Next Article in Journal
Competitive Integration of Social Tourism Enterprises Through an Organizational Management System: The Case of El Jorullo in Puerto Vallarta, Jalisco
Previous Article in Journal
Modeling a Green and Reliable Intermodal Routing Problem for Food Grain Transportation Under Carbon Tax and Trading Regulations and Multi-Source Uncertainty
 
 
Font Type:
Arial Georgia Verdana
Font Size:
Aa Aa Aa
Line Spacing:
Column Width:
Background:
Article

Parking Pricing in the Morning Commute Problem Considering Human Exposure to Vehicular Emissions

1
School of Modern Posts, Chongqing University of Posts and Telecommunications, Chongqing 400065, China
2
School of Transportation and Logistics, Southwest Jiaotong University, Chengdu 610031, China
3
Merced County Association of Governments, Merced, CA 95340, USA
4
National Engineering Laboratory of Integrated Transportation Big Data Application Technology, Chengdu 610031, China
*
Author to whom correspondence should be addressed.
Systems 2024, 12(12), 548; https://doi.org/10.3390/systems12120548
Submission received: 23 October 2024 / Revised: 26 November 2024 / Accepted: 5 December 2024 / Published: 9 December 2024

Abstract

Walking is the final phase of the morning commute, during which commuters are exposed to vehicular emissions. This study proposes a novel analytical model to evaluate how emission exposure affects commuters’ departure time choices and parking behavior. Different from traditional bottleneck models, our model includes a nonlinear term in the generalized cost function to account for emission exposure. The findings reveal that, at user equilibrium, rational commuters seeking to minimize their own generalized costs will park outward, resulting in undesired scenarios in which all walking commuters suffer from emission exposure. However, we show that in a system-optimal scenario, emission exposure can be eliminated if commuters park inward; the schedule delay cost is minimized in such a parking order. To achieve this outcome, we propose a new spatiotemporal parking pricing scheme designed to reduce the overall system cost and incentivize inward parking patterns. Case studies using empirical data show that this pricing approach, independent of specific parking orders, effectively encourages inward parking, thereby minimizing emissions and improving commuter welfare. Hopefully, findings from this research can provide insights to the development of effective roadside parking pricing strategies.

1. Introduction

The rapid growth in motor vehicle ownership has exacerbated traffic congestion, consequently resulting in a rise in mobile source emissions. Traffic-related emissions are the main source of air pollution in urban areas, which encompass ultrafine particulates (UFP), black carbon (BC), nitrogen oxides (NOX), carbon monoxide (CO), hydrocarbons (HC), volatile organic compounds (VOCs), and particulate matter (PM) [1]. Numerous studies have shown that both long- and short-term exposure to traffic-related air pollution can cause adverse health problems, such as headaches and respiratory and cardiovascular diseases [2,3,4]. According to the World Health Organization (WHO), 99% of the global population lived in areas that did not meet air quality guidelines, leading to 4.2 million premature deaths attributable to air pollution, in 2019 [5].
In urban areas, the highest concentrations of traffic-related pollutants accumulate near or on roads, especially during the morning peaks [6,7]. Commuting in this environment leads to commuters being exposed to concentrations of traffic-related air pollutants that are 3–10 times higher than the background level [7,8]. Distinctions were observed in the exposures experienced by commuters across different transportation modes. Karageorgou et al. [9] examined commuter exposure to air pollution in relation to three different commuting modes: bicycle, bus, and car. They found that the order of commuter exposure concentration is cyclists > bus passengers > car passengers. Moreno et al. [10] compared the air pollutant exposure of commuters through the city of Barcelona among the modes of bus, subway train, tram, and walking. Among these modes, those walking in the city center may face the highest concentration of air pollution. Similar findings have been reported in Tan et al. [11].
Dedicated to reducing traffic emissions and mitigating related public health risks, local governments worldwide have implemented diverse measures [12,13]. Among these transportation-related measures, the most commonly implemented in major cities globally are vehicle driving restrictions such as license plate rationing and access controls, and the promotion of public transport including fare reductions and service improvements [14,15]. However, some studies show that these polices have little, sometimes even adverse, effects on pollution mitigation [14]. For example, during orange-level alerts, over 3.23% of car users switched to mass transit, resulting in a 19% to 39% increase in exposure to PM2.5 [1]. In many metropolitan areas, private vehicles are still the most popular transport mode to the workplace among commuters [16,17]. In fact, most commuters who drive to work need to walk to their workplace after parking. In the process of walking, they directly face the risk of exposure to air pollution, which is harmful to their health. For example, coronavirus disease 2019 (COVID-19) is more likely to lead to severe symptoms for patients with preconditions in their respiratory system, etc. However, few studies are concerned with the emission exposure of commuters walking from parking locations to the workplace.
In the field of transportation, the classical bottleneck model was proposed by Vickery to address the commute problem [18]. He showed that travelers choose a departure time to attempt to minimize their individual costs and that there exists an equilibrium departure time pattern in which all commuters have the same travel cost whenever they start the trip. Arnott et al. first studied how road tolls and parking pricing affect the morning commute equilibrium patterns and found that road tolls can alleviate traffic congestion but cannot change the parking order. An optimal location-based parking fee can change the parking order to narrow the arrival-time window for the destination [19]. Moreover, Zhang et al. derived morning and evening commute patterns by developing a time-varying road toll and location-dependent parking fee regime [20]. Most recently, as people have become increasingly concerned with the negative impacts of vehicular emissions on human health and the environment, some researchers have integrated emission pricing into bottleneck models to reduce vehicular emissions and travel costs. For example, Liu et al. designed a variable speed limit system to reduce the travel cost and vehicular emissions based on Vickery’s bottleneck model and the constant emissions factor assumption [21]. Bulteau et al. developed a microeconomic model of an urban toll system by adding several extensions to the bottleneck model to internalize the negative external effects (congestion and emission) of using cars [22].
However, road and emission tolls are scarcely accepted by the public due to inequality, political hostility, and expensive implementation costs. Therefore, quite a few researchers have made a great deal of effort to develop alternative, practically feasible, and easily accepted management policies to achieve the social optimum. An example of such a method is “charging for parking”. Good parking policy has many positive implications for sustainable transportation [23]. For example, Fosgerau et al. [24] designed a time-varying charging-for-parking scheme that could eliminate queueing at the bottleneck and achieve the social optimum. They also investigated the benefit of charging for parking as a substitute for congestion pricing. Qian et al. [25] developed a dynamic parking pricing system to maximize the benefits of parking management and suggested that the convenient parking spots should be reserved for peak traffic by charging a higher parking fee before the peak hours. Ma et al. [26] proposed a dynamic parking pricing scheme for a bottleneck corridor with a dynamic ridesharing mode and derived that dynamic parking fees and ridesharing payments can eliminate the queue at the bottleneck. The aforementioned parking pricing systems are solely dependent on the departure/arrival time, while independent location-related parking charges are not directly considered. In fact, in these studies, parking locations, if considered, were tightly related to and implicitly a function of the departure/arrival time in those scenarios.
Walking time to the workplace after parking, as part of a traveler’s generalized cost, is often overlooked in bottleneck studies, since the total walking time is constant for a given parking distance and travel demand. However, commuters will suffer serious emission exposure while walking, and the risk of commuter exposure to vehicular emissions is increased with increasing walking time. Reviewing the development of the bottleneck model over the past 50 years [27], to date, there has been little related research considering the risk of commuter exposure to vehicular emissions during walking to the workplace after parking based on the bottleneck model.
In previous studies, models for assessing traffic emissions were frequently formulated as linear models within the context of the bottleneck model. This approach assumed that traffic emissions could be derived by multiplying emission factors by traffic flow, with the emission factors typically treated as constant parameters [28,29]. However, evaluating commuter exposure is more complex, as it typically involves considering multiple factors, including meteorological conditions, travel duration, and pollutant concentration [30,31]. Given that travel duration and pollutant concentration are functions of traffic flow, the model used to quantify traffic emission exposure should be nonlinear [32]. Therefore, based on the work of Coria et al. [33], who established a nonlinear model to describe the environmental damage within the bottleneck framework, this paper develops a nonlinear model to capture commuter exposure to vehicular emissions. This new model is then integrated into the commuters’ generalized cost of the bottleneck model. Our analysis reveals that, at user equilibrium, rational commuters seeking to minimize their own generalized costs will park outward, resulting in undesired scenarios in which all walking commuters suffer from emission exposure. However, we show that in a system-optimal scenario, emission exposure can be eliminated if commuters park inward; the schedule-delay cost is minimized in such a parking order. To achieve this outcome, we propose a new spatiotemporal parking pricing scheme designed to reduce the overall system cost and incentivize inward parking patterns. Compared to existing studies, the contributions of this paper include the following:
(I)
Investigating the impacts of commuters’ emission exposure on departure time choice and parking behavior;
(II)
Designing a spatiotemporal parking pricing scheme to eliminate the queue at the bottleneck and guide commuters to change their parking behavior to reduce emission exposure.
Case studies using empirical data show that the proposed parking pricing approach, independent of specific parking orders, effectively encourages inward parking, thereby minimizing emissions and improving commuter welfare. Albeit highly theoretical, findings from this research can hopefully provide insights for the development of effective roadside parking pricing strategies in real applications.
The rest of this paper is organized as follows. Section 2 introduces a morning commute problem considering commuter exposure to vehicular emissions on a single bottleneck, derives the equilibrium with a new generalized cost structure, and analyzes the SO strategy with a spatiotemporal parking fee. Section 3 presents the numerical results. Section 4 concludes the paper with a discussion and directions for future research.

2. Methodology

In this paper, we consider a morning commute corridor with a single bottleneck between a residential area and a city center, as shown in Figure 1.
The capacity of the bottleneck is s (in veh/h). Consistent with the assumption in Arnott et al. [19], which posits that commuters must rely on either on-street or off-street parking in the absence of employer-provided parking, we assume the existence of a parking area extending X kilometers from the city center towards the bottleneck. The parking density in this area is denoted by k parking spots per kilometer.
The basic assumption of most studies [21,24] on the morning commute problem is as follows: a commuter first departs from his/her home at time t s , arrives at the bottleneck at a free-flow speed, and then experiences queueing at the bottleneck since the limited capacity of the bottleneck is lower than that of the commuter’s departure rate from home. Passing through the bottleneck, she/he drives at a free-flow speed to park. Then, she/he walks to the workplace.
We also follow the assumption in Arnott et al. [19] that the free-flow travel time, consisting of travel time to the bottleneck from home and travel time to the parking spot, is set to 0, which leads to commuters reaching the end of the queue at the bottleneck as soon as they leave home and reaching the parking location immediately after experiencing the queueing delay and leaving the bottleneck. Furthermore, a commuter departs from home at time t s and reaches the parking location (or leaves the bottleneck) at time t. In addition, a commuter leaving the bottleneck at time t experiences a travel time, i.e., Q ( t ) / s , where Q ( t ) is the length of the queue experienced by a commuter leaving the queue at time t. Then, we can derive that t = t s + Q ( t ) / s .

2.1. Notations

The following notations are adopted to formulate the proposed problem:
N Number of commuters
XThe length of parking area
k Parking density
s The capacity of the bottleneck
t s The time departs from home
t The time arrival at parking lot
t 0 The time when the first commuter leaves the bottleneck
t 1 The traversal time when the commuter can arrive at the destination on time
t d The time when the last commuter leaves the bottleneck
t * The desired time arrival at office
v w Average walking speed of commuters
Q ( t ) The length of the queue experienced by a commuter leaving the queue at time t
D ( t ) The number of parked vehicles at time t
E t Experienced emission exposure while walking of commuters at time t
T w ( t ) Walking time from parking location to the city center of commuters at time t
C t The generalized travel cost of a commuter at time t
α The value of equivalent monetary cost per unit of travel time
β The penalties for a unit time of early arrival at the destination
γ The penalties for a unit time of late arrival at the destination
λ The value of equivalent monetary cost per unit of walking time
μ The value of equivalent monetary cost per unit of vehicular emission exposure
TCTotal user cost
TSTotal schedule delay
TWTotal walking cost
THTotal health cost
TQTotal queueing delay cost
p x , t The spatiotemporal parking fee

2.2. Generalized Travel Cost Considering Exposure to Vehicular Emissions

Assuming there are N identical commuters traveling from home to the city center every morning by driving cars, and their desired arrival time at the office is t * , they first park in parking lots and then walk to the city center with walking speed v w (in km/h). While walking, commuters may be exposed to vehicular emissions that are harmful to their health. Consequently, the health impairments experienced by commuters should be considered as a direct travel cost integrated into the generalized travel cost.
Coria et al. [33] introduced a nonlinear model to characterize the environmental impact of traffic emissions, drawing on the bottleneck model:
M f t = ϕ e f ( t ) 1 P ( t )
where t is arrival time at the parking location, f ( t ) is the arrival flow, ϕ is the damage parameter, e is the emission rate per vehicle, and P ( t ) is the rate of pollution dispersion, which is assumed to be exogenous and to vary within the interval [0, 1], i.e., a larger pollution dispersion rate indicates lower environmental damage from traffic emissions.
Therefore, the emission exposure of a commuter can be described by the environmental damage multiplied by the duration, as follows:
E t = t 0 t ϕ e f ( t ) 1 P t d t T w ( t )
where t 0 is the time when the first commuter arrives at parking location and T w ( t ) is the walking time of a commuter from parking location to city center.
To ensure the bottleneck model is solvable, we simplify Equation (2). Firstly, we set the dispersion rate to 0 to represent the worse meteorological condition. Secondly, given that the emission rate and damage parameter remain constant, we may exclude them from the model. Therefore, the vehicular emissions exposure of a commuter can be expressed as follows:
E t = t 0 t f ( t ) d t T w ( t )
The integral t 0 t f ( t ) d t presents the cumulative number of commuters passing through the bottleneck during the time interval from t 0 to t . In our model, this value can be determined as:
D t = s t t 0
Therefore, the vehicular emission exposure of a commuter based on the assumption can be derived as:
E t = D ( t ) T w ( t )
where D ( t ) is the cumulate number of commuters arriving at the parking lot, which is equivalent to the number of parked vehicles. As such, a commuter’s emission exposure can be determined by the number of parked vehicles they pass while walking, multiplied by the walking time. Consequently, the parking order directly influences commuters’ exposure to emissions. There are two types of parking orders: parking outward and parking inward. Parking outward refers to the commuter who leaves the bottleneck and travels to the destination to find an available parking location near there to park. Parking inward refers to the commuter leaving the bottleneck and trying to park once they find an available parking location.
Based on the above setting, the generalized travel cost C t of an individual who leaves the bottleneck at time t can be written as follows:
C t = α Q ( t ) s + m a x β t * t T w ( t ) , γ t + T w ( t ) t * + λ T w ( t ) + μ E ( t )
where Q ( t ) / s is the travel time of a commuter departing the bottleneck at time t. These equivalent monetary costs satisfy γ > α > β , which is consistent with much of the empirical evidence [34,35], and λ > α , which means that walking time savings are more valuable than travel time savings [19,36].

2.3. User Equilibrium Without Parking Fee

Without parking fee, commuters will park outward to minimize their individual cost [19]. Combining the assumption that the capacity of the bottleneck throughout the rush hour is s, we can derive the walking time of a commuter, i.e., T w ( t ) .
T w ( t ) = D ( t ) k v w = s ( t t 0 ) k v w
At user equilibrium, all commuters departing at different times have identical travel costs, i.e., d C t / d t = 0 for t t 0 , t d , where t 0 is the time when the first commuter leaves the bottleneck, and t d is the time when the last commuter leaves. For the departure rate from home, we have f e t s for arriving early and f l t s for arriving late. Among these, t s is the departure time of the commuter from home, which can be obtained by t s = t Q ( t ) / s . With d t s / d t = 1 Q ˙ / s > 0 , and by taking the first-order derivative of Equation (1) with respect to t, we have that
f e t s = α s α β + λ β s k v w + 2 μ s 2 ( t     t 0 ) k v w
f l t s = α s α + γ + γ + λ s k v w + 2 μ s 2 ( t     t 0 ) k v w
A queue is built up when the departure rate exceeds the capacity of the bottleneck (s). For the early arrival part, f e t s > s , which is equivalent to β > λ + 2 μ N s k v w + s . This means that if β is greater than certain criteria, then a queue is built up.
At equilibrium, the generalized costs of the first commuter and last commuter are equal, i.e., β t * t 0 = γ t d + N / k v w t * + λ N / k v w + μ N 2 / k v w . Combined with the timing of the rush hour, i.e., t 0 t d = N / s , then t 0 and t d can be derived as follows:
t 0 = t * γ β + γ N s λ + γ β + γ N k v w μ N 2 ( β + γ ) k v w
t d = t * + β β + γ N s λ + γ β + γ N k v w μ N 2 ( β + γ ) k v w
Moreover, the traversal time at which the commuter can arrive at the destination on time is
t 1 = t * s k v w + s γ β + γ N s + λ + γ β + γ N k v w + μ N 2 ( β + γ ) k v w
Considering the above discussion, the time-dependent equilibrium flow pattern can be obtained, as shown in Figure 2, where t d + N / k v w is the actual arrival time of the last commuter.
At user equilibrium, all commuters have the same generalized travel cost. Therefore, the total user cost (TC) can be derived as:
T C = β t * t 0 N
Substituting Equation (10) into Equation (13), the total user cost (TC) can be expressed as:
T C = β γ β + γ N s + β ( λ + γ ) β + γ N k v w + μ β N 2 ( β + γ ) k v w N
Moreover, the total time early is given by t 0 t * s 1 + s k v w ( t * t ) d t , and the total time late is represented by t * t d + N k v w s 1 + s k v w ( t t * ) d t . Thus, the total schedule delay (TS) cost can be described as follows:
T S = β s 2 ( 1 + s k v w ) γ β + γ N s + λ + γ β + γ N k v w + μ N 2 ( β + γ ) k v w 2 + γ s 2 ( 1 + s k v w ) β β + γ N s + N k v w λ + γ β + γ N k v w μ N 2 ( β + γ ) k v w 2
The number of vehicles passing through the bottleneck per unit time can be expressed as s d t . Therefore, the total walking cost (TW) and total health cost (TH) of commuters can be expressed as:
T W = λ t 0 t d s t t 0 k v w s d t = λ 2 k v w N 2
T H = μ t 0 t d E t s d t = μ t 0 t d s 2 ( t t 0 ) 2 k v w s d t = μ 3 k v w N 3
Furthermore, the total queueing delay cost (TQ) can be expressed as:
T Q = T C T S T W T H
Proposition 1.
At the morning commute equilibrium, we find that
d T C d k < 0 ;   d T S d k < 0 ;   d T W d k < 0 ;   d T H d k < 0 ;   d T Q d k > 0
where TC, TS, TW, and TE are calculated in Equations (14)–(18).
Proof of Proposition 1.
By checking the first-order derivative with respect to k in Equations (14)–(18), the results of Equation (19) can be proven. The above results indicate that a higher density of parking k is beneficial for commuters, as TC decreases as k increases. This is because expanding parking capacity can concentrate commuter travel, which can reduce their schedule delay, walking time and emission exposure. However, it is noteworthy that concentrated travel would exacerbate traffic congestion since d T Q / d k > 0 . Such an observation indicates that a larger density of parking k will cause more concentrated departures and more congestion, and a smaller k illustrates less concentrated parking distribution over space, which can motivate commuters to depart from home earlier. □
Proposition 2.
Equilibrium cannot be obtained when the departure rate is lower than the capacity of the bottleneck, i.e., ( f t < s ).
Proof of Proposition 2.
For f t < s , which implies that commuters cannot suffer from traffic congestion, the departure rate from home and the arrival rate to the parking location are the same, i.e., f t . Therefore, the cumulative number of commuters leaving home or arriving at the destination by time t can be expressed as t 0 o t f ( x ) d x . Then, we can obtain the walking time and emission exposure as Equation (20) and Equation (21), respectively.
T w o t = t 0 o t f ( x ) d x k v w
E o t = t 0 o t f ( x ) d x 2 k v w
In this case, the generalized cost of the commuter leaving the bottleneck at time t can be expressed as:
C o t = m a x β t * t T w o ( t ) , γ t + T w o ( t ) t * + λ T w o ( t ) + μ E o ( t )
Suppose there exists an equilibrium in this case, which means that no commuter can reduce her/his generalized cost by departing at a different time, such conditions can be equivalent to a solution to make d C o ( t ) / d t = 0 .
Substituting Equations (20) and (21) into Equation (22), we further derive the first-order derivative of Equation (22) with respect to t, expressed as follows:
d C o ( t ) d t = { (23a) β β f e o t k v w + λ f e o t k v w + 2 μ f e o t t 0 o t f e o x d x k v w = 0 ,   (23b) γ + γ f l o t k v w + λ f l o t k v w + 2 μ f l o t t 0 o t f l o x d x k v w = 0 ,  
According to Equation (23b), we can derive that the generalized cost for late commuter arrival is increasing, since Equation (23b) is always positive. Combining Equation (22) with Equation (23b), it is not difficult to see that there is no solution for late commuter arrival, which implies that no one is willing to arrive late because it would increase only the schedule delay without offsetting the increase in either walking time or emission exposure. Therefore, all commuters will choose early arrival at the destination.
At equilibrium, all commuters have an identical generalized cost; thus, the cost of the first commuter is equal to that of the last commuter; i.e., β t * t 0 o = β t * t d o N k v w + λ N k v w + μ N 2 k v w . Then, we can obtain:
t 0 o = t d o + N k v w λ β N k v w μ β N 2 k v w
Because there are no other constraints with t 0 o and t d o , many solutions can fit the condition of Equation (24), which does not satisfy the equilibrium condition in which no one can reduce her/his cost by departing at a different time.
The abovementioned results contradict the assumption that equilibrium exists. Therefore, equilibrium cannot be obtained when the departure rate is lower than the capacity of the bottleneck, i.e., ( f t < s ). □

2.4. Social Optimum with a Spatiotemporal Parking Fee

Arnott et al. [19] indicated that a time-varying toll can eliminate queueing, but it cannot change the parking behavior of commuters. However, the schedule delay cost for parking inward is minimized, and the emission exposure can be reduced through this parking order. To let the system achieve SO, the administrator can either take full control of commuters’ departure time and parking sequence (which can hardly be politically or practically accepted) or leverage economic means. In the following, we design a spatiotemporal parking fee to simultaneously induce departure time choice and parking behavior shift, in which the component of the time-varying toll can eliminate queueing, and the component of the location-based toll can guide travelers toward parking inward. The spatiotemporal parking fee, as a linear combination of two components, is shown as Equation (25):
p x , t = a ( X x ) + b ( t t 0 r )
where x is the parking location, t is the time departing the bottleneck, a is the unit cost for parking at the parking location, and b is the unit cost for the time departing the bottleneck. We assume that parking location x is independent of time t departing from the bottleneck.
The walking time to the destination for a commuter parking inward is:
T w r = x v w
The aggregate schedule delay costs are minimized when β t * t 0 r T w r = γ t d r t * , and combining them with t d r t 0 r = N / s , we have that:
t 0 r = t * γ β + γ N s β β + γ X v w
t d r = t * + β β + γ N s β β + γ X v w
t 1 r = t * + s k v w s γ β + γ N s + β β + γ X v w X k k v w s
Based on the previous assumption, it is found that for parking inward, how many vehicles a commuter encounters are determined by the walking speed and the parking wave speed, the latter of which can be obtained from Equation (30):
θ = S k
If the parking wave is faster than the walking speed, i.e., θ > v w , s > k v w , then the walkers suffer from emission exposure all the time. However, according to the condition β > λ + 2 μ N s k v w + s , we can derive that s < k v w , and when combined with Proposition 2, it is not difficult to find that s > k v w cannot achieve equilibrium. Therefore, this situation is not considered in this paper.
In contrast, if the parking wave speed is slower than the walking speed, i.e., θ < v w , then the walkers have no emission exposure. Under this condition, the cost of a trip is:
C r t , x = α Q r ( t ) s + m a x β t * t T w r , γ t + T w r t * + λ T w r + p r ( x , t )
Setting Q r ( t ) = 0 and C f / t = 0 , we can obtain:
b = β   t 0 r < t t 1 r b = γ   t 1 r t < t d r
To guide commuters to park in reverse order, the location-dependent parking fee gradient must satisfy the following:
C r ( t ) x < 0 a > λ β v w C r ( t ) x < 0 a > γ + λ v w
Therefore, a is uncertain, which satisfies the condition a > γ + λ v w .
Combining Equation (32) with Equation (33), the spatiotemporal parking fee can be derived as:
p r x , t = a ( X x ) + β t t 0 r   t 0 r < t t 1 r a ( X x ) + β t 1 r t 0 r γ t t 1 r   t 1 r t < t d r

3. Results

This section presents numerical examples to illustrate the changes in various costs with respect to the parking density k and a comparison between the various costs at user equilibrium and those in the system optimum with the given parameter values. We also analyze how parking fees affect the choices of departure time and parking location of commuters.
Small et al. applied parameters retrieved from resident surveys to the bottleneck problem [34]. Subsequent studies have adopted these parameter settings [20]. To align with the characteristics of morning peak travel, we also adhere to this parameter-setting approach. Specifically, we assume that the morning peak commuting time lasts approximately 2 h and that the work start time is 9:00 a.m. ( t * = 9 ). The other basic parameters refer to the literature [20], as listed in Table 1.
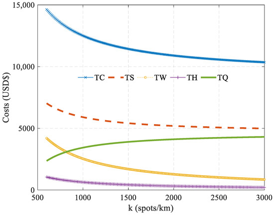
Considering the case where the departure rate of early commuter arrival is higher than the bottleneck capacity (i.e., f e t s > s ), we can derive that the parking density should satisfy the condition k > λ + 2 μ N β s β v w = 573   ( s p o t s / k m ) . Without loss of generality, we set the basic value of the parking density to k = 600   ( s p o t s / k m ), which means that a commuter, on average, can find a parking spot every 1.67 m along the corridor. The results regarding the change in various costs with respect to k are presented in Figure 3.
Figure 3 exhibits the changes in TC, TS, TW, TH, and TQ with respect to varied parking density k. It is obvious that all the costs decrease with increasing k, except the TQ, and the reasons behind this phenomenon are verified in Proposition 1. Among these costs, the TW decreases with the sharpest slope, since the walking distance rapidly decreases with increasing k, while the TH decreases with the smoothest slope, since the emission exposure is decided by walking time and the number of parked which vehicles the commuter walks by. Moreover, the TQ is even smaller than the TW in the case of small parking density (k).

3.1. User Equilibrium Results

Considering the tolerance of commuters in regard to walking time, where Watson et al. [37] presented that few commuters can accept a walking time of more than 30 min while commuting, we thus set k = 1000   ( s p o t s / k m ) as the benchmark parking density. As a result, the parking area, stretching from the city center toward that bottleneck, reaches 2 km, which can be derived from X = N / k .
According to Equations (10)–(12), we can obtain the start time ( t 0 ) and end time ( t d ) of the morning peak and departure time ( t 1 ) of commuters reaching the workplace on time at user equilibrium, which are 6:50 a.m., 8:50 a.m., and 8:38 a.m., respectively. It is found that the start time of the peak is too early for the morning commuter, and the end time is even earlier than the office starting time (9:00 a.m.), which causes a large wastage of time. As a result, the TS cost reaches USD 5920, and the other costs, including the TC, TW, TH, and TQ, at user equilibrium, are listed in Table 2.

3.2. Social Optimum with Parking Pricing

In this paper, we design a spatiotemporal parking pricing scheme that consists of time- and location-dependent parking fees. The two parts of the parking pricing scheme are independent. The time-dependent parking fee can eliminate the queue at the bottleneck and cause the rush hour to start at the optimal time. According to Equations (27)–(29), the start and end times of morning peak and departure time of commuters arriving at the office on time at the social optimum can be derived, which are 7:20 a.m., 9:20 a.m., and 8:55 a.m., respectively. It is not difficult to find that the time distribution at the social optimum over the morning peak is more reasonable than that at user equilibrium, which prevents commuters from departing too early, causing time wastage. The location-dependent parking fee can induce the commuter to shift from parking outward to parking inward. Parking inward can concentrate the arrival time of the commuter to reduce the aggregate schedule delay and eliminate his/her emission exposure.
As mentioned above, commuters will not suffer emission exposure when the parking wave speed is lower than the walking speed, i.e., θ < v w . Based on the given parameter values, the condition that commuters have no emission exposure is satisfied at the social optimum since θ = 1   k m / h is lower than v w = 5   k m / h .
In terms of Equation (33), we set the parameter a as 3.6 (USD/km). Therefore, the parking fee corresponding to the departure time and parking location can be expressed as shown in Figure 4.
Figure 4A exhibits the relationship between parking fee and departure time choice and between parking fee and parking location choice in the view of azimuth = −37.5° and elevation = 30°. It is found that the highest parking fee occurs for commuters who can reach the workplace on time by choosing to park in the city center. Figure 4B shows the characteristics of the parking fee in the vertical view, where we can clearly observe the impacts of departure time choice and parking location choice on the parking fee. It is found that the parking fee increases when parking closer to the city center, whenever the commuters arrive at the parking location. In addition, no matter where commuters choose to park, the parking fee is increased when the departure time is earlier than 8:55 a.m., and decreased after 8:55 a.m.
To better understand the results, we extract two specific examples, which are the red dotted line and black solid line shown in Figure 4A,B. The red dotted line represents the parking fee at different parking locations when the commuter reaches the parking area at 8:55 a.m., which is shown in Figure 4C. The black solid line represents the parking fee at various departure times when the commuter is parking at a location that is 0.404 km from the city center, which is shown in Figure 4D.
In terms of a commuter departing the bottleneck at time t, he/she is willing to choose a convenient parking spot as much as possible where the parking fee is inexpensive, and the walking time is acceptable. Therefore, there is an optimal parking spot for every commuter. The optimal spatiotemporal parking pricing scheme for commuters at the corresponding parking location and departure time choice is shown in Figure 5.
The horizontal axis of Figure 5 shows the effects of the optimal combinations of departure time and parking location on commuters’ parking fees. The dotted and solid lines in Figure 5 represent the time- and location-dependent parking fees, respectively. The solid line with stars is the total parking fee, consisting of the time- and location-dependent parking fees, which embody the characteristics of both parking pricing schemes. It is found that the total parking fee is increased when the departure time is before 8:55 a.m. and then decreased when the departure time is after 8:55 a.m. However, the total parking fee for commuters who arrive later than 8:55 is still higher than that of most commuters who arrive earlier than 8:55 since only parking spots close to the city center are available due to the expensive location-dependent parking fee.
At the social optimum, queueing delay and emission exposure are eliminated, and the schedule delay is reduced by USD 2210 compared with that at user equilibrium. The optimal spatiotemporal parking fee thus yields a cost saving (neglecting collection costs) equal to USD 6270. The revenue obtained from the parking pricing scheme is USD 11,800, which can be redistributed to commuters and the communities, by improving sidewalks and the service level of local roads, for example.

4. Conclusions

This paper developed an analytical model to capture commuter exposure to vehicular emissions and incorporated it into the generalized cost of commuters. Unlike traditional bottleneck model studies, the new generalized cost contains a nonlinear term due to emission exposure. The model analysis shows that, at user equilibrium, commuters will park outward to minimize their individual cost. However, they will suffer from emission exposure all the time in that parking order. In contrast, parking inward eliminates emission exposure, while also minimizing the total system costs (TQ) associated with parking. Therefore, to achieve SO and induce commuter parking inward, we designed a spatiotemporal parking pricing scheme, which consists of time- and location-dependent parking pricing. The two components of the pricing scheme are independent of each other, but we combined them via a linear function to optimize parking behavior and reduce emission exposure.
Given the parameter values, we presented the specific changes in various costs with respect to parking density. Comparing the values of various costs at user equilibrium and those in the system optimum under a reasonable parking density ( k = 1000   ( s p o t s / k m ) ), a cost saving equal to USD 6270 is found. We also explored the relationship between spatiotemporal parking fees and commuters’ departure time choices, as well as the influence of parking fees on parking location. The results show that spatiotemporal parking pricing possesses the characteristics of both time- and location-dependent parking pricing. However, the results are sensitive to the varied combinations of departure time choices and parking locations, suggesting the existence of an optimal pricing combination that achieves system efficiency.
In addition to these key results, the study contributes to the field of urban parking management by highlighting the potential benefits of integrating emission exposure into parking behavior models and demonstrating how pricing strategies can align individual commuter decisions with system-wide optimal outcomes. The proposed models have practical applications in real-world scenarios, such as urban roads with heavy traffic congestion and tunnels and bridges spanning rivers in urban areas. Future research could extend this work by incorporating real-world data to enhance the model’s accuracy and applicability. For example, empirical data on cost variations under different parking densities could provide further insights into the effectiveness of the proposed strategies. Additionally, relaxing some of the model’s assumptions and revising the emission exposure model would improve its realism and broader applicability. For example, in real-world applications, the distribution of parking spots may not be linear, vehicles may take extra time and detours in searching for parking spots, which may largely contribute to emission exposure. The proposed theoretical approach simplifies vehicular emissions as an aggregated pollutant; in real practice, each specific pollutant may be considered separately. Moreover, since the in-cabin emission exposure of commuters is not as significant as the walking exposure, we only consider the exposure cost during walking. However, the actual emission dispersion and calculation of emission exposure may be much more complex in real-world scenarios. Incorporating these aspects would further improve the practical significance of the method, which will also be challenging from the modeling perspective. These directions and possibilities will be pursued in our future work.

Author Contributions

Conceptualization, Z.Y., R.M., Z.S. and Y.T.; methodology, Y.T. and R.M.; software and data curation by Y.T.; formal analysis, Y.T.; writing—original draft preparation, Y.T.; writing—review and editing, Y.T., Z.Y., R.M. and Z.S.; supervision, Z.Y., R.M. and Z.S. All authors have read and agreed to the published version of the manuscript.

Funding

This research was funded by the Doctoral Program of Chongqing Social Science Planning Project (2022BS083), the Humanities and Social Sciences Research Project of Chongqing Municipal Education Commission (23SKGH123), and the Key R&D Program Project of Chengdu Science and Technology Bureau (2023YF0900021SN).

Data Availability Statement

The original contributions presented in the study are included in the article; further inquiries can be directed to the corresponding author.

Conflicts of Interest

The authors declare no conflicts of interest.

References

  1. Han, K.; Liu, Y.; Zhong, W. Modal shift, environmental benefits and population exposure assessment on contingent transport policies. Transp. Res. Part D Transp. Environ. 2024, 133, 104296. [Google Scholar] [CrossRef]
  2. Sabour, S.; Harzand-Jadidi, S.; Jafari-Khounigh, A.; Zarea Gavgani, V.; Sedaghat, Z.; Alavi, N. The association between ambient air pollution and migraine: A systematic review. Environ. Monit. Assess. 2024, 196, 271. [Google Scholar] [CrossRef]
  3. Shi, D.; Liu, Z.; Fu, J.; Yu, H. The impact of drivers’ short-term exposure to air pollution on traffic deaths. Environ. Sci. Pollut. Res. 2022, 29, 61323–61333. [Google Scholar] [CrossRef]
  4. Moradi, M.; Mokhtari, A.; Mohammadi, M.J.; Hadei, M.; Vosoughi, M. Estimation of long-term and short-term health effects attributed to PM2.5 standard pollutants in the air of Ardabil (using Air Q+ model). Environ. Sci. Pollut. Res. 2022, 29, 21508–21516. [Google Scholar] [CrossRef] [PubMed]
  5. Word Health Organization. Available online: https://www.who.int/news-room/fact-sheets/detail/ambient-(outdoor)-air-quality-and-health (accessed on 12 November 2024).
  6. Moreno, T.; Querol, X.; Alastuey, A.; Viana, M.; Gibbons, W. Profiling transient daytime peaks in urban air pollutants: City centre traffic hotspot versus urban background concentrations. J. Environ. Monitor. 2009, 11, 1535–1542. [Google Scholar] [CrossRef] [PubMed]
  7. Kumar, P.; Rivas, I.; Singh, A.P.; Ganesh, V.J.; Ananya, M.; Frey, H.C. Dynamics of coarse and fine particle exposure in transport microenvironments. NPJ Clim. Atmos. Sci. 2018, 1, 11. [Google Scholar] [CrossRef]
  8. Betancourt, R.M.; Galvis, B.; Balachandran, S.; Ramos-Bonilla, J.P.; Sarmiento, O.L.; Gallo-Murcia, S.M.; Contreras, Y. Exposure to fine particulate, black carbon, and particle number concentration in transportation microenvironments. Atmos. Environ. 2017, 157, 135–145. [Google Scholar] [CrossRef]
  9. Karageorgou, K.; Manoli, E.; Kouras, A.; Samara, C. Commuter exposure to particle-bound Polycyclic Aromatic Hydrocarbons in Thessaloniki, Greece. Environ. Sci. Pollut. Res. 2021, 28, 59119–59130. [Google Scholar] [CrossRef]
  10. Moreno, T.; Reche, C.; Rivas, I.; Minguillón, M.C.; Martins, V.; Vargas, C.; Buonanno, G.; Parga, J.; Pandolfi, M.; Brines, M.; et al. Urban air quality comparison for bus, tram, subway and pedestrian commutes in Barcelona. Environ. Res. 2015, 142, 495–510. [Google Scholar] [CrossRef]
  11. Tan, S.H.; Roth, M.; Velasco, E. Particle exposure and inhaled dose during commuting in Singapore. Atmos. Environ. 2017, 170, 245–258. [Google Scholar] [CrossRef]
  12. Wang, Y.; Wu, Y.; Li, Z.; Liao, K.; Li, C.; Song, G. Route planning for active travel considering air pollution exposure. Transp. Res. Part D Transp. Environ. 2022, 103, 103176. [Google Scholar] [CrossRef]
  13. Liu, Y.; Han, K.; Yang, Z. Impact of traffic policy on travel population exposure during heavy pollution episodes: A Chengdu case study. Urban Clim. 2024, 55, 101886. [Google Scholar] [CrossRef]
  14. Guerra, E.; Reyes, A. Examining behavioral responses to Mexico City’s driving restriction: A mixed methods approach. Transp. Res. Part D Transp. Environ. 2022, 104, 103191. [Google Scholar] [CrossRef]
  15. Ma, Z.; Koutsopoulos, H.N.; Liu, T.; Basu, A.A. Behavioral response to promotion-based public transport demand management: Longitudinal analysis and implications for optimal promotion design. Transp. Res. Part A Policy Pract. 2020, 141, 356–372. [Google Scholar] [CrossRef]
  16. McKenzie, B. Who Drives to Work? Commuting by Automobile in the United States: 2013; US Department of Commerce, Economics and Statistics Administration: Washington, DC, USA; US Census Bureau: Suitland, MD, USA, 2015. [Google Scholar]
  17. Ham, W.; Vijayan, A.; Schulte, N.; Herner, J.D. Commuter exposure to PM2.5, BC, and UFP in six common transport microenvironments in Sacramento, California. Atmos. Environ. 2017, 167, 335–345. [Google Scholar] [CrossRef]
  18. Vickrey, W.S. Congestion theory and transport investment. Am. Econ. Rev. 1969, 59, 251–260. [Google Scholar]
  19. Arnott, R.; De Palma, A.; Lindsey, R. A temporal and spatial equilibrium analysis of commuter parking. J. Public Econ. 1991, 45, 301–335. [Google Scholar] [CrossRef]
  20. Zhang, X.; Huang, H.J.; Zhang, H.M. Integrated daily commuting patterns and optimal road tolls and parking fees in a linear city. Transp. Res. Part B Methodol. 2008, 42, 38–56. [Google Scholar] [CrossRef]
  21. Liu, W.; Yin, Y.; Yang, H. Effectiveness of variable speed limits considering commuters’ long-term response. Transp. Res. Part B Methodol. 2015, 81, 498–519. [Google Scholar] [CrossRef]
  22. Bulteau, J. Revisiting the bottleneck congestion model by considering environmental costs and a modal policy. Int. J. Sustain. Transp. 2016, 10, 180–192. [Google Scholar] [CrossRef]
  23. Simićević, J.; Vukanović, S.; Milosavljević, N. The effect of parking charges and time limit to car usage and parking behaviour. Transp. Policy 2013, 30, 125–131. [Google Scholar]
  24. Fosgerau, M.; De Palma, A. The dynamics of urban traffic congestion and the price of parking. J. Public Econ. 2013, 105, 106–115. [Google Scholar]
  25. Qian, Z.; Rajagopal, R. Optimal dynamic pricing for morning commute parking. Transportmetrica A 2015, 11, 291–316. [Google Scholar] [CrossRef]
  26. Ma, R.; Zhang, H.M. The morning commute problem with ridesharing and dynamic parking charges. Transp. Res. Part B Methodol. 2017, 106, 345–374. [Google Scholar]
  27. Li, Z.C.; Huang, H.J.; Yang, H. Fifty years of the bottleneck model: A bibliometric review and future research directions. Transp. Res. Part B Methodol. 2020, 139, 311–342. [Google Scholar] [CrossRef]
  28. Tang, T.Q.; Wang, T.; Chen, L.; Huang, H.J. Analysis of the equilibrium trip cost accounting for the fuel cost in a single-lane traffic system without late arrival. Physica A 2018, 490, 451–457. [Google Scholar] [CrossRef]
  29. Long, J.; Szeto, W.Y. Congestion and environmental toll schemes for the morning commute with heterogeneous users and parallel routes. Transp. Res. Part B Methodol. 2019, 129, 305–333. [Google Scholar]
  30. Sun, Z.; Tan, Y.; Ma, R.; Yang, X.; Zhang, J. Multiple equilibrium behaviors considering human exposure to vehicular emissions. J. Adv. Transp. 2018, 2018, 9365120. [Google Scholar] [CrossRef]
  31. Tan, Y.; Ma, R.; Sun, Z.; Zhang, P. Emission exposure optimum for a single-destination dynamic traffic network. Transp. Res. Part D Transp. Environ. 2021, 94, 102817. [Google Scholar]
  32. Tan, Y.; Sun, Z.; Zhu, B.; Qin, Z.; Zhao, Y.; Wang, X. Minimize population exposure to vehicle-generated emissions by road pricing. Trans. Policy 2024, 148, 15–30. [Google Scholar]
  33. Coria, J.; Zhang, X.B. Optimal environmental road pricing and daily commuting patterns. Transp. Res. Part B Methodol. 2017, 105, 297–314. [Google Scholar] [CrossRef]
  34. Small, K.A. The scheduling of consumer activities: Work trips. Am. Econ. Rev. 1982, 72, 467–479. [Google Scholar]
  35. Liu, W. An equilibrium analysis of commuter parking in the era of autonomous vehicles. Transp. Res. Part C Emerg. Technol. 2018, 92, 191–207. [Google Scholar] [CrossRef]
  36. Inci, E. A review of the economics of parking. Econ. Transp. 2015, 4, 50–63. [Google Scholar] [CrossRef]
  37. Watson, K.B.; Carlson, S.A.; Humbert-Rico, T.; Carroll, D.D.; Fulton, J.E. Walking for transportation: What do US adults think is a reasonable distance and time? J. Phys. Act. Health 2015, 12, S53–S61. [Google Scholar] [CrossRef]
Figure 1. A single bottleneck with a parking and walking segment.
Figure 1. A single bottleneck with a parking and walking segment.
Systems 12 00548 g001
Figure 2. Equilibrium with no parking fees and no tolls.
Figure 2. Equilibrium with no parking fees and no tolls.
Systems 12 00548 g002
Figure 3. Values of costs with respect to parking density (k).
Figure 3. Values of costs with respect to parking density (k).
Systems 12 00548 g003
Figure 4. Characteristics of parking fee. (A) The relationship between departure time choice and parking location choice in the view of azimuth = −37.5°, elevation = 30°. (B) The characteristics of the parking fee in the vertical view. (C) The parking fee at different parking locations when the commuter reaches the parking area at 8:55 a.m. (D) The parking fee at various departure times when the commuter is parking at a location that is 0.404 km from the city center.
Figure 4. Characteristics of parking fee. (A) The relationship between departure time choice and parking location choice in the view of azimuth = −37.5°, elevation = 30°. (B) The characteristics of the parking fee in the vertical view. (C) The parking fee at different parking locations when the commuter reaches the parking area at 8:55 a.m. (D) The parking fee at various departure times when the commuter is parking at a location that is 0.404 km from the city center.
Systems 12 00548 g004
Figure 5. Optimal parking pricing scheme.
Figure 5. Optimal parking pricing scheme.
Systems 12 00548 g005
Table 1. Basic parameters.
Table 1. Basic parameters.
Total Demand (N) 2000   ( veh ) Value of β 2.9   ( USD / h )
Bottleneck capacity (s) 1000   ( v e h / h ) Value of γ 11.52   ( U S D / h )
Walking speed ( v w ) 5   ( k m / h ) Value of λ 6.4   ( U S D / h )
Value of α 4.8   ( U S D / h ) Value of μ 0.0012   ( U S D / ( v e h · h ) )
Table 2. Values of various costs.
Table 2. Values of various costs.
Name of CostsTCTSTWTHTQ
Monetary value (USD)12,500592025606403420
Disclaimer/Publisher’s Note: The statements, opinions and data contained in all publications are solely those of the individual author(s) and contributor(s) and not of MDPI and/or the editor(s). MDPI and/or the editor(s) disclaim responsibility for any injury to people or property resulting from any ideas, methods, instructions or products referred to in the content.

Share and Cite

MDPI and ACS Style

Tan, Y.; Yuan, Z.; Ma, R.; Sun, Z. Parking Pricing in the Morning Commute Problem Considering Human Exposure to Vehicular Emissions. Systems 2024, 12, 548. https://doi.org/10.3390/systems12120548

AMA Style

Tan Y, Yuan Z, Ma R, Sun Z. Parking Pricing in the Morning Commute Problem Considering Human Exposure to Vehicular Emissions. Systems. 2024; 12(12):548. https://doi.org/10.3390/systems12120548

Chicago/Turabian Style

Tan, Yu, Zhenchao Yuan, Rui Ma, and Zhanbo Sun. 2024. "Parking Pricing in the Morning Commute Problem Considering Human Exposure to Vehicular Emissions" Systems 12, no. 12: 548. https://doi.org/10.3390/systems12120548

APA Style

Tan, Y., Yuan, Z., Ma, R., & Sun, Z. (2024). Parking Pricing in the Morning Commute Problem Considering Human Exposure to Vehicular Emissions. Systems, 12(12), 548. https://doi.org/10.3390/systems12120548

Note that from the first issue of 2016, this journal uses article numbers instead of page numbers. See further details here.

Article Metrics

Back to TopTop