Impact of Quality Investment and Vertical Shareholding in Hybrid Competing Supply Chains
Abstract
1. Introduction
2. Literature Review
2.1. Competing Supply Chains
2.2. Product Quality
2.3. Vertical Shareholding
2.4. Game Theory
3. Problem Description and Modeling Assumptions
4. Model Construction and Solution Analysis
4.1. Manufacturer Does Not Invest in Quality
4.2. Manufacturer Invests in Quality Alone
4.3. Manufacturer Invests in Quality and the Downstream Retailer Holds Shares
5. Numerical Analysis
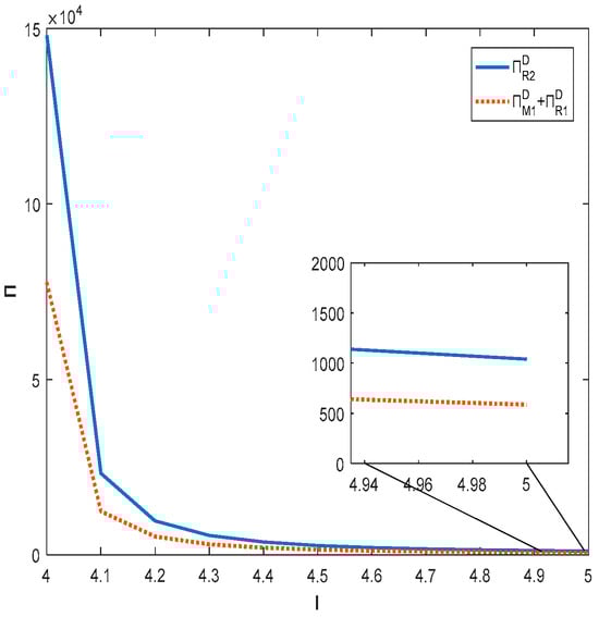
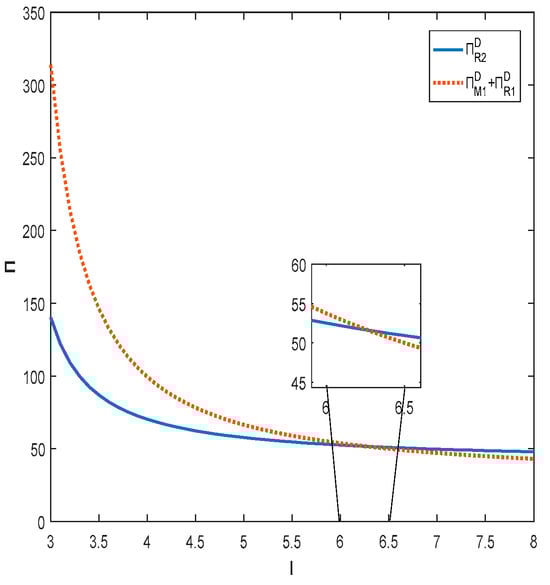
5.1. Impact of Potential Demand for the Product on the Competing Supply Chains
5.2. Impact of Product Quality Effort Cost Fator on Total Supply Chain Profit
5.2.1. Low Level of Degree of Substitution between Products
5.2.2. High Level of Degree of Substitution between Products
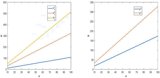
5.3. Impact of Shareholding Ratio on Product Quality and Total Profit of Supply Chain
6. Conclusions
Author Contributions
Funding
Data Availability Statement
Conflicts of Interest
Correction Statement
Appendix A
References
- Banker, R.D.; Khosla, I.; Sinha, K.K. Quality and competition. Manag. Sci. 1998, 44, 1179–1192. [Google Scholar] [CrossRef]
- Kranton, R.E. Competition and the incentive to produce high quality. Economica 2003, 70, 385–404. [Google Scholar] [CrossRef]
- Cao, B.-B.; You, T.-H.; Ou, C.X.; Zhu, H.; Liu, C.-Y. Optimizing payment schemes in a decentralized supply chain: A Stackelberg game with quality investment and bank credit. Comput. Ind. Eng. 2022, 168, 108077. [Google Scholar] [CrossRef]
- Cui, Q. Quality investment, and the contract manufacturer’s encroachment. Eur. J. Oper. Res. 2019, 279, 407–418. [Google Scholar] [CrossRef]
- Jiang, Q.; Xin, Z.; Li, Y.; Ma, S.; Zhang, Q. Differential dynamic decision-making model for multi-stage investment of scenic area. Alex. Eng. J. 2020, 59, 2819–2826. [Google Scholar] [CrossRef]
- Child, J.; Faulkner, D. Strategies of Cooperation: Managing Alliances, Networks, and Joint Ventures; Oxford University Press: Oxford, UK, 1998. [Google Scholar]
- Brooks, C.; Chen, Z.; Zeng, Y. Institutional cross-ownership and corporate strategy: The case of mergers and acquisitions. J. Corp. Financ. 2018, 48, 187–216. [Google Scholar] [CrossRef]
- Xiao, W.; Li, K.; Fu, H. Quality investment in a decentralized assembly system with backward shareholding. Int. J. Prod. Econ. 2021, 242, 108291. [Google Scholar] [CrossRef]
- Gao, K.; Shen, H.; Gao, X.; Chan, K.C. The power of sharing: Evidence from institutional investor cross-ownership and corporate innovation. Int. Rev. Econ. Financ. 2019, 63, 284–296. [Google Scholar] [CrossRef]
- Feng, Q.; Liu, T. Selection strategy and coordination of green product R&D in sustainable competitive supply chain. Sustainability 2022, 14, 8884. [Google Scholar] [CrossRef]
- Adnan, Z.H.; Chakraborty, K.; Bag, S.; Wu, J.S. Pricing and green investment strategies for electric vehicle supply chain in a competitive market under different channel leadership. Ann. Oper. Res. 2023, 1–36. [Google Scholar] [CrossRef]
- McGuire, T.W.; Staelin, R. An industry equilibrium analysis of downstream vertical integration. Mark. Sci. 1983, 2, 161–191. [Google Scholar] [CrossRef]
- Li, M.; Sethi, S.P.; Zhang, J. Competing with bandit supply chains. Ann. Oper. Res. 2016, 240, 617–640. [Google Scholar] [CrossRef]
- Gilo, D.; Spiegel, Y. Partial vertical integration in telecommunication and media markets in Israel. Isr. Econ. Rev. 2011, 9, 29–51. [Google Scholar]
- Zhang, J.; Chen, J. Coordination of information sharing in a supply chain. Int. J. Prod. Econ. 2013, 143, 178–187. [Google Scholar] [CrossRef]
- Anderson, E.J.; Bao, Y. Price competition with integrated and decentralized supply chains. Eur. J. Oper. Res. 2010, 200, 227–234. [Google Scholar] [CrossRef]
- Zhang, L.-H.; Wang, S.-S.; Chang, L.-Y. Radio-frequency Identification (RFID) adoption and chain structure decisions in competing supply chains: Bertrand competition versus Cournot competition. Ann. Oper. Res. 2024, 336, 1777–1811. [Google Scholar] [CrossRef]
- Xia, T.; Wang, Y.; Lv, L.; Shen, L.; Cheng, T. Financing decisions of low-carbon supply chain under chain-to-chain competition. Int. J. Prod. Res. 2023, 61, 6153–6176. [Google Scholar] [CrossRef]
- He, H.; Ai, X.; Wang, G.; Zhong, L. Manufacturer rebate strategy under chain to chain competition. J. Oper. Res. Soc. 2023, 74, 1316–1330. [Google Scholar] [CrossRef]
- Cai, J.; Dong, R.; Zeng, Z.; Hu, X. Supply chain competition models with strategic customers considering sales effort. Comput. Ind. Eng. 2022, 172, 108566. [Google Scholar] [CrossRef]
- Zhu, W.; He, Y. Green product design in supply chains under competition. Eur. J. Oper. Res. 2017, 258, 165–180. [Google Scholar] [CrossRef]
- Patare, S.; Venkataraman, S.V. Strategies in supply chain competition: A game theoretic approach. Comput. Ind. Eng. 2023, 180, 109242. [Google Scholar] [CrossRef]
- Xue, K.; Sun, G. Impacts of supply chain competition on firms’ carbon emission reduction and social welfare under cap-and-trade regulation. Int. J. Environ. Res. Public Health 2022, 19, 3226. [Google Scholar] [CrossRef]
- Duan, H.; Xu, J. Remanufacturing and Product Recovery Strategies Considering Chain-to-Chain Competition and Power Structures. Sustainability 2023, 15, 8170. [Google Scholar] [CrossRef]
- Wu, X.-Y.; Fan, Z.-P.; Li, G. Strategic analysis for adopting blockchain technology under supply chain competition. Int. J. Logist. Res. Appl. 2023, 26, 1384–1407. [Google Scholar] [CrossRef]
- Pal, B.; Guin, S.; Chaudhuri, K. Pricing and quality competition between two substitute products in a closed-loop supply chain. Int. J. Syst. Sci. Oper. Logist. 2023, 10, 2259294. [Google Scholar] [CrossRef]
- Xiao, Y.-X.; Zhang, R.-Q. Supply chain network equilibrium considering coordination between after-sale service and product quality. Comput. Ind. Eng. 2023, 175, 108848. [Google Scholar] [CrossRef]
- Qu, J.; Meng, C.; Hu, B. Pricing and quality decisions in virtual product supply chains with information sharing. J. Oper. Res. Soc. 2023, 74, 1746–1762. [Google Scholar] [CrossRef]
- Cao, B.; Zhang, Q.; Cao, M. Optimizing hybrid-channel supply chains with promotional effort and differential product quality: A game-theoretic analysis. Mathematics 2022, 10, 1798. [Google Scholar] [CrossRef]
- Ranjan, A.; Jha, J. Pricing and coordination strategies of a dual-channel supply chain considering green quality and sales effort. J. Clean. Prod. 2019, 218, 409–424. [Google Scholar] [CrossRef]
- Li, X.; Qi, X. On pricing and quality decisions with risk aversion. Omega 2021, 98, 102118. [Google Scholar] [CrossRef]
- Fan, J.; Ni, D.; Fang, X. Liability cost sharing, product quality choice, and coordination in two-echelon supply chains. Eur. J. Oper. Res. 2020, 284, 514–537. [Google Scholar] [CrossRef]
- Zhang, Q.; Tang, W.; Zaccour, G.; Zhang, J. Should a manufacturer give up pricing power in a vertical information-sharing channel? Eur. J. Oper. Res. 2019, 276, 910–928. [Google Scholar] [CrossRef]
- Gurnani, H.; Erkoc, M.; Luo, Y. Impact of product pricing and timing of investment decisions on supply chain co-opetition. Eur. J. Oper. Res. 2007, 180, 228–248. [Google Scholar] [CrossRef]
- Fang, S.; Zhang, R.-Z. Vertical shareholding during supply chain shocks. Econ. Lett. 2024, 235, 111566. [Google Scholar] [CrossRef]
- Li, W.; He, J.; Shi, Y. Firms’ shareholding behavior in green supply chains: Carbon emissions reduction, power structures, and technology spillovers. Heliyon 2024, 10, e25086. [Google Scholar] [CrossRef] [PubMed]
- Xia, Q.; Zhi, B.; Wang, X. The role of cross-shareholding in the green supply chain: Green contribution, power structure and coordination. Int. J. Prod. Econ. 2021, 234, 108037. [Google Scholar] [CrossRef]
- Liu, H.; Wu, S.; Zhao, X.; Chen, H.; Wang, G.; Song, Z.; Fan, Y. The impact of cross-shareholding under different power structures considering green investment and green marketing. Environ. Sci. Pollut. Res. 2023, 30, 22249–22261. [Google Scholar] [CrossRef] [PubMed]
- Ren, D.; Guo, R.; Lan, Y.; Shang, C. Shareholding strategies for selling green products on online platforms in a two-echelon supply chain. Transp. Res. Part E Logist. Transp. Rev. 2021, 149, 102261. [Google Scholar] [CrossRef]
- Sun, J.; Yang, L.; Shao, T.; Yao, F. Modelling low-carbon closed-loop supply chain considering channel power structures and cross-shareholding. RAIRO-Oper. Res. 2023, 57, 609–629. [Google Scholar] [CrossRef]
- Wang, X.; Wang, L.F. Vertical shareholding, vertical product differentiation and social welfare. Metroeconomica 2023, 74, 478–494. [Google Scholar] [CrossRef]
- He, M.; Kang, K.; Mu, X. Impact of tax difference and asset structure on a capital-constrained vertical equity holding transnational supply chain. Int. J. Prod. Res. 2022, 60, 3606–3629. [Google Scholar] [CrossRef]
- Qu, S.; Zhou, Y.; Ji, Y.; Dai, Z.; Wang, Z. Robust maximum expert consensus modeling with dynamic feedback mechanism under uncertain environments. J. Ind. Manag. Optim. 2024. [Google Scholar] [CrossRef]
- Liu, L.; Parlar, M.; Zhu, S.X. Pricing and lead time decisions in decentralized supply chains. Manag. Sci. 2007, 53, 713–725. [Google Scholar] [CrossRef]
- Mukhopadhyay, S.K.; Yue, X.; Zhu, X. A Stackelberg model of pricing of complementary goods under information asymmetry. Int. J. Prod. Econ. 2011, 134, 424–433. [Google Scholar] [CrossRef]
- Yang, L.; Zhang, Q.; Ji, J. Pricing and carbon emission reduction decisions in supply chains with vertical and horizontal cooperation. Int. J. Prod. Econ. 2017, 191, 286–297. [Google Scholar] [CrossRef]
- Li, J.; Yang, S.; Shi, V.; Zhai, S. Partial vertical centralization in competing supply chains. Int. J. Prod. Econ. 2020, 224, 107565. [Google Scholar] [CrossRef]
- Choi, S.C. Price competition in a channel structure with a common retailer. Mark. Sci. 1991, 10, 271–296. [Google Scholar] [CrossRef]







| Articles | Demand Functions | Vertical Shareholding | Product Quality | Channel Structure |
|---|---|---|---|---|
| Feng et al. (2022) [10] | Deterministic | × | × | CC, CD |
| Adnan et al. (2023 [11] | Deterministic | × | × | CC |
| McGuire et al. (1983) [12] | Deterministic | × | × | CC, CD |
| Zhang et al. (2024) [17] | Deterministic | × | × | CC, CD |
| Li et al. (2020) [47] | Deterministic | √ | × | CC, CD, PVC |
| Our study | Deterministic | √ | √ | CC, CD, PVC |
| Parameter | Description | Parameter | Description |
|---|---|---|---|
| Market demand for retailer i (i = 1, 2) | Manufacturer 1’s wholesale price | ||
| Potential demand for the product | Percentage of shareholding | ||
| Degree of substitution between products | Manufacturer’s profit function | ||
| Consumer sensitivity to product quality | Retailer i’s profit function (i = 1, 2) | ||
| Product quality effort cost factor | Manufacturer does not invest in quality | ||
| Product quality | Manufacturer invests in quality alone | ||
| Retail price of retailer i (i = 1, 2) | Manufacturer invests in quality and the downstream retailer holds shares |
Disclaimer/Publisher’s Note: The statements, opinions and data contained in all publications are solely those of the individual author(s) and contributor(s) and not of MDPI and/or the editor(s). MDPI and/or the editor(s) disclaim responsibility for any injury to people or property resulting from any ideas, methods, instructions or products referred to in the content. |
© 2024 by the authors. Licensee MDPI, Basel, Switzerland. This article is an open access article distributed under the terms and conditions of the Creative Commons Attribution (CC BY) license (https://creativecommons.org/licenses/by/4.0/).
Share and Cite
Xiong, S.; Zhou, T. Impact of Quality Investment and Vertical Shareholding in Hybrid Competing Supply Chains. Systems 2024, 12, 292. https://doi.org/10.3390/systems12080292
Xiong S, Zhou T. Impact of Quality Investment and Vertical Shareholding in Hybrid Competing Supply Chains. Systems. 2024; 12(8):292. https://doi.org/10.3390/systems12080292
Chicago/Turabian StyleXiong, Shouyao, and Tao Zhou. 2024. "Impact of Quality Investment and Vertical Shareholding in Hybrid Competing Supply Chains" Systems 12, no. 8: 292. https://doi.org/10.3390/systems12080292
APA StyleXiong, S., & Zhou, T. (2024). Impact of Quality Investment and Vertical Shareholding in Hybrid Competing Supply Chains. Systems, 12(8), 292. https://doi.org/10.3390/systems12080292

