Understanding the Intersection of Central Environmental Protection Inspections and Green Investment Through Game Theory
Abstract
1. Introduction
2. Policy Background and Literature Review
3. Model Assumptions and Evolutionary Game Model Construction
3.1. Model Assumptions
- (1)
- Action Strategy Assumption. The central government chooses to inspect or not inspect the local government’s enforcement of environmental regulations, with strategy sets being (Inspection, Non-Inspection). Local governments are responsible for the behavior of polluting enterprises, with strategy sets being (Regulation, Non-Regulation). Polluting enterprises, under the pressure of central environmental inspections, need to meet pollution emission standards and must make green investments, with strategy sets being (Preventive Green Investment, Remedial Green Investment). In the initial stage, the probability of the central government choosing inspection is x, the probability of the local government choosing supervision is , and the probability of polluting enterprises choosing preventive green investment is . Therefore, their probabilities of choosing not to inspect, not to supervise, and remedial green investment are , , and , respectively; x, y, , all are functions of time . It is assumed that under the normalization of environmental inspections, enterprises cannot choose not to engage in green investments; otherwise, they will face significant penalties.
- (2)
- Rationality Assumption of the Main Body. By calculating the costs and benefits of action strategies and combining them with responses to target deviations through adaptation, imitation, or learning, local governments and polluting enterprises exhibit characteristics of bounded rationality in game theory.
- (3)
- Game Payoff Hypothesis. The payoff matrix of the central government, local government, and polluting enterprises in the air pollution control game is composed of their net benefits (benefit–cost).
3.2. Evolutionary Game Construction
4. Stability Analysis of Evolutionary Game Theory
5. System Simulation
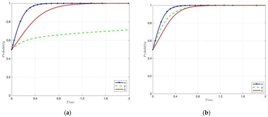
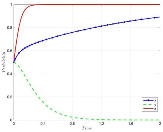
5.1. Benchmark Simulation
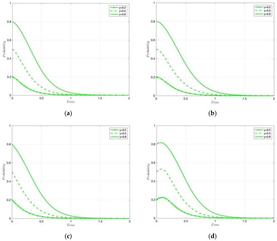
5.2. The Impact of Changes in Strategy Probability
- (1)
- Probability changes in local government and corporate strategies.
- (2)
- Probability changes in central government and corporate strategies.
- (3)
- Probability changes of central and local governments.
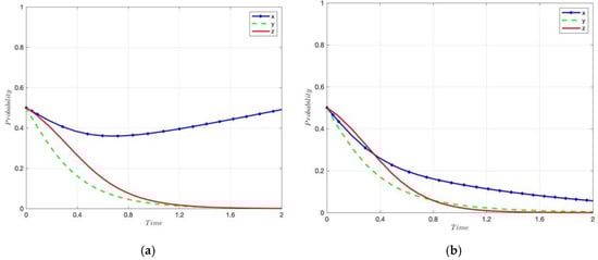
5.3. Impact of Changes in Policy Tools
- (1)
- The severity of penalties imposed on local governments.
- (2)
- Enterprise green investment risk.
- (3)
- Central government inspection costs.
6. Conclusions and Policy Implications
- (1)
- Combine rewards and punishments and develop effective environmental policy tools. Strengthen penalties for local government supervision failures to enhance the effectiveness of central environmental inspections. Refine multi-measure inspection procedures. Design support mechanisms for central inspections to alleviate local economic pressures from air pollution control, such as establishing an environmental investment and financing system, providing talent training and technological transformation support, and offering financial and tax incentives to emission reduction enterprises. Incorporate air pollution control assessments into local government performance evaluations, clarify their significance in local official evaluations, increase the weight of these assessments, refine their content, and specify rewards and punishments.
- (2)
- Provide green investment subsidies. Consider the green knowledge and maturity of enterprises during supervision. Increase innovation subsidies for small enterprises with low green technology reserves, including direct financial support, tax incentives, and low-interest loans for preventive green investments, to enhance enterprise understanding, green technology development, and management, and to reduce investment risks.
- (3)
- Cut inspection costs and promote inspection system normalization. Strengthen accountability mechanisms in central environmental inspections, mobilize local government enthusiasm, enhance grassroots environmental awareness, and reduce costs. Achieve institutionalized regular operations, refine procedures, implement categorized and differential management, and avoid responsibility mismatches and “environmental accountability” and “one-size-fits-all” issues. Promote the inspection of legal construction, incorporate the accountability mechanism into the legal framework, and establish a comprehensive long-term environmental protection inspection and rectification mechanism.
Author Contributions
Funding
Data Availability Statement
Conflicts of Interest
References
- Wan, P.; He, F.; Chen, S. The Impact of Digital Trade on Regional Carbon Emissions: Evidence from China. Pol. J. Environ. Stud. 2024, 33, 3869–3885. [Google Scholar] [CrossRef]
- Xiao, D. Evaluating and prioritizing strategies to reduce carbon emissions in the circular economy for environmental sustainability. J. Environ. Manag. 2025, 373, 123446. [Google Scholar] [CrossRef] [PubMed]
- Jin, X.; Lei, X.; Wu, W. Can digital investment improve corporate environmental performance?—Empirical evidence from China. J. Clean. Prod. 2023, 414, 137669. [Google Scholar] [CrossRef]
- Li, Y.; Li, J.; Wang, Z. Improving enterprise environmental performance under central environmental protection inspection: An empirical study based on listed industrial enterprises. J. Clean. Prod. 2024, 459, 142536. [Google Scholar] [CrossRef]
- Hart, S.L.; Ahuja, G. Does it pay to be green? An empirical examination of the relationship between emission reduction and firm performance. Bus. Strategy Environ. 1996, 5, 30–37. [Google Scholar] [CrossRef]
- Voica, M.C.; Panait, M.; Radulescu, I. Green Investments—Between Necessity, Fiscal Constraints and Profit. Procedia Econ. Financ. 2015, 22, 72–79. [Google Scholar] [CrossRef]
- Cui, X.; Said, R.M.; Rahim, N.A.; Ni, M. Can green finance Lead to green investment? Evidence from heavily polluting industries. Int. Rev. Financ. Anal. 2024, 95, 103445. [Google Scholar] [CrossRef]
- Li, X.; Tian, Q. Public Perception of Climate Risk, Environmental Image, and Corporate Green Investment. Ann. Am. Assoc. Geogr. 2024, 114, 1137–1155. [Google Scholar] [CrossRef]
- Lundgren, T.; Zhou, W. Firm performance and the role of environmental management. J. Environ. Manag. 2017, 203, 330–341. [Google Scholar] [CrossRef] [PubMed]
- Su, X. Can Green Investment Win the Favor of Investors in China? Evidence from the Return Performance of Green Investment Stocks. Emerg. Mark. Financ. Trade 2021, 57, 3120–3138. [Google Scholar] [CrossRef]
- de Mariz, F.; Savoia, J. Financial Innovation with a Social Purpose: The Growth of Social Impact Bonds. In Research Handbook of Investing in the Triple Bottom Line; Edward Elgar Publishing: Cheltenham, UK, 2018. [Google Scholar]
- Chen, H.; Deng, J.; Lu, M.; Zhang, P.; Zhang, Q. Government environmental attention, credit supply and firms’ green investment. Energy Econ. 2024, 134, 107547. [Google Scholar] [CrossRef]
- Li, X.; Wang, R.; Shen, Z.; Song, M. Government environmental signals, government–Enterprise collusion and corporate pollution transfer. Energy Econ. 2024, 139, 107935. [Google Scholar] [CrossRef]
- Nash, J.F. The bargaining problem. Econometrica 1950, 18, 155–162. [Google Scholar] [CrossRef]
- Von Neumann, J.; Morgenstern, O. Theory of Games and Economic Behavior, 2nd rev. ed.; Princeton University Press: Princeton, NJ, USA, 1947. [Google Scholar]
- Zeng, M.; Zheng, L.; Huang, Z.; Cheng, X.; Zeng, H. Does vertical supervision promote regional green transformation? Evidence from Central Environmental Protection Inspection. J. Environ. Manag. 2023, 326, 116681. [Google Scholar] [CrossRef]
- Sun, X.; Wang, W.; Pang, J.; Liu, X.; Zhang, M. Study on the evolutionary game of central government and local governments under central environmental supervision system. J. Clean. Prod. 2021, 296, 126574. [Google Scholar] [CrossRef]
- Yuan, C.H.; Yang, Y. Central Environmental Inspection: Self adjustment of Pressure based Environmental Governance Model—A Case Study Based on Content Analysis Method. Gov. Stud. 2020, 36, 57–68. [Google Scholar]
- Zhuang, Y.; Hu, R.; You, Y. Environmental Inspection and the Organizational Adaptation and Expansion of Local Environmental Bureau: Evidence from S County, H Province. J. Public Adm. 2019, 2, 1–19. [Google Scholar]
- Wang, H.; Fan, C.; Chen, S. The impact of campaign-style enforcement on corporate environmental Action: Evidence from China’s central environmental protection inspection. J. Clean. Prod. 2021, 290, 125881. [Google Scholar] [CrossRef]
- Li, Y.; Hu, S.; Zhang, S.; Xue, R. The Power of the Imperial Envoy: The Impact of Central Government Onsite Environmental Supervision Policy on Corporate Green Innovation. Financ. Res. Lett. 2023, 52, 103580. [Google Scholar] [CrossRef]
- Zhong, T.; Xu, C.; Liu, H.; Li, J. Can the National Specially Monitored Firms program improve corporate environmental performance?—Empirical evidence from China. Front. Environ. Sci. 2023, 10, 1070143. [Google Scholar] [CrossRef]
- Liu, X.; Zhong, S.; Li, S.; Yang, M. Evaluating the impact of central environmental protection inspection on air pollution: An empirical research in China. Process Saf. Environ. Prot. 2022, 160, 563–572. [Google Scholar] [CrossRef]
- Kou, P.; Han, Y.; Qi, X.Y. The operational mechanism and effectiveness of China’s central environmental protection inspection: Evidence from air pollution. Socio-Econ. Plan. Sci. 2022, 81, 101215. [Google Scholar] [CrossRef]
- Dzwigol, H.; Kwilinski, A.; Lyulyov, O.; Pimonenko, T. The Role of Environmental Regulations, Renewable Energy, and Energy Efficiency in Finding the Path to Green Economic Growth. Energies 2023, 16, 3090. [Google Scholar] [CrossRef]
- Khaddage-Soboh, N.; Safi, A.; Faisal Rasheed, M.; Hasnaoui, A. Examining the role of natural resource rent, environmental regulations, and environmental taxes in sustainable development: Evidence from G-7 economies. Resour. Pol. 2023, 86, 104071. [Google Scholar] [CrossRef]
- Ahmad, M.; Ahmed, Z.; Riaz, M.; Yang, X. Modeling the linkage between climate-tech, energy transition, and CO2 emissions: Do environmental regulations matter? Gondwana Res. 2024, 127, 131–143. [Google Scholar] [CrossRef]
- Zhu, Y.M.; Niu, L.X.; Zhao, Z.Y.; Li, J. The Tripartite Evolution Game of Environmental Governance under the Intervention of Central Government. Sustainability 2022, 14, 6034. [Google Scholar] [CrossRef]
- Xia, Y.; Zhang, D.; Zhao, Q. Environmental Demands and Government Responsiveness during Provincial Environmental Inspection: Evidence from Province A. Comp. Econ. Soc. Syst. 2021, 1, 69–79+105. [Google Scholar]
- Zhou, X.X.; Jia, M.Y.; Zhao, X. An Empirical Study and Evolutionary Game Analysis of Green Finance Promoting Enterprise Green Technology Innovation. China Ind. Econ. 2023, 6, 43–61. [Google Scholar] [CrossRef]
- Lu, J.; Yan, Y.; Wang, T.X. The Microeconomic Effects of Green Credit Policy—From the Perspective of Technological Innovation and Resource Reallocation. China Ind. Econ. 2021, 1, 174–192. [Google Scholar] [CrossRef]
- Jin, H.; Yu, L.H.; Xu, Y.B. Green industrial policy and green technology innovation in the manufacturing industry. China Popul. Resour. Environ. 2022, 32, 136–146. [Google Scholar]








| Parameters | Explanations |
|---|---|
| Returns on preventive green investments by polluting firms | |
| Returns on curative green investments by polluting firms | |
| Expenditure on preventive green investments by polluting firms | |
| Expenditure on curative green investments by polluting firms | |
| Penalties for local governments by the central government for excessive pollution by enterprises | |
| Penalties for polluting enterprises by the central government for excessive pollution | |
| Penalties for polluting enterprises by local governments for excessive pollution | |
| Costs of central government environmental inspections | |
| Costs of local government regulation | |
| Central government’s tax rate on enterprises | |
| Central government’s tax revenue sharing with local governments | |
| 1 | Probability of central government detecting excessive pollution by enterprises when local governments regulate |
| Probability of central government detecting excessive pollution by enterprises when local governments do not regulate | |
| Sharing ratio of information rents between local governments and enterprises | |
| Risk ratio of enterprises undertaking preventive investments |
| Polluting Enterprises | Central Government Inspection (x) | The Central Government Does Not Supervise (1 − x) | ||
|---|---|---|---|---|
| Local Government | Local Government | |||
| Supervise (y) | Not Regulated (1 − y) | Supervise (y) | Not Regulated (1 − y) | |
| Preventive green investment () | ||||
| Governance-oriented green investment () | ||||
| Equilibrium Point | Eigenvalue | ||
|---|---|---|---|
| Parameters | Value | Selection Principle |
|---|---|---|
| 10 | According to the CSMAR database, the ratio of preventive green investments to remedial green investments is about 2:5. | |
| 4 | ||
| 10 | In the equilibrium state, the income of polluting enterprises is equal to the expenditure. Therefore, , . | |
| 4 | ||
| 10 | According to the website of China’s Ministry of Environmental Protection, the ratio of penalties imposed by environmental inspectors on local governments to those imposed on polluters is about 5:4. After being interviewed, local governments will increase penalties on companies. | |
| 8 | ||
| 12 | ||
| 1 | According to China’s Bureau of Statistics, the cost of environmental supervision for the central government is no less than CNY 303 million, and the cost of supervision for local governments is about three times that. | |
| 3 | ||
| 0.2 | This assumes a basic corporate tax rate of 20 per cent. | |
| 1 | 0.8 | There are accidental factors that make it impossible for local governments to identify the pollution behavior of enterprises. |
| 0.5 | ||
| 0.2 | This supposes the tax share for local governments is 0.2. | |
| 0.2 | This supposes that the probability of failure of the enterprise’s investment is 0.2. |
| Equilibrium | ||||||||
|---|---|---|---|---|---|---|---|---|
| + | + | + | - | + | - | - | - | |
| + | - | - | + | + | - | - | + | |
| + | - | + | + | - | - | + | - | |
| Result | Instability point | Saddle point | Saddle point | Saddle point | Saddle point | Stable point | Saddle point | Saddle point |
Disclaimer/Publisher’s Note: The statements, opinions and data contained in all publications are solely those of the individual author(s) and contributor(s) and not of MDPI and/or the editor(s). MDPI and/or the editor(s) disclaim responsibility for any injury to people or property resulting from any ideas, methods, instructions or products referred to in the content. |
© 2024 by the authors. Licensee MDPI, Basel, Switzerland. This article is an open access article distributed under the terms and conditions of the Creative Commons Attribution (CC BY) license (https://creativecommons.org/licenses/by/4.0/).
Share and Cite
Zhao, T.; Wan, P.; He, F.; Zhang, H.; Hou, X. Understanding the Intersection of Central Environmental Protection Inspections and Green Investment Through Game Theory. Systems 2024, 12, 585. https://doi.org/10.3390/systems12120585
Zhao T, Wan P, He F, Zhang H, Hou X. Understanding the Intersection of Central Environmental Protection Inspections and Green Investment Through Game Theory. Systems. 2024; 12(12):585. https://doi.org/10.3390/systems12120585
Chicago/Turabian StyleZhao, Tingru, Paijie Wan, Feng He, Hongjie Zhang, and Xiaoqing Hou. 2024. "Understanding the Intersection of Central Environmental Protection Inspections and Green Investment Through Game Theory" Systems 12, no. 12: 585. https://doi.org/10.3390/systems12120585
APA StyleZhao, T., Wan, P., He, F., Zhang, H., & Hou, X. (2024). Understanding the Intersection of Central Environmental Protection Inspections and Green Investment Through Game Theory. Systems, 12(12), 585. https://doi.org/10.3390/systems12120585

