Investigation of Traffic System with Traffic Restriction Scheme in the Presence of Automated and Human-Driven Vehicles
Abstract
1. Introduction
2. Traffic Restriction Scheme and Formulations for Travel Mode and Path Choices
2.1. Traffic Restriction Scheme
2.2. Preliminaries and Constraints for the Model
2.3. Generalized Travel Cost Functions
2.4. Travel Mode Split
2.5. Mixed-User Equilibrium
2.6. The Variational Inequality (VI)
2.7. Social Welfare
3. Algorithm
4. Numerical Example
5. Conclusions
- A traffic restriction scheme for human-driven vehicles is beneficial to traffic systems on increasing social welfare. A higher proportion of restriction schemes may bring higher demand, as well as higher social welfare in the elastic demand case, since more automated vehicles make the traffic system better organized. It can be taken as a traffic management demand scheme.
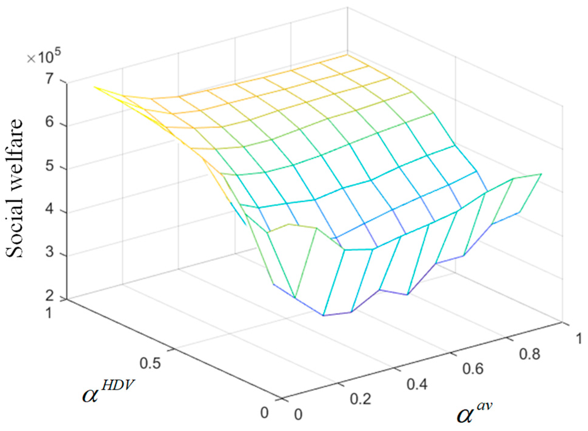
- Under the traffic restriction scheme for HDVs, there exists weighting coefficient patterns for weighting travel time and congestion levels that could minimize social welfare. In practice, this should be avoided. For example, intensifying the automation level of vehicles could alter the way automated vehicle users weight congestion level, thereby increasing social welfare.
- In the presence of the traffic restriction scheme for HDVs, a large value of exogenous monetary factors results in negative social welfare, as the marginal cost of automated vehicles is comparatively smaller, which gives rise to more travelers choosing private cars, thereby making roads more congested. Therefore, suitable monetary factors, e.g., the fare of transit and the price of vehicles, are necessary.
- In terms of the traffic restriction scheme for HDVs, shorter headways between automated vehicles, as well as between automated and human-driven vehicles, contribute to higher social welfare. However, social welfare is not solely determined by the difference in headways. Thus, advancements in automated driving technology should focus not only on connected automated vehicles but also on optimizing performance in mixed traffic flows.
- In this paper, the numerical results show that the scheme is beneficial to the system. Namely, it can be applied to a real case. It is worth collecting real data to analyze the system if needed. Some parameters such as the level of focusing on travel time and the utilities in a vehicle can be obtained by the RP investigation, while some other specific parameters such as link travel time and capacity, the transit ticket fare, etc., can be obtained by stated preference (SP) investigations. Full data are helpful to implement the scheme with the model and algorithm.
- In this study, we focus on three common modes within the mixed traffic system involving automated driving. However, other modes such as subways, bicycles, and taxis may also influence the system. It is therefore valuable to investigate a more comprehensive traffic system using a super network approach.
- We specifically examine the impacts of a given traffic restriction scheme on the traffic system. Future research could explore the optimal district configurations and proportional allocations for such schemes, as this holds significant research potential.
- Compared to traffic restriction schemes, pricing schemes have been more extensively studied. However, the marginal cost of automated vehicles remains unclear. A theoretical study on the marginal cost of automated vehicles from an economic perspective is a promising area for future research.
Author Contributions
Funding
Data Availability Statement
Conflicts of Interest
Appendix A
References
- Shi, F.; Yang, H.; Han, D.; Wang, X.; Yin, Y. Optimization method of alternate traffic restriction scheme based on elastic demand and mode choice behavior. Transp. Res. Part C Emerg. Technol. 2014, 39, 36–52. [Google Scholar] [CrossRef]
- Han, D.; Yang, H.; Wang, X. Efficiency of the plate-number-based traffic rationing in general networks. Transp. Res. Part E Logist. Transp. Rev. 2010, 46, 1095–1110. [Google Scholar] [CrossRef]
- Wang, X.; Yang, H.; Han, D. Traffic rationing and short-term and long-term equilibrium. Transp. Res. Rec. 2010, 2196, 131–141. [Google Scholar] [CrossRef]
- Chen, D.; Sun, Y.; Yang, Z. Optimization of the travel ban scheme of cars based on the spatial distribution of the last digit of license plates. Transp. Policy 2020, 94, 43–53. [Google Scholar] [CrossRef]
- Daganzo, C.F.; Garcia, R.C. A Pareto improving strategy for the time-dependent morning commute problem. Transp. Sci. 2000, 34, 303–311. [Google Scholar] [CrossRef]
- Nakamura, K.; Kockelman, K.M. Congestion pricing and roadspace rationing: An application to the San Francisco Bay Bridge corridor. Transp. Res. Part A Policy Pract. 2002, 36, 403–417. [Google Scholar] [CrossRef][Green Version]
- Song, Z.; Yin, Y.; Lawphongpanich, S. A Pareto-improving hybrid policy for transportation networks. J. Adv. Transp. 2014, 48, 272–286. [Google Scholar] [CrossRef]
- Xu, G.; Chen, Y.; Liu, W. Joint optimisation of park-and-ride facility locations and alternate traffic restriction scheme under equilibrium flows. Transp. A Transp. Sci. 2023, 19, 2077468. [Google Scholar] [CrossRef]
- Nie, Y. Why is license plate rationing not a good transport policy? Transp. A Transp. Sci. 2017, 13, 1–23. [Google Scholar] [CrossRef]
- Yao, Z.; Jia, Y.; Li, Y.; Jin, P.; Hou, Y.; Huang, H.J. Analysis of the impact of maximum platoon size of CAVs on mixed traffic flow: An analytical and simulation method. Transp. Res. Part C Emerg. Technol. 2023, 147, 103989. [Google Scholar] [CrossRef]
- Ghiasi, A.; Hussain, O.; Qian, X.; Li, X. A mixed traffic capacity analysis and lane management model for connected automated vehicles: A Markov chain method. Transp. Res. Part B Methodol. 2017, 106, 266–292. [Google Scholar] [CrossRef]
- Sun, J.; Zheng, Z.; Sun, J. The relationship between car following string instability and traffic oscillations in finite-sized platoons and its use in easing congestion via connected and automated vehicles with IDM based controller. Transp. Res. Part B Methodol. 2020, 142, 58–83. [Google Scholar] [CrossRef]
- Lin, W.; Zheng, Z.; Sun, J.; Wang, Y.; Ma, L. Rhythmic control of automated traffic—Part II: Grid network rhythm and online routing. Transp. Sci. 2021, 55, 988–1009. [Google Scholar] [CrossRef]
- Qin, Y.; Wang, H.; Ran, B. Impacts of cooperative adaptive cruise control platoons on emissions under traffic oscillation. J. Intell. Transp. Syst. 2021, 25, 376–383. [Google Scholar] [CrossRef]
- Kaddoura, I.; Bischoff, J.; Nagel, K. Towards welfare optimal operation of innovative mobility concepts: External cost pricing in a world of shared autonomous vehicles. Transp. Res. Part A Policy Pract. 2020, 136, 48–63. [Google Scholar] [CrossRef]
- Simoni, M.D.; Kockelman, K.M.; Gurumurthy, K.M.; Bischoff, J. Congestion pricing in a world of self-driving vehicles: An analysis of different strategies in alternative future scenarios. Transp. Res. Part C Emerg. Technol. 2019, 98, 167–185. [Google Scholar] [CrossRef]
- Sharon, G.; Stone, P.; Boyles, S.D.; Unnikrishnan, A. Network-wide adaptive tolling for connected and automated vehicles. Transp. Res. Part C Emerg. Technol. 2017, 84, 142–157. [Google Scholar] [CrossRef]
- Gurumurthy, K.M.; Kockelman, K.M.; Simoni, M.D. Benefits and costs of ride-sharing in shared automated vehicles across Austin, Texas: Opportunities for congestion pricing. Transp. Res. Rec. 2019, 2673, 548–556. [Google Scholar] [CrossRef]
- Ye, Y.; Wang, H. Optimal design of transportation networks with automated vehicle links and congestion pricing. J. Adv. Transp. 2018, 2018, 3435720. [Google Scholar] [CrossRef]
- Delle Site, P. Pricing of connected and autonomous vehicles in mixed-traffic networks. Transp. Res. Rec. 2021, 2675, 178–192. [Google Scholar] [CrossRef]
- Liu, A.; Liu, Z.; He, Z. Joint optimal pricing strategy of shared autonomous vehicles and road congestion pricing: A regional accessibility perspective. Cities 2024, 146, 104742. [Google Scholar] [CrossRef]
- Mansourianfar, M.H.; Hassan, A.H.; Abou-Zeid, M.; Sadek, A. Joint routing and pricing control in congested mixed autonomy networks. Transp. Res. Part C Emerg. Technol. 2021, 131, 103338. [Google Scholar] [CrossRef]
- Tscharaktschiew, S.; Evangelinos, C. Pigouvian road congestion pricing under autonomous driving mode choice. Transp. Res. Part C Emerg. Technol. 2019, 101, 79–95. [Google Scholar] [CrossRef]
- Francisco, F.; Pang, J.-S. Finite-Dimensional Variational Inequalities and Complementarity Problems; Springer: New York, NY, USA, 2003. [Google Scholar]






| OD Pair | OD Pair | OD Pair | OD Pair | OD Pair | OD Pair | OD Pair | OD Pair |
|---|---|---|---|---|---|---|---|
| (1,13) | (4,13) | (7,3) | (10,15) | (13,1) | (16,15) | (19,9) | (22,9) |
| (1,20) | (4,20) | (7,12) | (10,17) | (13,2) | (16,17) | (19,10) | (22,10) |
| (1,21) | (4,21) | (7,14) | (10,19) | (13,4) | (16,19) | (19,11) | (22,11) |
| (1,24) | (4,24) | (7,23) | (10,22) | (13,5) | (16,22) | (19,16) | (22,16) |
| (2,13) | (5,13) | (8,3) | (11,15) | (14,6) | (17,9) | (20,1) | (23,6) |
| (2,20) | (5,20) | (8,12) | (11,17) | (14,7) | (17,10) | (20,2) | (23,7) |
| (2,21) | (5,21) | (8,14) | (11,19) | (14,8) | (17,11) | (20,4) | (23,8) |
| (2,24) | (5,24) | (8,23) | (11,22) | (14,18) | (17,16) | (20,5) | (23,18) |
| (3,6) | (6,3) | (9,15) | (12,6) | (15,9) | (18,3) | (21,1) | (24,1) |
| (3,7) | (6,12) | (9,17) | (12,7) | (15,10) | (18,12) | (21,2) | (24,2) |
| (3,8) | (6,14) | (9,19) | (12,8) | (15,11) | (18,14) | (21,4) | (24,4) |
| (3,18) | (6,23) | (9,22) | (12,18) | (15,16) | (18,23) | (21,5) | (24,5) |
| Link | (min) | Link | (min) | Link | (min) | Link | (min) | Link | (min) |
|---|---|---|---|---|---|---|---|---|---|
| (1,2) | 3 | (6,8) | 1 | (11,4) | 3 | (15,22) | 2 | (20,19) | 2 |
| (1,3) | 2 | (7,8) | 1.5 | (11,10) | 2.5 | (16,8) | 2.5 | (20,21) | 3 |
| (2,1) | 3 | (7,18) | 1 | (11,12) | 3 | (16,10) | 2.5 | (20,22) | 2.5 |
| (2,6) | 2.5 | (8,6) | 1 | (11,14) | 2 | (16,17) | 1 | (21,20) | 3 |
| (3,1) | 2 | (8,7) | 1.5 | (12,3) | 2 | (16,18) | 1.5 | (21,22) | 1 |
| (3,4) | 2 | (8,9) | 5 | (12,11) | 3 | (17,10) | 4 | (21,24) | 1.5 |
| (3,12) | 2 | (8,16) | 2.5 | (12,13) | 1.5 | (17,16) | 1 | (22,15) | 2 |
| (4,3) | 2 | (9,5) | 2.5 | (13,12) | 1.5 | (17,19) | 1 | (22,20) | 2.5 |
| (4,5) | 1 | (9,8) | 5 | (13,24) | 2 | (18,7) | 1 | (22,21) | 1 |
| (4,11) | 3 | (9,10) | 1.5 | (14,11) | 2 | (18,16) | 1.5 | (22,23) | 2 |
| (5,4) | 1 | (10,9) | 1.5 | (14,15) | 2.5 | (18,20) | 2 | (23,14) | 2 |
| (5,6) | 2 | (10,11) | 2.5 | (14,23) | 2 | (19,15) | 2 | (23,22) | 2 |
| (5,9) | 2.5 | (10,15) | 3 | (15,10) | 3 | (19,17) | 1 | (23,24) | 1 |
| (6,2) | 2.5 | (10,16) | 2.5 | (15,14) | 2.5 | (19,20) | 2 | (24,13) | 2 |
| (6,5) | 2 | (10,17) | 4 | (15,19) | 2 | (20,18) | 2 | (24,21) | 1.5 |
| (24,23) | 1 |
| Link | (s) | Link | (s) | Link | (s) | Link | (s) | Link | (s) |
|---|---|---|---|---|---|---|---|---|---|
| (1,2) | 1.4 | (6,8) | 7.3 | (11,4) | 7.3 | (15,22) | 3.5 | (20,19) | 7.2 |
| (1,3) | 1.5 | (7,8) | 4.6 | (11,10) | 3.6 | (16,8) | 7.1 | (20,21) | 7.1 |
| (2,1) | 1.4 | (7,18) | 1.5 | (11,12) | 7.3 | (16,10) | 7 | (20,22) | 7.1 |
| (2,6) | 7.3 | (8,6) | 7.3 | (11,14) | 7.4 | (16,17) | 6.9 | (21,20) | 7.1 |
| (3,1) | 1.5 | (8,7) | 4.6 | (12,3) | 1.5 | (16,18) | 1.8 | (21,22) | 6.9 |
| (3,4) | 2.1 | (8,9) | 7.1 | (12,11) | 7.3 | (17,10) | 7.2 | (21,24) | 7.4 |
| (3,12) | 1.5 | (8,16) | 7.1 | (12,13) | 1.4 | (17,16) | 6.9 | (22,15) | 3.5 |
| (4,3) | 2.1 | (9,5) | 3.6 | (13,12) | 1.4 | (17,19) | 7.5 | (22,20) | 7.1 |
| (4,5) | 2 | (9,8) | 7.1 | (13,24) | 7.1 | (18,7) | 1.5 | (22,21) | 6.9 |
| (4,11) | 7.3 | (9,10) | 2.6 | (14,11) | 7.4 | (18,16) | 1.8 | (22,23) | 7.2 |
| (5,4) | 2 | (10,9) | 2.6 | (14,15) | 7 | (18,20) | 1.5 | (23,14) | 7.3 |
| (5,6) | 7.3 | (10,11) | 3.6 | (14,23) | 7.3 | (19,15) | 2.3 | (23,22) | 7.2 |
| (5,9) | 3.6 | (10,15) | 2.7 | (15,10) | 2.7 | (19,17) | 7.5 | (23,24) | 7.1 |
| (6,2) | 7.3 | (10,16) | 7 | (15,14) | 7 | (19,20) | 7.2 | (24,13) | 7.1 |
| (6,5) | 7.3 | (10,17) | 7.2 | (15,19) | 2.3 | (20,18) | 1.5 | (24,21) | 7.4 |
| (24,23) | 7.1 |
| The Proportion | Social Welfare | Total Generalized Travel Cost | The Demands | |||
|---|---|---|---|---|---|---|
| AVs | HDVs | Transit | Total | |||
| 0 | 567,280 | 167,177 | 5005 | 6744 | 18,469 | 30,218 |
| 20% | 578,197 | 181,390 | 5492 | 7203 | 21,333 | 34,028 |
| 50% | 583,992 | 175,535 | 5561 | 7079 | 21,853 | 34,493 |
Disclaimer/Publisher’s Note: The statements, opinions and data contained in all publications are solely those of the individual author(s) and contributor(s) and not of MDPI and/or the editor(s). MDPI and/or the editor(s) disclaim responsibility for any injury to people or property resulting from any ideas, methods, instructions or products referred to in the content. |
© 2024 by the authors. Licensee MDPI, Basel, Switzerland. This article is an open access article distributed under the terms and conditions of the Creative Commons Attribution (CC BY) license (https://creativecommons.org/licenses/by/4.0/).
Share and Cite
Ding, D.; Hou, Y.; Shen, F.; Chong, P.; Niu, Y. Investigation of Traffic System with Traffic Restriction Scheme in the Presence of Automated and Human-Driven Vehicles. Systems 2024, 12, 417. https://doi.org/10.3390/systems12100417
Ding D, Hou Y, Shen F, Chong P, Niu Y. Investigation of Traffic System with Traffic Restriction Scheme in the Presence of Automated and Human-Driven Vehicles. Systems. 2024; 12(10):417. https://doi.org/10.3390/systems12100417
Chicago/Turabian StyleDing, Dong, Yadi Hou, Fulong Shen, Pengyun Chong, and Yifeng Niu. 2024. "Investigation of Traffic System with Traffic Restriction Scheme in the Presence of Automated and Human-Driven Vehicles" Systems 12, no. 10: 417. https://doi.org/10.3390/systems12100417
APA StyleDing, D., Hou, Y., Shen, F., Chong, P., & Niu, Y. (2024). Investigation of Traffic System with Traffic Restriction Scheme in the Presence of Automated and Human-Driven Vehicles. Systems, 12(10), 417. https://doi.org/10.3390/systems12100417

