Verifying the Smart Contracts of the Port Supply Chain System Based on Probabilistic Model Checking
Abstract
:1. Introduction
2. Related Works
3. Verification Framework
3.1. Blockchain Enpowered Port Supply Chain
3.2. Verification Framework for the Smart Contracts of Port Supply Chains
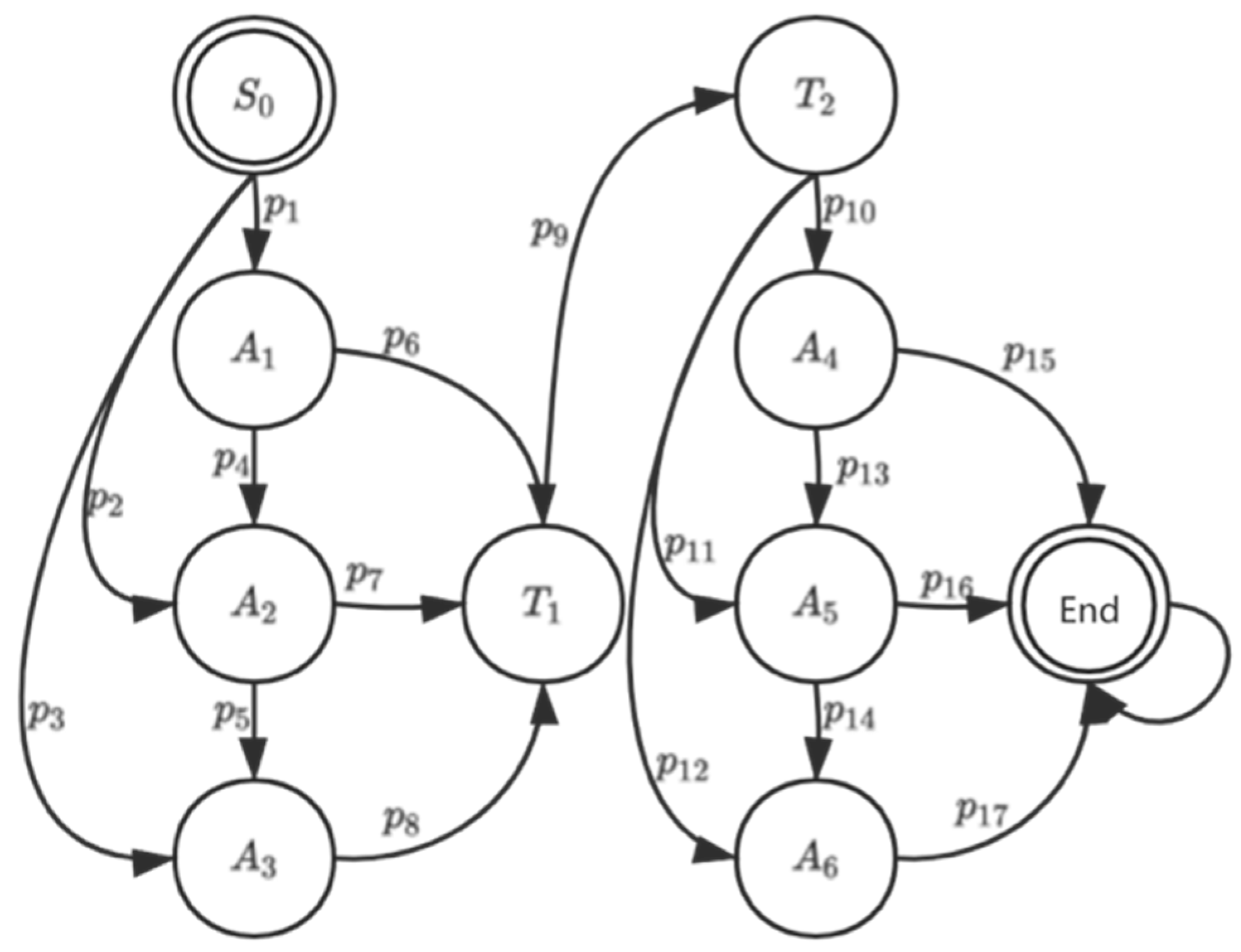
3.3. Modeling PSC Smart Contracts
| Algorithm 1: DTMC Model Mapping |
| Input: BPMN = () Output: DTMC[s] 1 s←0 2 STATES.PUSH() 3 while STATES do 4 m←STATES.POP() 5 Array[]←m 6 if (m ) then 7 for all the n LATER(m) do 8 Array[]← Array[] (m,n) 9 Emit Array[] 10 DTMC[s]←Array[] 11 Prob[]←p 12 s← s + 1 13 if (n BPMN[]) then 14 Array[].PUSH(n) 15 SUBPROCESS ← 16 if (x ) then 17 STATES.PUSH() 18 Search for 19 STATES.PUSH() 20 x←STATES.POP() 21 y←STATES.POP() 22 Array[]←(x,y) 23 Emit Array[] 24 DTMC[s]←Array[] 25 x← x + 1 26 y← y + 1 27 s← s + 1 28 END SUBPROCESS |
3.4. Properties Specification
3.4.1. Accuracy
3.4.2. Reachability
| Algorithm 2: Reachability algorithm |
| Input: the property formula to be verified F Output: True, False 1. Preprocess F, if the formula is false, return False 2. Select the next state variable that has no value 3. Deduction 4. The derived formula = = true, return True 5. Conflict, then 6. Analyze the conflict and go back 7. Cannot go back, return False 8. No conflict is deduced, return to Step 2 |
| Algorithm 3: PRISM module code of three supply terminal processes |
| module Sup_1 Sup1_affected: bool init false; [Sup1_affected] = false & M> = m → (Sup1_affected’ = true); [Sup2_correct] Sup2_correct_SupplierSC = true & Sup1_affected = true → 1:true; [Sup3_correct] Sup3_correct_SupplierSC = true & Sup1_affected = true → 1:true; endmodule |
4. Case Study
4.1. Modeling Smart Contracts of the Port Customs Clearance Process
4.2. Verification Results and Analysis
5. Conclusions
Author Contributions
Funding
Institutional Review Board Statement
Informed Consent Statement
Data Availability Statement
Acknowledgments
Conflicts of Interest
Appendix A. Port Customs Clearance Declaration Procedures
| Import | Export | ||
| Manifest transmission and customs declaration entry declaration | Transmission of manifest electronic data to customs through the platform | Customs declaration entry and declaration link | Entry and declaration |
| Entry of customs declaration | |||
| Customs declaration | Customs declaration chargeback | ||
| Customs declaration chargeback | |||
| Customs review and on-site presentation | H2000 manual review | Customs review | H2000 manual review |
| EDI, POP query | EDI, POP query | ||
| On-site delivery, release delivery, post-delivery (paperless customs clearance) | On-site delivery, release delivery, post-delivery (paperless customs clearance) | ||
| Pay taxes | Pay taxes | ||
| Inspection and release | The logistics monitoring department handles the second confirmation of the manifest | Inspection and release | The terminal supervision department handles inspection and release procedures |
| Application for clearance procedures at the clearance post of the Customs Clearance Section | The enterprise ships the ship with the “Export Goods Shipment List” | ||
| The terminal supervision department handles inspection and release procedures | Logistics Monitoring Section handles ship export customs clearance procedures | ||
| Customs clearance and issuance certificate | Customs clearance and issuance certificate | ||
References
- Han, C. Assessing the impacts of port supply chain integration on port performance. Asian J. Shipp. Logist. 2018, 34, 129–135. [Google Scholar] [CrossRef]
- Botti, A.; Monda, A.; Pellicano, M.; Torre, C. The Re-Conceptualization of the Port Supply Chain as a Smart Port Service System: The Case of the Port of Salerno. Systems 2017, 5, 35. [Google Scholar] [CrossRef] [Green Version]
- Dotolia, M.; Fantia, M.P.; Manginia, A.M.; Steccob, G.; Ukovich, W. The impact of ICT on intermodal transportation systems: A modelling approach by Petri nets. Control. Eng. Pract. 2010, 18, 893–903. [Google Scholar] [CrossRef]
- Jafari-Sadeghi, V.; Garcia-Perez, A.; Candelo, E.; Couturier, J. Exploring the impact of digital transformation on technology entrepreneurship and technological market expansion: The role of technology readiness, exploration and exploitation. J. Bus. Res. 2021, 12, 100–111. [Google Scholar] [CrossRef]
- Alotaibi, L.S.; Alshamrani, S.S. Smart Contract: Security and Privacy. Comput. Syst. Sci. Eng. 2021, 38, 93–101. [Google Scholar] [CrossRef]
- Fiorentino, S.; Bartolucci, S. Blockchain-based smart contracts as new governance tools for the sharing economy. Cities 2021, 117, 103325. [Google Scholar] [CrossRef]
- Tsiulin, S.; Reinau, K.H.; Hilmola, O.-P.; Goryaev, N.; Karam, A. Blockchain-based applications in shipping and port management: A literature review towards defining key conceptual frameworks. Rev. Int. Bus. Strategy 2020, 2, 201–224. [Google Scholar] [CrossRef]
- Chang, S.E.; Chen, Y.C.; Lu, M.F. Supply chain re-engineering using blockchain technology: A case of smart contract based tracking process. Technol. Forecast. Soc. Change 2019, 144, 1–11. [Google Scholar] [CrossRef]
- Rogerson, M.; Parry, G.C. Blockchain: Case studies in food supply chain visibility. Supply Chain. Manag. Int. J. 2020, 25, 601–614. [Google Scholar] [CrossRef]
- De Giovanni, P. Digital supply chain through dynamic inventory and smart contracts. Mathematics 2019, 7, 1235. [Google Scholar] [CrossRef] [Green Version]
- Dolgui, A.; Ivanov, D.; Potryasaev, S.; Sokolov, B.; Ivanova, M.; Werner, F. Blockchain-oriented dynamic modelling of smart contract design and execution in the supply chain. Int. J. Prod. Res. 2020, 58, 2184–2199. [Google Scholar] [CrossRef]
- Hasan, H.; AlHadhrami, E.; AlDhaheri, A.; Salaha, K.; Jayaraman, R. Smart contract-based approach for efficient shipment management. Comput. Ind. Eng. 2019, 136, 149–159. [Google Scholar] [CrossRef]
- Vivar, A.L.; Orozco, A.L.S.; Villalba, L.J.G. A security framework for Ethereum smart contracts. Comput. Commun. 2021, 172, 119–129. [Google Scholar] [CrossRef]
- Pranto, T.H.; Noman, A.A.; Mahmud, A.; Bahalul Haque, A.K.M. Blockchain and smart contract for IoT enabled smart agriculture. PeerJ Comput. Sci. 2021, 7, e407. [Google Scholar] [CrossRef]
- Omar, I.A.; Jayaraman, R.; Debe, M.S.; Salah, K.; Yaqoob, I.; Omar, M. Automating procurement contracts in the healthcare supply chain using blockchain smart contracts. IEEE Access 2021, 9, 37397–37409. [Google Scholar] [CrossRef]
- Omar, I.A.; Hasan, H.R.; Jayaraman, R.; Salah, K.; Omar, M. Implementing decentralized auctions using blockchain smart contracts. Technol. Forecast. Soc. Change 2021, 168, 120786. [Google Scholar] [CrossRef]
- Ahmed, M.; Taconet, C.; Ould, M.; Chabridon, S.; Bouzeghoub, A. IoT Data Qualification for a Logistic Chain Traceability Smart Contract. Sensors 2021, 21, 2239. [Google Scholar] [CrossRef]
- Yoo, M.; Won, Y. A study on the transparent price tracing system in supply chain management based on blockchain. Sustainability 2018, 10, 4037. [Google Scholar] [CrossRef] [Green Version]
- Xu, Z.; Zhang, J.; Song, Z.; Liu, Y.; Li, J.; Zhou, J. A scheme for intelligent blockchain-based manufacturing industry supply chain management. Computing 2021, 103, 1771–1790. [Google Scholar] [CrossRef]
- Liu, X.; Muhammad, K.; Lloret, J.; Chen, Y.-W.; Yuan, S.-M. Elastic and cost-effective data carrier architecture for smart contract in blockchain. Future Gener. Comput. Syst. 2019, 100, 590–599. [Google Scholar] [CrossRef]
- De Giovanni, P. Blockchain and smart contracts in supply chain management: A game theoretic model. Int. J. Prod. Econ. 2020, 228, 107855. [Google Scholar] [CrossRef]
- Banerjee, A. Blockchain technology: Supply chain insights from ERP. Adv. Comput. 2018, 111, 69–98. [Google Scholar]
- Prause, G. Smart contracts for smart supply chains. IFAC-PapersOnLine 2019, 52, 2501–2506. [Google Scholar] [CrossRef]
- Li, Z.; Zhou, X.; Wu, K.; Chen, F.-B. Formalization of BPMN based on extended Petri net model. Comput. Sci. 2016, 43, 40–48. [Google Scholar]
- Najem, T.; Perucci, A. Mapping BPMN2 Service Choreographies to Colored Petri Nets. In Proceedings of the International Conference on Software Engineering and Formal Methods, Oslo, Norway, 16–20 September 2019; Springer: Cham, Switzerland, 2019; pp. 85–100. [Google Scholar]
- Sun, T.; Yu, W. A formal verification framework for security issues of blockchain smart contracts. Electronics 2020, 9, 255. [Google Scholar] [CrossRef] [Green Version]
- Hang, L.; Kim, D.H. Reliable task management based on a smart contract for runtime verification of sensing and actuating tasks in IoT environments. Sensors 2020, 20, 1207. [Google Scholar] [CrossRef] [Green Version]
- Singh, A.; Parizi, R.M.; Zhang, Q.; Raymond, C.K.K.; Dehghantanh, A. Blockchain smart contracts formalization: Approaches and challenges to address vulnerabilities. Comput. Secur. 2020, 88, 101654. [Google Scholar] [CrossRef]
- Huh, J.H.; Kim, S.K. Verification plan using neural algorithm blockchain smart contract for secure P2P real estate transactions. Electronics 2020, 9, 1052. [Google Scholar] [CrossRef]
- Osterland, T.; Rose, T. Model checking smart contracts for ethereum. Pervasive Mob. Comput. 2020, 63, 101129. [Google Scholar] [CrossRef]
- Almakhour, M.; Sliman, L.; Samhat, A.E.; Mellouk, A. Verification of smart contracts: A survey. Pervasive Mob. Comput. 2020, 67, 101227. [Google Scholar] [CrossRef]
- Unal, D.; Hammoudeh, M.; Kiraz, M.S. Policy specification and verification for blockchain and smart contracts in 5G networks. ICT Express 2020, 6, 43–47. [Google Scholar] [CrossRef]
- Zhang, S.; Yao, T.; Arthur Sandor, V.K.; Weng, T.H.; Liang, W.; Su, J. A novel blockchain-based privacy-preserving framework for online social networks. Connect. Sci. 2020, 33, 555–575. [Google Scholar] [CrossRef]
- Mackey, T.K.; Miyachi, K.; Fung, D.; Qian, S.; Short, J. Combating health care fraud and abuse: Conceptualization and prototyping study of a blockchain antifraud framework. J. Med. Internet Res. 2020, 22, e18623. [Google Scholar] [CrossRef] [PubMed]
- Nguyen, B.M.; Dao, T.C.; Do, B.L. Towards a blockchain-based certificate authentication system in Vietnam. PeerJ Comput. Sci. 2020, 6, e266. [Google Scholar] [CrossRef] [PubMed] [Green Version]
- Li, X.; Xu, J.; Fan, X.; Wang, Y.; Zhang, Z. Puncturable Signatures and Applications in Proof-of-Stake Blockchain Protocols. IEEE Trans. Inf. Forensics Secur. 2020, 15, 3872–3885. [Google Scholar] [CrossRef]
- Ante, L. Smart Contracts on the Blockchain–A Bibliometric Analysis and Review. Telemat. Inform. 2020, 57, 101519. [Google Scholar] [CrossRef]
- Prashar, D.; Jha, N.; Jha, S.; Joshi, G.P.; Seo, C. Integrating IOT and blockchain for ensuring road safety: An unconventional approach. Sensors 2020, 20, 3296. [Google Scholar] [CrossRef]
- Amato, F.; Cozzolino, G.; Moscato, F.; Moscato, V.; Xhafa, F. A Model for Verification and Validation of Law Compliance of Smart-Contracts in IoT Environment. IEEE Trans. Ind. Inform. 2021, 17, 7752–7759. [Google Scholar] [CrossRef]
- Wan, W.; Bentahar, J.; Hamza, A.B. Model checking epistemic–probabilistic logic using probabilistic interpreted systems. Knowl.-Based Syst. 2013, 50, 279–295. [Google Scholar] [CrossRef]
- Corradini, F.; Marcelletti, A.; Morichetta, A.; Polini, A.; Re, B.; Scala, E.; Tiezzi, F. Model-driven engineering for multi-party business processes on multiple blockchains. Blockchain Res. Appl. 2021, 2, 100018. [Google Scholar] [CrossRef]
- Liang, C.; Feng, L.; Zhengyi, X.; Hao, D. Blockchain: Research on the Application Progress of the Internet of Things. Internet Things Technol. 2018, 8, 100–103. [Google Scholar]
- Aslam, J.; Saleem, A.; Khan, N.T.; Kim, B.Y. Factors influencing blockchain adoption in supply chain management practices: A study based on the oil industry. J. Innov. Knowl. 2021, 6, 124–134. [Google Scholar] [CrossRef]
- López-Pintado, O.; García-Bañuelos, L.; Dumas, M.; Weber, I.; Ponomarev, A. Caterpillar: A business process execution engine on the Ethereum blockchain. Softw. Pract. Exp. 2019, 49, 1162–1193. [Google Scholar] [CrossRef] [Green Version]









| Features | Public Blockchain | Private Blockchain | Consortium Blockchain |
|---|---|---|---|
| Accessibility | Anyone | Central Incharge | Multi-central Incharge |
| Ledger Keeper | Anyone | Central Incharge | Permissioned identities |
| Consensus Mechanism | PoW/PoS | Solo/PBFT | Distributed consensus algorithm |
| Incentive Mechanism | Need | Optional | No |
| Transaction Speed | Slow | Lighter & Faster | Lighter & Faster |
| Centralization Degree | Decentralization | Weak Centralization | Strong Centralization |
| Representative | Bitcoin/Ethereum | Ark Blockchain | R3/Hyperledger Fabric |
| Programming Language | C++/Solidity | C++/Java | Java/Go |
| Main features in supply chain management [43] | Transparency/Traceability/Cyber-security | Traceability/Real-time information sharing/Visibility | Traceability/Real-time information sharing/Flexibility |
| Sequential event conversion | |
![]() | ![]() |
| Conditional branch event conversion | |
![]() | ![]() |
| Cyclic event conversion | |
![]() | ![]() |
| State | Ranges |
|---|---|
| CurrentSup | {0,1,2,…,m} |
| EndSup | {0,1} |
| CurrentTrans | {0,1,2,…,n} |
| EndTrans | {0,1} |
| CurrentPur | {0,1,2,…,u} |
| EndPur | {0,1} |
| CurrentPSC | {0,1,2,…,v} |
| EndPSC | {0,1} |
| N | Property | ||
|---|---|---|---|
| Nodes | Time Per Iter: (s) | Probability (False) | |
| 2 | 14 | <0.00001 | 0.072 |
| 4 | 30 | <0.00001 | 0.081 |
| 8 | 57 | 0.00001 | 0.113 |
| 16 | 105 | 0.00001 | 0.141 |
| 32 | 197 | 0.00002 | 0.179 |
| 64 | 377 | 0.00001 | 0.239 |
| 128 | 729 | 0.00002 | 0.285 |
| 256 | 1437 | 0.00012 | 0.373 |
| 512 | 2849 | 0.00004 | 0.490 |
| Set 1 | Set 2 | Set 3 | |
|---|---|---|---|
| Property 1 | 27.1% | 13.9% | 8.3% |
| Property 2 | 14.3% | 12.5% | 7.1% |
| Property 3 | 14.3% | 12.5% | 7.1% |
| Property 4 | 100% | 100% | 100% |
| Property 5 | 26% | 14.8% | 10.6% |
| Property 6 | 19.6% | 9.3% | 7.8% |
| Property 7 | 19.6% | 9.3% | 7.8% |
Publisher’s Note: MDPI stays neutral with regard to jurisdictional claims in published maps and institutional affiliations. |
© 2022 by the authors. Licensee MDPI, Basel, Switzerland. This article is an open access article distributed under the terms and conditions of the Creative Commons Attribution (CC BY) license (https://creativecommons.org/licenses/by/4.0/).
Share and Cite
Liu, Y.; Zhou, Z.; Yang, Y.; Ma, Y. Verifying the Smart Contracts of the Port Supply Chain System Based on Probabilistic Model Checking. Systems 2022, 10, 19. https://doi.org/10.3390/systems10010019
Liu Y, Zhou Z, Yang Y, Ma Y. Verifying the Smart Contracts of the Port Supply Chain System Based on Probabilistic Model Checking. Systems. 2022; 10(1):19. https://doi.org/10.3390/systems10010019
Chicago/Turabian StyleLiu, Yang, Ziyu Zhou, Yongsheng Yang, and Yan Ma. 2022. "Verifying the Smart Contracts of the Port Supply Chain System Based on Probabilistic Model Checking" Systems 10, no. 1: 19. https://doi.org/10.3390/systems10010019
APA StyleLiu, Y., Zhou, Z., Yang, Y., & Ma, Y. (2022). Verifying the Smart Contracts of the Port Supply Chain System Based on Probabilistic Model Checking. Systems, 10(1), 19. https://doi.org/10.3390/systems10010019






