The Social Contagion of Risk Perceptions of Emerging Technologies through Evolutionary Game in Networks
Abstract
1. Introduction
2. Literature Review
2.1. Emerging Technologies and Their Risk Perception
2.2. Factors Influencing Risk Perception
2.3. Social Contagion of Risk Perception
2.4. Developing the Analytic Framework
3. Modeling the Contagion of Risk Perception of Emerging Technologies
3.1. Basic Concepts and Hypotheses
3.2. Model Construction
3.2.1. Evolutionary Game Model Construction
3.2.2. Complex Network Model Construction
3.3. Equilibrium Analysis
4. Simulation Experiments and Results
4.1. Method and Parameter Setup
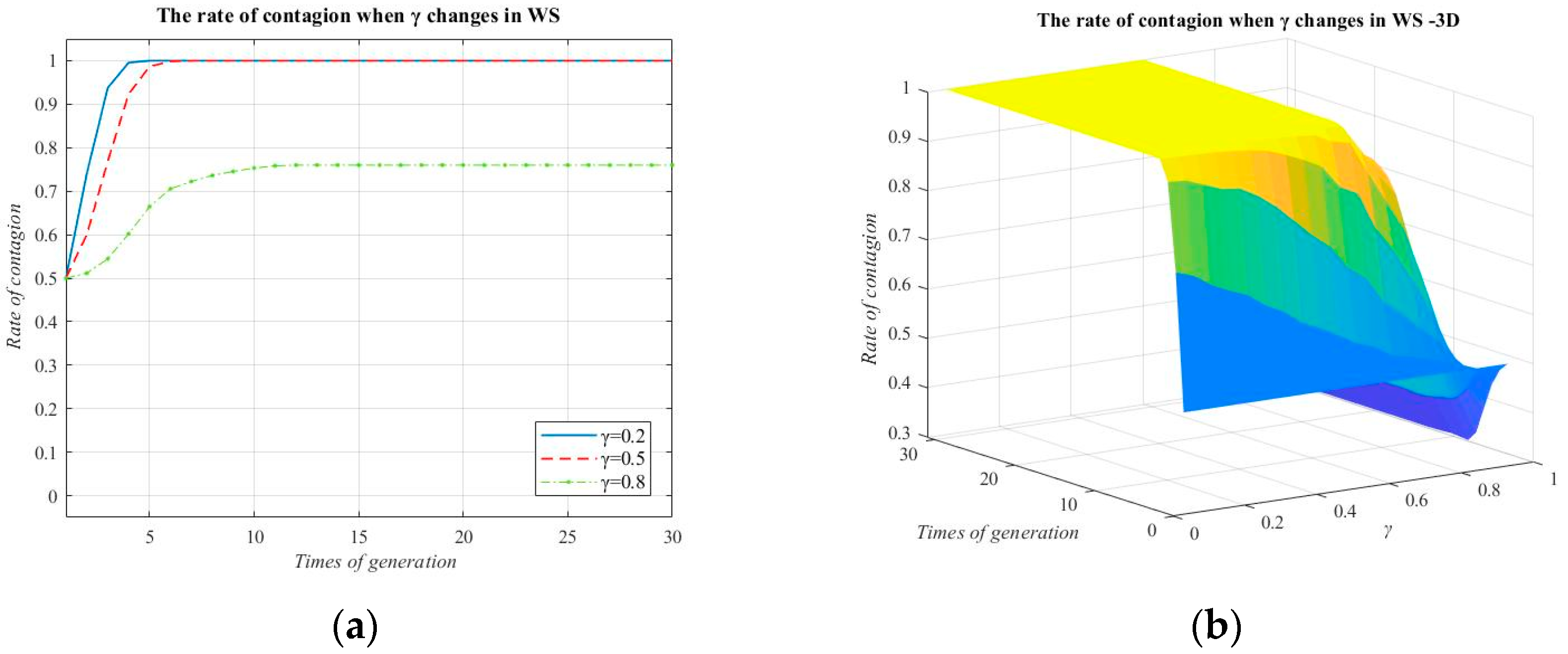
4.2. Discussion of Results
4.2.1. Psychological Distance between Individuals and Emerging Technological Risks
4.2.2. Trust between Individuals and Their Risk Communicators
4.2.3. Individual Participation in Risk Governance of Emerging Technologies
5. Conclusions and Suggestions for Countermeasures
Author Contributions
Funding
Data Availability Statement
Acknowledgments
Conflicts of Interest
References
- Janssen, M.; Helbig, N. Innovating and changing the policy-cycle: Policy-makers be prepared! Gov. Inf. Q. 2015, 32, 349–358. [Google Scholar] [CrossRef]
- Douglas, M.; Wildavsky, A. Risk and Culture: An Essay on the Selection of Technological and Environmental Dangers; University of California Press: Berkeley, CA, USA, 1983. [Google Scholar]
- Rogers, G.O. The dynamics of risk perception: How does perceived risk respond to risk events? Risk Anal. 1997, 17, 745–757. [Google Scholar] [CrossRef]
- Liu, P.; Yang, R.; Xu, Z. Public acceptance of fully automated driving: Effects of social trust and risk/benefit perceptions. Risk Anal. 2019, 39, 326–341. [Google Scholar] [CrossRef] [PubMed]
- Wen, N. Understanding the Chinese public’s risk perception and information-seeking behavior regarding genetically modified foods: The role of social media social capital. J. Risk Res. 2020, 23, 1370–1386. [Google Scholar] [CrossRef]
- Aven, T.; Renn, O. On risk defined as an event where the outcome is uncertain. J. Risk Res. 2009, 12, 1–11. [Google Scholar] [CrossRef]
- Yates, J.F.; Stone, E.R. The risk construct. Risk Anal. 1992, 12, 411–416. [Google Scholar]
- Renn, O.; Benighaus, C. Perception of technological risk: Insights from research and lessons for risk communication and management. J. Risk Res. 2013, 16, 293–313. [Google Scholar] [CrossRef]
- Rotolo, D.; Hicks, D.; Martin, B.R. What is an emerging technology? Res. Policy 2015, 44, 1827–1843. [Google Scholar] [CrossRef]
- Beck, U.; Lash, S.; Wynne, B. Risk Society: Towards a New Modernity; Sage: London, UK, 1992. [Google Scholar]
- Giddens, A. Modernity and Self-Identity: Self and Society in the Late Modern Age; Stanford University Press: Stanford, CA, USA, 1991. [Google Scholar]
- Slovic, P. Risk, Media and Stigma: Understanding Public Challenges to Modern Science and Technology; Routledge: New York, NY, USA, 2013. [Google Scholar]
- Fischhoff, B.; Slovic, P.; Lichtenstein, S.; Read, S.; Combs, B. How safe is safe enough? A psychometric study of attitudes towards technological risks and benefits. Policy Sci. 1978, 9, 127–152. [Google Scholar] [CrossRef]
- Brehmer, B. The psychology of risk. In Risk and Decisions; Springer: Berlin, Germany, 1987; Volume 25. [Google Scholar]
- Renn, O. Risk Perception and Risk Management; Uni Stuttgart: Stuttgart, Germany, 1989. [Google Scholar]
- Rohrmann, B. Risk Perception Research: Review and Documentation; Research Center Juelich: RC Studies# 68; Research Center Jülich: Jülich, Germany, 1999. [Google Scholar]
- Slovic, P.; Fischhoff, B.; Lichtenstein, S. Facts and Fears: Understanding Perceived Risk; Societal Risk Assessment; Springer: Boston, MA, USA, 1980; pp. 181–216. [Google Scholar]
- Brell, T.; Philipsen, R.; Ziefle, M. sCARy! Risk perceptions in autonomous driving: The influence of experience on perceived benefits and barriers. Risk Anal. 2019, 39, 342–357. [Google Scholar] [CrossRef]
- Jardine, C.G.; Hrudey, S.E. Mixed messages in risk communication. Risk Anal. 1997, 17, 489–498. [Google Scholar] [CrossRef]
- Lazo, J.K.; Kinnell, J.C.; Fisher, A. Expert and layperson perceptions of ecosystem risk. Risk Anal. 2000, 20, 179–194. [Google Scholar] [CrossRef] [PubMed]
- Slovic, P.; Layman, M.; Kraus, N.; Flynn, J.; Chalmers, J.; Gesell, G. Perceived risk, stigma, and potential economic impacts of a high-level nuclear waste repository in Nevada. Risk Anal. 1991, 11, 683–696. [Google Scholar] [CrossRef] [PubMed]
- Lindell, M.K.; Perry, R.W. The protective action decision model: Theoretical modifications and additional evidence. Risk Anal. 2012, 32, 616–632. [Google Scholar] [CrossRef]
- Bearth, A.; Siegrist, M. Are risk or benefit perceptions more important for public acceptance of innovative food technologies: A meta-analysis. Trends Food Sci. Technol. 2016, 49, 14–23. [Google Scholar] [CrossRef]
- Renn, O. The role of risk perception for risk management. Reliab. Eng. Syst. Saf. 1998, 59, 49–62. [Google Scholar] [CrossRef]
- Star, C. Social benefit versus technological risk: What is our society willing to pay for safety. Science 1969, 165, 1232–1238. [Google Scholar] [CrossRef]
- De Groot JI, M.; Steg, L.; Poortinga, W. Values, perceived risks and benefits, and acceptability of nuclear energy. Risk Anal. Int. J. 2013, 33, 307–317. [Google Scholar] [CrossRef]
- Ho, S.S.; Scheufele, D.A.; Corley, E.A. Making sense of policy choices: Understanding the roles of value predispositions, mass media, and cognitive processing in public attitudes toward nanotechnology. J. Nanopart. Res. 2010, 12, 2703–2715. [Google Scholar] [CrossRef]
- Wilson, C.; Evans, G.; Leppard, P.; Syrette, J. Reactions to genetically modified food crops and how perception of risks and benefits influences consumers’ information gathering. Risk Anal. Int. J. 2004, 24, 1311–1321. [Google Scholar] [CrossRef]
- Siegrist, M. The influence of trust and perceptions of risks and benefits on the acceptance of gene technology. Risk Anal. 2000, 20, 195–204. [Google Scholar] [CrossRef] [PubMed]
- Fischhoff, B. Evaluating science communication. Proc. Natl. Acad. Sci. USA 2019, 116, 7670–7675. [Google Scholar] [CrossRef] [PubMed]
- Binder, A.R.; Cacciatore, M.A.; Scheufele, D.A.; Shaw, B.R.; Corley, E.A. Measuring risk/benefit perceptions of emerging technologies and their potential impact on communication of public opinion toward science. Public Underst. Sci. 2012, 21, 830–847. [Google Scholar] [CrossRef] [PubMed]
- Sjöberg, L. Factors in risk perception. Risk Anal. 2000, 20, 1–12. [Google Scholar] [CrossRef]
- Lupton, D.; Tulloch, J. ‘Life would be pretty dull without risk’: Voluntary risk-taking and its pleasures. Health Risk Soc. 2002, 4, 113–124. [Google Scholar] [CrossRef]
- Kasperson, R.E.; Renn, O.; Slovic, P.; Brown, H.S.; Emel, J.; Goble, R.; Kasperson, J.X.; Ratick, S. The social amplification of risk: A conceptual framework. Risk Anal. 1988, 8, 177–187. [Google Scholar] [CrossRef]
- Renn, O.; Burns, W.J.; Kasperson, J.X.; Kasperson, R.E.; Slovic, P. The social amplification of risk: Theoretical foundations and empirical applications. J. Soc. Issues 1992, 48, 137–160. [Google Scholar] [CrossRef]
- Kasperson, J.X.; Kasperson, R.E.; Pidgeon, N.; Slovic, P. The social amplification of risk: Assessing fifteen years of research and theory. Soc. Amplif. Risk 2003, 1, 13–46. [Google Scholar]
- Lermer, E.; Streicher, B.; Sachs, R.; Raue, M.; Frey, D. The effect of construal level on risk-taking. Eur. J. Soc. Psychol. 2015, 45, 99–109. [Google Scholar] [CrossRef]
- Raue, M.; Streicher, B.; Lermer, E.; Frey, D. How far does it feel? Construal level and decisions under risk. J. Appl. Res. Mem. Cogn. 2015, 4, 256–264. [Google Scholar] [CrossRef]
- Morgan, M.G.; Fischhoff, B.; Bostrom, A.; Atman, C. Risk Communication: A Mental Models Approach; Cambridge University Press: Cambridge, UK, 2002. [Google Scholar]
- Berry, D. Risk Communication and Public Health; Open University: New York, NY, USA, 2004. [Google Scholar]
- Liu, S.; Huang, J.C.; Brown, G.L. Information and risk perception: A dynamic adjustment process. Risk Anal. 1998, 18, 689–699. [Google Scholar] [CrossRef]
- Fischhoff, B.; Bostrom, A.; Quadrel, M.J. Risk perception and communication. Annu. Rev. Public Health 1993, 14, 183–203. [Google Scholar] [CrossRef] [PubMed]
- Rowe, G.; Frewer, L.J. A typology of public engagement mechanisms. Sci. Technol. Hum. Values 2005, 30, 251–290. [Google Scholar] [CrossRef]
- Parsons, T. The Social System; Routledge: New York, NY, USA, 1951. [Google Scholar]
- Scherer, C.W.; Cho, H. A social network contagion theory of risk perception. Risk Anal. Int. J. 2003, 23, 261–267. [Google Scholar] [CrossRef] [PubMed]
- Binder, A.R.; Scheufele, D.A.; Brossard, D. Risk publics: Under- standing the unifying ties of personal beliefs vs. community of residence in the site-selection for a biological research facility. In Proceedings of the Annual Meeting of the Society for Risk Analysis, Charleston, SC, USA, 8–11 December 2011. [Google Scholar]
- Muter, B.A.; Gore, M.L.; Riley, S.J. Social contagion of risk perceptions in environmental management networks. Risk Anal. 2013, 33, 1489–1499. [Google Scholar] [CrossRef]
- Jones, C.; Hine, D.W.; Marks AD, G. The future is now: Reducing psychological distance to increase public engagement with climate change. Risk Anal. 2017, 37, 331–341. [Google Scholar] [CrossRef]
- Dian, S.; Lupeng, Z.; Lan, X. Social contagion of emerging technologies risk perception based on “coupling-evolution” process. Stud. Sci. Sci. 2021, 39, 2–11. [Google Scholar]
- Kandiah, V.; Binder, A.R.; Berglund, E.Z. An Empirical Agent-Based Model to Simulate the Adoption of Water Reuse Using the Social Amplification of Risk Framework. Risk Anal. 2017, 37, 2005–2022. [Google Scholar] [CrossRef]
- Griffin, R.J.; Dunwoody, S. Community structure and science framing of news about local environmental risks. Sci. Commun. 1997, 18, 362–384. [Google Scholar] [CrossRef]
- Strogatz, S.H. Exploring complex networks. Nature 2001, 410, 268. [Google Scholar] [CrossRef]
- Barabási, A.L.; Albert, R. Emergence of Scaling in Random Networks. Science 1999, 509, 286. [Google Scholar] [CrossRef] [PubMed]
- Szabó, G.; Tőke, C. Evolutionary prisoner’s dilemma game on a square lattice. Phys. Rev. E 1998, 58, 69–73. [Google Scholar] [CrossRef]








| Individuals 2 (Group2) | |||
|---|---|---|---|
| Contagion | No Contagion | ||
| Individuals 1 (Group1) | Contagion | ||
| No contagion | |||
| (x, y) | Det J | Tr J | Stability |
|---|---|---|---|
| + | − | ESS | |
| + | + | Unstable point | |
| + | + | Unstable point | |
| + | − | ESS | |
| − | + | Saddle point |
| Factor | Influence Level | Parameter Range | Classification Notes |
|---|---|---|---|
| Low | Based on averaged and normalized results of preliminary questionnaire. | ||
| Moderate | |||
| High | |||
| Low | Based on types of participation available to individuals to govern emerging technologies, as determined by an expert panel. | ||
| Moderate | |||
| High | |||
| Low | Based on averaged and normalized results of preliminary questionnaire. | ||
| Moderate | |||
| High |
| Network Structure | Network Size | Number of Iterations | ||||||
|---|---|---|---|---|---|---|---|---|
| Scale free | 200 nodes | 30 | 0.2 | 0.2 | 0.2 | 1 | 1.5 | 0.5 |
| 0.5 | 0.5 | 0.5 | ||||||
| 0.8 | 0.8 | 0.8 | ||||||
| Small world | 200 nodes | 30 | 0.2 | 0.2 | 0.2 | 1 | 1.5 | 0.5 |
| 0.5 | 0.8 | 0.5 | ||||||
| 0.8 | 0.5 | 0.8 |
Disclaimer/Publisher’s Note: The statements, opinions and data contained in all publications are solely those of the individual author(s) and contributor(s) and not of MDPI and/or the editor(s). MDPI and/or the editor(s) disclaim responsibility for any injury to people or property resulting from any ideas, methods, instructions or products referred to in the content. |
© 2024 by the authors. Licensee MDPI, Basel, Switzerland. This article is an open access article distributed under the terms and conditions of the Creative Commons Attribution (CC BY) license (https://creativecommons.org/licenses/by/4.0/).
Share and Cite
Sun, D.; Zhang, L. The Social Contagion of Risk Perceptions of Emerging Technologies through Evolutionary Game in Networks. Systems 2024, 12, 411. https://doi.org/10.3390/systems12100411
Sun D, Zhang L. The Social Contagion of Risk Perceptions of Emerging Technologies through Evolutionary Game in Networks. Systems. 2024; 12(10):411. https://doi.org/10.3390/systems12100411
Chicago/Turabian StyleSun, Dian, and Lupeng Zhang. 2024. "The Social Contagion of Risk Perceptions of Emerging Technologies through Evolutionary Game in Networks" Systems 12, no. 10: 411. https://doi.org/10.3390/systems12100411
APA StyleSun, D., & Zhang, L. (2024). The Social Contagion of Risk Perceptions of Emerging Technologies through Evolutionary Game in Networks. Systems, 12(10), 411. https://doi.org/10.3390/systems12100411

