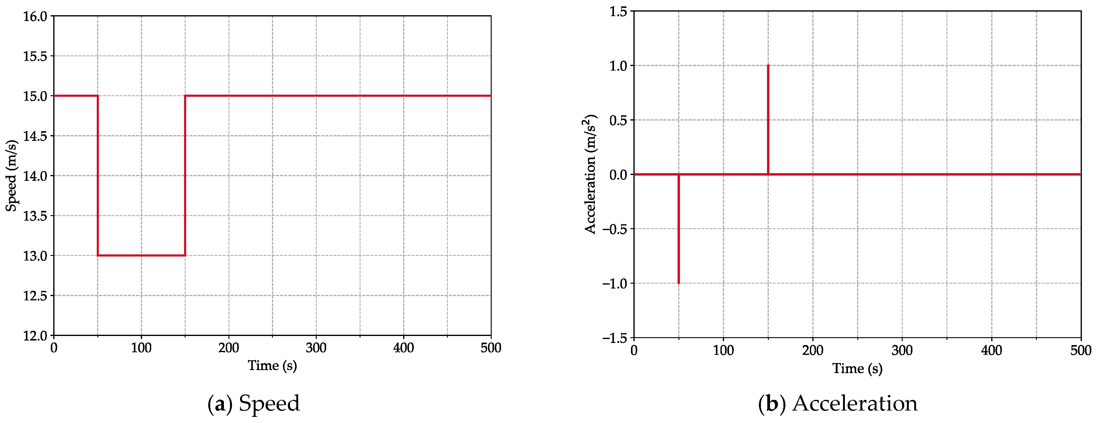
4.1.1. Experiment Settings
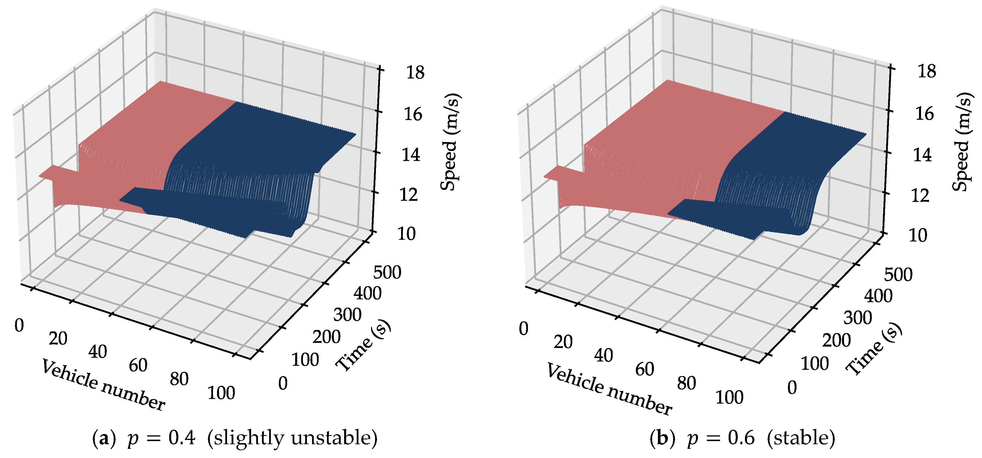
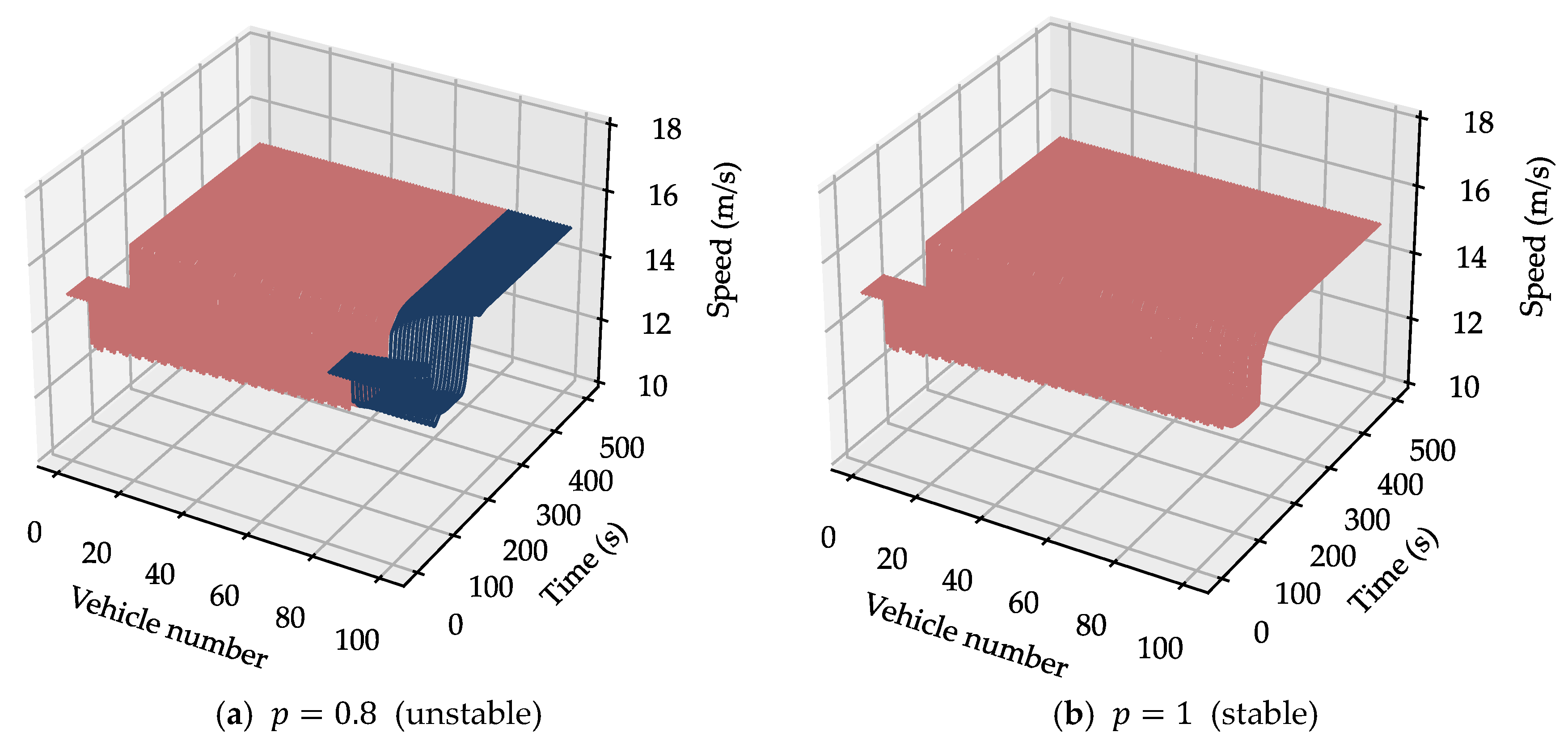
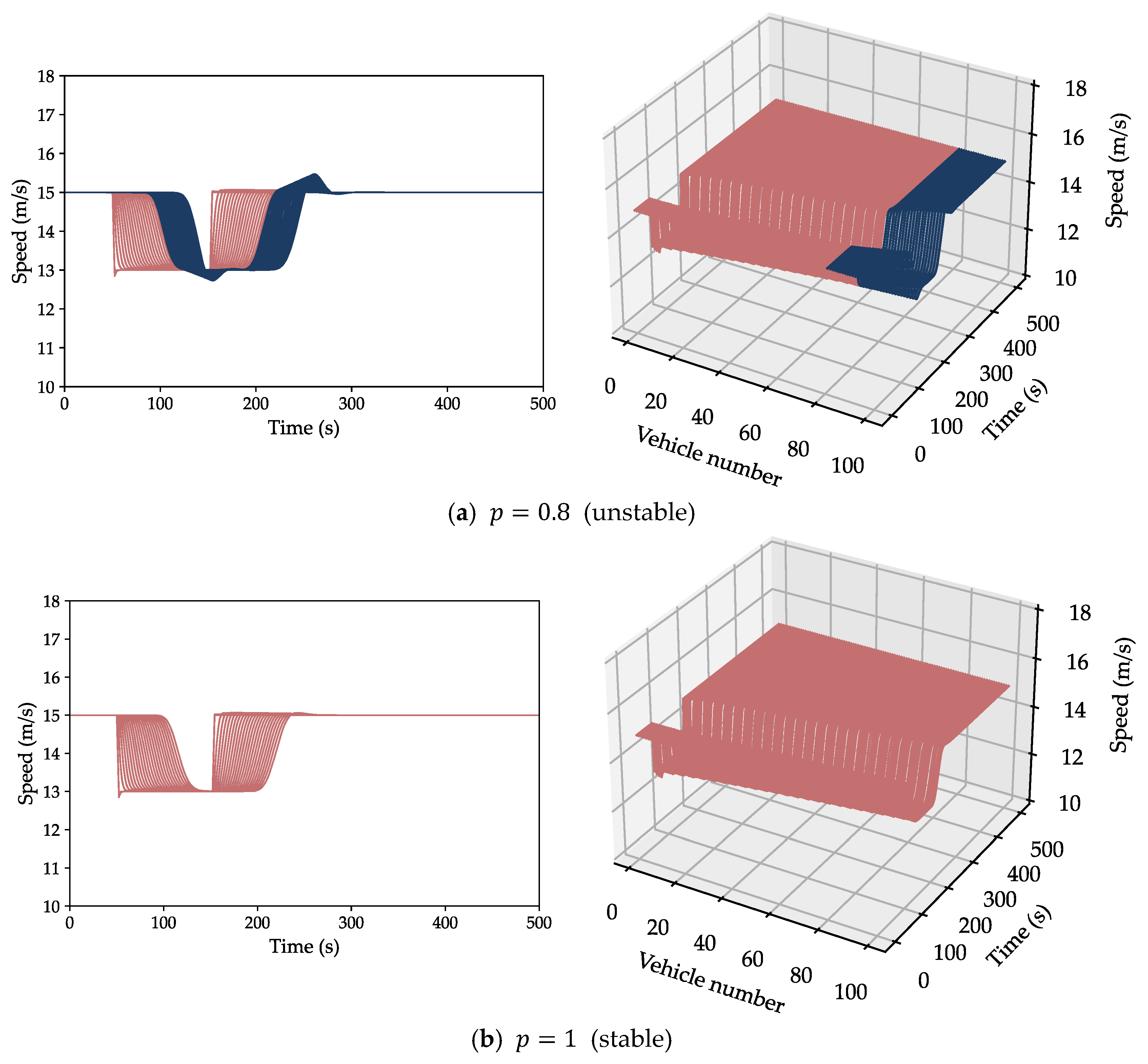
4.1.2. Result Analysis
4.2. Traffic Stability Simulation with a Ring Highway
4.2.1. Experiment Settings
4.2.2. Result Analysis
- CTG–CTG exhibits only mild speed fluctuations at densities of 45–50 veh/km;
- VTG1–VTG1 shows noticeable disturbances over 40–80 veh/km;
- VTG2–VTG2 becomes unstable in the higher-density range of 55–100 veh/km;
- BS–BS displays instability primarily between 30 and 50 veh/km.


- High-performing strategies—including CTG–CTG, VTG1–VTG1, VTG2–VTG2, BS–BS, VTG1–CTG, and VTG2–CTG—effectively stabilize mixed traffic;
- CTG–CS shows slightly degraded performance;
- VTG1–CS, VTG2–CS, and BS–CS perform worst, exhibiting persistent speed oscillations even at p = 0.6.
4.3. Traffic Safety Simulation with a Straight Highway
4.3.1. Experiment Settings
4.3.2. Result Analysis
- (1)
- Analysis of TET characteristics
- (2)
- Analysis of TIT characteristics
5. Conclusions and Future Work
Author Contributions
Funding
Institutional Review Board Statement
Informed Consent Statement
Data Availability Statement
Conflicts of Interest
Abbreviations
| ASP | adaptive spacing policy |
| ACC | adaptive cruise control |
| BS | balanced spacing |
| CAV | connected and automated vehicle |
| CACC | cooperative adaptive cruise control |
| CS | constant spacing |
| CSF | constant safety factor |
| CTG | constant time gap |
| CTH | constant time headway |
| HDV | human-driven vehicle |
| IDM | intelligent driver model |
| RCRI | rear-end collision risk index |
| SD | standard deviation |
| SSP | safety spacing policy |
| TET | time exposed time-to-collision |
| TTC | time-to-crash |
| VTG | variable time gap strategy |
| VTG1 | VTG strategy with the relative speed of the preceding vehicle |
| VTG2 | VTG strategy with vehicle speed |
| VTH | variable time headway |
References
- Wang, X.; Fu, H.; Lu, J.; Han, S. Study on Road Section Environmental Traffic Capacity Model and Algorithm under Double Constraints. Transp. Res. Part D Transp. Environ. 2016, 48, 14–19. [Google Scholar] [CrossRef]
- Talebpour, A.; Mahmassani, H.S. Influence of Connected and Autonomous Vehicles on Traffic Flow Stability and Throughput. Transp. Res. Part C Emerg. Technol. 2016, 71, 143–163. [Google Scholar] [CrossRef]
- Ren, X.; Bai, L.; Zheng, Y.; Han, Y.; Liu, P. Mixed Traffic Capacity Estimation of Autonomous Vehicles Impact Based on Empirical Data. Appl. Math. Model. 2024, 135, 193–211. [Google Scholar] [CrossRef]
- Zheng, F.; Menendez, M.; Li, X.; Guler, I.; van Zuylen, H. Modeling and Managing Mixed Traffic with Human-Driven and Automated Vehicles. Transp. Res. Part C Emerg. Technol. 2020, 121, 102825. [Google Scholar] [CrossRef]
- Zhou, J.; Zhu, F. Modeling the Fundamental Diagram of Mixed Human-Driven and Connected Automated Vehicles. Transp. Res. Part C Emerg. Technol. 2020, 115, 102614. [Google Scholar] [CrossRef]
- Li, Z.; Zhou, Y.; Zhang, Y.; Li, X. Enhancing Vehicular Platoon Stability in the Presence of Communication Cyberattacks: A Reliable Longitudinal Cooperative Control Strategy. Transp. Res. Part C Emerg. Technol. 2024, 163, 104660. [Google Scholar] [CrossRef]
- Vahidi, A.; Sciarretta, A. Energy Saving Potentials of Connected and Automated Vehicles. Transp. Res. Part C Emerg. Technol. 2018, 95, 822–843. [Google Scholar] [CrossRef]
- Brown, K.E.; Dodder, R. Energy and Emissions Implications of Automated Vehicles in the U.S. Energy System. Transp. Res. Part D Transp. Environ. 2019, 77, 132–147. [Google Scholar] [CrossRef]
- Moriarty, P.; Wang, S.J. Could Automated Vehicles Reduce Transport Energy? Energy Procedia 2017, 142, 2109–2113. [Google Scholar] [CrossRef]
- Yue, L.; Abdel-Aty, M.; Wu, Y.; Wang, L. Assessment of the Safety Benefits of Vehicles’ Advanced Driver Assistance, Connectivity and Low Level Automation Systems. Accid. Anal. Prev. 2018, 117, 55–64. [Google Scholar] [CrossRef]
- Singh, S. Critical Reasons for Crashes Investigated in the National Motor Vehicle Crash Causation Survey. Traffic Safety Fact—Crash Stats; DOT HS 812 115; National Center for Statistics and Analysis: Washington, DC, USA, 2015. [Google Scholar]
- Rahman, M.S.; Abdel-Aty, M.; Lee, J.; Rahman, M.H. Safety Benefits of Arterials’ Crash Risk under Connected and Automated Vehicles. Transp. Res. Part C Emerg. Technol. 2019, 100, 354–371. [Google Scholar] [CrossRef]
- Yi, Z.; Lu, W.; Qu, X.; Gan, J.; Li, L.; Ran, B. A Bidirectional Car-Following Model Considering Distance Balance between Adjacent Vehicles. Phys. A 2022, 603, 127606. [Google Scholar] [CrossRef]
- Ge, X.; Han, Q.-L.; Zhang, X.-M.; Ding, D. Communication Resource-Efficient Vehicle Platooning Control with Various Spacing Policies. IEEE CAA J. Autom. Sin. 2024, 11, 362–376. [Google Scholar] [CrossRef]
- Swaroop, D.; Hedrick, J.K. Constant Spacing Strategies for Platooning in Automated Highway Systems. J. Dyn. Syst. Meas. Control 1999, 121, 462–470. [Google Scholar] [CrossRef]
- Seiler, P.; Pant, A.; Hedrick, K. Disturbance Propagation in Vehicle Strings. IEEE Trans. Autom. Control 2004, 49, 1835–1842. [Google Scholar] [CrossRef]
- Dong, J.; Wang, J.; Chen, L.; Gao, Z.; Luo, D. Effect of Adaptive Cruise Control on Mixed Traffic Flow: A Comparison of Constant Time Gap Policy with Variable Time Gap Policy. J. Adv. Transp. 2021, 2021, 3745989. [Google Scholar] [CrossRef]
- Mahdinia, I.; Arvin, R.; Khattak, A.J.; Ghiasi, A. Safety, Energy, and Emissions Impacts of Adaptive Cruise Control and Cooperative Adaptive Cruise Control. Transp. Res. Rec. 2020, 2674, 253–267. [Google Scholar] [CrossRef]
- Rödönyi, G. An Adaptive Spacing Policy Guaranteeing String Stability in Multi-Brand Ad Hoc Platoons. IEEE Trans. Intell. Transp. Syst. 2018, 19, 1902–1912. [Google Scholar] [CrossRef]
- Bayar, B.; Sajadi-Alamdari, S.A.; Viti, F.; Voos, H. Impact of Different Spacing Policies for Adaptive Cruise Control on Traffic and Energy Consumption of Electric Vehicles. In Proceedings of the 2016 24th Mediterranean Conference on Control and Automation (MED), Athens, Greece, 21–24 June 2016; IEEE: New York, NY, USA, 2016; pp. 1349–1354. [Google Scholar]
- Zhao, J.; Oya, M.; El Kamel, A. A Safety Spacing Policy and Its Impact on Highway Traffic Flow. In Proceedings of the 2009 IEEE Intelligent Vehicles Symposium, Xi’an, China, 3–5 June 2009; IEEE: New York, NY, USA, 2009; pp. 960–965. [Google Scholar]
- Hung, N.V.; Luu, D.L.; Pham, Q.T.; Lupu, C. Comparative Analysis of Different Spacing Policies for Longitudinal Control in Vehicle Platooning. Proc. Inst. Mech. Eng. Part D J. Automob. Eng. 2024, 239, 4810–4825. [Google Scholar] [CrossRef]
- Wu, Y.; Li, L.; Yao, Z.; Wang, Y.; Li, G.; Jiang, Y. Analysis of the Impact of Heterogeneous Platoon for Mixed Traffic Flow: Control Strategy, Fuel Consumption and Emissions. Expert Syst. Appl. 2025, 272, 126802. [Google Scholar] [CrossRef]
- Li, L.; Wu, Y.; Zeng, Q.; Wang, Y.; Jiang, Y.; Yao, Z. Analysis of the Impact of Heterogeneous Platoon for Mixed Traffic Flow: A Fundamental Diagram Method. Phys. A Stat. Mech. Its Appl. 2025, 660, 130398. [Google Scholar] [CrossRef]
- Liu, J.; Yin, Y. Research on Simulation of Traffic Congestion Based on Cascade Failure. J. Transp. Eng. Inf. 2018, 16, 136–144. Available online: https://jtgc.cbpt.cnki.net/portal/journal/portal/client/paper/JTGC_e9056d9d-f6cc-4f57-ae4e-c419944c7d91 (accessed on 16 December 2025).
- Sun, S.; Song, G.; Sun, J.; Lei, X.; Zhu, R.; Fan, P. Short-Term Prediction of the Congestion Index Based on the Number of Vehicles on the Road Network. J. Transp. Eng. Inf. 2023, 21, 98–107. [Google Scholar] [CrossRef]
- Wang, J.; Lei, L.; Xiong, X.; Lin, W. Longitudinal Control of Intelligent Fleet Considering Communication Delay. J. Transp. Eng. Inf. 2024, 22, 37–51. [Google Scholar] [CrossRef]
- Zheng, Y.; Zhang, Y.; He, S. Control Strategy for Connected and Automated Vehicle Platoon Considering Information Synchronization under Time-Varying Delays of Multiple Sources. J. Transp. Eng. Inf. 2022, 20, 25–41. [Google Scholar] [CrossRef]
- Canudas de Wit, C.; Brogliato, B. Stability Issues for Vehicle Platooning in Automated Highway Systems. In Proceedings of the 1999 IEEE International Conference on Control Applications (Cat. No.99CH36328), Kohala Coast, HI, USA, 22–27 August 1999; IEEE: New York, NY, USA, 1999; Volume 2, pp. 1377–1382. [Google Scholar]
- Shaw, E.; Hedrick, J.K. String Stability Analysis for Heterogeneous Vehicle Strings. In Proceedings of the 2007 American Control Conference, New York, NY, USA, 11–13 July 2007; IEEE: New York, NY, USA, 2007; pp. 3118–3125. [Google Scholar]
- Peters, A.A.; Middleton, R.H.; Mason, O. Leader Tracking in Homogeneous Vehicle Platoons with Broadcast Delays. Automatica 2014, 50, 64–74. [Google Scholar] [CrossRef]
- Middleton, R.H.; Braslavsky, J.H. String Instability in Classes of Linear Time Invariant Formation Control with Limited Communication Range. IEEE Trans. Autom. Control 2010, 55, 1519–1530. [Google Scholar] [CrossRef]
- Corli, A.; Fan, H. String Stablity in Traffic Flows. Appl. Math. Comput. 2023, 443, 127775. [Google Scholar] [CrossRef]
- Lee, S.-H. A Spatiotemporal Spacing Policy and String Stability for Heterogeneous Vehicle Platooning. IEEE Trans. Veh. Technol. 2024, 73, 16328–16340. [Google Scholar] [CrossRef]
- Santhanakrishnan, K.; Rajamani, R. On Spacing Policies for Highway Vehicle Automation. IEEE Trans. Intell. Transp. Syst. 2003, 4, 198–204. [Google Scholar] [CrossRef]
- Ye, L.; Yamamoto, T. Evaluating the Impact of Connected and Autonomous Vehicles on Traffic Safety. Phys. A Stat. Mech. Its Appl. 2019, 526, 121009. [Google Scholar] [CrossRef]
- Minderhoud, M.M.; Bovy, P.H.L. Extended Time-to-Collision Measures for Road Traffic Safety Assessment. Accid. Anal. Prev. 2001, 33, 89–97. [Google Scholar] [CrossRef] [PubMed]
- Li, Y.; Tu, Y.; Fan, Q.; Dong, C.; Wang, W. Influence of Cyber-Attacks on Longitudinal Safety of Connected and Automated Vehicles. Accid. Anal. Prev. 2018, 121, 148–156. [Google Scholar] [CrossRef] [PubMed]
- Zheng, Y.; Xu, M.; Wu, S.; Wang, S. Development of Connected and Automated Vehicle Platoons with Combined Spacing Policy. IEEE Trans. Intell. Transp. Syst. 2023, 24, 596–614. [Google Scholar] [CrossRef]
- Guo, G.; Li, P.; Hao, L. Adaptive Fault-tolerant Control of Platoons with Guaranteed Traffic Flow Stability. IEEE Trans. Veh. Technol. 2020, 69, 6916–6927. [Google Scholar] [CrossRef]
- Guanetti, J.; Kim, Y.; Borrelli, F. Control of Connected and Automated Vehicles: State of the Art and Future Challenges. Annu. Rev. Control 2018, 45, 18–40. [Google Scholar] [CrossRef]
- Yao, Z.; Hu, R.; Jiang, Y.; Xu, T. Stability and Safety Evaluation of Mixed Traffic Flow with Connected Automated Vehicles on Expressways. J. Saf. Res. 2020, 75, 262–274. [Google Scholar] [CrossRef]
- Milanés, V.; Shladover, S.E.; Spring, J.; Nowakowski, C.; Kawazoe, H.; Nakamura, M. Cooperative Adaptive Cruise Control in Real Traffic Situations. IEEE Trans. Intell. Transp. Syst. 2014, 15, 296–305. [Google Scholar] [CrossRef]
- Zhang, X.; Huang, Y.; Guo, K.; Peng, T.; Sun, S.; Li, W. Integrated Spacing Policy Considering Micro- and Macroscopic Characteristics. Automot. Innov. 2019, 2, 102–109. [Google Scholar] [CrossRef]
- ElBaklish, S.; Kouvelas, A.; Makridis, M. A Variable Time Gap Feedback Policy for String Stable Adaptive Cruise Control. In Proceedings of the 24th Swiss Transport Research Conference (STRC 2024), Monte Verità, Switzerland, 15–17 May 2024; STRC: Monte Verità, Switzerland, 2024. [Google Scholar]
- Feng, S.; Zhang, Y.; Li, S.E.; Cao, Z.; Liu, H.X.; Li, L. String Stability for Vehicular Platoon Control: Definitions and Analysis Methods. Annu. Rev. Control 2019, 47, 81–97. [Google Scholar] [CrossRef]
- Zheng, Y.; Zhang, Y.; Qu, X.; Li, S.; Ran, B. Developing Platooning Systems of Connected and Automated Vehicles with Guaranteed Stability and Robustness against Degradation Due to Communication Disruption. Transp. Res. Part C Emerg. Technol. 2024, 168, 104768. [Google Scholar] [CrossRef]
- Ruan, T.; Chen, Y.; Li, X.; Wang, J.; Liu, Y.; Wang, H. Stability Analysis and Controller Design of the Cooperative Adaptive Cruise Control Platoon Considering a Rate-Free Time-Varying Communication Delay and Uncertainties. Transp. Res. Part C Emerg. Technol. 2025, 170, 104913. [Google Scholar] [CrossRef]
- Li, X. Trade-off between Safety, Mobility and Stability in Automated Vehicle Following Control: An Analytical Method. Transp. Res. Part B Methodol. 2022, 166, 1–18. [Google Scholar] [CrossRef]
- Xiao, L.; Gao, F. Practical String Stability of Platoon of Adaptive Cruise Control Vehicles. IEEE Trans. Intell. Transp. Syst. 2011, 12, 1184–1194. [Google Scholar] [CrossRef]
- Besselink, B.; Johansson, K.H. String Stability and a Delay-Based Spacing Policy for Vehicle Platoons Subject to Disturbances. IEEE Trans. Autom. Control 2017, 62, 4376–4391. [Google Scholar] [CrossRef]
- Zheng, Y.; Zhang, G.; Li, Y.; Li, Z. Optimal Jam-Absorption Driving Strategy for Mitigating Rear-End Collision Risks with Oscillations on Freeway Straight Segments. Accid. Anal. Prev. 2020, 135, 105367. [Google Scholar] [CrossRef]
- Cui, L.; Chen, Z.; Wang, A.; Hu, J.; Park, B.B. Development of a Robust Cooperative Adaptive Cruise Control with Dynamic Topology. IEEE Trans. Intell. Transp. Syst. 2022, 23, 4279–4290. [Google Scholar] [CrossRef]
- Dong, J.; Wang, J.; Gao, Z.; Luo, D. Performance Comparison of Adaptive Cruise Control in Mixed Traffic Flow Considering Different Time Headway Policies. In Proceedings of the 2021 6th International Conference on Transportation Information and Safety (ICTIS), Wuhan, China, 22–24 October 2021; IEEE: New York, NY, USA, 2021; pp. 130–135. [Google Scholar]
- Archer, J.; Kosonen, I. The Potential of Micro-Simulation Modelling in Relation to Traffic Safety Assessment. In Proceedings of the ESS Conference, Hamburg, Germany, 28–30 September 2000; Citeseer: University Park, PA, USA, 2000; pp. 427–443. [Google Scholar]
- Hayward, J.C. Near-Miss Determination Through Use of a Scale of Danger; Highway Research Record: Washington, DC, USA, 1972. [Google Scholar]
- El-Baklish, S.K.; Kouvelas, A.; Makridis, M.A. Driving Towards Stability and Efficiency: A Variable Time Gap Strategy for Adaptive Cruise Control. Transp. Res. Part C Emerg. Technol. 2024, 174, 105074. [Google Scholar] [CrossRef]
- Wang, H.; Qin, Y.; Wang, W.; Chen, J. Stability of CACC-Manual Heterogeneous Vehicular Flow with Partial CACC Performance Degrading. Transp. B Transp. Dyn. 2019, 7, 788–813. [Google Scholar] [CrossRef]
- Sha, H.; Singh, M.K.; Haouari, R.; Papazikou, E.; Quddus, M.; Quigley, C.; Chaudhry, A.; Thomas, P.; Weijermars, W.; Morris, A. Network-Wide Safety Impacts of Dedicated Lanes for Connected and Autonomous Vehicles. Accid. Anal. Prev. 2024, 195, 107424. [Google Scholar] [CrossRef]
- Treiber, M.; Kesting, A. Traffic Flow Dynamics: Data, Models and Simulation; Springer: Berlin/Heidelberg, Germany, 2013; ISBN 978-3-642-32459-8. [Google Scholar]
- Yu, X.; Guo, G. A General Variable Time Headway Policy in Platoon Control. Acta Autom. Sin. 2019, 45, 1335–1343. [Google Scholar] [CrossRef]
- Qin, Y.; Yang, J.; Li, S. Car-Following Model of Intelligent and Connected Vehicle Considering Variable Headway. J. Jiangsu Univ. 2022, 43, 381–385. [Google Scholar] [CrossRef]
- Qin, Y. Study on Analytical Method of Heterogeneous Traffic Flow Characteristics under Connected and Autonomous Environment. Ph.D. Thesis, Southeast University, Nanjing, China, 2019. [Google Scholar]
- Sharma, A.; Zheng, Z.; Kim, J.; Bhaskar, A.; Haque, M.M. Assessing Traffic Disturbance, Efficiency, and Safety of the Mixed Traffic Flow of Connected Vehicles and Traditional Vehicles by Considering Human Factors. Transp. Res. Part C Emerg. Technol. 2021, 124, 102934. [Google Scholar] [CrossRef]














| Strategy | Maximum Speed | Minimum Speed | Speed Difference | |
|---|---|---|---|---|
| CTG–CTG | 17.54 | 10.26 | 7.28 | |
| 15.40 | 12.69 | 2.71 | ||
| 15.00 | 13.02 | 1.98 | ||
| CTG–CS | 15.44 | 12.77 | 2.67 | |
| 15.00 | 13.01 | 1.99 | ||
| VTG1–VTG1 | 15.70 | 12.44 | 3.26 | |
| 15.00 | 13.01 | 1.99 | ||
| VTG1–CTG | 15.71 | 12.44 | 3.27 | |
| 15.00 | 13.01 | 1.99 | ||
| VTG1–CS | 15.40 | 12.85 | 2.55 | |
| 15.00 | 13.00 | 2.00 | ||
| VTG2–VTG2 | 15.05 | 12.94 | 2.11 | |
| 15.00 | 13.04 | 1.96 | ||
| VTG2–CTG | 15.53 | 12.58 | 2.95 | |
| 15.00 | 13.01 | 1.99 | ||
| VTG2–CS | 15.70 | 12.57 | 3.13 | |
| 15.00 | 13.00 | 2.00 | ||
| BS–BS | 15.31 | 12.75 | 2.56 | |
| 15.09 | 12.96 | 2.13 | ||
| 15.02 | 13.01 | 2.01 | ||
| BS–CS | 15.47 | 12.73 | 2.74 | |
| 15.06 | 13.00 | 2.06 | ||
Disclaimer/Publisher’s Note: The statements, opinions and data contained in all publications are solely those of the individual author(s) and contributor(s) and not of MDPI and/or the editor(s). MDPI and/or the editor(s) disclaim responsibility for any injury to people or property resulting from any ideas, methods, instructions or products referred to in the content. |
© 2026 by the authors. Licensee MDPI, Basel, Switzerland. This article is an open access article distributed under the terms and conditions of the Creative Commons Attribution (CC BY) license.
Share and Cite
Tu, D.; Wu, Y.; Li, L.; Jiang, Y.; Wang, Y.; Yao, Z. Analysis of the Impact of Heterogeneous Platoon for Mixed Traffic Flow: Stability and Safety. Systems 2026, 14, 304. https://doi.org/10.3390/systems14030304
Tu D, Wu Y, Li L, Jiang Y, Wang Y, Yao Z. Analysis of the Impact of Heterogeneous Platoon for Mixed Traffic Flow: Stability and Safety. Systems. 2026; 14(3):304. https://doi.org/10.3390/systems14030304
Chicago/Turabian StyleTu, Dan, Yunxia Wu, Le Li, Yangsheng Jiang, Yi Wang, and Zhihong Yao. 2026. "Analysis of the Impact of Heterogeneous Platoon for Mixed Traffic Flow: Stability and Safety" Systems 14, no. 3: 304. https://doi.org/10.3390/systems14030304
APA StyleTu, D., Wu, Y., Li, L., Jiang, Y., Wang, Y., & Yao, Z. (2026). Analysis of the Impact of Heterogeneous Platoon for Mixed Traffic Flow: Stability and Safety. Systems, 14(3), 304. https://doi.org/10.3390/systems14030304

