Metabolites Produced by Kaistia sp. 32K Promote Biofilm Formation in Coculture with Methylobacterium sp. ME121
Abstract
1. Introduction
2. Materials and Methods
2.1. Bacterial Strains and Growth Media
2.2. Monoculture and Coculture Conditions
2.3. Preparation of the Culture Supernatant of Strain ME121
2.4. Preparation of Culture Supernatant of Strains 32K and K. adipata
2.5. Biofilm Formation Assay
2.6. Swimming Speed of Strain ME121 and M. radiotolerans in the Culture Supernatant of Strain 32K and K. Adipata
2.7. Statistical Analysis
3. Results
3.1. Biofilm Formation during the Coculture of Bacterial Strains ME121 and 32K
3.2. Biofilm Formation Using Culture Supernatants of Strains ME121 and 32K
3.3. Relationship between Growth and Biofilm Formation during Coculture of Strains ME121 and 32K
3.4. Comparison of the Amount of Biofilm Formed due to Difference in Initial Inoculum Size
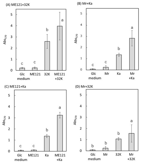
3.5. Comparison of Biofilm Formation during Coculture with Another Methylobacterium and Kaistia Strain
3.6. Comparison of Swimming Speed during Coculture with Another Methylobacterium and Kaistia Bacteria
4. Discussion
Relationship between Motility Acceleration of Strain ME121 and Biofilm Formation
Supplementary Materials
Author Contributions
Funding
Acknowledgments
Conflicts of Interest
Ethical Approval
References
- Shimizu, T.; Takaya, N.; Nakamura, A. An L-glucose catabolic pathway in Paracoccus species 43P. J. Biol. Chem. 2012, 287, 40448–40456. [Google Scholar] [CrossRef] [PubMed]
- Fujinami, S.; Takeda-Yano, K.; Onodera, T.; Satoh, K.; Shimizu, T.; Wakabayashi, Y.; Narumi, I.; Nakamura, A.; Ito, M. Draft Genome Sequence of Methylobacterium sp. ME121, Isolated from Soil as a Mixed Single Colony with Kaistia sp. 32K. Genome Announc. 2015, 3, e01005-15. [Google Scholar] [CrossRef] [PubMed]
- Green, P.N.; Ardley, J.K. Review of the genus Methylobacterium and closely related organisms: A proposal that some Methylobacterium species be reclassified into a new genus, Methylorubrum Gen. Nov. Int. J. Syst. Evol. Microbiol. 2018, 68, 2727–2748. [Google Scholar] [CrossRef] [PubMed]
- Kovaleva, J.; Degener, J.E.; van der Mei, H.C. Methylobacterium and its role in health care-associated infection. J. Clin. Microbiol. 2014, 52, 1317–1321. [Google Scholar] [CrossRef] [PubMed]
- Sanders, J.W.; Martin, J.W.; Hooke, M.; Hooke, J. Methylobacterium mesophilicum infection: Case report and literature review of an unusual opportunistic pathogen. Clin. Infect. Dis. 2000, 30, 936–938. [Google Scholar] [CrossRef] [PubMed]
- Im, W.T.; Yokota, A.; Kim, M.K.; Lee, S.T. Kaistia adipata gen. nov., sp. nov., a novel alpha-proteobacterium. J. Gen. Appl. Microbiol. 2004, 50, 249–254. [Google Scholar] [CrossRef][Green Version]
- Jin, L.; Kim, K.K.; Lee, H.G.; Ahn, C.Y.; Oh, H.M. Kaistia defluvii sp. nov., isolated from river sediment. Int. J. Syst. Evol. Microbiol. 2012, 62, 2878–2882. [Google Scholar] [CrossRef] [PubMed]
- Weon, H.Y.; Lee, C.M.; Hong, S.B.; Kim, B.Y.; Yoo, S.H.; Kwon, S.W.; Go, S.J. Kaistia soli sp. nov., isolated from a wetland in Korea. Int. J. Syst. Evol. Microbiol. 2008, 58, 1522–1524. [Google Scholar] [CrossRef]
- Glaeser, S.P.; Galatis, H.; Martin, K.; Kampfer, P. Kaistia hirudinis sp. nov., isolated from the skin of Hirudo verbana. Int. J. Syst. Evol. Microbiol. 2013, 63, 3209–3213. [Google Scholar] [CrossRef]
- Usui, Y.; Wakabayashi, Y.; Shimizu, T.; Tahara, Y.O.; Miyata, M.; Nakamura, A.; Ito, M. A factor produced by Kaistia sp. 32K accelerated the motility of Methylobacterium sp. ME121. Biomolecules 2020, 10, 618. [Google Scholar] [CrossRef]
- Fulaz, S.; Vitale, S.; Quinn, L.; Casey, E. Nanoparticle-Biofilm Interactions: The Role of the EPS Matrix. Trends Microbiol. 2019, 27, 915–926. [Google Scholar] [CrossRef]
- Flemming, H.C.; Wingender, J. The biofilm matrix. Nat. Rev. Microbiol. 2010, 8, 623–633. [Google Scholar] [CrossRef] [PubMed]
- Donlan, R.M.; Costerton, J.W. Biofilms: Survival mechanisms of clinically relevant microorganisms. Clin. Microbiol. Rev. 2002, 15, 167–193. [Google Scholar] [CrossRef] [PubMed]
- Colagiorgi, A.; Di Ciccio, P.; Zanardi, E.; Ghidini, S.; Ianieri, A. A look inside the Listeria monocytogenes biofilms extracellular matrix. Microorganisms 2016, 4, 22. [Google Scholar] [CrossRef] [PubMed]
- Petrova, O.E.; Sauer, K. Escaping the biofilm in more than one way: Desorption, detachment or dispersion. Curr. Opin. Microbiol. 2016, 30, 67–78. [Google Scholar] [CrossRef]
- Kilmury, S.L.N.; Burrows, L.L. The Pseudomonas aeruginosa PilSR two-component system regulates both twitching and swimming motilities. mBio 2018, 9, e01310-18. [Google Scholar] [CrossRef]
- Dufrene, Y.F.; Persat, A. Mechanomicrobiology: How bacteria sense and respond to forces. Nat. Rev. Microbiol. 2020, 18, 227–240. [Google Scholar] [CrossRef]
- Ito, M.; Hicks, D.B.; Henkin, T.M.; Guffanti, A.A.; Powers, B.D.; Zvi, L.; Uematsu, K.; Krulwich, T.A. MotPS is the stator-force generator for motility of alkaliphilic Bacillus, and its homologue is a second functional Mot in Bacillus subtilis. Mol. Microbiol. 2004, 53, 1035–1049. [Google Scholar] [CrossRef] [PubMed]
- Ito, H.; Iizuka, H. Taxonomic Studies on a Radio-resistant Pseudomonas. Agric. Biol. Chem. 1971, 35, 1566–1571. [Google Scholar] [CrossRef][Green Version]
- Bachmann, B.J. Pedigrees of some mutant strains of Escherichia coli K-12. Bacteriol. Rev. 1972, 36, 525–557. [Google Scholar] [CrossRef]
- Holloway, B.W. Genetic recombination in Pseudomonas aeruginosa. J. Gen. Microbiol. 1955, 13, 572–581. [Google Scholar] [CrossRef] [PubMed]
- Tola, Y.H.; Fujitani, Y.; Tani, A. Bacteria with natural chemotaxis towards methanol revealed by chemotaxis fishing technique. Biosci. Biotechnol. Biochem. 2019, 83, 2163–2171. [Google Scholar] [CrossRef] [PubMed]
- Takahashi, Y.; Koyama, K.; Ito, M. Suppressor mutants from MotB-D24E and MotS-D30E in the flagellar stator complex of Bacillus subtilis. J. Gen. Appl. Microbiol. 2014, 60, 131–139. [Google Scholar] [CrossRef] [PubMed]
- Leake, M.C.; Chandler, J.H.; Wadhams, G.H.; Bai, F.; Berry, R.M.; Armitage, J.P. Stoichiometry and turnover in single, functioning membrane protein complexes. Nature 2006, 443, 355–358. [Google Scholar] [CrossRef] [PubMed]
- Parsek, M.R.; Greenberg, E.P. Sociomicrobiology: The connections between quorum sensing and biofilms. Trends Microbiol. 2005, 13, 27–33. [Google Scholar] [CrossRef] [PubMed]
- Whiteley, M.; Diggle, S.P.; Greenberg, E.P. Progress in and promise of bacterial quorum sensing research. Nature 2017, 551, 313–320. [Google Scholar] [CrossRef] [PubMed]
- Laganenka, L.; Colin, R.; Sourjik, V. Chemotaxis towards autoinducer 2 mediates autoaggregation in Escherichia coli. Nat. Commun. 2016, 7, 12984. [Google Scholar] [CrossRef]
- García-Coca, M.; Rodríguez-Sevilla, G.; Pérez-Domingo, A.; Aguilera-Correa, J.-J.; Esteban, J.; Muñoz-Egea, M.-C. Inhibition of Mycobacterium abscessus, M. chelonae, and M. fortuitum biofilms by Methylobacterium sp. J. Antibiot. 2020, 73, 40–47. [Google Scholar] [CrossRef]
- Onaka, H.; Mori, Y.; Igarashi, Y.; Furumai, T. Mycolic acid-containing bacteria induce natural-product biosynthesis in Streptomyces species. Appl. Environ. Microbiol. 2011, 77, 400–406. [Google Scholar] [CrossRef]








© 2020 by the authors. Licensee MDPI, Basel, Switzerland. This article is an open access article distributed under the terms and conditions of the Creative Commons Attribution (CC BY) license (http://creativecommons.org/licenses/by/4.0/).
Share and Cite
Usui, Y.; Shimizu, T.; Nakamura, A.; Ito, M. Metabolites Produced by Kaistia sp. 32K Promote Biofilm Formation in Coculture with Methylobacterium sp. ME121. Biology 2020, 9, 287. https://doi.org/10.3390/biology9090287
Usui Y, Shimizu T, Nakamura A, Ito M. Metabolites Produced by Kaistia sp. 32K Promote Biofilm Formation in Coculture with Methylobacterium sp. ME121. Biology. 2020; 9(9):287. https://doi.org/10.3390/biology9090287
Chicago/Turabian StyleUsui, Yoshiaki, Tetsu Shimizu, Akira Nakamura, and Masahiro Ito. 2020. "Metabolites Produced by Kaistia sp. 32K Promote Biofilm Formation in Coculture with Methylobacterium sp. ME121" Biology 9, no. 9: 287. https://doi.org/10.3390/biology9090287
APA StyleUsui, Y., Shimizu, T., Nakamura, A., & Ito, M. (2020). Metabolites Produced by Kaistia sp. 32K Promote Biofilm Formation in Coculture with Methylobacterium sp. ME121. Biology, 9(9), 287. https://doi.org/10.3390/biology9090287

