Next Article in Journal
Developing a Dynamic Simulation Model for Point-of-Care Ultrasound Assessment and Learning Curve Analysis
Next Article in Special Issue
Mathematical Methods for Inventory Management in Dynamic Supply Chains
Previous Article in Journal
How Does Artificial Intelligence Technology Influence Labor Share: The Role of Labor Structure Upgrading
Previous Article in Special Issue
Digitalization of Air Cargo Supply Chains: A Case Study of Latvia
 
 
Due to scheduled maintenance work on our servers, there may be short service disruptions on this website between 11:00 and 12:00 CEST on March 28th.
Font Type:
Arial Georgia Verdana
Font Size:
Aa Aa Aa
Line Spacing:
Column Width:
Background:
Article

Green and Low-Carbon Strategy of Logistics Enterprises Under “Dual Carbon”: A Tripartite Evolutionary Game Simulation

1
Finance and Economics College, Jimei University, Xiamen 361021, China
2
School of Business Administration, Jimei University, Xiamen 361021, China
3
School of Business Administration, Henan Polytechnic University, Jiaozuo 454000, China
*
Author to whom correspondence should be addressed.
Systems 2025, 13(7), 590; https://doi.org/10.3390/systems13070590
Submission received: 8 June 2025 / Revised: 10 July 2025 / Accepted: 12 July 2025 / Published: 15 July 2025

Abstract

In the low-carbon era, there is a serious challenge of climate change, which urgently needs to promote low-carbon consumption behavior in order to build sustainable low-carbon consumption patterns. The establishment of this model not only requires in-depth theoretical research as support, but also requires tripartite cooperation between the government, enterprises and the public to jointly promote the popularization and practice of the low-carbon consumption concept. Therefore, by constructing a tripartite evolutionary game model and simulation analysis, this study deeply discusses the mechanism of government policy on the strategy choice of logistics enterprises. The stability strategy and satisfying conditions are deeply analyzed by constructing a tripartite evolutionary game model of the logistics industry, government, and consumers. With the help of MATLAB R2023b simulation analysis, the following key conclusions are drawn: (1) The strategic choice of logistics enterprises is affected by various government policies, including research and development intensity, construction intensity, and punishment intensity. These government policies and measures guide logistics enterprises toward low-carbon development. (2) The government’s research, development, and punishment intensity are vital in determining whether logistics enterprises adopt low-carbon strategies. R&D efforts incentivize logistics companies to adopt low-carbon technologies by driving technological innovation and reducing costs. The penalties include economic sanctions to restrain companies that do not comply with low-carbon standards. In contrast, construction intensity mainly affects the consumption behavior of consumers and then indirectly affects the strategic choice of logistics enterprises through market demand. (3) Although the government’s active supervision is a necessary guarantee for logistics enterprises to implement low-carbon strategies, more is needed. This means that in addition to the government’s policy support, it also needs the active efforts of the logistics enterprises themselves and the improvement of the market mechanism to promote the low-carbon development of the logistics industry jointly. This study quantifies the impact of different factors on the system’s evolution, providing a precise decision-making basis for policymakers and helping promote the logistics industry’s and consumers’ low-carbon transition. It also provides theoretical support for the logistics industry’s low-carbon development and green low-carbon consumption and essential guidance for sustainable development.

1. Introduction

With escalating global environmental challenges, the international community has increasingly prioritized sustainable development [1]. Low-carbon and green development have become universal goals, supported by strengthened climate governance and international cooperation [2]. Agreements such as the Kyoto Protocol and the UNFCCC provide legal frameworks for global climate action, encouraging governments and enterprises to advance low-carbon logistics and green consumption [3]. Organizations like the United Nations Environment Programme (UNEP) and the International Logistics Association (ILA) promote sustainable logistics practices, while multinational corporations and NGOs contribute through collaborative innovation [4]. In China, with the gradual prominence of environmental problems, the concept of sustainable development is increasingly popular, and the government attaches increasing importance to low-carbon logistics and green and low-carbon consumption [5]. Since the 19th National Congress of the Communist Party of China, strategic goals such as “promoting green development” and “building a resource-conserving and environmentally friendly society” have been proposed, and the 14th Five-Year Plan has further emphasized low-carbon transformation and institutional support, which provides strong policy support for the development of low-carbon logistics and green and low-carbon consumption [6]. With the popularization of environmental awareness and the deepening of consumer ecological protection education, domestic consumers have an increasing demand for green, low-carbon, and circular products. They pay more and more attention to the environmental performance and sustainability of products and tend to choose products and services with green labels, which provides great potential for the vigorous development of China’s green and low-carbon consumption market [7]. At the same time, consumers’ pursuit of low-carbon life also encourages enterprises to intensify research development and innovation, introducing more green products and services that meet market demand [8].
Specifically, in promoting green logistics, logistics enterprises are guided and regulated by government policy formulation and driven by consumers’ growing demand for green consumption. As a policymaker and regulator, the government’s policy orientation and incentive measures significantly impact the green transformation of logistics enterprises. The feedback of consumers and logistics enterprises also restricts them. As the ultimate driving force of the market, consumers’ green consumption habits not only affect the market positioning of logistics enterprises but also urge the government to improve relevant policies further to promote the development of green and low-carbon consumption. On the one hand, transportation, storage, packaging, and other logistics industry links involve much energy consumption and carbon emissions. Regarding transportation, vehicles such as trucks, ships, and aircraft will produce many greenhouse gas emissions. In warehousing and packaging, improper storage methods and excessive packaging will also lead to resource waste and environmental pollution [9]. Therefore, realizing the low-carbon transformation of the logistics industry and reducing energy consumption and carbon emissions is of great significance for alleviating environmental pressure and promoting sustainable economic and social development. On the other hand, with the improvement of consumers’ awareness of environmental protection and the guidance of policies, green and low-carbon consumption has gradually become a new consumption pattern [10]. This consumption pattern emphasizes reducing the negative environmental impact in the consumption process, promoting the recycling of resources and low-carbon development. Consumers are increasingly inclined to choose environmentally friendly and energy-saving products and services, which puts forward higher requirements for the low-carbon development of the logistics industry [11]. Therefore, this paper will deeply analyze the strategic interaction and mutual influence of logistics enterprises, the government, and consumers in the green and low-carbon transformation. Constructing an evolutionary game model reveals the interdependence between the three.
Possible innovations in this paper are: (1) From the research perspective, existing studies typically focus on bilateral relationships, such as between logistics enterprises and consumers or between logistics enterprises and the government, while neglecting the third party. This may lead to biased conclusions. To address this gap, this paper constructs a tripartite evolutionary game model involving logistics enterprises, consumers, and the government, aiming to explore collaborative strategies for achieving the “dual carbon” goals. (2) Regarding research content, existing studies generally explore the evolutionary impact of government regulation, government punishment, and government tax incentives on logistics enterprises and consumers. In essence, they belong to the same kind of means of the government, which cannot fully show the comprehensive impact of the government on logistics enterprises and consumers. Therefore, based on existing literature, this paper selects three dimensions of government R&D, construction, and supervision intensity, respectively discusses the evolution path of government, logistics enterprises, and consumers in each dimension at high, medium, and low levels, and reveals the exciting drive and interaction of all parties. (3) Regarding research methods, although evolutionary game theory has been widely used in logistics research, it is mostly limited to two-party models. This paper introduces a tripartite evolutionary game model to investigate the strategic interactions among logistics enterprises, consumers, and the government. The model helps reveal the dynamics of low-carbon transition, quantify the impact of key factors, and provide practical guidance for policymaking.
The follow-up structure of the article is arranged as follows: The second part is a literature review; The third part is evolutionary game and simulation analysis; The fourth part is the research conclusions and policy recommendations; Finally, the study concludes with a discussion of its limitations and future research directions. The full-text frame diagram is shown in Figure 1.

2. Literature Review

2.1. The Influencing Factors of Low-Carbon Development in the Logistics Industry

Domestic and foreign scholars study the logistics industry mainly from two levels: the micro-enterprise level and the macro mechanism level. The micro-enterprise level research focuses on internal operation management, technological innovation, and market competition strategies of logistics enterprises. The research on the macro-mechanism level primarily focuses on the overall development of law, policy environment, and market operation mechanism of the logistics industry.
From the perspective of micro-enterprises, existing studies can be summarized into the following four aspects: First, the core role of automation level in promoting the development of low-carbon logistics [12]. The empirical method is used to deeply analyze the mechanism of the influence of automation degree on logistics efficiency and carbon emission, providing a solid theoretical basis for enterprises to formulate improvement measures [13]. The advanced discrete event simulation method is used to construct a low-carbon supply chain network model successfully, and the processing time, logistics cost, and carbon emission are selected as the key performance indicators of performance evaluation [14]. This model can further explore how to realize the decarbonization of the supply chain network between Malaysia, China, and Japan and has a significant reference value for improving the environmental performance of the supply chain [15]. Subsequently, the research team adopted the data envelopment analysis DEA (Data envelopment Analysis) method to systematically and comprehensively analyze the low-carbon logistics distribution network. Second, adopt the data envelopment analysis (DEA) method to comprehensively analyze the low-carbon logistics distribution network system [16]. A comprehensive and systematic analysis of the low-carbon logistics distribution network is carried out, providing a powerful tool for estimating and optimizing carbon emissions in logistics distribution. Compared with traditional evaluation models, this model can more accurately evaluate and sort various low-carbon logistics distribution route schemes, providing strong support for enterprises to choose more environmentally friendly and economical distribution schemes. Third, operations management plays an important role in promoting the relationship between low-carbon logistics and the low-carbon performance of enterprises. The study delves into the central role of operations management in promoting a low-carbon environment. It highlights the importance of improving operations management to help businesses achieve low-carbon development [17]. Fourth, for the logistics service industry, this paper profoundly studies the factors that influence business service innovation in a low-carbon environment. It emphasizes the critical role of technological innovation, knowledge quality improvement, policy support, and innovation system construction in the low-carbon development of the logistics service industry. By introducing advanced technologies, strengthening personnel training, formulating policies, and improving innovation systems, the low-carbon development of logistics services can be effectively promoted [18]. In addition, the study focuses on optimizing the distribution route of fresh agricultural products in logistics enterprises. It puts forward an optimization scheme that comprehensively considers vehicle cost, transportation cost, preservation loss, cold storage cost, and carbon emission during the distribution process, aiming at reducing costs [19]. Through the improvement of automation level, the optimization of the supply chain network, the improvement of the logistics distribution route, and the innovation of operation management, enterprises can effectively reduce carbon emissions and achieve a win-win situation of economic and environmental benefits.
From the perspective of macro mechanism, the development of low-carbon logistics cannot be separated from the dual support of policy guidance and technical funds. First of all, the government has actively taken a series of measures, including optimizing the layout of the logistics network, reducing energy consumption, and promoting the transformation of logistics machinery and equipment to low-carbon. To promote the green development of the logistics industry, it plays a crucial role in promoting low-carbon policies [20]. Implementing these measures depends on the investment of technology and capital and reflects long-term planning at the policy level. Taking the Internet of Things technology as an example, this paper further evaluates its application in the logistics industry and its impact on environmental performance, and the results show that technological innovation plays a pivotal role in promoting the sustainable development of low-carbon logistics [21]. At the same time, it emphasizes the regulatory and policy-guiding role of government departments in promoting the development of low-carbon logistics. It points out that strengthening the supervision and guidance of logistics management is a crucial link to achieving the goal of low-carbon logistics [22]. Secondly, from a more macro perspective, profoundly analyzing the key factors promoting low-carbon logistics development is essential. In this process, establishing a stable and reliable modern logistics industry system is undoubtedly a vital cornerstone to achieving the goal of low-carbon logistics. At the same time, developing advanced logistics management technology can improve logistics operation efficiency and reduce energy consumption and carbon emissions [23]. In addition, promoting the application of information technology in the logistics field helps realize the rapid transmission and sharing of logistics information, further optimizes the allocation of logistics resources, and promotes the rapid development of low-carbon logistics. These elements are not only related to the optimization of the internal structure of the logistics industry but also involve the coordinated development of the industry and the external environment. What is more, in terms of empirical research, through the heterogeneous stochastic frontier analysis, it is found that although economic development and industrial structure adjustment can help improve logistics efficiency, government support may become a restricting factor in some cases, which provides a valuable reference for policymakers [24]. Finally, some studies will further expand the understanding of low-carbon logistics development. The Tobit regression model analyzes the overall impact of economic development level, location, human resources, and government intervention on developing low-carbon logistics. It can be seen that the macro mechanism plays a pivotal role in promoting the development of low-carbon logistics. These factors constitute the macro framework for developing low-carbon logistics, from policy guidance and technological innovation to industrial structure optimization and the synergy between the government and the market.

2.2. Relevant Research on the Application of Evolutionary Game in the Logistics Industry

As an efficient analytical tool, the evolutionary game is often used to analyze the intricate relationship between government and business, especially in critical areas such as carbon reduction and cooperation. In the field of logistics, this theory also plays an important role. The concrete application value of evolutionary game theory in logistics practice has been highlighted by examining the logistics field from the perspective of contract relationships and comparing users’ and couriers’ passive acceptance and active cooperation strategies using shared bright cabinets [25]. At the same time, to deeply understand the interactive relationship between the government and enterprises in the field of logistics, a government-enterprise game model is established, and the strategic choice of the two and the factors affecting their stability are deeply analyzed, providing solid theoretical support for the government to formulate relevant policies [26]. In the logistics terminal configuration problem, the application of evolutionary game theory also shows its strong explanatory power. Focusing on the role of the government in optimizing resource allocation, the evolutionary game model between logistics enterprises and third-party service platforms is established, and the behavioral logic and influencing factors of both parties in the resource allocation process are analyzed in detail, providing strong support for government decision-making. In addition, in terms of the cooperation stability of express joint distribution alliance, the evolutionary game model is used to conduct an in-depth analysis of the strategic choices of enterprises of different sizes in the process of joint distribution, providing strategic guidance for the express industry to achieve long-term stable cooperation [27]. The evolutionary game theory is also used to study how the government can effectively motivate and guide the behavior of enterprises. In particular, the paper discusses the strategic choice of joint delivery of express delivery enterprises based on blockchain technology from the government’s perspective. It emphasizes the critical role of the government compensation mechanism in promoting the “last kilometer” joint delivery service of express delivery [28]. At the same time, He (2022) [29] used evolutionary game theory to deeply explore the interactive relationship between fresh e-commerce platforms and distribution facilities in the selection of the “last kilometer” distribution mode, providing an essential decision-making basis for the formulation of logistics distribution strategy for the fresh e-commerce industry. These studies not only enrich the theoretical connotation of the field of logistics but also provide valuable guidance for strategic choices in practical operations [30]. The application of evolutionary games in logistics is extensive and in-depth, revealing the complex relationship between government and enterprises and providing powerful theoretical support for developing the logistics industry and formulating policies.

2.3. Literature Analysis

Through the review of domestic and foreign literature on influencing factors of low-carbon development of the logistics industry, it is found that although the current research has reference value, there are still many problems worthy of further discussion. In promoting the low-carbon development of the logistics industry, the government and enterprises should play a vital role at the macro and micro levels, respectively. First, from the macro level of influencing factors, the government, as the policy maker and executor, should strengthen the management and supervision of the logistics industry. This includes improving relevant regulations to provide legal protection for the low-carbon development of the logistics industry and building a long-term mechanism for developing low-carbon logistics to ensure the continuity and stability of policies [31]. Through the guidance and constraints of regulations, the government can guide the logistics industry to develop in the direction of low carbon and environmental protection. Secondly, from the perspective of micro-level influencing factors, logistics operators, as industry practitioners, should actively explore ways of energy conservation and emission reduction to improve logistics efficiency [32]. They can adopt advanced logistics technology and management means to reduce energy consumption and carbon emissions and achieve green logistics processes. At the same time, logistics operators should also strengthen internal management, optimize logistics processes, improve logistics efficiency, and reduce operating costs to enhance the competitiveness of enterprises. Finally, from the research method, the current research on the influencing factors of low-carbon logistics is primarily qualitative analysis, only listing the relevant factors without an in-depth analysis of their internal correlation, importance, and primary and secondary relationships [26]. In the study of the low-carbon development of the logistics industry, scholars have discussed its influencing factors and effects from many angles. Technological progress, policy guidance, and market demand are the key factors that promote the low-carbon development of the logistics industry, while the industrial structure, energy structure, and transportation mode affect the carbon emissions of the logistics industry. It is generally believed that low-carbon development of the logistics industry is conducive to reducing energy consumption and carbon emissions, improving logistics efficiency and service quality, and promoting sustainable economic and social development [33]. In addition, as one of the essential methods in this paper, game theory also provides a powerful tool for exploring the coupling coordination mechanism between the logistics industry and green low-carbon consumption. Through the construction of the game model, the strategic interaction and equilibrium state between the logistics industry and green low-carbon consumption subjects can be deeply analyzed, providing a micro basis for understanding the interaction and coordinated development between the two.

3. Evolutionary Game and Simulation Analysis of Logistics Enterprises, Government and Consumers

3.1. Analysis of Strategy Selection Among Various Behavioral Agents

In the game model of government regulation, the key players are logistics enterprises, the government, and consumers. Among them, logistics enterprises have two strategic choices. The first is to adopt low-carbon operations, committed to reducing carbon emissions and environmental pollution; The second is to choose non-low-carbon operations, which may not adopt low-carbon measures due to cost or technology. Governments need to balance positive and negative regulation. Consumers, on the other hand, face two decisions: to consume and not to consume. These three players are interrelated and influence each other in the game process. Their strategy choices will directly determine the game’s final result and the distribution of each party’s interests. Therefore, an in-depth analysis of the strategic decisions of these three subjects and their influencing factors is of great significance for promoting the development of low-carbon logistics and optimizing government regulatory strategies.

3.1.1. Game Between Logistics Enterprises and Consumers

The game between logistics enterprises and consumers is a complicated and subtle interactive process in which logistics cost and efficiency play a crucial role. This kind of game involves the operation strategy of logistics enterprises and directly relates to consumers’ purchase intention and market choice. In logistics, cost and efficiency are critical indicators to measure the competitiveness of an enterprise. When the logistics cost rises to a high level or the logistics operation efficiency is not satisfactory, consumers’ desire for a specific type of goods may be significantly impacted, affecting their purchase decisions. High logistics costs may lead to higher commodity prices, reducing consumers’ purchasing power. Inefficient logistics can mean delays in the delivery of goods, affecting consumers’ shopping experience. Therefore, while pursuing low-carbon development, logistics enterprises must fully consider cost and efficiency factors to ensure their competitiveness in the market.
As a new logistics model, low-carbon logistics aims to improve logistics efficiency and reduce costs while reducing energy consumption and carbon emissions. However, achieving this goal will not be easy. Low-carbon logistics may require logistics enterprises to adopt more environmentally friendly but more costly transportation methods and packaging materials, which may increase logistics costs to a certain extent. At the same time, implementing low-carbon logistics may also require logistics enterprises to upgrade technology and optimize processes to improve logistics efficiency. These changes will eventually be reflected in the price of goods and the timeliness of logistics, thus affecting consumers’ purchasing decisions. In this process, consumers play a crucial role. They will evaluate the cost and efficiency of logistics according to the products and services logistics enterprises provide to make consumption decisions. Suppose consumers recognize and support the low-carbon strategy of logistics enterprises. In that case, they may be more inclined to buy related goods, which will help logistics enterprises improve their market share and profit level. On the contrary, if consumers are skeptical or pessimistic about the low-carbon strategy of logistics companies, they may choose other, more competitive goods or services, which will bring pressure and challenges to logistics companies.
Therefore, when choosing whether to adopt the low-carbon strategy, logistics enterprises must fully consider the game relationship between them and consumers. They need to reduce the cost increase brought about by low-carbon logistics through technological innovation and process optimization while improving logistics efficiency and service quality to win the trust and support of consumers. At the same time, logistics enterprises must also pay close attention to market dynamics and consumer demand changes and flexibly adjust their strategies to adapt to the changing market environment.

3.1.2. Game Between Logistics Enterprises and the Government

The game between logistics enterprises and the government concerns environmental protection, economic development, and social responsibility. In this three-party game, logistics enterprises, as the core role, need to actively integrate social resources, strengthen the construction of logistics personnel, and make full use of information technology to promote the rapid low-carbon development of the logistics industry. As a regulatory department, the government must choose between the two strategies of positive supervision and harmful supervision to guide logistics enterprises to the road of low-carbon development. For logistics enterprises, implementing a low-carbon logistics strategy is conducive to reducing energy consumption and carbon emissions, improving logistics efficiency, and helping enterprises reduce costs and enhance market competitiveness. However, logistics enterprises face many challenges while implementing a low-carbon logistics strategy. For example, the research and development and application of low-carbon technologies require a large amount of capital investment and human support, which is undoubtedly a significant pressure on cash-strapped logistics enterprises with a talent shortage. In addition, implementing a low-carbon logistics strategy may also lead to increased operating costs and reduced logistics timeliness, which will have a particular impact on logistics enterprises’ business development and market competitiveness.
In this context, the role of government is vital. If the government adopts an active regulatory strategy, it will strictly evaluate the carbon emissions of logistics enterprises and encourage them to adopt low-carbon strategies through rewards and penalties. At the same time, the government will increase investment in low-carbon technology research and development, plan corresponding logistics parks, strengthen infrastructure construction, and fully support logistics enterprises in implementing low-carbon strategies to promote the green transformation of the industry. These initiatives help facilitate the transformation of logistics enterprises to low-carbon production and improve the awareness of environmental protection and sustainable development of society. However, suppose the government chooses a negative regulatory strategy and relaxes the regulation on the carbon emissions of logistics enterprises. In that case, the corresponding support and guarantee will also be reduced, which may hurt the development of low-carbon logistics. In this case, logistics companies may find it challenging to take the initiative to implement low-carbon strategies due to a lack of external pressure and motivation. At the same time, due to the reduction of government support, logistics enterprises may face more difficulties and challenges in the process of implementing low-carbon strategies. Therefore, the game between logistics enterprises and the government is a contest of economic interests and a test of environmental protection and social responsibility. In this game, the two sides must cooperate closely to achieve the sustainable development of low-carbon logistics. The government should strengthen the supervision and guidance of logistics enterprises and provide necessary support and guarantees. Logistics enterprises should actively respond to the government’s call, increase investment in the research and development and application of low-carbon technology, and constantly improve their environmental awareness and social responsibility.

3.1.3. Game Between Consumers and Government

The game between consumers and the government is particularly complex and delicate in low-carbon logistics. The role of government is not only as a regulator and facilitator but also as an essential force in promoting sustainable development. When the government actively regulates, encourages, and supports the development of low-carbon logistics through low-carbon subsidies and tax incentives, this strategy tends to promote consumers’ purchase willingness. This is because government subsidies and tax incentives reduce the price of goods and increase consumers’ purchasing power while also signaling to consumers that the government is committed to promoting environmental protection and sustainable development. In this case, consumers are more inclined to buy goods that meet low-carbon standards, not only because the price of the goods is more reasonable but also because they want their consumption behavior to be consistent with the government’s environmental goals. This change in consumer behavior will undoubtedly positively impact the logistics market and promote logistics enterprises to increase investment in low-carbon technologies and services, forming a virtuous circle.
However, if the government chooses to negatively regulate and allow the free development of the logistics market, the rights and interests of consumers may be affected by the promotion of low-carbon logistics. For example, logistics companies may reduce the quality of services due to a lack of regulation, leading to problems such as delayed or damaged delivery of goods. Since logistics companies’ carbon emissions are not effectively regulated, consumers may stop or reduce consumption to protect their rights and interests. Given that the government’s goal is to ensure the stability and prosperity of the logistics market, consumer purchasing behavior is a crucial factor affecting the strength and intensity of government regulation. Specifically, when consumers show a strong propensity to buy, the government is more motivated to strengthen regulation and provide subsidies and incentives to promote market development further. This logical chain shows that consumers’ purchase behavior is not only related to personal rights and interests but also an essential factor in government regulation and market development. Conversely, if consumers are less willing to buy, the government may need to re-evaluate its regulatory strategy and find more effective measures to stimulate market vitality.
The game between the government and consumers is a process of mutual influence and restriction. The government’s regulatory strategy and consumers’ purchasing behavior jointly shape the development track of the logistics market. In this process, achieving balance and coordination between the government, consumers, and logistics enterprises to promote the sustainable development of low-carbon logistics will be a problem that we must continue exploring and solving.

3.2. Construction of Three-Party Game Model

3.2.1. Research Hypothesis and Parameter Setting

Hypothesis 1. 
Information asymmetry hypothesis. The information asymmetry hypothesis refers to the fact that in the decision-making process, each party cannot fully predict the behavior and decision of the other party. Logistics companies face uncertainty about government regulatory attitudes and consumer preferences when deciding whether to adopt a low-carbon operation model. In addition, it is difficult for the government to accurately predict logistics companies’ operational capacity and consumers’ behavior when fulfilling their regulatory obligations. Consumers also cannot predict the behavior of logistics companies and government regulations when making consumption decisions. This lack of transparency requires all parties to consider potential risks and uncertainties in decision-making. This information asymmetry makes all parties face certain uncertainties and risks when making decisions.
Hypothesis 2. 
Economic and bounded rationality hypothesis. In the game model, the government, logistics enterprises, and consumers all show limited rationality rather than the complete economic man hypothesis. This means they cannot be entirely rational in decision-making due to incomplete information and cognitive limitations. Nevertheless, these three parties will always seek to maximize their interests to achieve the goals they have set for themselves. They form a complex system of interdependence and mutual influence. In the early stages of the evolutionary game, logistics operators, governments, and consumers mainly make decisions based on their interests and temporarily do not fully consider the impact that other parties may have directly or indirectly. This setting helps analyze the behavior strategy of the parties in the game and their interaction more clearly.
Hypothesis 3. 
This hypothesis is based on the assumption of bounded rationality. The behavior choice probability of logistics enterprises, government, and consumers in the game is set. Specifically, when logistics enterprises make decisions, a proportion of x chooses a low-carbon operation mode, while the remaining proportion of 1 x chooses not to adopt a low-carbon operation. For the government, with probability y , it chooses to actively perform its regulatory duties, while with probability 1 y , it chooses to adopt a more negative regulatory attitude. Similarly, when consumers choose whether to consume, there is a ratio of z to decide to drink and a ratio of 1 z to choose not to consume. These probability values x , y , and z all belong to the closed interval [0, 1], and they are all functions of time t, which means that these choice probabilities change with time. Under limited rationality, the parties will constantly adjust their behavior strategies according to their interests and changes in the external environment. Therefore, the three probability functions of x , y , and z reflect the dynamic decision-making process of logistics enterprises, governments, and consumers in the game process. By analyzing the change rules of these probability functions, we can understand the behavior logic and interaction of all parties in the game more deeply and then predict the evolution trend and possible results.
Hypothesis 4. 
When a logistics enterprise implements a low-carbon strategy, its direct income is R1, accompanied by the corresponding cost c1. If you choose not to implement the low-carbon strategy, the direct income is R2, and the cost is c2. For consumers, the consumption income is R3, and the cost to be borne is c3. If you do not choose to consume, there will be no corresponding costs and benefits. Under the active supervision of the government, due to the enterprise’s implementation of the corresponding low-carbon logistics strategy, the government will gain R4.
Hypothesis 5. 
Suppose that the government provides corresponding financial support according to the low-carbon technology research and development of logistics enterprises, the government’s investment intensity is β , and the investment limit is I. At the same time, the amount of government investment in infrastructure construction is F, and the construction intensity is γ . For those logistics enterprises that adopt non-low-carbon strategies and cause the relevant pollution emissions to fail to meet the standards, the government will punish them by imposing environmental pollution charges and increasing taxes. The penalty amount is P, and the penalty intensity is θ ; these enterprises should bear θ P economic losses. In addition, to encourage consumers to consume under the low-carbon logistics model, the government also provides tax incentives, and the tax incentive limit is T. It should be emphasized that I, F, P, and T are all positive numbers, reflecting the government’s actual investment and support in promoting the development of low-carbon logistics.
Hypothesis 6. 
The consumption behavior of consumers has brought the logistics enterprises more than the original benefits, and the value of this benefit is r 1 . At the same time, the government’s related infrastructure construction not only creates additional revenue r2 for logistics enterprises, but also brings additional revenue to consumers, which is γ F r 2 , and according to the setting, γ F r 2 . For consumers who do not choose to consume, they cannot get additional benefits from the government’s infrastructure construction, so its additional benefits are 0.

3.2.2. Income Matrix and Model Description

As shown in Table 1 below, the tripartite game income matrix of logistics enterprises, government, and consumers is constructed based on the assumptions in the above section.
Based on the income matrix in Table 1, the following detailed description of the tripartite game model of logistics enterprises, government, and consumers can be obtained:
(1)
Description of logistics enterprise model
Expected benefits of logistics enterprises implementing low-carbon strategies:
u A 1 = R 1 c 1 + β I + r 1 + r 2 y z + R 1 c 1 + β I + γ F y 1 z   + R 1 c 1 + β I + r 1 + r 2 1 y z         + ( R 1 c 1 ) + β I + γ F ( 1 y ) ( 1 z )
Expected benefits of logistics enterprises implementing non-low-carbon strategies:
u A 2 = R 2 c 2 + r 1 + r 2 θ P y z + R 2 c 2 + γ F θ P y 1 z + R 2 c 2 + r 1 + r 2 1 y z + ( R 2 c 2 ) + γ F ( 1 y ) ( 1 z )
The average expected income of logistics enterprises:
u A = x u A 1 + u A 2 ( 1 x )
The replication dynamic equation of logistics enterprises is as follows:
F 1 = d x / d t = x u A 1 u A = x ( 1 x ) u A 1 u A 2 = x ( 1 x ) y θ P + β I + ( R 1 c 1 ) ( R 2 c 2 )
(2)
Description of government model
The expected benefits of the government’s choice of active regulation:
u B 1 = R 4 β I γ F T x z + R 4 β I γ F x 1 z + ( θ P γ F ) ( 1 x ) z + ( θ P γ F ) ( 1 x ) ( 1 z )
The expected benefits of the government’s choice of negative regulation:
u B 2 = β I γ F T x z + β I γ F x 1 z + γ F 1 x z + ( γ F ) ( 1 x ) ( 1 z )
The average expected revenue of the government:
u B = u B 1 y + u B 2 ( 1 y )
The government’s replication dynamic equation is as follows:
F 2 = d y / d t = y u B 1 u B = y ( 1 y ) u B 1 u B 2 = y ( 1 y ) x R 4 θ P + θ P
(3)
Description of consumer model
Expected benefits of consumer choice:
u c 1 = R 3 c 3 + γ F r 2 + T x y + R 3 c 3 + γ F r 2 + T x 1 y + ( γ F r 2 ) c 3 ( 1 x ) y + ( γ F r 2 ) c 3 ( 1 x ) ( 1 y )
Expected benefits of consumers choosing not to consume:
u C 2 = 0
Average expected returns of consumers:
u c = u c 1 y + u c 2 ( 1 y )
The consumer’s replication dynamic equation is:
F 3 = d z d t = y u c 1 u c = z 1 z u c 1 u c 2 = z ( 1 z ) x R 3 + T + γ F r 2 c 3

3.3. Stability Analysis of Three-Party Game Model

3.3.1. Solving the Equilibrium Point of Evolutionary Game

According to the stability principle of differential equations [34,35], the replicated dynamic equations F1, F2, and F3 of the game of tripartite logistics enterprises, government, and consumers described in Section 3.2.2 are considered. These equations describe the dynamic process of strategy selection of each party in a game over time. In a specific parameter space, these replicated dynamic equations have nine equilibrium points, which are A1 (0,0,0), A2 (1,0,0), A3 (0,1,0), A4 (0,0,1), the A5 (1,1,0), A6 (1,0,1) and A7 (0,1,1), A8 (1,1,1), A9 (x*, y*, z*), and the A9 (x*, y*, z*) content:
y θ P + β I + ( R 1 c 1 ) ( R 2 c 2 ) = 0 x R 4 θ P + θ P = 0 x R 3 + T + γ F r 2 c 3 = 0

3.3.2. Stability Analysis of Evolutionary Game

According to the studies of scholars such as Huang et al. (2024), Zheng et al. (2023) and Zhao et al. (2022) [36,37,38], the multi-group evolutionary game is asymmetric, and its evolutionarily stable strategy is a pure strategy Nash equilibrium. The traditional method of judging stability by determinant and trace is not applicable. It is more suitable to solve the eigenvalues of the Jacobian matrix and judge the stability according to the Lyapunov criterion. When the eigenroots are all negative, the equilibrium point is evolutionarily stable. All timing is unstable; Partial positive and negative are unstable saddle points. This method can judge the stability of an evolutionary game more accurately.
First, calculate its Jacobian matrix:
J = F 1 x F 1 y F 1 z F 2 x F 2 y F 2 z F 3 x F 3 y F 3 z = 1 2 x y θ P + β I + R 1 c 1 R 2 c 2 x 1 x θ P 0 y 1 y R 4 θ P 1 2 y x R 4 θ P + θ P 0 ( 1 2 z ) [ x R 3 + T + z 1 z R 3 + T 0 ( γ F r 2 ) c 3 ]
The Jacobian matrix calculates the eigenroots on the essential vertices A1 to A8 to explore the system’s stability at different equilibrium points. Analyzing feature roots is very important to judge the system’s stability. Only when all the calculated eigenroots are negative can we conclude that the system is stable at that point. These points are called stable evolutionary equilibrium points, and the corresponding strategy combinations are regarded as evolutionarily stable strategies. Take point A1 (0,0,0) as an example; find the characteristic equation d e t ( λ I J 1 ) =0 of the system, where
J 1 = β I + ( R 1 c 1 ) ( R 2 c 2 ) 0 0 0 θ P 0 0 0 ( γ F r 2 ) c 3
Hence:
λ [ β I + ( R 1 c 1 ) ( R 2 c 2 ) ] 0 0 0 λ θ P 0 0 0 λ [ ( γ F r 2 ) c 3 = 0
The three eigenvalues of equilibrium point A1 (0,0,0) are:
λ 1 = β I + ( R 1 c 1 ) ( R 2 c 2 )
λ 2 = θ P
λ 3 = ( γ F r 2 ) c 3
Since θ P > 0, λ > 0 . According to Lyapunov’s indirect method, the equilibrium point A1 (0,0,0) is unstable, indicating that the strategy combination of negative regulation, no low carbon, consumption) cannot be used as an evolutionarily stable strategy. The same discriminant is used to evaluate the other seven equilibrium points, and the conditions for their asymptotic stability are determined. However, the specific calculation process will not be detailed here due to the large number of mathematical operations and logical reasoning involved. Finally, the stability judgment results of these equilibrium points are sorted into Table 2 to better understand and analyze the evolutionary stability of these strategy combinations.
According to the results shown in Table 2, after stability analysis by the indirect method of Lyapunov discrimination), it is found that the characteristic roots of equilibrium points A1 (0,0,0), A2 (1,0,0), A4 (0,0,1), A5 (1,1,0) and A6 (1,0,1) are not all negative, so they do not meet the conditions of evolutionary stability. The corresponding strategy combination is not evolutionarily stable. However, the situation is different for the equilibrium points A3 (0,1,0), A7 (0,1,1), and A8 (1,1,1). Further calculation and analysis show that the evolutionary stability of these equilibrium points is significantly different due to the various external asymptotic stability conditions. Specifically, these differences may stem from the influence of varying parameter Settings, initial conditions, or environmental factors that collectively determine the system’s dynamic behavior near these equilibrium points. Here is a detailed discussion of these specific situations:
(1) Discussion 1. If θ P + β I + R 1 c 1 < R 2 c 2 and ( γ F r 2 ) < c 3 , when the logistics enterprise chooses not to adopt the low-carbon strategy, its profits will exceed the profits from the implementation of the low-carbon strategy, and this excess profit is higher than the sum of the government’s financial investment in the research and development of low-carbon technology and the taxes levied on the enterprise for non-low-carbon behavior. At the same time, when the cost consumers need to pay when choosing consumption exceeds the additional benefits provided by the government through infrastructure construction, the whole evolutionary game process will gradually converge to the equilibrium point A3 (0,1,0). This means that under certain conditions, the combination of strategies that logistics enterprises choose not to implement a low-carbon strategy, the government adopting a positive regulatory attitude, and consumers choosing not to consume will become a stable evolutionary result. This is shown in the phase diagram of the evolutionary game shown in Figure 2.
(2) Discussion 2. If θ P + β I + R 1 c 1 < R 2 c 2 and γ F r 2 > c 3 , when the profits obtained by logistics enterprises without implementing low-carbon strategies are higher than those obtained by adopting the low-carbon strategy, and this difference exceeds the total amount of financial support, taxation and sewage charges provided by the government for low-carbon technology research and development If we also take into account that the additional benefits added by the government to consumers through the construction of relevant infrastructure exceeds the cost borne by consumers, then the whole evolutionary game process will be more likely to tend to the equilibrium point A7 (0,1,1). This indicates that in this case, the combination of strategies that logistics enterprises choose not to adopt the low-carbon strategy, the government taking active regulatory measures, and consumers choosing to consume will constitute a stable evolutionary strategy. This is shown in the phase diagram of the evolutionary game shown in Figure 3.
(3) Discussion 3. If θ P + β I + R 1 c 1 > R 2 c 2 , when the logistics enterprise chooses to implement low-carbon strategy, the sum of its profits and the taxes, capital investment and pollutant discharge fees provided by the government for low-carbon technology research and development can exceed the profit level of the enterprise when it chooses not to implement the low-carbon strategy. In this case, the evolutionary game process will tend to converge towards the equilibrium point A8 (1,1,1). This means that the combination of logistics enterprises choosing low-carbon strategies, the government taking active regulatory measures, and consumers choosing to consume will become an evolutionarily stable strategy. The emergence of this strategy combination indicates that when the comprehensive benefits of low-carbon strategies exceed those of non-low-carbon strategies, the behavioral choices of logistics enterprises, governments, and consumers will tend to be stable and consistent. The phase diagram of the evolutionary game is shown in Figure 4.
(4) Discussion 4. To achieve the goal of low-carbon logistics, active regulation by the government is indispensable. Suppose the government adopts a negative regulatory attitude. In that case, it will be difficult for the system to reach a stable evolutionary state to achieve the goal of low-carbon logistics. However, it is worth noting that active regulation by the government does not mean that logistics operators will choose low-carbon strategies, nor will it necessarily lead to consumer choice. Therefore, in promoting the development of low-carbon logistics, in addition to the government’s regulatory role, it is also necessary to comprehensively consider the interests of logistics enterprises and the consumption decisions of consumers so as to form a good situation of multi-party coordination and joint promotion.

3.4. Tripartite Evolutionary Game Simulation Analysis

In the process of in-depth research on low-carbon logistics strategies, we refer to relevant literature such as Ran et al. (2024) [39] and Wang et al. (2024a) [40] and Wu et al. (2024) [41]. Based on the simulation parameters of government participation and other behavioral dynamics obtained by Balm (2022) [42] and Li et al. (2024b) [43] through a questionnaire survey, the relevant parameters of this study were developed, as shown in Table 3. To further explore the government’s regulatory strategy of low-carbon logistics from the perspective of evolutionary game. In this section, the ODE45 function in MATLAB R2023b is used to simulate the numerical solution of the ordinary differential equation. Based on the simulation results, the paper discusses several aspects of the government’s low-carbon incentive mechanism, including research and development intensity, construction intensity, and punishment intensity. Simulation parameter Settings are shown in Table 3:
Assume that the common parameter values are I = 3, F = 3, P = 3, T = 50, R1 = 60, c1 = 50, R2 = 50, c2 = 15, R3 = 10, c3 = 6, R4 = 20, r1 = 7, r2 = 5.
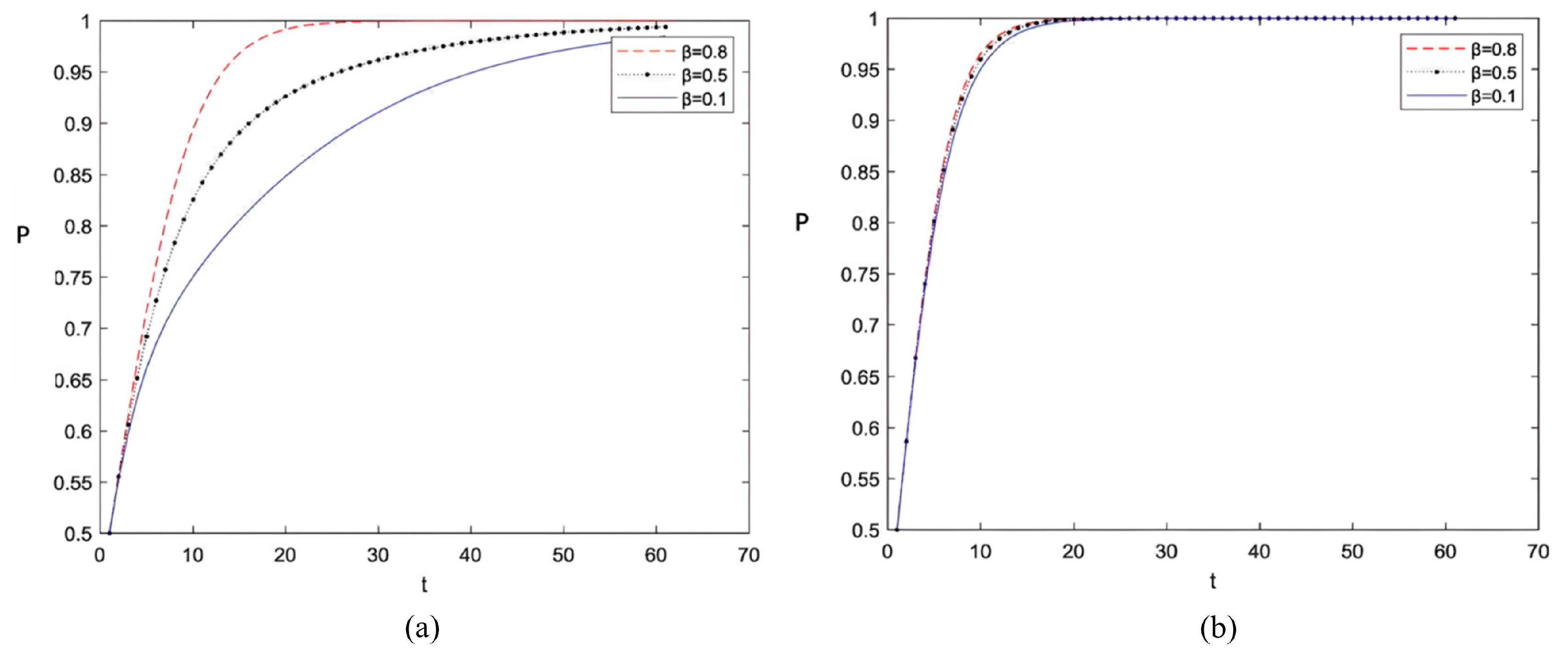
(1) Influence of government R&D intensity β   on the tripartite evolutionary game (Figure 5, Figure 6, Figure 7 and Figure 8)
When β is set as high, medium, and low forces, respectively, and both gamma and theta are set as low forces, the path of the evolutionary game is shown in Figure 5a, Figure 6a, Figure 7a and Figure 8a, respectively. When β maintains three different forces and γ and θ are adjusted to medium forces, Figure 5b, Figure 6b, Figure 7b and Figure 8b show the corresponding evolutionary game path. Further, when β takes high, medium and low R&D intensity respectively, while γ and θ all reach high intensity, the evolution paths of government, logistics enterprises and consumers are shown in Figure 5c and Figure 6c respectively. It is worth noting that when both y and o maintain moderate strength, the evolutionary paths of consumers and government show consistency.
Figure 5a shows the path of the tripartite evolutionary game when γ and θ are both set at low forces. It is particularly worth noting that when the government’s financial funds for R&D investment are high, logistics enterprises show a solid tendency towards low-carbon, and consumers’ spending power is also significantly improved, fully demonstrating the remarkable effect of government R&D investment. This result is consistent with discussion 3 in the stability analysis. However, suppose the government provides a medium or low financial R&D investment in low-carbon technologies. In that case, logistics enterprises choose non-low-carbon strategies, and consumers tend not to consume, consistent with discussion 1 in the stability analysis. These simulation results provide essential insights into the impact of government R&D investment on logistics firms and consumer behavior.
According to the tripartite evolutionary game path graph shown in Figure 5b, it can be concluded that when both γ and θ are of medium intensity, logistics enterprises are more likely to adopt a low-carbon strategy if the government’s financial investment in low-carbon technology R&D of logistics enterprises is kept at a high or medium level. At the same time, the impact of government R&D investment will be particularly significant if consumer purchasing power increases. This simulation result is consistent with the previous discussion 3 and further confirms the considerable effect of government R&D investment on logistics firms and consumer behavior. However, when the financial R&D investment provided by the government is low, only logistics enterprises are gradually inclined to non-low-carbon strategies. This is because in this context, the values of γ and θ ensure the effectiveness of government supervision and the satisfaction of consumer demand, thus maintaining the stability of the market and policies. This finding is consistent with discussion 2 in the stability analysis.
When γ and θ both reach high strength levels, the evolutionary game paths shown in Figure 5c significantly differ from those shown in Figure 5b. Even if the government’s investment in research and development of low-carbon logistics technology remains low, logistics enterprises will still choose a low-carbon development path. This simulation result is consistent with the discussion of stability analysis 3. It highlights the comprehensive effect of government research and development, construction, and supervision in promoting the development of low-carbon logistics. This phenomenon also occurs in reality. In recent years, as green consumption awareness has grown, logistics enterprises have increasingly shifted toward low-carbon models, even in the absence of strong R&D incentives, to meet market demand and build a green brand image.
When γ and θ are both of low intensity, the evolution path of logistics enterprises is shown in Figure 6a. When there is little or no government investment in low-carbon R&D, logistics companies are more likely to choose non-low-carbon strategies. It is worth noting that even in the case of high R&D intensity, logistics enterprises choose low-carbon strategies that are relatively few. This shows that if the government’s research and development efforts are insufficient, the comprehensive factors, such as the intensity of its infrastructure construction and the intensity of punishment for non-low-carbon enterprises will become the key factors affecting whether logistics enterprises adopt low-carbon strategies. Therefore, when promoting the development of low-carbon logistics, the government must consider various strategies comprehensively to ensure the formation of practical, comprehensive effects.
When γ and θ are both at the medium strength level, the evolution path of logistics enterprises is shown in Figure 6b. Compared to the scenario shown in Figure 6a, there is one clear difference: the government provides a moderate level of R&D investment, while logistics companies opt for a low-carbon strategy. When the R&D investment is high, the time for logistics enterprises to choose a low-carbon strategy is shorter than when the R&D investment is significant. The reasons for this phenomenon are closely related to the high cost of low-carbon logistics and the complexity of processing technology. Government investment in research and development helps reduce the transition cost to low-carbon logistics and stimulates technological innovation, effectively promoting the overall development of low-carbon logistics.
When γ and θ both reach a high intensity, the evolution path of logistics enterprises is shown in Figure 6c, although in the early stage of the government’s low R&D efforts, enterprises tend to choose non-low-carbon strategies, and although the government’s investment in low-carbon R&D is limited, logistics enterprises still tend to select low-carbon strategies after weighing the advantages and disadvantages due to the government’s massive investment in logistics infrastructure construction and the severe punishment for non-low-carbon enterprises. By comparing the results of Figure 6a,b, it can be seen that when the government’s punishment measures and construction activities work together, the impact on the strategic choice of logistics enterprises is more significant than that solely dependent on R&D investment. This shows that in promoting the development of low-carbon logistics, in addition to research and development investment, the government also needs to pay attention to improving infrastructure construction and supervision to form a more effective comprehensive effect.
A comparison of Figure 7a,b shows that regardless of the intensity of R&D, construction, and penalties, the government ultimately adopts an aggressive regulatory strategy. In particular, the government’s development path has changed significantly with the rise of γ and θ from low to moderate intensity levels. It is worth noting that with the increase in research and development efforts, the government is inclined to accelerate development and shift to a proactive regulatory strategy. This phenomenon highlights the critical role of government regulation in promoting the low-carbon development of logistics. It confirms the discussion of stability analysis 4, which jointly supports the necessity and effectiveness of the government’s active regulatory strategy.
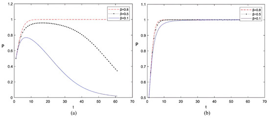
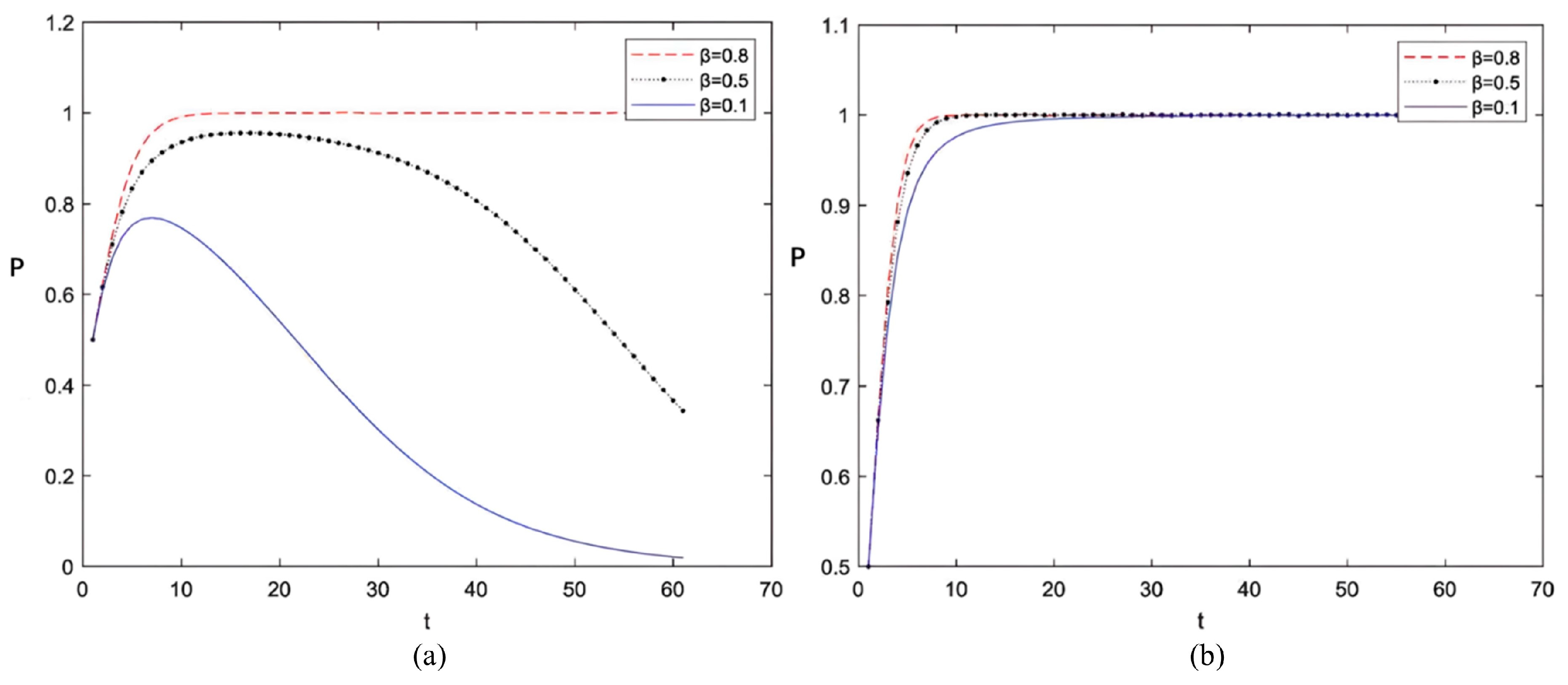
Figure 8a shows the evolution path of consumers at low-intensity levels of gamma, and theta is found that only when the government’s research and development efforts reach a high level of intensity will consumers start to increase their consumption. This trend shows that government R&D efforts are vital in influencing consumer decisions. However, when the research and development efforts are at a medium or low level, although consumers are initially willing to consume, most eventually choose not to consume anymore. The reason behind this is that the negative attitude of government regulation makes it difficult for consumers to obtain enough additional benefits from low-carbon products to cover the cost of consumption.
When γ and θ are both in medium intensity, the evolution path of consumers is shown in Figure 8b. Due to the effective guarantee of government construction and punishment, no matter how much government research and development efforts, consumers will eventually choose to consume.
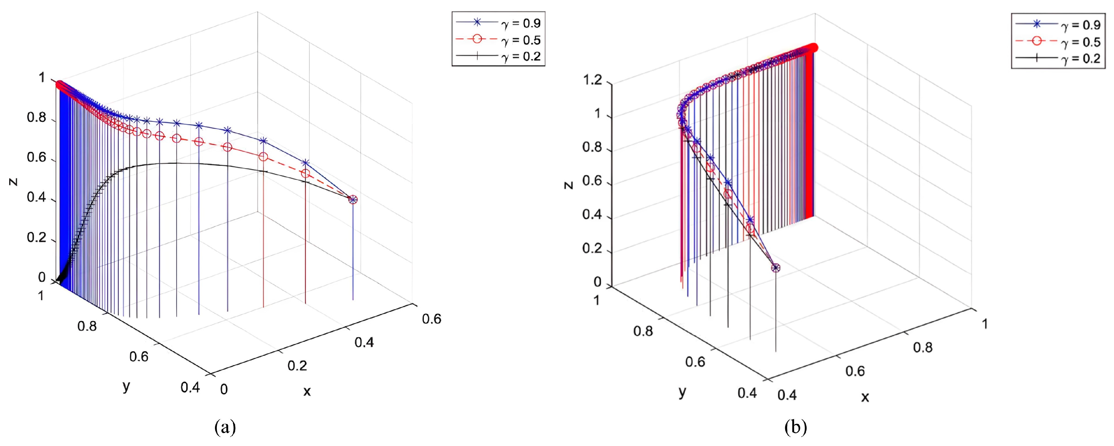
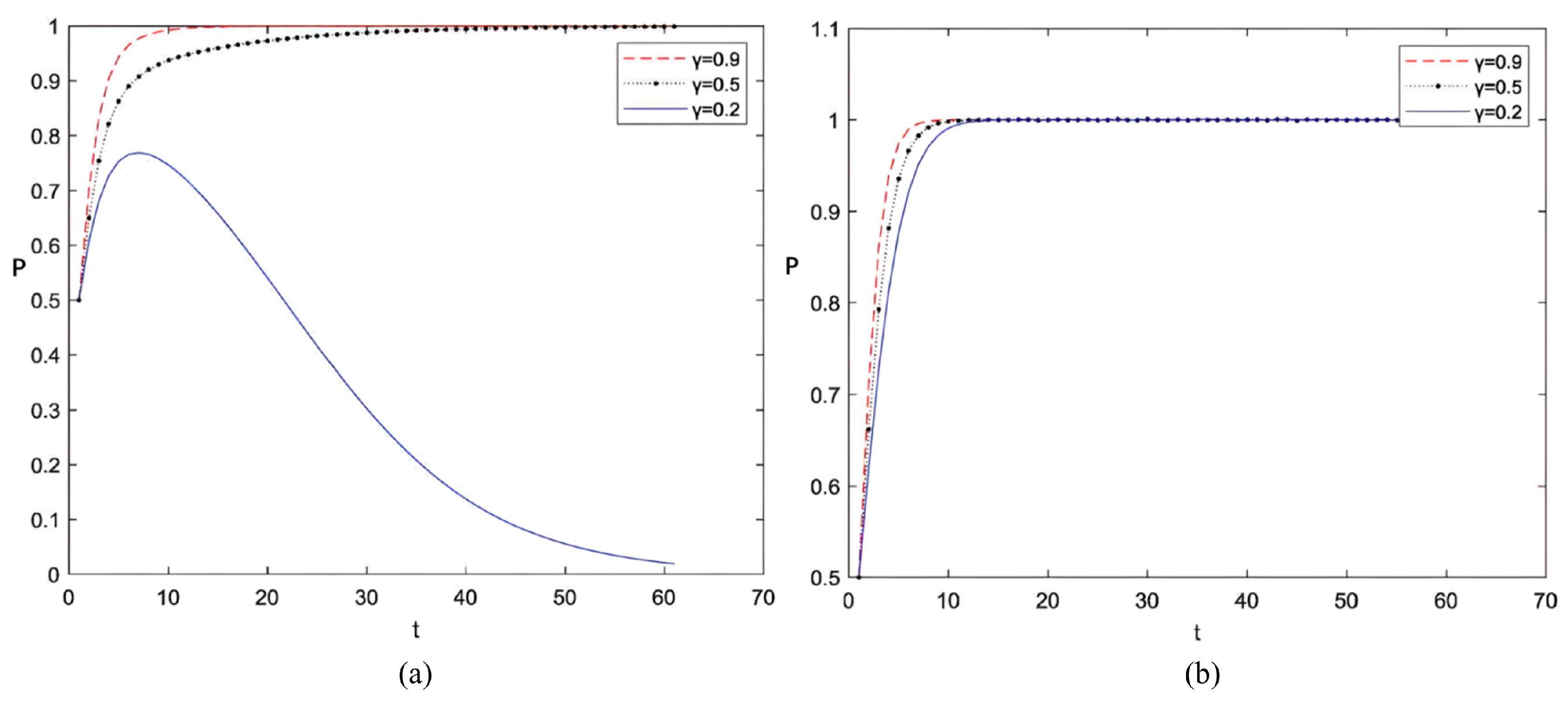
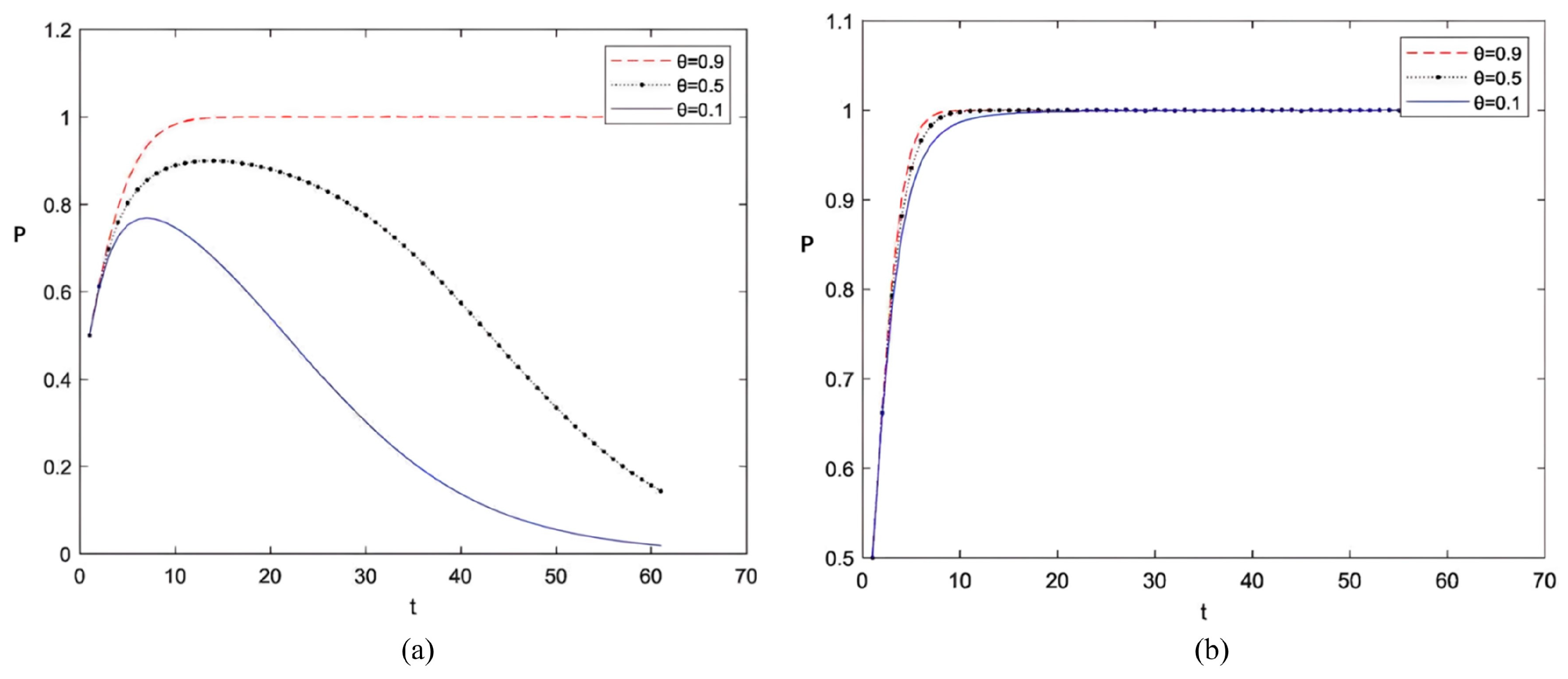
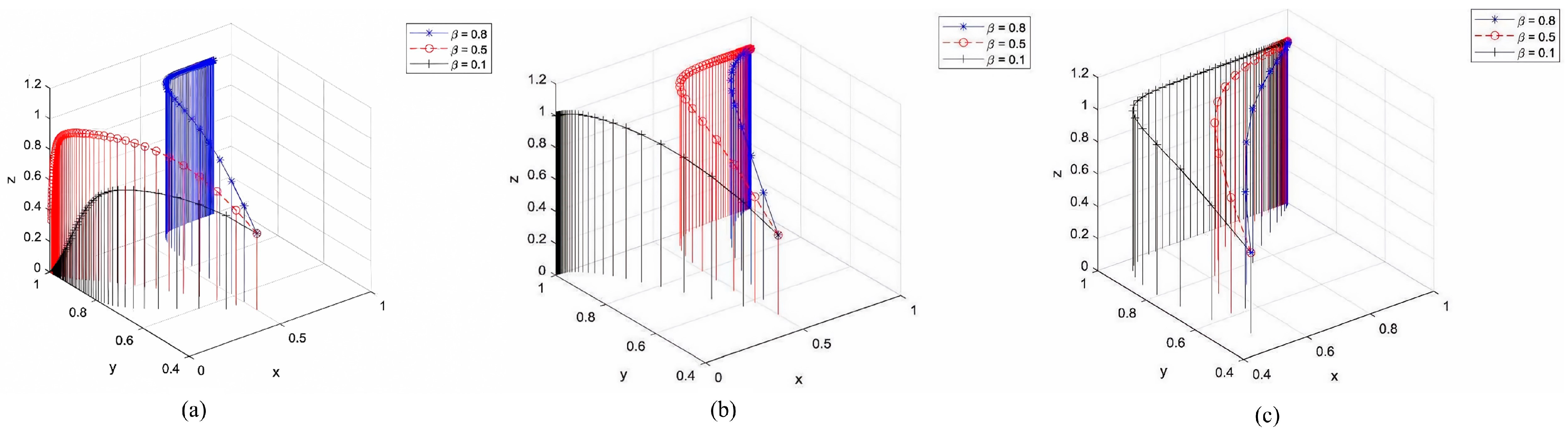
(2) The influence of government construction intensity γ on the tripartite evolutionary game (Figure 9, Figure 10, Figure 11 and Figure 12)
When β and θ are both at low-intensity levels, as shown in Figure 9a, Figure 10a, Figure 11a and Figure 12a, the evolutionary game path diagram of γ under three different R&D intensity levels: high intensity (0.9), medium intensity (0.5) and low intensity (0.2) are studied in depth. Further, as shown in Figure 9b, Figure 10b, Figure 11b and Figure 12b, when β and θ are biased to the medium level of strength, the evolutionary game path diagram is drawn correspondingly under three different R&D strengths: high, medium, and low. It is worth noting that when γ and θ both reach high dynamics, their evolutionary paths are similar to those at medium dynamics.
In the context of low intensity of β and θ , as shown in Figure 9a, when the government’s investment in logistics infrastructure construction is insufficient, logistics enterprises tend not to adopt low-carbon strategies, and consumers choose not to buy low-carbon products. This finding is consistent with discussion 1 in the stability analysis. However, when government investment in infrastructure reaches a certain threshold, consumers will buy low-carbon products instead. But it is worth noting that even in this case, logistics companies still tend not to adopt low-carbon strategies. This simulation result further validates the stability analysis in Discussion 2.
When the strengths of β and θ are both medium, the path of the tripartite evolutionary game is shown in Figure 9b. Regardless of whether the government’s financial investment in infrastructure construction is high or low, logistics enterprises tend to evolve towards low-carbon strategies while consumers’ consumption tendency continues to rise. It is worth noting that the pace of development of different construction scales has remained at similar levels, further highlighting the critical impact of government R&D investment. This simulation result confirms the stability analysis in Discussion 3. Compared with Figure 9a, it can be seen that the combined effect of punishment and R&D intensity is usually vital in promoting low-carbon logistics. Still, when its intensity is insufficient, construction intensity becomes the key. These findings reflect structural challenges in the current low-carbon logistics transition—namely, the unbalanced allocation of fiscal resources among punishment, construction, and R&D, which hampers integrated progress. Therefore, the government should flexibly adjust its strategy according to the situation to maximize the effect of promoting low-carbon logistics.
Under the low and medium intensity scenario of β and θ , the evolution path of logistics enterprises is shown in Figure 10a,b. When the research and development intensity and punishment intensity increase from low to medium level, the strategic decisions of logistics enterprises with different construction intensities are very different. However, assuming that R&D and punishment intensity remain the same, the evolutionary game changes in the opposite direction. This phenomenon shows that punishment intensity θ and R&D intensity β have a significant influence on whether enterprises choose low-carbon strategy but have no great influence on whether enterprises are affected by government construction intensity γ . Therefore, when the government promotes the implementation of low-carbon strategies by logistics enterprises, it should focus on how to adjust the intensity of research and development and punishment, rather than just relying on increasing construction investment.
When β and θ are both in low and medium-intensity situations, Figure 11a,b show the comparative analysis of government evolutionary game paths. Through in-depth research, it is found that the government’s strategy of adopting active regulation has little relationship with the values of β , θ and γ . This simulation result is highly consistent with discussion 4 in the stability analysis, and once again emphasizes the key role of government regulation in promoting the development of low-carbon logistics. The different values of construction intensity γ have no significant influence on the speed of the government’s relevant strategy selection. What impacts the speed of the government’s strategy choice is the change in the severity of punishment. Specifically, under low punishment and R&D intensity, the speed of government selection is significantly lower than that under medium R&D and punishment intensity.
In the scenario where β and θ are in low and medium intensity respectively, the evolutionary game path of consumers is shown in Figure 12a,b. When the government’s punishment and research and development efforts are kept at a low level, the government’s infrastructure construction efforts will affect whether consumers choose to consume. Specifically, consumers may be more inclined to spend if the government’s infrastructure is strong enough. On the other hand, if infrastructure construction is inadequate, consumers may be more inclined not to spend. Many factors influence consumers’ spending decisions. Initially, consumers may decide to consume, but over time, they will choose not to consume for a long time due to the imperfect and cumbersome logistics infrastructure. However, suppose the government’s R&D efforts and sanctions are increased to a moderate level. In that case, the level of government infrastructure development will not have a decisive impact on consumers’ final strategic decisions. However, it is worth noting that consumers take slightly less time to make consumption decisions at high levels of development than at low levels of development.
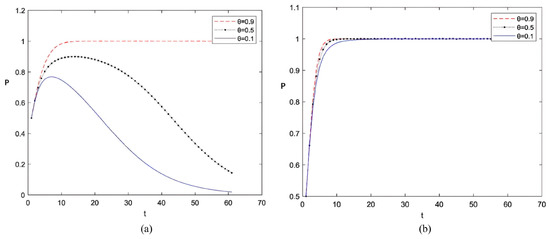
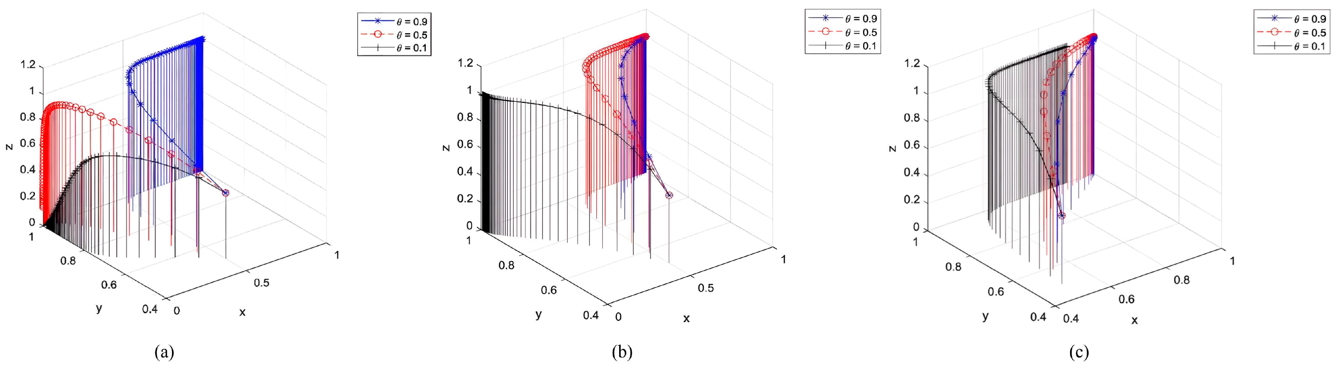
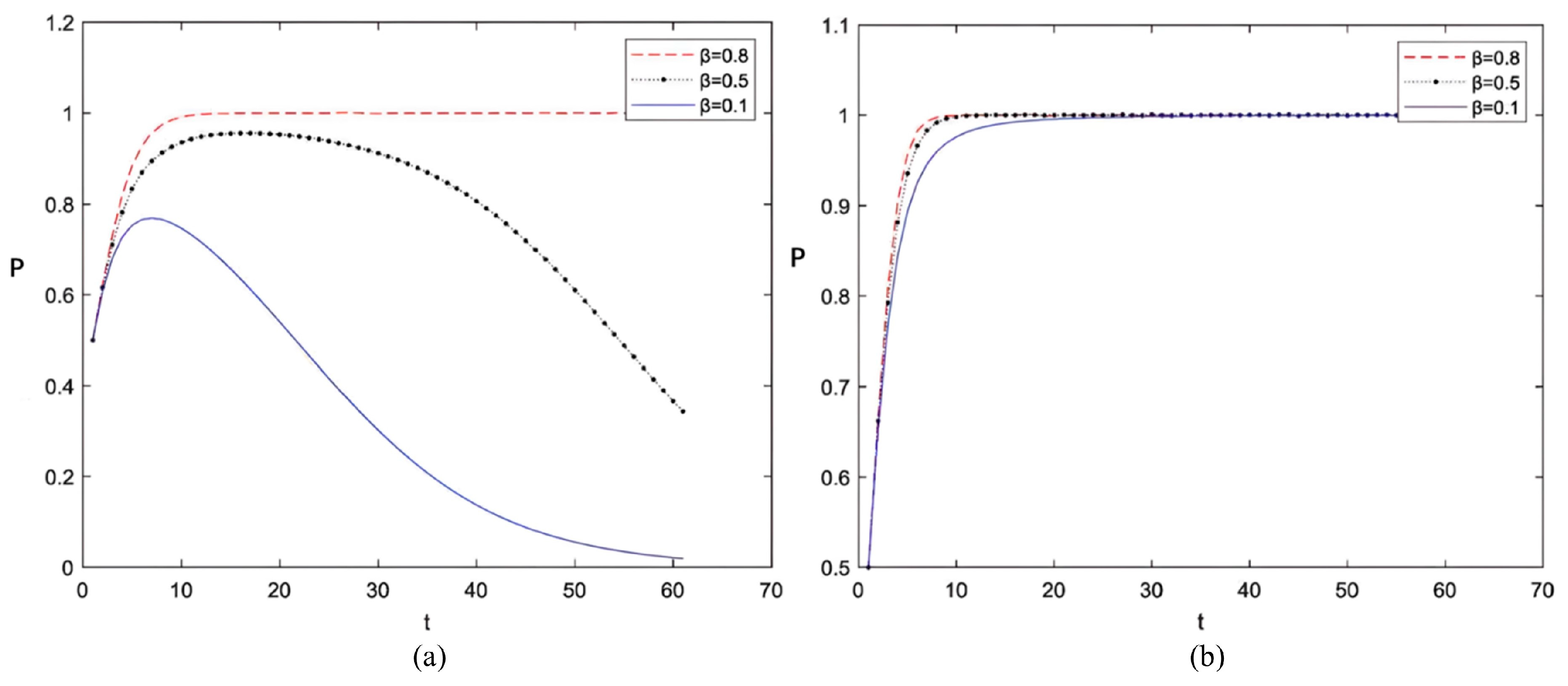
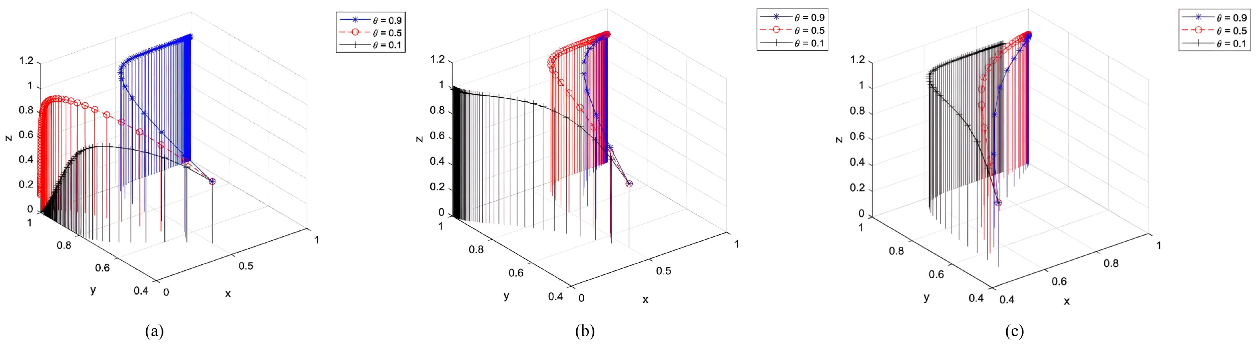
(3) Influence of government punishment intensity on tripartite evolutionary game (Figure 13, Figure 14, Figure 15 and Figure 16)
When subjected to three different punishment intensities of high force 0.9, medium force 0.5, and low force 0.1, Beta and gamma are reduced, and the evolutionary game path is shown in Figure 13a, Figure 14a, Figure 15a and Figure 16a. When β and γ are changed to medium force, the evolutionary game path of θ under three punishment forces is also analyzed, as shown in Figure 13b, Figure 14b, Figure 15b and Figure 16b. It is worth noting that under different punishment intensity, when β and γ both reach high intensity, the evolution paths of the three parties and logistics enterprises are shown in Figure 13c and Figure 14c respectively. At this time, the evolution path of the government and consumers is the same as when β and γ took the central power. The interaction and influence of various factors in the development of low-carbon logistics can be more deeply understood through a comparative analysis of the evolutionary game path under different parameter combinations.
Under the condition that both β and γ are of low strength, the path of tripartite evolutionary game under different θ values is shown in Figure 13a. When the government imposes severe punishment on the non-low-carbon behavior of logistics enterprises, logistics enterprises gradually shift to low-carbon strategies, and consumers tend to increase consumption, which indicates that the government’s punitive measures are effective. The simulation results show this in Discussion 3 of the stability analysis. However, for logistics enterprises to choose low-carbon strategies, the government needs to impose higher penalties on the low-carbon behaviors of logistics enterprises so that consumers will be inclined to consume. This result confirms the discussion in Stability Analysis 1 that modest fines do not necessarily lead logistics companies and consumers to adopt low-carbon strategies. Therefore, when formulating corresponding policies, the government should pay attention to the introduction of punitive measures to ensure that they can play the expected incentive and disincentive role.
When both β and γ are at medium levels, as shown in Figure 13b, the three-way evolutionary game paths under different values are presented. There is no direct correlation between consumers’ tendency to choose purchasing strategies and whether the government punishes logistics enterprises for not being low-carbon. It is worth noting that when the government implements medium to high-intensity punishment measures, logistics enterprises are more inclined to choose low-carbon strategies. On the other hand, if the penalty is low, logistics enterprises may lack the motivation to adopt the low-carbon strategy. However, logistics enterprises may choose not to use a low-carbon strategy in the case of low punishment.
Under the scenario of high intensity, β and γ , the paths of the three-party evolutionary game with different values of θ are shown in Figure 13c. At this time, regardless of whether the government’s punishment on logistics enterprises is high or low, logistics enterprises firmly choose low-carbon strategies, and consumers generally prefer to consume. This phenomenon clearly shows the government’s significant regulatory effect in promoting the development of low-carbon logistics, which is highly consistent with the views elaborated in discussion 3 of the stability analysis.
A comprehensive analysis of Figure 13a–c shows the influence of different policy intensities on the strategy selection of the three parties in the evolutionary game. When the government imposes high fines, the government, logistics enterprises, and consumers tend to show positive behavior in the evolutionary game, regardless of differences in research, development, and construction. However, suppose the penalties are moderate, and the R&D and construction efforts are low. In that case, logistics enterprises and consumers are more inclined to choose not to carry out low-carbon production and consumption. If the punishment is low, with the reduction of research and development and construction efforts, the strategic choice of logistics enterprises and consumers will gradually turn away from carrying out low-carbon production and consumption.
When the intensity of β and γ , are both low, the evolutionary game path of logistics enterprises under different values of θ is shown in Figure 14a. When the government imposes medium or low fines on logistics enterprises for their unsustainable behavior, logistics enterprises tend to choose unsustainable strategies. It is worth noting that even if the penalty amount is higher, the proportion of logistics companies choosing low-carbon strategies is also significantly lower. Especially in the early stage of strategic choice, logistics enterprises tend to engage in non-low-carbon behavior. This phenomenon shows that if there is less public investment in technology, research and development, and infrastructure construction, the incentive for logistics companies to choose low-carbon strategies by increasing fines alone is minimal.
When β and γ , are both in medium force, the evolution path of logistics enterprises is shown in Figure 14b. There are significant differences compared to Figure 14a. Although the government does not impose heavy fines on logistics companies for unsustainable development, logistics companies still tend to choose low-carbon strategies. However, it is worth noting that compared with high fines, if the penalty rate is further increased, the time for logistics companies to make low-carbon choices will be shortened. The main reason for this phenomenon is that the development of low-carbon logistics in China is still in its infancy, and many enterprises have not realized the long-term benefits of low-carbon logistics. Therefore, to effectively promote the rapid development of low-carbon logistics, the punishment of carbon-neutral behavior is significant and key. Appropriate punitive measures can not only guide enterprises to shift to low-carbon activities gradually but also speed up the environmental transformation process of the entire logistics industry.
When β and γ , both maintain high intensity, the evolution path of logistics enterprises under different values of θ is shown in Figure 14c. It is worth noting that when the government adopts low punishment, the logistics enterprises need a relatively long time to reach a stable evolution state. In this process, some logistics enterprises may show speculative psychology and seek short-term benefits through non-low-carbon strategies. However, given the government’s heavy investment in technology research and development and infrastructure development, the comprehensive benefits of choosing a low-carbon strategy will eventually exceed those of a non-low-carbon strategy. Therefore, despite low penalties, logistics enterprises will still choose low-carbon strategies to achieve long-term sustainable development. Figure 14 indicates that under strong R&D and construction intensity, enterprises will be driven by long-term interests to adopt low-carbon strategies, even in the absence of strong punitive measures, highlighting the substitutability and complementarity of different policy tools.
Through a comparative analysis of Figure 15a (i.e., the evolution path of the government under different values of θ when both β and γ are taken as low forces) and Figure 15b (i.e., the evolution path of the government under different values of θ when both β and γ are taken as medium forces), the research finds that no matter whether the R&D intensity, construction intensity, and punishment intensity are at high or low levels, In the end, governments tend to choose the strategy of implementing active regulation. This finding further reinforces the government’s active role in promoting the development of low-carbon logistics, highlighting the importance of policy formulation and implementation. Furthermore, the government’s evolution toward active regulation is significantly accelerated when the penalties are increased. This phenomenon highlights the critical role of government regulation in promoting the development of low-carbon logistics, consistent with discussion 4 in the stability analysis.
When β and γ are both at a low intensity, the consumer evolution paths under different conditions of θ are shown in Figure 16a. Consumers will choose to spend only when the government imposes a high level of punishment. However, when the penalty is moderate or low, consumers may initially be inclined to choose to consume, but eventually, they will still abandon this option.
In contrast, when β and γ are both taken as the medium force, the consumer evolution path under different values of θ is shown in Figure 16b. Because the government provides strong guarantees in technology research and development and infrastructure construction, consumers will ultimately choose to consume regardless of the severity of the penalties imposed by the government. It can be seen that different punishment intensity has no significant impact on the time required for consumers to make a choice.
This indicates that under relatively strong R&D and construction support (i.e., medium β and γ), the marginal effect of penalties is significantly weakened. Consumers are more easily guided by positive incentives to form stable preferences for green consumption. Conversely, under weak R&D and infrastructure inputs, Intensity of punishment become a key factor influencing consumer behavior.

4. Research Conclusions and Policy Recommendations

4.1. Research Conclusions

Under the guidance of the “double carbon” goal, China’s logistics industry is facing severe energy conservation challenges, such as emission reduction and carbon reduction. Because the logistics industry has significant characteristics of high energy consumption, high pollution, and high emissions, it is essential to promote its green and low-carbon development, and consumers’ green and low-carbon consumption behavior plays a crucial role. Firstly, this paper constructs a tripartite evolutionary game model about government regulation of low-carbon logistics. To investigate the stability of the model and its asymptotic stability conditions, the Lyapunov discriminant method is used for rigorous mathematical analysis. This study uses MATLAB numerical simulation technology to analyze the impact of government R&D, construction, and punishment on the strategic choices of logistics enterprises, governments, and consumers. The dynamic evolution mechanism from the initial state to the stable state is analyzed systematically, and the validity and practicability of the theoretical model are verified. This study provides a theoretical basis for the government to formulate relevant policies. It is an essential reference for the collaborative evolution of logistics enterprises, governments, and consumers in strategic choices.
The main conclusions are as follows: the government influences the strategic choice of logistics enterprises through R&D, construction, and punishment. Even if the intensity of a measure is small, it can be made up by other measures to promote the selection of low-carbon strategies. The government actively acts as a key to developing low-carbon logistics, including increasing investment in research and development, strengthening the construction of facilities, and increasing penalties. These initiatives promote the development of low-carbon logistics and achieve green transformation. The government should increase investment and supervision to guide logistics enterprises to choose low-carbon strategies. Government investment in logistics infrastructure significantly impacts consumers’ consumption decisions and accelerates their decision-making process. The construction of this infrastructure not only creates additional economic benefits for logistics enterprises but also brings substantial convenience to consumers. Therefore, consumers’ consumption choice indirectly affects the low-carbon strategy choice of logistics enterprises to a certain extent. By optimizing logistics infrastructure, the government not only promotes the development of the logistics industry but also improves the consumption experience of consumers, thus promoting the low-carbon transformation of logistics enterprises. This shows that when the government encourages the development of low-carbon logistics, it needs to consider multiple factors to comprehensively achieve overall coordination and optimization.

4.2. Policy Recommendations

According to the evolutionary game and simulation analysis, the government’s R&D, construction, and supervision can promote the development of low-carbon logistics and consumers’ green and low-carbon consumption. The government should establish a comprehensive and efficient collaborative promotion mechanism to encourage the coupled and coordinated development of the logistics industry and green and low-carbon consumption. This mechanism should cover many aspects, such as policy formulation, implementation, supervision, and evaluation, to ensure that the logistics industry and green low-carbon consumption achieve a high degree of synergy at the policy level.
(1)
The government should set up a particular coordinating body to coordinate the development plan of the logistics industry and green and low-carbon consumption. This body should comprise relevant government departments, industry associations, business representatives, experts, and scholars to ensure the scientific and practical formulation of policies. The agency should hold regular meetings to discuss the development status, problems, and future development trends of the logistics industry and green and low-carbon consumption and jointly formulate corresponding development strategies and policy measures.
(2)
The government should strengthen inter-departmental communication and cooperation to form policy synergy. The logistics industry and green and low-carbon consumption involve many departments and fields, and they need close cooperation and joint promotion among all departments. The government should establish an information-sharing mechanism among departments to ensure the timely transmission and effective communication of policy information. At the same time, all departments should fully consider the needs and characteristics of the logistics industry and green and low-carbon consumption when formulating and implementing relevant policies to ensure cohesion and coordination between policies.
(3)
The government should also establish a monitoring and evaluation mechanism to timely grasp the development dynamics and policy effects of the logistics industry and green and low-carbon consumption. The effectiveness of policy implementation and existing problems are assessed through regular collection and analysis of relevant data, and the basis for policy adjustment and optimization is provided. At the same time, the government should establish a feedback mechanism, listen to the opinions and suggestions of enterprises and consumers promptly, and constantly improve policies and measures to improve the effectiveness and pertinence of policies.

5. Research Limitations and Prospects

The research in this paper provides certain solutions for the green and low-carbon development of logistics enterprises under the background of “dual carbon”. The internal and external factors affecting the green and low-carbon development of the logistics industry are analyzed from micro and macro perspectives, and both consumers and the government are taken into account in the model, and the impact of government research and development, construction and punishment on the low-carbon development strategy of logistics enterprises is considered. However, it still has some limitations and provides some enlightenment for future research. First of all, the model designed in this study only considers the strategic choice of logistics enterprises under the tripartite evolutionary game under bounded rationality, and the tripartite evolutionary game under the situation of complete information and incomplete information needs to be further studied. Secondly, this study does not consider the interaction of any two government R&D, construction and punishment intensity, and in fact, the relative implementation intensity of any two will affect the decision-making actions of logistics enterprises. In the future, we can further consider the synergistic impact of any two means on the strategy based on Bayesian updating. Thirdly, this study mainly focuses on the strategic choice of a certain logistics enterprise, but in reality, the game between different logistics enterprises is also an important factor affecting the logistics enterprise’s own strategy. Future studies can consider the influence of game pressure on the green and low-carbon development of other logistics enterprises. Finally, while this study offers theoretical insights within an evolutionary game framework, it does not incorporate empirical data to validate the assumptions and outcomes of the model. We acknowledge that integrating real-world data and strengthening empirical analysis would enhance the practical relevance and robustness of the findings. Future research could calibrate and verify the model using actual behavioral or policy data, thereby providing more solid support for policymaking and promoting the sustainable transformation of the logistics sector.

Author Contributions

Conceptualization, L.W. and Z.Y.; methodology, L.W.; validation, T.L., K.L. and Z.Y.; formal analysis, L.W., Z.Y., T.L. and K.L.; resources, Z.Y., T.L. and K.L.; data curation, Z.Y., T.L. and K.L.; writing—original draft preparation, T.L. and K.L.; writing—review and editing, L.W., Z.Y. and C.L.; supervision, C.L.; project administration, C.L.; funding acquisition, L.W. All authors have read and agreed to the published version of the manuscript.

Funding

The research is supported by the National Social Science Fund of China (24FJYB037).

Data Availability Statement

The datasets used and/or analyzed during the current study are available from the corresponding author upon reasonable request.

Conflicts of Interest

The authors declare that there is no conflict of interests.

References

  1. Li, J.; Tang, F.; Zhang, S.; Zhang, C. The Effects of Low-Carbon City Construction on Bus Trips. J. Public Transp. 2023, 25, 100057. [Google Scholar] [CrossRef]
  2. Liang, Z.; Chiu, Y.; Guo, Q.; Liang, Z. Low-Carbon Logistics Efficiency: Analysis on the Statistical Data of the Logistics Industry of 13 Cities in Jiangsu Province, China. Res. Transp. Bus. Manag. 2022, 43, 100740. [Google Scholar] [CrossRef]
  3. Zhang, L.; Fu, M.; Fei, T.; Lim, M.K.; Tseng, M.-L. A Cold Chain Logistics Distribution Optimization Model: Beijing-Tianjin-Hebei Region Low-Carbon Site Selection. Ind. Manag. Data Syst. 2024, 124, 3138–3163. [Google Scholar] [CrossRef]
  4. Li, C.; Lei, T.; Wang, L. Examining the Emission Reduction Effect of Carbon Emission Trading and Carbon Tax Synergism and Their Impact Mechanisms to Reduce the Carbon Emission of Company: Based on 247 Listed Companies of China. Technol. Anal. Strateg. Manag. 2024, 1–16. [Google Scholar] [CrossRef]
  5. Wang, Z.; Chen, W. Evaluation of Coordinated Development of Logistics Development and Low-Carbon Economy in Wuhan Based on Big Data. Wirel. Commun. Mob. Comput. 2022, 2022, 1314699. [Google Scholar] [CrossRef]
  6. Zhan, C.; Zhang, X.; Yuan, J.; Chen, X.; Zhang, X.; Fathollahi-Fard, A.M.; Wang, C.; Wu, J.; Tian, G. A Hybrid Approach for Low-Carbon Transportation System Analysis: Integrating CRITIC-DEMATEL and Deep Learning Features. Int. J. Environ. Sci. Technol. 2024, 21, 791–804. [Google Scholar] [CrossRef] [PubMed]
  7. Wu, C.; Xiao, L.; Hu, Z.; Zhou, Y. Modeling the Low-Carbon Behaviors’ Development Paths of Freight Enterprises Based on a Survey in Zhejiang, China. Sustain. Cities Soc. 2022, 82, 103894. [Google Scholar] [CrossRef]
  8. Wu, Q. Power Play in Carbon Trading Market: How Status of Executives with R&D Background Incentives Companies’ Low-Carbon Innovation. Energy Policy 2024, 188, 114049. [Google Scholar] [CrossRef]
  9. Huang, K.; Wang, J. Research on the Impact of Environmental Regulation on Total Factor Energy Effect of Logistics Industry from the Perspective of Green Development. Math. Probl. Eng. 2022, 2022, 3793093. [Google Scholar] [CrossRef]
  10. Wu, S.; Gong, X.; Wang, Y.; Cao, J. Consumer Cognition and Management Perspective on Express Packaging Pollution. Int. J. Environ. Res. Public Health 2022, 19, 4895. [Google Scholar] [CrossRef] [PubMed]
  11. Sharma, H. Identifying Determinants of Refurbished Apparel Adoption: An Attribution Theory Perspective. J. Consum. Behav. 2024, 23, 3–14. [Google Scholar] [CrossRef]
  12. Zuo, W.; Zhang, X.; Ge, Y. The Economic Globalization for Sustainable Management of Overseas Trade Enterprise Logistics. Expert Syst. 2024, 41, e12887. [Google Scholar] [CrossRef]
  13. Brunetti, M.; Mes, M.; Lalla-Ruiz, E. Smart Logistics Nodes: Concept and Classification. Int. J. Logist. Res. Appl. 2024, 27, 1984–2020. [Google Scholar] [CrossRef]
  14. Tian, G.; Lu, W.; Zhang, X.; Zhan, M.; Dulebenets, M.A.; Aleksandrov, A.; Fathollahi-Fard, A.M.; Ivanov, M. A Survey of Multi-Criteria Decision-Making Techniques for Green Logistics and Low-Carbon Transportation Systems. Environ. Sci. Pollut. Res. 2023, 30, 57279–57301. [Google Scholar] [CrossRef] [PubMed]
  15. Fernando, Y.; Rozuar, N.H.M.; Mergeresa, F. The Blockchain-Enabled Technology and Carbon Performance: Insights from Early Adopters. Technol. Soc. 2021, 64, 101507. [Google Scholar] [CrossRef]
  16. Zhu, S.; Zhang, D.; Zhang, L.; Luo, L.; Li, M. The Assessment and Forecasting of Carbon Emission for Gansu-Qinghai-Shaanxi of China. Environ. Sci. Pollut. Res. 2023, 30, 124155–124169. [Google Scholar] [CrossRef] [PubMed]
  17. Tiwong, S.; Woschank, M.; Ramingwong, S.; Tippayawong, K.Y. Logistics Service Provider Lifecycle Model in Industry 4.0: A Review. Appl. Sci. 2024, 14, 2324. [Google Scholar] [CrossRef]
  18. Hellström, D.; Olsson, J. Let’s Go Thrift Shopping: Exploring Circular Business Model Innovation in Fashion Retail. Technol. Forecast. Soc. Change 2024, 198, 123000. [Google Scholar] [CrossRef]
  19. Bakin, B.C.; McGovern, C.J.; Melendez, M.; Kessler, C.; Critzer, F.; Rock, C.M.; Buchanan, R.L.; Schaffner, D.W.; Danyluk, M.D.; Kowalcyk, B.B. Ranking Food Safety Priorities of the Fresh Produce Industry in the United States. J. Food Prot. 2023, 86, 100167. [Google Scholar] [CrossRef] [PubMed]
  20. Zhang, G.; Xu, J.; Wang, Y. A Study on the Promotion Effect of Government Guidance on the Construction of a National Unified Market Logistics Channel. PLoS ONE 2023, 18, e0293969. [Google Scholar] [CrossRef] [PubMed]
  21. Guo, J.; Zhang, Y. How Does Low-Carbon Development of Logistics and Tourism Contribute to China’s Economy? Evidence from Technological Innovation and Renewable Energy. J. Knowl. Econ. 2024, 15, 18378–18411. [Google Scholar] [CrossRef]
  22. Huo, H.; Lu, Y.; Wang, Y. Evolutionary Game Analysis of Low-Carbon Transformation and Technological Innovation in the Cold Chain under Dual Government Intervention. Environ. Dev. Sustain. 2024, 27, 12893–12920. [Google Scholar] [CrossRef]
  23. Zheng, H.; Ma, J.; Yao, Z.; Hu, F. How Does Social Embeddedness Affect Farmers’ Adoption Behavior of Low-Carbon Agricultural Technology? Evidence from Jiangsu Province, China. Front. Environ. Sci. 2022, 10, 909803. [Google Scholar] [CrossRef]
  24. Razonable, R.R.; Aloia, N.C.; Anderson, R.J.; Anil, G.; Arndt, L.L.; Arndt, R.F.; Ausman, S.E.; Bell, S.J.; Bierle, D.M.; Billings, M.L. A Framework for Outpatient Infusion of Antispike Monoclonal Antibodies to High-Risk Patients with Mild-to-Moderate Coronavirus Disease-19: The Mayo Clinic Model. In Mayo Clinic Proceedings; Elsevier: Amsterdam, The Netherlands, 2021; Volume 96, pp. 1250–1261. [Google Scholar]
  25. Luo, Y.; Zhang, Y.; Yang, L. How to Promote Logistics Enterprises to Participate in Reverse Emergency Logistics: A Tripartite Evolutionary Game Analysis. Sustainability 2022, 14, 12132. [Google Scholar] [CrossRef]
  26. Wang, H.; Chen, L.; Liu, J. An Evolutionary Game Theory Analysis Linking Manufacturing, Logistics, and the Government in Low-Carbon Development. J. Oper. Res. Soc. 2022, 73, 1014–1032. [Google Scholar] [CrossRef]
  27. Xing, X.-H.; Hu, Z.-H.; Luo, W.-P. Using Evolutionary Game Theory to Study Governments and Logistics Companies’ Strategies for Avoiding Broken Cold Chains. Ann. Oper. Res. 2023, 329, 127–155. [Google Scholar] [CrossRef]
  28. Zhang, G.; Wang, X.; Wang, Y.; Xu, J. A Tripartite Evolutionary Game for the Regional Green Logistics: The Roles of Government Subsidy and Platform’s Cost-Sharing. Kybernetes 2024, 53, 216–237. [Google Scholar] [CrossRef]
  29. He, J. Construction of Supply Chain Coordination and Optimization Model of Fresh Food E-Commerce Platform Based on Improved Bacterial Foraging Algorithm. RAIRO-Oper. Res. 2022, 56, 3853–3869. [Google Scholar] [CrossRef]
  30. Kaewpuang, R.; Sawadsitang, S.; Niyato, D.; Yu, H. Evolutionary Carrier Selection for Shared Truck Delivery Services. IEEE Trans. Veh. Technol. 2023, 72, 6778–6782. [Google Scholar] [CrossRef]
  31. Zhang, C.; Yuan, G.; Li, S.; He, J. The Influence Mechanism of a Self-Governing Organization in the Logistics Industry Based on the Tripartite Evolutionary Game Model. IEEE Access 2022, 11, 1555–1569. [Google Scholar] [CrossRef]
  32. Xiong, L.; Xue, R. Evolutionary Game Analysis of Collaborative Transportation of Emergency Materials Based on Blockchain. Int. J. Logist. Res. Appl. 2024, 27, 1633–1654. [Google Scholar] [CrossRef]
  33. Xu, B. Environmental Regulations, Technological Innovation, and Low Carbon Transformation: A Case of the Logistics Industry in China. J. Clean. Prod. 2024, 439, 140710. [Google Scholar] [CrossRef]
  34. Wang, L.; Chen, L.; Li, C. Research on Strategies for Improving Green Product Consumption Sentiment from the Perspective of Big Data. J. Retail. Consum. Serv. 2024, 79, 103802. [Google Scholar] [CrossRef]
  35. Wu, X.; Du, L. Optimal Control of the Logistics Automation Transmission System Based on Partial Differential Equation. Math. Probl. Eng. 2022, 2022, 1198954. [Google Scholar] [CrossRef]
  36. Huang, F.; Fan, H.; Shang, Y.; Wei, Y.; Almutairi, S.Z.; Alharbi, A.M.; Ma, H.; Wang, H. Research on Renewable Energy Trading Strategies Based on Evolutionary Game Theory. Sustainability 2024, 16, 2671. [Google Scholar] [CrossRef]
  37. Zheng, Y.; Li, C.; Feng, J. Stability Analysis of Networked Evolutionary Games with Profile-Dependent Delays. J. Syst. Sci. Complex. 2023, 36, 2292–2308. [Google Scholar] [CrossRef]
  38. Zhao, D.; Song, L.; Han, L. Evolutionary Game Analysis of Debt Restructuring Involved by Asset Management Companies. Complexity 2022, 2022, 2651538. [Google Scholar] [CrossRef]
  39. Ran, W.; He, D.; Li, Z.; Xue, Y.; He, Z.; Basnayaka Gunarathnage, A.D.B. Research on Distribution Strategy of Logistics Enterprise Alliance Based on Three-Party Evolution Game. Sci. Rep. 2024, 14, 14894. [Google Scholar] [CrossRef] [PubMed]
  40. Wang, L.; Chen, L.; Gao, P.; Li, C. Construction and Application of Carbon Performance Evaluation Index System for Chinese Industrial Enterprises from the Perspective of Low-Carbon Transition. J. Intl Dev. 2025, 37, 736–757. [Google Scholar] [CrossRef]
  41. Wu, R.; Zhu, L.; Jiang, M. Research on the Evolution Game of Low-Carbon Operations in Cold Chain Logistics Considering Environmental Regulations and Green Credit. Heliyon 2024, 10, e30559. [Google Scholar] [CrossRef] [PubMed]
  42. Balm, S. Using Procurement Power to Accelerate Sustainable City Logistics: Lessons from Change Agents in the Netherlands. Sustainability 2022, 14, 6225. [Google Scholar] [CrossRef]
  43. Li, C.; Li, K.; Wang, L. The Influence Effect of Regional Carbon Emission Reduction under the Perspective of Fiscal Decentralization: Government Intervention or Market Mechanism? Manag. Decis. Econ. 2024, 45, 3335–3358. [Google Scholar] [CrossRef]
Figure 1. The full-text frame diagram.
Figure 1. The full-text frame diagram.
Systems 13 00590 g001
Figure 2. When θ P + β I + R 1 c 1 < R 2 c 2 and ( γ F r 2 ) < c 3 , arrows indicate the direction of convergence in the evolutionary game process.
Figure 2. When θ P + β I + R 1 c 1 < R 2 c 2 and ( γ F r 2 ) < c 3 , arrows indicate the direction of convergence in the evolutionary game process.
Systems 13 00590 g002
Figure 3. When θ P + β I + R 1 c 1 < R 2 c 2 and γ F r 2 > c 3 , arrows indicate the direction of convergence in the evolutionary game process.
Figure 3. When θ P + β I + R 1 c 1 < R 2 c 2 and γ F r 2 > c 3 , arrows indicate the direction of convergence in the evolutionary game process.
Systems 13 00590 g003
Figure 4. When θ P + β I + R 1 c 1 > R 2 c 2 , arrows indicate the direction of convergence in the evolutionary game process.
Figure 4. When θ P + β I + R 1 c 1 > R 2 c 2 , arrows indicate the direction of convergence in the evolutionary game process.
Systems 13 00590 g004
Figure 5. (a) When the intensities of γ and θ is low, the tripartite evolution paths under different β values; (b) When the intensities of γ and θ is medium, the tripartite evolution paths under different β values; (c) When the intensities of γ and θ is high, the tripartite evolution paths under different β values.
Figure 5. (a) When the intensities of γ and θ is low, the tripartite evolution paths under different β values; (b) When the intensities of γ and θ is medium, the tripartite evolution paths under different β values; (c) When the intensities of γ and θ is high, the tripartite evolution paths under different β values.
Systems 13 00590 g005
Figure 6. (a) When the intensity of γ and θ is low, the evolution path diagram of logistics enterprises under different β values; (b) When the intensity of γ and θ is medium, the evolution path diagram of logistics enterprises under different β values; (c) When the intensity of γ and θ is high, the evolution path diagram of logistics enterprises under different β values.
Figure 6. (a) When the intensity of γ and θ is low, the evolution path diagram of logistics enterprises under different β values; (b) When the intensity of γ and θ is medium, the evolution path diagram of logistics enterprises under different β values; (c) When the intensity of γ and θ is high, the evolution path diagram of logistics enterprises under different β values.
Systems 13 00590 g006
Figure 7. (a) When the intensity of γ and θ is low, the government evolution path graph under different β values; (b) When the intensity of γ and θ is medium, the government evolution path graph under different β values.
Figure 7. (a) When the intensity of γ and θ is low, the government evolution path graph under different β values; (b) When the intensity of γ and θ is medium, the government evolution path graph under different β values.
Systems 13 00590 g007
Figure 8. (a) When the intensity of γ and θ is low, the consumer evolution path graph under different β values; (b) When the intensity of γ and θ is medium, the consumer evolution path graph under different β values.
Figure 8. (a) When the intensity of γ and θ is low, the consumer evolution path graph under different β values; (b) When the intensity of γ and θ is medium, the consumer evolution path graph under different β values.
Systems 13 00590 g008
Figure 9. (a) When the intensity of β and θ is low, the tripartite evolution path graph under different γ values; (b) When the intensity of β and θ is medium, the tripartite evolution path graph under different γ values.
Figure 9. (a) When the intensity of β and θ is low, the tripartite evolution path graph under different γ values; (b) When the intensity of β and θ is medium, the tripartite evolution path graph under different γ values.
Systems 13 00590 g009
Figure 10. (a) When the intensity of β and θ is low, the logistics enterprises evolution path graph under different γ values; (b) When the intensity of β and θ is medium, the logistics enterprises evolution path graph under different γ values.
Figure 10. (a) When the intensity of β and θ is low, the logistics enterprises evolution path graph under different γ values; (b) When the intensity of β and θ is medium, the logistics enterprises evolution path graph under different γ values.
Systems 13 00590 g010
Figure 11. (a) When the intensity of β and θ is low, the government evolution path graph under different γ values; (b) When the intensity of β and θ is medium, the government evolution path graph under different γ values.
Figure 11. (a) When the intensity of β and θ is low, the government evolution path graph under different γ values; (b) When the intensity of β and θ is medium, the government evolution path graph under different γ values.
Systems 13 00590 g011
Figure 12. (a) When the intensity of β and θ is low, the consumer evolution path graph under different γ values; (b) When the intensity of β and θ is medium, the consumer evolution path graph under different γ values.
Figure 12. (a) When the intensity of β and θ is low, the consumer evolution path graph under different γ values; (b) When the intensity of β and θ is medium, the consumer evolution path graph under different γ values.
Systems 13 00590 g012
Figure 13. (a) When the intensities of β and γ is low, the tripartite evolution paths graph under different θ values; (b) When the intensities of β and γ is medium, the tripartite evolution paths graph under different θ values; (c) When the intensities of β and γ is high, the tripartite evolution paths graph under different θ values.
Figure 13. (a) When the intensities of β and γ is low, the tripartite evolution paths graph under different θ values; (b) When the intensities of β and γ is medium, the tripartite evolution paths graph under different θ values; (c) When the intensities of β and γ is high, the tripartite evolution paths graph under different θ values.
Systems 13 00590 g013
Figure 14. (a) When the intensity of β and γ vary is low, the evolution path graph of logistics enterprises under different θ values; (b) When the intensity of β and γ is medium, the evolution path graph of logistics enterprises under different θ values; (c) When the intensity of β and γ is high, the evolution path graph of logistics enterprises under different θ values.
Figure 14. (a) When the intensity of β and γ vary is low, the evolution path graph of logistics enterprises under different θ values; (b) When the intensity of β and γ is medium, the evolution path graph of logistics enterprises under different θ values; (c) When the intensity of β and γ is high, the evolution path graph of logistics enterprises under different θ values.
Systems 13 00590 g014
Figure 15. (a) When the intensity of β and γ is low, the government evolution path graph under different θ values; (b) When the intensity of β and γ is medium, the government evolution path graph under different θ values.
Figure 15. (a) When the intensity of β and γ is low, the government evolution path graph under different θ values; (b) When the intensity of β and γ is medium, the government evolution path graph under different θ values.
Systems 13 00590 g015
Figure 16. (a) When the intensity of β and γ is low, the consumer evolution path graph under different θ values; (b) When the intensity of β and γ is medium, the consumer evolution path graph under different θ values.
Figure 16. (a) When the intensity of β and γ is low, the consumer evolution path graph under different θ values; (b) When the intensity of β and γ is medium, the consumer evolution path graph under different θ values.
Systems 13 00590 g016
Table 1. Profit matrix of logistics enterprises, government, and consumers.
Table 1. Profit matrix of logistics enterprises, government, and consumers.
Logistics EnterpriseGovernmentConsumer
Consumer   z Not   Consume   ( 1 z )
Low-carbon ( x ) Active   supervision   ( y ) R 1 c 1 + β I + r 1 + r 2 (Logistics enterprise) ( R 1 c 1 ) + β I + γ F
R 4 β I γ F T   (Government) R 4 β I γ F
R 3 c 3 + γ F r 2 + T (Consumer)0
Negative   supervision   ( 1 y ) ( R 1 c 1 ) + β I + r 1 + r 2 ( R 1 c 1 ) + β I + γ F
β I γ F T R 4 β I γ F
( R 3 c 3 ) + ( γ F r 2 ) + T
Not   low   carbon   ( 1 x ) Active   supervision   ( y ) ( R 2 c 2 ) + r 1 + r 2 θ P ( R 2 c 2 ) + γ F θ P
θ P γ F θ P γ F
( γ F r 2 ) c 3 0
Negative   supervision   ( 1 y ) ( R 2 c 2 ) + r 1 + r 2 ( R 2 c 2 ) + γ F
γ F γ F
( γ F r 2 ) c 3 0
Table 2. Stability of equilibrium point and its asymptotic stability conditions.
Table 2. Stability of equilibrium point and its asymptotic stability conditions.
Equalization PointEigenvaluePlus or Minus PropertyStabilityAsymptotic Stability Condition
A1 (0,0,0) λ 1 = β I + ( R 1 c 1 ) ( R 2 c 2 ) Indeterminacy /
λ 2 = θ P +Instability
λ 3 = ( γ F r 2 ) c 3 Indeterminacy
A2 (1,0,0) λ 1 = [ β I + ( R 1 c 1 ) ( R 2 c 2 ) ] Indeterminacy /
λ 2 = R 4 +Instability
λ 3 = ( R 3 c 3 ) + ( γ F r 2 ) + T +
A3 (0,1,0) λ 1 = θ P + β I + ( R 1 c 1 ) ( R 2 c 2 ) Indeterminacy θ P + β I + R 1 c 1 < R 2 c 2
and ( γ F r 2 ) < c 3
λ 2 = θ P Indeterminacy
λ 3 = ( γ F r 2 ) c 3 Indeterminacy
A4 (0,0,1) λ 1 = β I + ( R 1 c 1 ) ( R 2 c 2 ) Indeterminacy /
λ 2 = θ P +Instability
λ 3 = c 3 ( γ F r 2 ) Indeterminacy
A5 (1,1,0) λ 1 = [ θ P + β I + ( R 1 c 1 ) ( R 2 c 2 ) ] Indeterminacy /
λ 2 = R 4 Saddle point instability
λ 3 = ( R 3 c 3 ) + ( γ F r 2 ) + T +
A6 (1,0,1) λ 1 = [ β I + ( R 1 c 1 ) ( R 2 c 2 ) ] Indeterminacy /
λ 2 = R 4 +Saddle point instability
λ 3 = ( R 3 c 3 ) + ( γ F r 2 ) + T
A7 (0,1,1) λ 1 = θ P + β I + ( R 1 c 1 ) ( R 2 c 2 ) Indeterminacy θ P + β I + R 1 c 1 < R 2 c 2
and γ F r 2 > c 3
λ 2 = θ P Indeterminacy
λ 3 = c 3 ( γ F r 2 ) Indeterminacy
A8 (1,1,1) λ 1 = [ θ P + β I + R 1 c 1 R 2 c 2 ] Indeterminacy θ P + β I + R 1 c 1 > R 2 c 2
λ 2 = R 4 Indeterminacy
λ 3 = [ ( R 3 c 3 ) + ( γ F r 2 ) + T ]
Table 3. Simulation parameter settings.
Table 3. Simulation parameter settings.
HighMiddleLow
Research   and   development   effort     β 0.80.50.1
Construction   intensity   γ 0.90.50.2
Intensity   of   punishment   θ 0.90.50.1
Disclaimer/Publisher’s Note: The statements, opinions and data contained in all publications are solely those of the individual author(s) and contributor(s) and not of MDPI and/or the editor(s). MDPI and/or the editor(s) disclaim responsibility for any injury to people or property resulting from any ideas, methods, instructions or products referred to in the content.

Share and Cite

MDPI and ACS Style

Wang, L.; Ye, Z.; Lei, T.; Liu, K.; Li, C. Green and Low-Carbon Strategy of Logistics Enterprises Under “Dual Carbon”: A Tripartite Evolutionary Game Simulation. Systems 2025, 13, 590. https://doi.org/10.3390/systems13070590

AMA Style

Wang L, Ye Z, Lei T, Liu K, Li C. Green and Low-Carbon Strategy of Logistics Enterprises Under “Dual Carbon”: A Tripartite Evolutionary Game Simulation. Systems. 2025; 13(7):590. https://doi.org/10.3390/systems13070590

Chicago/Turabian Style

Wang, Liping, Zhonghao Ye, Tongtong Lei, Kaiyue Liu, and Chuang Li. 2025. "Green and Low-Carbon Strategy of Logistics Enterprises Under “Dual Carbon”: A Tripartite Evolutionary Game Simulation" Systems 13, no. 7: 590. https://doi.org/10.3390/systems13070590

APA Style

Wang, L., Ye, Z., Lei, T., Liu, K., & Li, C. (2025). Green and Low-Carbon Strategy of Logistics Enterprises Under “Dual Carbon”: A Tripartite Evolutionary Game Simulation. Systems, 13(7), 590. https://doi.org/10.3390/systems13070590

Note that from the first issue of 2016, this journal uses article numbers instead of page numbers. See further details here.

Article Metrics

Back to TopTop