Optimal Capacity Decision-Making of Omnichannel Catering Merchants Considering the Service Environment Based on Queuing Theory
Abstract
:1. Introduction
1.1. Backgrounds and Motivation
1.2. Research Questions and Main Findings
1.3. Contributions and Novelties
2. Literature Review
3. Base Model
4. Decision-Making in the Short-Term Omnichannel Mode
4.1. Decision-Making
4.2. Comparative Analysis
5. Decision-Making in the Long-Term Omnichannel Mode
5.1. Decision-Making
5.2. Comparative Analysis
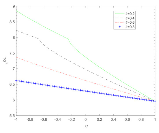
6. Numerical Analysis
7. Conclusions
7.1. Conclusions and Remarks
7.2. Managerial Insights
7.3. Future Research
Author Contributions
Funding
Institutional Review Board Statement
Informed Consent Statement
Data Availability Statement
Conflicts of Interest
Appendix A
References
- Yuan, X.; Dai, T.; Chen, L.G.; Gavirneni, S. Co-Opetition in Service Clusters with Waiting-Area Entertainment. Manuf. Serv. Oper. Manag. 2021, 23, 106–122. [Google Scholar] [CrossRef]
- Ha, J.; Jang, S.C. Effects of service quality and food quality: The moderating role of atmospherics in an ethnic restaurant segment. Int. J. Hosp. Manag. 2010, 29, 520–529. [Google Scholar] [CrossRef]
- Ryu, K.; Lee, H.-R.; Kim, W.G. The influence of the quality of the physical environment, food, and service on restaurant image, customer perceived value, customer satisfaction, and behavioral intentions. Int. J. Contemp. Hosp. Manag. 1989, 24, 200–223. [Google Scholar] [CrossRef]
- Arnould, E.J.; Price, L.L.; Tierney, P. Communicative Staging of the Wilderness Servicescape. Serv. Ind. J. 1998, 18, 90–115. [Google Scholar] [CrossRef]
- Kostecki, M. Waiting lines as a marketing issue. Eur. Manag. J. 1996, 14, 295–303. [Google Scholar] [CrossRef]
- Namkung, Y.; Jang, S. Does food quality really matter in restaurants? Its impact on customer satisfaction and behavioral intentions. J. Hosp. Tour. Res. 2016, 31, 387–409. [Google Scholar] [CrossRef]
- Bowden-Everson, L.H.; Dagger, T.S.; Elliott, G. Engaging Customers for Loyalty in the Restaurant Industry: The Role of Satisfaction, Trust, and Delight. J. Food Serv. Bus. Res. 2013, 16, 52–75. [Google Scholar] [CrossRef]
- Chen, M.; Hu, M.; Wang, J. Food Delivery Service and Restaurant: Friend or Foe? Manag. Sci. 2022. [Google Scholar] [CrossRef]
- Yan, K.; Liu, S.; Zuo, M.; Zheng, J.; Xu, Y. Dual-Channel Supply Chain Pricing Decisions under Discounted Advertising Value. Systems 2022, 10, 76. [Google Scholar] [CrossRef]
- Simonson, I.; Rosen, E. What marketers misunderstand about online reviews. Harv. Busines Rev. 2014, 92, 23–25. [Google Scholar]
- Yan, L.; Guo, B.; Chao, C.; He, D.; Yu, Z.; Zhang, D. Foodnet: Toward an optimized food delivery network based on spatial crowdsourcing. IEEE Trans. Mob. Comput. 2019, 18, 288–1301. [Google Scholar]
- Zhao, D.Z.; Yang, J. Research on Decision-making Model of Estimated Delivery Time in O2O Food Delivery. Ind. Eng. Manag. 2018, 5, 8–14. [Google Scholar]
- Pei, Y.-L.; Li, D.-D.; Xue, W.-X. The evaluation of customer experience using bp neural network-taking catering o2o takeout. Concurr. Comput. Pract. Exp. 2020, 32, e5515. [Google Scholar] [CrossRef]
- Kotler, P. Atmospherics as A Marketing Tool. J. Retail. 1973, 49, 48–64. [Google Scholar]
- Bitner, M.J. Servicescapes: The impact of physical surroundings on customers and employees. J. Mark. 1992, 56, 57–71. [Google Scholar] [CrossRef]
- Siew, M.L.; Swee, H.A.; Low, L.H.L. Effects of physical environment and locus of control on service evaluation. J. Retail. Consum. Serv. 1997, 4, 231–237. [Google Scholar] [CrossRef]
- Dong, P.; Siu, N.Y.-M. Servicescape Elements, Customer Predispositions and Service Experience: The Case of Theme Park Visitors. Tour. Manag. 2013, 36, 541–551. [Google Scholar] [CrossRef]
- Mendelson, H. Pricing computer services: Queueing effects. Commun. ACM 1985, 28, 312–321. [Google Scholar] [CrossRef]
- Chen, H.; Frank, M. Monopoly pricing when customers queue. IIE Trans. 2004, 36, 569–581. [Google Scholar] [CrossRef]
- Gurvich, I.; Lariviere, M.; Moreno, A. Operations in the On-Demand Economy: Staffing Services with Self-Scheduling Capacity. Shar. Econ. 2019, 6, 249–278. [Google Scholar]
- Ibrahim, R. Capacity Sizing in Queueing Models with a Random Number of Servers. SSRN Electron. J. 2015. [Google Scholar] [CrossRef]
- Bassamboo, A.; Randhawa, R.S.; Zeevi, A. Capacity sizing under parameter uncertainty: Safety staffing principles revisited. Manag. Sci. 2010, 56, 1668–1686. [Google Scholar] [CrossRef]
- Barrera, J.; Garcia, A. Auction design for the efficient allocation of service capacity under congestion. Oper. Res. 2015, 63, 151–165. [Google Scholar] [CrossRef]
- Gao, F.; Su, X. Omnichannel Service Operations with Online and Offline Self-Order Technologies. Manag. Sci. 2018, 64, 3595–3608. [Google Scholar] [CrossRef]
- Wang, H.Y.; Olsen, T.L.; Liu, G.Q. Service capacity competition with peak arrivals and delay sensitive customers. Omega 2018, 77, 80–95. [Google Scholar] [CrossRef]
- Ju, C.; Zhao, J.; Li, K.; Bao, F.; Xu, C.; Ran, J. Supply Chain Recovery Strategies for High Demand Products Based on the Impact of Capacity and Transportation Disruptions. Systems 2022, 10, 88. [Google Scholar] [CrossRef]
- Bughin, J.; Doogan, J.; Vetvik, O.J. A new way to measure word-of-mouth marketing. McKinsey Q. 2010, 2, 113–116. [Google Scholar]
- Wiedmann, K.P.; Labenz, F.; Haase, J.; Hennigs, N. The power of experiential marketing: Exploring the causal relationships among multisensory marketing, brand experience, customer perceived value and brand strength. J. Brand Manag. 2018, 25, 101–118. [Google Scholar] [CrossRef]
- Wang, Z.P.; Li, G.X. Research on the evolution and development logic of new retail from the perspective of consumer experience. J. Manag. 2019, 16, 333–342. [Google Scholar]




Publisher’s Note: MDPI stays neutral with regard to jurisdictional claims in published maps and institutional affiliations. |
© 2022 by the authors. Licensee MDPI, Basel, Switzerland. This article is an open access article distributed under the terms and conditions of the Creative Commons Attribution (CC BY) license (https://creativecommons.org/licenses/by/4.0/).
Share and Cite
Zhan, W.; Jiang, M.; Wang, X. Optimal Capacity Decision-Making of Omnichannel Catering Merchants Considering the Service Environment Based on Queuing Theory. Systems 2022, 10, 144. https://doi.org/10.3390/systems10050144
Zhan W, Jiang M, Wang X. Optimal Capacity Decision-Making of Omnichannel Catering Merchants Considering the Service Environment Based on Queuing Theory. Systems. 2022; 10(5):144. https://doi.org/10.3390/systems10050144
Chicago/Turabian StyleZhan, Wentao, Minghui Jiang, and Xueping Wang. 2022. "Optimal Capacity Decision-Making of Omnichannel Catering Merchants Considering the Service Environment Based on Queuing Theory" Systems 10, no. 5: 144. https://doi.org/10.3390/systems10050144
APA StyleZhan, W., Jiang, M., & Wang, X. (2022). Optimal Capacity Decision-Making of Omnichannel Catering Merchants Considering the Service Environment Based on Queuing Theory. Systems, 10(5), 144. https://doi.org/10.3390/systems10050144

