The Co-Administration of Fluoroquinolones Strongly Increases the Anticancer Efficacy of Carboplatin Treatment—Novel Insights for Breast Cancer Chemotherapy from the Canine Mammary Tumor Model
Simple Summary
Abstract
1. Introduction
2. Materials and Methods
2.1. Histological Analysis
2.2. Primary Cell Culture Protocols
2.3. xCELLigence System Cytotoxicity Assays
2.4. MTT Cytotoxicity Assay
2.5. Statistical Analysis
3. Results
3.1. CMTs Exhibit Different Histological Subtypes
3.2. Enrofloxacin Potentiates the Antiproliferative Activity of Carboplatin in CMTs
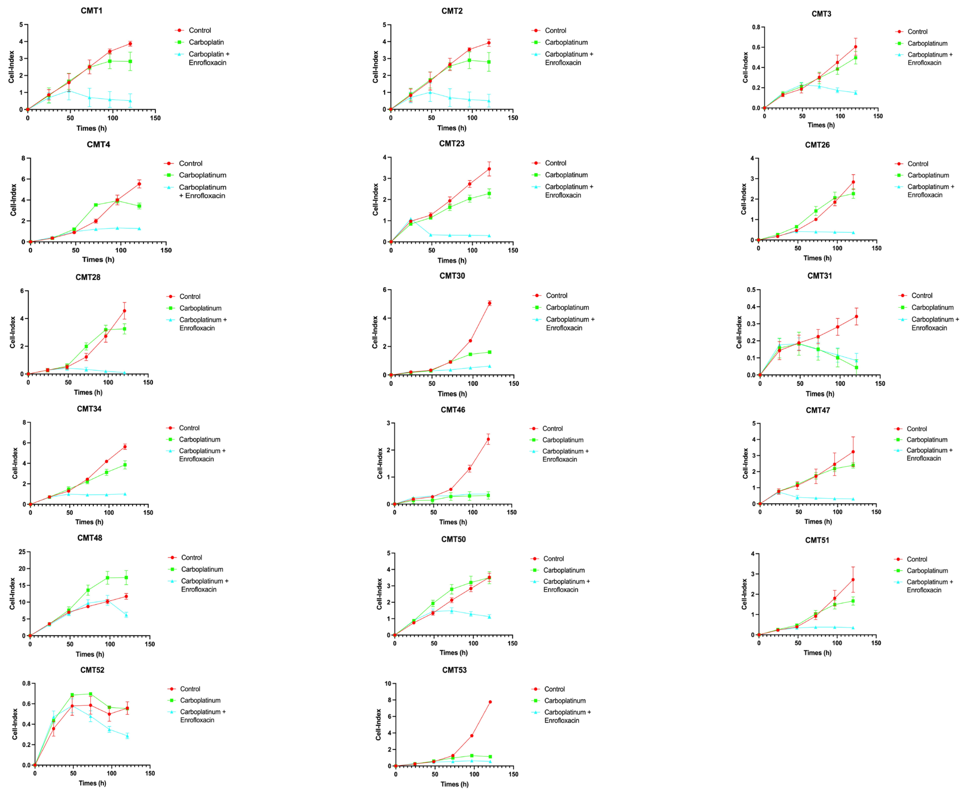
3.3. Enrofloxacin Increases the Antiproliferative Effect of Carboplatin in an Expanded Set of CMTs
3.4. Carboplatin and Enrofloxacin Act Synergistically Exerting a Combined Antiproliferative Effect
4. Discussion
5. Conclusions
Supplementary Materials
Author Contributions
Funding
Institutional Review Board Statement
Informed Consent Statement
Data Availability Statement
Acknowledgments
Conflicts of Interest
References
- Giaquinto, A.N.; Sung, H.; Miller, K.D.; Kramer, J.L.; Newman, L.A.; Minihan, A.; Jemal, A.; Siegel, R.L. Breast Cancer Statistics, 2022. CA Cancer J. Clin. 2022, 72, 524–541. [Google Scholar] [CrossRef] [PubMed]
- La Verde, N.; Collovà, E.; Blasi, L.; Pinotti, G.; Palumbo, R.; Bonotto, M.; Garrone, O.; Brunello, A.; Rimanti, A.; Bareggi, C.; et al. Overall Survival in Metastatic Breast Cancer Patients in the Third Millennium: Results of the COSMO Study. Clin. Breast Cancer 2021, 21, e489–e496. [Google Scholar] [CrossRef] [PubMed]
- Elston, C.W.; Ellis, O. Pathological prognostic factors in breast cancer. I. The value of histological grade in breast cancer: Experience from a large study with long-term follow-up. Histopathology 1991, 19, 403–410. [Google Scholar] [CrossRef]
- Karayannopoulou, M.; Kaldrymidou, E.; Constantinidis, T.C.; Dessiris, A. Adjuvant Post-operative Chemotherapy in Bitches with Mammary Cancer. J. Vet. Med. Ser. A 2001, 48, 85–96. [Google Scholar] [CrossRef]
- Nieto, A.; Pérez-Alenza, M.D.; Del Castillo, N.; Tabanera, E.; Castaño, M.; Peña, L. BRCA1 expression in canine mammary dysplasias and tumours: Relationship with prognostic variables. J. Comp. Pathol. 2003, 128, 260–268. [Google Scholar] [CrossRef] [PubMed]
- Reis, A.L.; Carvalheira, J.; Schmitt, F.C.; Gartner, F. Immunohistochemical study of the expression of E-cadherin in canine mammary tumours. Vet. Rec. 2003, 152, 621–624. [Google Scholar] [CrossRef]
- Peña, L.; De Andrés, P.J.; Clemente, M.; Cuesta, P.; Pérez-Alenza, M.D. Prognostic Value of Histological Grading in Noninflammatory Canine Mammary Carcinomas in a Prospective Study With Two-Year Follow-Up: Relationship With Clinical and Histological Characteristics. Vet. Pathol. 2013, 50, 94–105. [Google Scholar] [CrossRef] [PubMed]
- Sorenmo, K. Canine mammary gland tumors. Vet. Clin. N. Am. Small Anim. Pract. 2003, 33, 573–596. [Google Scholar] [CrossRef] [PubMed]
- Zappuli, V.; Peña, L.; Rasoto, R.; Goldschmidt, M.H.; Gama, A.; Scruggs, J.L.; Kiupel, M. Surgical Pathology of Tumors of Domestic Animals. In Mammary Tumors; Davis-Thpmpson DVM Foundation: Gurnee, IL, USA, 2018; Volume 2. [Google Scholar]
- Gray, M.; Meehan, J.; Martínez-Pérez, C.; Kay, C.; Turnbull, A.K.; Morrison, L.R.; Pang, L.Y.; Argyle, D. Naturally-Occurring Canine Mammary Tumors as a Translational Model for Human Breast Cancer. Front. Oncol. 2020, 10, 617. [Google Scholar] [CrossRef] [PubMed]
- Strandberg, J.D.; Goodman, D.G. Animal model of human disease: Canine mammary neoplasia. Am. J. Pathol. 1974, 75, 225–228. [Google Scholar] [PubMed] [PubMed Central]
- Owen, L.N. A comparative study of canine and human breast cancer. Investig. Cell Pathol. 1979, 2, 257–275. [Google Scholar]
- Sleeckx, N.; de Rooster, H.; Kroeze, E.J.B.V.; van Ginneken, C.; van Brantegem, L. Canine mammary tumours, an Overview. Reprod. Domest. Anim. 2011, 46, 1112–1131. [Google Scholar] [CrossRef] [PubMed]
- Kim, T.M.; Yang, I.S.; Seung, B.J.; Lee, S.; Kim, D.; Ha, Y.J.; Seo, M.-K.; Kim, K.-K.; Kim, H.S.; Cheong, J.-H.; et al. Cross-species oncogenic signatures of breast cancer in canine mammary tumors. Nat. Commun. 2020, 11, 3616. [Google Scholar] [CrossRef] [PubMed]
- Razavirad, A.; Rismanchi, S.; Mortazavi, P.; Muhammadnejad, A. Canine Mammary Tumors as a Potential Model for Human Breast Cancer in Comparative Oncology. Vet. Med. Int. 2024, 2024, 9319651. [Google Scholar] [CrossRef]
- Watson, J.; Wang, T.; Ho, K.L.; Feng, Y.; Dobbin, K.K.; Zhao, S. Human basal-like breast cancer is represented by one of the two mammary tumor subtypes in dogs. bioRxiv 2023. [Google Scholar] [CrossRef] [PubMed]
- Kwon, J.Y.; Moskwa, N.; Kang, W.; Fan, T.M.; Lee, C. Canine as a Comparative and Translational Model for Human Mammary Tumor. J. Breast Cancer 2023, 26, 1–13. [Google Scholar] [CrossRef]
- Gherman, L.M.; Chiroi, P.; Nuţu, A.; Bica, C.; Berindan-Neagoe, I. Profiling canine mammary tumors: A potential model for studying human breast cancer. Vet. J. 2024, 303, 106055. [Google Scholar] [CrossRef] [PubMed]
- Gardner, H.L.; Fenger, J.M.; London, C.A. Dogs as a model for cancer. Annu. Rev. Anim. Biosci. 2016, 4, 199–222. [Google Scholar] [CrossRef] [PubMed]
- Khanna, C.; Lindblad-Toh, K.; Vail, D.; London, C.; Bergman, P.; Barber, L.; Breen, M.; Kitchell, B.; McNeil, E.; Modiano, J.F.; et al. The dog as a cancer model. Nat. Biotechnol. 2006, 24, 1065–1066. [Google Scholar] [CrossRef] [PubMed]
- Nguyen, F.; Peña, L.; Ibisch, C.; Loussouarn, D.; Gama, A.; Rieder, N.; Belousov, A.; Campone, M.; Abadie, J. Canine invasive mammary carcinomas as models of human breast cancer. Part 1: Natural history and prognostic factors. Breast Cancer Res. Treat. 2018, 167, 635–648. [Google Scholar] [CrossRef] [PubMed]
- Vail, D.M.; MacEwen, E.G. Spontaneously occurring tumors of companion animals as models for human cancer. Cancer Investig. 2000, 18, 781–792. [Google Scholar] [CrossRef] [PubMed]
- Pinho, S.S.; Carvalho, S.; Cabral, J.; Reis, C.A.; Gärtner, F. Canine tumors: A spontaneous animal model of human carcinogenesis. Transl. Res. 2012, 159, 165–172. [Google Scholar] [CrossRef]
- Rowell, J.L.; McCarthy, D.O.; Alvarez, C.E. Dog models of naturally occurring cancer. Trends Mol. Med. 2011, 17, 380–388. [Google Scholar] [CrossRef] [PubMed]
- Alvarez, C.E. Naturally occurring cancers in dogs: Insights for translational genetics and medicine. ILAR J. 2014, 55, 16–45. [Google Scholar] [CrossRef] [PubMed]
- Knapp, D.W.; Waters, D.J. Opinion. Mol. Med. Today 1997, 3, 8–11. [Google Scholar] [CrossRef] [PubMed]
- Abdelmegeed, S.M.; Mohammed, S. Canine mammary tumors as a model for human disease (Review). Oncol. Lett. 2018, 15, 8195–8205. [Google Scholar] [CrossRef] [PubMed]
- Vidović, V.; Davidov, I.; Ružić, Z.; Erdeljan, M.; Vukomanović, A.G.; Blagojević, B. Androgen Receptors in Human Breast Cancer and Female Canine Mammary Tumors. Molecules 2025, 30, 1411. [Google Scholar] [CrossRef] [PubMed]
- Morrison, A.H.; Mason, N.J.; Paterson, Y. Development Strategies for Animal Medical Therapeutics. In Academic Entrepreneurship for Medical and Health Sciences Report; Children’s Hospital of Philadelphia (CHOP) Research Institute: Philadelphia, PA, USA, 2019. [Google Scholar]
- Creevy, K.E.; Akey, J.M.; Kaeberlein, M.; Promislow, D.E.L.; The Dog Aging Project Consortium. An open science study of ageing in companion dogs. Nature 2022, 602, 51–57. [Google Scholar] [CrossRef] [PubMed]
- Ferreira, T.; Dias, F.; Gama, A.; Mano, J.F.; Oliveira, P.A.; Medeiros, R. Hallmarks of cancer in canine mammary tumors: Insights into a potential model for human triple-negative breast cancer. Crit. Rev. Oncol./Hematol 2026, 220, 105184. [Google Scholar] [CrossRef] [PubMed]
- Bergholtz, H.; Lien, T.; Lingaas, F.; Sørlie, T. Comparative analysis of the molecular subtype landscape in canine and human mammary gland tumors. J. Mammary Gland Biol. Neoplasia 2022, 27, 171–183. [Google Scholar] [CrossRef] [PubMed]
- Kraus, C.; Snyder-Mackler, N.; Promislow, D.E.L. How size and genetic diversity shape lifespan across breeds of purebred dogs. Geroscience 2023, 45, 627–643. [Google Scholar] [CrossRef] [PubMed]
- Uva, P.; Aurisicchio, L.; Watters, J.; Loboda, A.; Kulkarni, A.; Castle, J.; Palombo, F.; Viti, V.; Mesiti, G.; Zappulli, V.; et al. Comparative expression pathway analysis of human and canine mammary tumors. BMC Genom. 2009, 10, 135. [Google Scholar] [CrossRef] [PubMed]
- Goebel, K.; Merner, N.D. A monograph proposing the use of canine mammary tumours as a model for the study of hereditary breast cancer susceptibility genes in humans. Vet. Med. Sci. 2017, 3, 51–62. [Google Scholar] [CrossRef] [PubMed]
- Mackenzie, J.S.; Jeggo, M. The one health approach-why is it so important? Trop. Med. Infect. Dis. 2019, 4, 88. [Google Scholar] [CrossRef] [PubMed]
- Gibbs, E.P. The evolution of One Health: A decade of progress and challenges for the future. Vet. Rec. 2014, 174, 85–91. [Google Scholar] [CrossRef] [PubMed]
- Würth, R.; Thellung, S.; Bajetto, A.; Mazzanti, M.; Florio, T.; Barbieri, F. Drug-repositioning opportunities for cancer therapy: Novel molecular targets for known compounds. Drug Discov. Today 2016, 21, 190–199. [Google Scholar] [CrossRef] [PubMed]
- Bongiovanni, L.; Andriessen, A.; Silvestri, S.; Porcellato, I.; Brachelente, C.; de Bruin, A. H2AFZ: A Novel Prognostic Marker in Canine Melanoma and a Predictive Marker for Resistance to CDK4/6 Inhibitor Treatment. Front. Vet. Sci. 2021, 8, 705359. [Google Scholar] [CrossRef] [PubMed]
- Nowak, M.; Madej, J.A.; Dziegiel, P. Correlation between MCM-3 protein expression and grade of malignancy in mammary adenocarcinomas and soft tissue fibrosarcomas in dogs. Vivo 2009, 23, 49–53. [Google Scholar] [PubMed]
- Ishino, H.; Hara, Y.; Takekoshi, S.; Teshima, T.; Teramoto, A.; Osamura, R.Y.; Tagawa, M. Ki-67 and minichromosome maintenance-7 (MCM7) expression in canine pituitary corticotroph adenomas. Domest. Anim. Endocrinol. 2011, 41, 207–213. [Google Scholar] [CrossRef] [PubMed]
- Scott, M.C.; Sarver, A.L.; Gavin, K.J.; Thayanithy, V.; Getzy, D.M.; Newman, R.A.; Cutter, G.R.; Lindblad-Toh, K.; Kisseberth, W.C.; Hunter, L.E.; et al. Molecular subtypes of osteosarcoma identified by reducing tumor heterogeneity through an interspecies comparative approach. Bone 2011, 49, 356–367. [Google Scholar] [CrossRef] [PubMed]
- Thayanithy, V.; Park, C.W.; Sarver, A.L.; Kartha, R.V.; Korpela, D.M.; Graef, A.J.; Steer, C.J.; Modiano, J.F.; Subramanian, S. Combinatorial Treatment of DNA and Chromatin-Modifying Drugs Cause Cell Death in Human and Canine Osteosarcoma Cell Lines. PLoS ONE 2012, 7, e43720. [Google Scholar] [CrossRef] [PubMed]
- Berlato, D.; Stewart, J.; Newton, R.; Maglennon, G.A.; Monti, P.; Flindall, A.; Murphy, S. Evaluation of minichromosome maintenance protein 7 as a prognostic marker in canine cutaneous mast cell tumours. Vet. Comp. Oncol. 2012, 10, 135–142. [Google Scholar] [CrossRef] [PubMed]
- Hsieh, C.H.; Yeh, H.N.; Huang, C.T.; Wang, W.H.; Hsu, W.M.; Huang, H.C.; Juan, H.-F. BI-2536 Promotes Neuroblastoma Cell Death via Minichromosome Maintenance Complex Components 2 and 10. Pharmaceuticals 2022, 15, 37. [Google Scholar] [CrossRef]
- Garbati, P.; Barbieri, R.; Cangelosi, D.; Zanon, C.; Costa, D.; Eva, A.; Thellung, S.; Calderoni, M.; Baldini, F.; Tonini, G.P.; et al. Mcm2 and carbonic anhydrase 9 are novel potential targets for neuroblastoma pharmacological treatment. Biomedicines 2020, 8, 471. [Google Scholar] [CrossRef]
- Samir, M.; Issac, M.; Yousef, E.; Ramzan Tahir, M.; Gaboury, L.A. MCM2, MCM4, and MCM6 in Breast Cancer: Clinical Utility in Diagnosis and Prognosis 1,2. Neoplasia 2019, 21, 1015–1035. [Google Scholar]
- Mandal, M.; Chowdhury, A.R.; Mukhopadhyay, S. MCM2 Expression in Different Molecular Subtypes of Epithelial Breast Cancers and its Association with Clinicopathological Parameters and Ki-67 Expression. J. Clin. Diagn. Res. 2021, 15, EC44–EC47. [Google Scholar] [CrossRef]
- Sun, Y.; Cheng, Z.; Liu, S. MCM2 in human cancer: Functions, mechanisms, and clinical significance. Mol. Med. 2022, 28, 128. [Google Scholar] [CrossRef] [PubMed]
- Abe, S.; Yamamoto, K.; Kurata, M.; Abe-Suzuki, S.; Horii, R.; Akiyama, F.; Kitagawa, M. Targeting MCM2 function as a novel strategy for the treatment of highly malignant breast tumors. Oncotarget 2015, 6, 34892–34909. [Google Scholar] [CrossRef]
- Yousef, E.M.; Furrer, D.; Laperriere, D.L.; Tahir, M.R.; Mader, S.; DIorio, C.; Gaboury, L.A. MCM2: An alternative to Ki-67 for measuring breast cancer cell proliferation. Mod. Pathol. 2017, 30, 682–697. [Google Scholar] [CrossRef] [PubMed]
- Yadav, V.; Talwar, P. Repositioning of fluoroquinolones from antibiotic to anti-cancer agents: An underestimated truth. Biomed. Pharmacother. 2019, 111, 934–946. [Google Scholar] [CrossRef] [PubMed]
- Beberok, A.; Wrześniok, D.; Rok, J.; Rzepka, Z.; Respondek, M.; Buszman, E. Ciprofloxacin triggers the apoptosis of human triple-negative breast cancer MDA-MB-231 cells via the p53/Bax/Bcl-2 signaling pathway. Int. J. Oncol. 2018, 52, 1727–1737. [Google Scholar] [CrossRef] [PubMed]
- Kassab, A.E.; Gomaa, R.M.; Gedawy, E.M. Drug repurposing of fluoroquinolones as anticancer agents in 2023. RSC Adv. 2024, 14, 37114–37130. [Google Scholar] [CrossRef]
- Nowakowska, J.; Radomska, D.; Czarnomysy, R.; Marciniec, K. Recent Development of Fluoroquinolone Derivatives as Anticancer Agents. Molecules 2024, 29, 3538. [Google Scholar] [CrossRef] [PubMed]
- Schmid, K.L. Fluoroquinolones are a potent form of chemotherapy. Clin. Exp. Optom. 2021, 104, 412–416. [Google Scholar] [CrossRef] [PubMed]
- Huang, C.Y.; Yang, J.L.; Chen, J.J.; Tai, S.B.; Yeh, Y.H.; Liu, P.F.; Lin, M.-W.; Chung, C.-L.; Chen, C.-L. Fluoroquinolones suppress tgf-β and pma-induced mmp-9 production in cancer cells: Implications in repurposing quinolone antibiotics for cancer treatment. Int. J. Mol. Sci. 2021, 22, 11602. [Google Scholar] [CrossRef] [PubMed]
- Avallone, G.; Rasotto, R.; Chambers, J.K.; Miller, A.D.; Behling-Kelly, E.; Monti, P.; Berlato, D.; Valenti, P.; Roccabianca, P. Review of Histological Grading Systems in Veterinary Medicine. Vet. Pathol. 2021, 58, 809–828. [Google Scholar] [CrossRef] [PubMed]
- Martinez-Serra, J.; Gutierrez, A.; Muñoz-Capó, S.; Navarro-Palou, M.; Ros, T.; Amat, J.C.; Lopez, B.; Marcus, T.F.; Fueyo, L.; Suquia, A.G.; et al. xCELLcelligence system for real-time label-free monitoring of growth and viability of cell lines from hematological malignancies. OncoTargets Ther. 2014, 7, 985–994. [Google Scholar] [CrossRef] [PubMed]
- Hamidi, H.; Lilja, J.; Ivaska, J. Using xCELLigence RTCA Instrument to Measure Cell Adhesion. Bio-Protocol 2017, 7, e2646. [Google Scholar] [CrossRef] [PubMed]
- Kho, D.; MacDonald, C.; Johnson, R.; Unsworth, C.P.; O’Carroll, S.J.; du Mez, E.; Angel, C.E.; Graham, E.S. Application of xCELLigence RTCA biosensor technology for revealing the profile and window of drug responsiveness in real time. Biosensors 2015, 5, 199–222. [Google Scholar] [CrossRef] [PubMed]
- Chou, T.C. Drug combination studies and their synergy quantification using the chou-talalay method. Cancer Res. 2010, 70, 440–446. [Google Scholar] [CrossRef] [PubMed]
- Chou, T.C. Theoretical basis, experimental design, and computerized simulation of synergism and antagonism in drug combination studies. Pharmacol. Rev. 2006, 58, 621–681. [Google Scholar] [CrossRef] [PubMed]
- Valdivia, G.; Alonso-Diez, Á.; Pérez-Alenza, D.; Peña, L. From Conventional to Precision Therapy in Canine Mammary Cancer: A Comprehensive Review. Front. Vet. Sci. 2021, 8, 623800. [Google Scholar] [CrossRef] [PubMed]
- Bird, R.C.; Smith, B.F. Comparative Genetics of Canine and Human Cancers. Vet. Sci. 2025, 12, 875. [Google Scholar] [CrossRef] [PubMed]






| Samples | Histology |
|---|---|
| CMT 1 | Grade I simple carcinoma and tubulo-papillary carcinoma |
| CMT 2 | Grade I complex carcinoma |
| CMT 3 | Grade I complex carcinoma and papillary carcinoma |
| CMT 4 | Benign mixed tumor and lobular hyperplasia |
| CMT 23 | Benign mixed tumor |
| CMT 26 | Grade II adenosquamous carcinoma |
| CMT 28 | Grade II complex carcinoma |
| CMT 30 | Complex adenoma |
| CMT 31 | Benign mixed tumor associated with hyperplasia |
| CMT 34 | Grade I simple tubular adenocarcinoma |
| CMT 46 | Grade I complex adenocarcinoma with lobular hyperplasia |
| CMT 47 | Grade I intraductal papillary carcinoma and duct ectasia |
| CMT 48 | Grade II simple tubular carcinoma |
| CMT 50 | Grade II adenosquamous carcinoma and grade II tubulo-papillary carcinoma |
| CMT 51 | Grade I complex carcinoma |
| CMT 52 | Benign adenoma and lobular hyperplasia |
| CMT 53 | Benign mixed tumor |
| Samples | Carbo IC50 (µM) | Enro IC50 (µM) | Carbo-Enro IC50 (µM) |
|---|---|---|---|
| CMT1 | 1526.470 | 1577.450 | 283.911 |
| CMT2 | 467.199 | 771.439 | 450.663 |
| CMT3 | 1589.730 | 2853.910 | 412.451 |
| CMT4 | 3577.980 | 10,883.800 | 2941.880 |
| CMT23 | 427.221 | 952.923 | 1851.920 |
| CMT26 | 1870.760 | 17,013.100 | 575.250 |
| CMT30 | 689.009 | 1536.950 | 310.133 |
| CMT47 | 893.288 | 2844.470 | 1202.470 |
| CMT50 | 1781.200 | 2756.880 | 1037.630 |
| CMT51 | 347.323 | 1100.910 | 471.433 |
Disclaimer/Publisher’s Note: The statements, opinions and data contained in all publications are solely those of the individual author(s) and contributor(s) and not of MDPI and/or the editor(s). MDPI and/or the editor(s) disclaim responsibility for any injury to people or property resulting from any ideas, methods, instructions or products referred to in the content. |
© 2026 by the authors. Licensee MDPI, Basel, Switzerland. This article is an open access article distributed under the terms and conditions of the Creative Commons Attribution (CC BY) license.
Share and Cite
Tomanelli, M.; Maniscalco, L.; Varello, K.; Sellak, C.; Martini, I.; Florio, T.; Modesto, P.; Pagano, A. The Co-Administration of Fluoroquinolones Strongly Increases the Anticancer Efficacy of Carboplatin Treatment—Novel Insights for Breast Cancer Chemotherapy from the Canine Mammary Tumor Model. Biology 2026, 15, 604. https://doi.org/10.3390/biology15080604
Tomanelli M, Maniscalco L, Varello K, Sellak C, Martini I, Florio T, Modesto P, Pagano A. The Co-Administration of Fluoroquinolones Strongly Increases the Anticancer Efficacy of Carboplatin Treatment—Novel Insights for Breast Cancer Chemotherapy from the Canine Mammary Tumor Model. Biology. 2026; 15(8):604. https://doi.org/10.3390/biology15080604
Chicago/Turabian StyleTomanelli, Michele, Lorella Maniscalco, Katia Varello, Chaimae Sellak, Isabella Martini, Tullio Florio, Paola Modesto, and Aldo Pagano. 2026. "The Co-Administration of Fluoroquinolones Strongly Increases the Anticancer Efficacy of Carboplatin Treatment—Novel Insights for Breast Cancer Chemotherapy from the Canine Mammary Tumor Model" Biology 15, no. 8: 604. https://doi.org/10.3390/biology15080604
APA StyleTomanelli, M., Maniscalco, L., Varello, K., Sellak, C., Martini, I., Florio, T., Modesto, P., & Pagano, A. (2026). The Co-Administration of Fluoroquinolones Strongly Increases the Anticancer Efficacy of Carboplatin Treatment—Novel Insights for Breast Cancer Chemotherapy from the Canine Mammary Tumor Model. Biology, 15(8), 604. https://doi.org/10.3390/biology15080604

