Asparagus Decline and Replant Problem: Autotoxicity, Autotoxic Substances, and Their Biological Functions
Simple Summary
Abstract
1. Introduction
2. Autotoxicity and Its Ecological Significance
3. Asparagus Autotoxicity
3.1. Autotoxicity of Asparagus Residues
3.2. Autotoxicity of Asparagus Leachates and Root Exudates
3.3. Autotoxicity of Asparagus Rhizosphere Soil
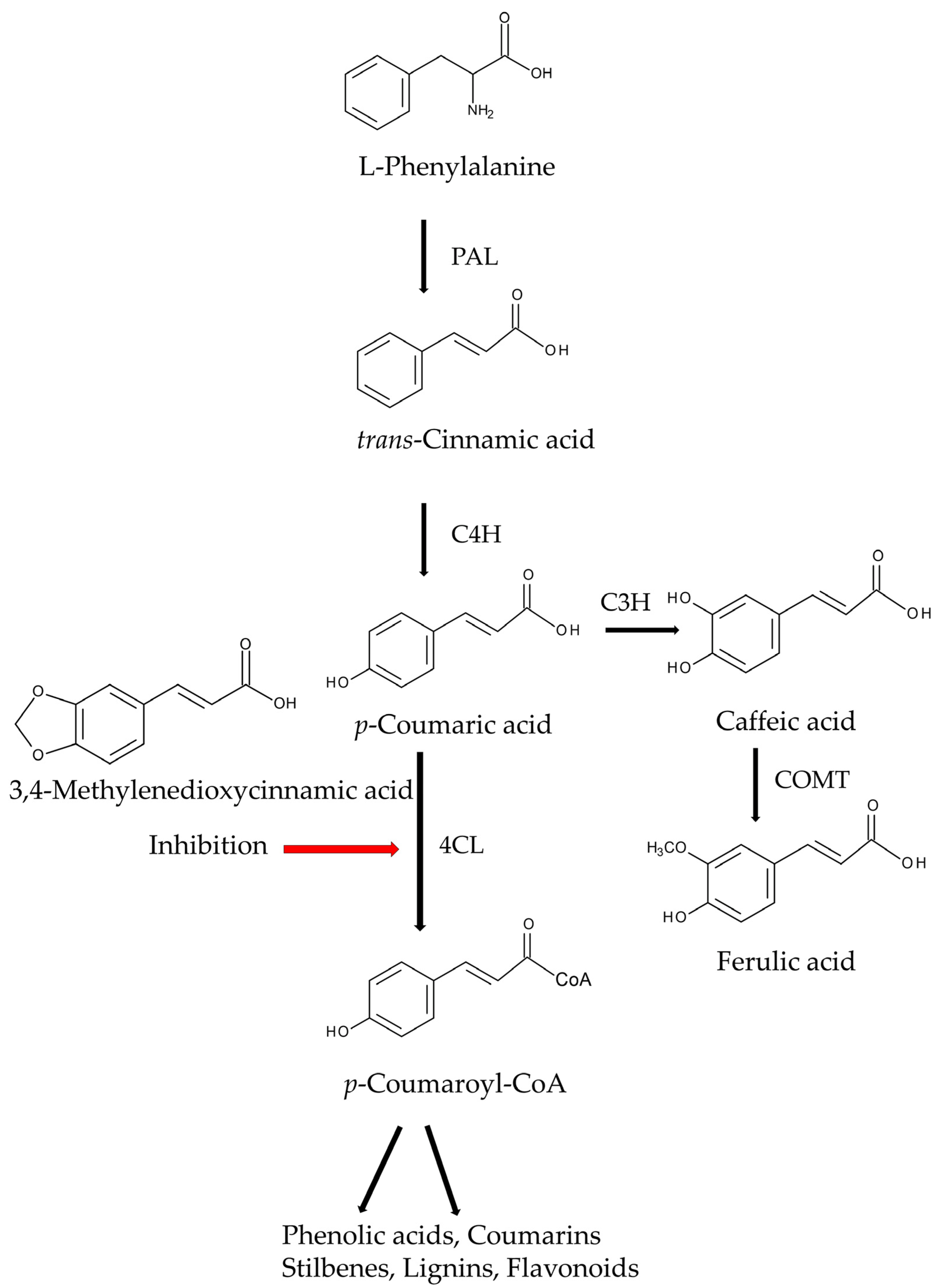
4. Autotoxic Substances in Asparagus Plants and Residues
5. An Autotoxic Substance in Asparagus Rhizosphere Soil and Root Exudation
6. Interaction of Autotoxicity and Fusarium Infection
7. Management of Autotoxicity and Fusarium Infection
8. Conclusions
Funding
Institutional Review Board Statement
Informed Consent Statement
Data Availability Statement
Conflicts of Interest
References
- Royal Botanical Gardens Kew. Asparagus officinalis L. Available online: https://powo.science.kew.org/taxon/urn:lsid:ipni.org:names:531229-1 (accessed on 10 February 2026).
- World Flora Online. Asparagus officinalis L. Available online: https://stage.worldfloraonline.org/taxon/wfo-0000634022;jsessionid=8E91A4C5DC72B2A26BD39630FF925749 (accessed on 10 February 2026).
- Feller, C.; Richter, E.; Smolders, T.; Wichura, A. Phenological growth stages of edible asparagus (Asparagus officinalis): Codification and description according to the BBCH scale. Ann. Appl. Biol. 2012, 160, 174–180. [Google Scholar] [CrossRef]
- Lazarte, J.E.; Palser, B.F. Morphology, vascular anatomy and embryology of pistillate and staminate flowers of Asparagus officinalis. Am. J. Bot. 1979, 66, 753–764. [Google Scholar] [CrossRef]
- Harb, R.K.; El-Kobisy, O.S.; Desoukey, S.F. Botanical investigations on Asparagus officinalis L. plant (Asparagaceae). Egypt. J. Agric. Sci. 2015, 66, 68–75. [Google Scholar] [CrossRef]
- Fayvush, G.; Aleksanyan, A.; Mehdiyeva, N.; Alizade, V.; Batsatsashvili, K.; Kikvidze, Z.; Khutsishvili, M.; Maisaia, I.; Sikharulidze, S.; Tchelidze, D.; et al. Asparagus officinalis L. Asparagus verticillatus L. Asparagaceae. In Ethnobotany of the Caucasus, European Ethnobotany; Bussmann, R.W., Ed.; Springer International Publishing: Heidelberg, Germany, 2017; pp. 123–127. [Google Scholar]
- Gritsenko, V. Statistical characteristics and correlations of morphometric traits of Asparagus officinalis L. fruits in the MM Gryshko National Botanical Garden of the NAS of Ukraine. Plant Introd. 2024, 101–102, 44–56. [Google Scholar] [CrossRef]
- Pitrat, M. Asparagus officinalis L. In Vegetable Crops in the Mediterranean Basin with an Overview of Virus Resistance, Advances in Virus Research; Loebenstein, G., Hervé Lecoq, H., Eds.; Academic Press: Cambridge, MA, USA, 2012; Volume 84, pp. 1–29. [Google Scholar]
- PlantNet, Asparagus officinalis L. Available online: https://identify.plantnet.org/k-world-flora/species/Asparagus%20officinalis%20L./data (accessed on 10 February 2026).
- Pegiou, E.; Mumm, R.; Acharya, P.; de Vos, R.C.; Hall, R.D. Green and white asparagus (Asparagus officinalis): A source of developmental, chemical and urinary intrigue. Metabolites 2019, 10, 17. [Google Scholar] [CrossRef]
- Guo, Q.; Wang, N.; Liu, H.; Li, Z.; Lu, L.; Wang, C. The bioactive compounds and biological functions of Asparagus officinalis L.—A review. J. Funct. Foods 2020, 65, 103727. [Google Scholar] [CrossRef]
- Hamdi, A.; Viera-Alcaide, I.; Jimenez-Araujo, A.; Rodriguez-Arcos, R.; Guillen-Bejarano, R. Applications of saponin extract from asparagus roots as functional ingredient. Foods 2024, 13, 274. [Google Scholar] [CrossRef] [PubMed]
- Top Asparagus Producing Countries in the World. Available online: https://www.worldatlas.com/articles/top-asparagus-producing-countries-in-the-world.html (accessed on 10 February 2026).
- Top 10 Asparagus-Producing Countries in 2025. Available online: https://statranker.org/agriculture/top-10-asparagus-producing-countries-in-2025/ (accessed on 10 February 2026).
- Global Leading Asparagus Producing Countries 2023. Available online: https://www.statista.com/statistics/279556/global-top-asparagus-producing-countries/?srsltid=AfmBOoriFbLjd_q3gHsuXQ7UZy_p0cuRibdXmS_-3jQfQqtiY5M2BwJ8 (accessed on 10 February 2026).
- Grogan, R.G.; Kimble, K.A. The association of Fusarium wilt with the asparagus decline and replant problem in California. Phytopathology 1959, 49, 122–125. [Google Scholar]
- Schofield, P.E. Asparagus decline and replant problem in New Zealand. N. Z. J. Crop Hortic. Sci. 1991, 19, 213–220. [Google Scholar] [CrossRef][Green Version]
- Elmer, W.H.; Johnson, D.A.; Mink, G.I. Epidemiology and management of the diseases causal to asparagus decline. Plant Dis. 1996, 80, 117–125. [Google Scholar] [CrossRef]
- Elmer, W. Asparagus decline and replant problem: A look back and a look forward at strategies for mitigating losses. Acta Hortic. 2018, 1223, 195–204. [Google Scholar] [CrossRef]
- Keulder, P.C. Asparagus decline and replant problem: A review of the current situation and approaches for future research. Acta Hortic. 1999, 479, 253–262. [Google Scholar] [CrossRef]
- Blok, W.J.; Bollen, G.J. The role of autotoxins from root residues of the previous crop in the replant disease of asparagus. Neth. J. Plant Pathol. 1993, 99, 29–40. [Google Scholar] [CrossRef]
- Blok, W.J.; Bollen, G.J. Etiology of asparagus replant-bound early decline. Eur. J. Plant Pathol. 1996, 102, 87–98. [Google Scholar] [CrossRef]
- Lake, R.J.; Falloon, P.G.; Cook, D.W.M. Replant problem and chemical components of asparagus roots. N. Z. J. Crop Hortic. Sci. 1993, 21, 53–58. [Google Scholar] [CrossRef]
- Yergeau, E.; Vujanovic, V.; St-Arnaud, M. Changes in communities of Fusarium and arbuscular mycorrhizal fungi as related to different asparagus cultural factors. Microb. Ecol. 2006, 52, 104–113. [Google Scholar] [CrossRef]
- Molinero-Ruiz, L.; Rubio-Pérez, E.; González-Domínguez, E.; Basallote-Ureba, E.; José, M. Alternative hosts for Fusarium spp. causing crown and root rot of asparagus in Spain. J. Phytopathol. 2011, 159, 114–116. [Google Scholar] [CrossRef]
- Aoki, T.; O’Donnell, K.; Geiser, D.M. Systematics of key phytopathogenic Fusarium species: Current status and future challenges. J. Gen. Plant Pathol. 2014, 80, 189–201. [Google Scholar] [CrossRef]
- Vujanovic, V.; Hamel, C.; Yergeau, E.; St-Arnaud, M. Biodiversity and biogeography of Fusarium species from northeastern North American asparagus fields based on microbiological and molecular approaches. Microb. Ecol. 2006, 51, 242–255. [Google Scholar] [CrossRef]
- Wong, J.Y.; Jeffries, P. Diversity of pathogenic Fusarium populations associated with asparagus roots in decline soils in Spain and the UK. Plant Pathol. 2006, 55, 331–342. [Google Scholar] [CrossRef]
- Nahiyan, A.S.M.; Boyer, L.R.; Jeffries, P.; Matsubara, Y.I. PCR-SSCP analysis of Fusarium diversity in asparagus decline in Japan. Eur. J. Plant Pathol. 2011, 130, 197–203. [Google Scholar] [CrossRef]
- Waśkiewicz, A.; Irzykowska, L.; Drzewiecka, K.; Bocianowski, J.; Dobosz, B.; Weber, Z.; Karolewski, Z.; Krzyminiewski, R.; Goliński, P. Plant-pathogen interactions during infection process of asparagus with Fusarium spp. Cent. Eur. J. Biol. 2013, 8, 1065–1076. [Google Scholar] [CrossRef]
- Stępień, Ł.; Waśkiewicz, A.; Urbaniak, M. Wildly growing asparagus (Asparagus officinalis L.) hosts pathogenic Fusarium species and accumulates their mycotoxins. Microb. Ecol. 2016, 71, 927–937. [Google Scholar] [CrossRef]
- Brizuela, A.M.; De la Lastra, E.; Marín-Guirao, J.I.; Gálvez, L.; de Cara-García, M.; Capote, N.; Palmero, D. Fusarium consortium populations associated with asparagus crop in Spain and their role on field decline syndrome. J. Fungi 2020, 6, 336. [Google Scholar] [CrossRef] [PubMed]
- de la Lastra, E.; Camacho, M.; Capote, N. Soil bacteria as potential biological control agents of Fusarium species associated with asparagus decline syndrome. Appl. Sci. 2021, 11, 8356. [Google Scholar] [CrossRef]
- Lori, G.; Wolcan, S.; Mónaco, C. Fusarium moniliforme and F. proliferatum isolated from crown and root rot of asparagus and their association with asparagus decline in Argentina. Plant Dis. 1998, 82, 1405. [Google Scholar] [CrossRef] [PubMed]
- Blok, W.J.; Bollen, G.J. Inoculum sources of Fusarium oxysporum f. sp. asparagi in asparagus production. Ann. Appl. Biol. 1996, 128, 219–231. [Google Scholar] [CrossRef]
- Elena, K. Asparagus diseases. Eur. J. Plant Sci. Biotechnol. 2007, 1, 76–83. [Google Scholar]
- Klotz, L.V.; Nelson, P.E.; Toussoun, T.A. A medium for enhancement of chlamydospore formation in Fusarium species. Mycologia 1988, 80, 108–109. [Google Scholar] [CrossRef]
- Peng, H.X.; Sivasithamparam, K.; Turner, D.W. Chlamydospore germination and Fusarium wilt of banana plantlets in suppressive and conducive soils are affected by physical and chemical factors. Soil Biol. Biochem. 1999, 31, 1363–1374. [Google Scholar] [CrossRef]
- Morrison, W.R., III; Tuell, J.K.; Hausbeck, M.K.; Szendrei, Z. Constraints on asparagus production: The association of Ophiomyia simplex (Diptera: Agromyzidae) and Fusarium spp. Crop Sci. 2011, 51, 1414–1423. [Google Scholar] [CrossRef]
- Gilbertson, R.L.; Manning, W.J.; Ferro, D.N. Association of the asparagus miner with stem rot caused in asparagus by Fusarium species. Phytopathology 1985, 75, 1188–1191. [Google Scholar] [CrossRef]
- Brizuela, A.M.; Lalak-Kańczugowska, J.; Koczyk, G.; Stępień, Ł.; Kawaliło, M.; Palmero, D. Geographical origin does not modulate pathogenicity or response to climatic variables of Fusarium oxysporum associated with vascular wilt on asparagus. J. Fungi 2021, 7, 1056. [Google Scholar] [CrossRef]
- Woloshuk, C.P.; Kolattukudy, P.E. Mechanism by which contact with plant cuticle triggers cutinase gene expression in the spores of Fusarium solani f. sp. pisi. Proc. Natl. Acad. Sci. USA 1986, 83, 1704–1708. [Google Scholar] [CrossRef]
- Michielse, C.B.; van Wijk, R.; Reijnen, L.; Cornelissen, B.J.; Rep, M. Insight into the molecular requirements for pathogenicity of Fusarium oxysporum f. sp. lycopersici through large-scale insertional mutagenesis. Genome Biol. 2009, 10, R4. [Google Scholar] [CrossRef]
- Kubicek, C.P.; Starr, T.L.; Glass, N.L. Plant cell wall-degrading enzymes and their secretion in plant-pathogenic fungi. Annu. Rev. Phytopathol. 2014, 52, 427–451. [Google Scholar] [CrossRef]
- Husaini, A.M.; Sakina, A.; Cambay, S.R. Host-pathogen interaction in Fusarium oxysporum infections: Where do we stand? Mol. Plant-Microbe Interact. 2018, 31, 889–898. [Google Scholar] [CrossRef] [PubMed]
- Jangir, P.; Mehra, N.; Sharma, K.; Singh, N.; Rani, M.; Kapoor, R. Secreted in xylem genes: Drivers of host adaptation in Fusarium oxysporum. Front. Plant Sci. 2021, 12, 628611. [Google Scholar] [CrossRef]
- Enow, E.A.; Urbaniak, M.; Stępień, Ł. Host metabolites in Asparagus–Fusarium interaction: Mechanisms and regulation. Plant Pathol. 2025, 74, 923–942. [Google Scholar] [CrossRef]
- Wang, Y.; Zhang, X.; Wang, T.; Zhou, S.; Liang, X.; Xie, C.; Kang, Z.; Chen, D.; Zheng, L. The small secreted protein FoSsp1 elicits plant defenses and negatively regulates pathogenesis in Fusarium oxysporum f. sp. cubense (Foc4). Front. Plant Sci. 2022, 13, 873451. [Google Scholar] [CrossRef] [PubMed]
- Yu, D.Y.; Outram, M.A.; Smith, A.; McCombe, C.L.; Khambalkar, P.B.; Rima, S.A.; Sun, X.; Ma, L.; Ericsson, D.J.; Jones, D.A.; et al. The structural repertoire of Fusarium oxysporum f. sp. lycopersici effectors revealed by experimental and computational studies. eLife 2024, 12, RP89280. [Google Scholar] [CrossRef]
- Cai, J.; Jiang, Y.; Ritchie, E.S.; Macho, A.P.; Yu, F.; Wu, D. Manipulation of plant metabolism by pathogen effectors: More than just food. FEMS Microbiol. Rev. 2023, 47, fuad007. [Google Scholar] [CrossRef]
- Srivastava, V.; Patra, K.; Pai, H.; Aguilar-Pontes, M.V.; Berasategui, A.; Kamble, A.; Pietro, A.D.; Redkar, A. Molecular dialogue during host manipulation by the vascular wilt fungus Fusarium oxysporum. Annu. Rev. Phytopathol. 2024, 62, 97–126. [Google Scholar] [CrossRef]
- Richard, J.L. Some major mycotoxins and their mycotoxicoses—An overview. Int. J. Food Microbiol. 2007, 119, 3–10. [Google Scholar] [CrossRef] [PubMed]
- Ma, L.J.; Geiser, D.M.; Proctor, R.H.; Rooney, A.P.; O’Donnell, K.; Trail, F.; Gardiner, D.M.; Manners, J.M.; Kazan, K. Fusarium pathogenomics. Annu. Rev. Microbiol. 2013, 67, 399–416. [Google Scholar] [CrossRef]
- Ji, F.; He, D.; Olaniran, A.O.; Mokoena, M.P.; Xu, J.; Shi, J. Occurrence, toxicity, production and detection of Fusarium mycotoxin: A review. Food Prod. Process. Nutr. 2019, 1, 1–14. [Google Scholar] [CrossRef]
- Perincherry, L.; Lalak-Kańczugowska, J.; Stępień, Ł. Fusarium-produced mycotoxins in plant-pathogen interactions. Toxins 2019, 11, 664. [Google Scholar] [CrossRef]
- Logrieco, A.; Moretti, A.; Castella, G.; Kostecki, M.; Golinski, P.; Ritieni, A.; Chelkowski, J. Beauvericin production by Fusarium species. Appl. Environ. Microb. 1998, 64, 3084–3088. [Google Scholar] [CrossRef] [PubMed]
- Seefelder, W.; Gossmann, M.; Humpf, H.U. Analysis of fumonisin B1 in Fusarium proliferatum-infected asparagus spears and garlic bulbs from Germany by liquid chromatography−electrospray ionization mass spectrometry. J. Agric. Food Chem. 2002, 50, 2778–2781. [Google Scholar] [CrossRef] [PubMed]
- Weber, Z.; Kostecki, M.; Von Bargen, S.; Gossmann, M.; Waskiewicz, A.; Bocianowski, J.; Knaflewski, M.; Büttner, C.; Golinski, P. Fusarium species colonizing spears and forming mycotoxins in field samples of asparagus from Germany and Poland. J. Phytopathol. 2006, 154, 209–216. [Google Scholar] [CrossRef]
- Vesonder, R.F.; Labeda, D.P.; Peterson, R.E. Phytotoxic activity of selected water-soluble metabolites of Fusarium against Lemna minor L. (duckweed). Mycopathologia 1992, 118, 185–189. [Google Scholar] [CrossRef]
- Wakuliński, W. Phytotoxicity of the secondary metabolites of fungi causing wheat head fusariosis (head blight). Acta Physiol. Plant. 1989, 11, 301–306. [Google Scholar]
- Prosperini, A.; Berrada, H.; Ruiz, M.J.; Caloni, F.; Coccini, T.; Spicer, L.J.; Perego, M.C.; Lafranconi, A. A review of the mycotoxin enniatin B. Front. Public Health 2017, 5, 304. [Google Scholar]
- Mallebrera, B.; Prosperini, A.; Font, G.; Ruiz, M.J. In vitro mechanisms of beauvericin toxicity: A review. Food Chem. Toxicol. 2018, 111, 537–545. [Google Scholar] [CrossRef]
- Urbaniak, M.; Waśkiewicz, A.; Stępień, Ł. Fusarium cyclodepsipeptide mycotoxins: Chemistry, biosynthesis, and occurrence. Toxins 2020, 12, 765. [Google Scholar] [CrossRef] [PubMed]
- Paciolla, C.; Dipierro, N.; Mule, G.; Logrieco, A.; Dipierro, S. The mycotoxins beauvericin and T-2 induce cell death and alteration to the ascorbate metabolism in tomato protoplasts. Physiol. Mol. Plant Pathol. 2004, 65, 49–56. [Google Scholar] [CrossRef]
- Proctor, R.H.; Plattner, R.D.; Desjardins, A.E.; Busman, M.; Butchko, R.A. Fumonisin production in the maize pathogen Fusarium verticillioides: Genetic basis of naturally occurring chemical variation. J. Agric. Food Chem. 2006, 54, 2424–2430. [Google Scholar] [CrossRef]
- Stockmann-Juvala, H.; Savolainen, K. A review of the toxic effects and mechanisms of action of fumonisin B1. Hum. Exp. Toxicol. 2008, 27, 799–809. [Google Scholar] [CrossRef]
- Abbas, H.K.; Duke, S.O.; Tanaka, T. Phytotoxicity of fumonisins and related compounds. J. Toxicol. Toxin Rev. 1993, 12, 225–251. [Google Scholar] [CrossRef]
- Merrill, A.H.; Van Echten, G.; Wang, E.; Sandhoff, K. Fumonisin B1 inhibits sphingosine (sphinganine) N-acyltransferase and de novo sphingolipid biosynthesis in cultured neurons in situ. J. Biol. Chem. 1993, 268, 27299–27306. [Google Scholar] [CrossRef]
- Schmelz, E.M.; Dombrink-Kurtzman, M.A.; Roberts, P.C.; Kozutsumi, Y.; Kawasaki, T.; Merrill, A.H., Jr. Induction of apoptosis by Fumonisin B1 in HT29 cells is mediated by the accumulation of endogenous free sphingoid bases. Toxicol. Appl. Pharmacol. 1998, 148, 252–260. [Google Scholar] [CrossRef]
- Merrill, A.H., Jr.; Sullards, M.C.; Wang, E.; Voss, K.A.; Riley, R.T. Sphingolipid metabolism: Roles in signal transduction and disruption by fumonisins. Environ. Health Perspect. 2001, 109, 283–289. [Google Scholar]
- Pekkarinen, A.; Mannonen, L.; Jones, B.L.; Niku-Paavola, M.L. Production of proteases by Fusarium species grown on barley grains and in media containing cereal proteins. J. Cereal Sci. 2000, 31, 253–261. [Google Scholar] [CrossRef]
- Doehlert, D.C.; Knutson, C.A.; Vesonder, R.F. Phytotoxic effects of fumonisin B1 on maize seedling growth. Mycopathologia 1994, 127, 117–121. [Google Scholar] [CrossRef]
- Logrieco, A.; Doko, B.; Moretti, A.; Frisullo, S.; Visconti, A. Occurrence of fumonisin B1 and B2 in Fusarium proliferatum infected asparagus plants. J. Agric. Food Chem. 1998, 46, 5201–5204. [Google Scholar] [CrossRef]
- Marroquín-Cardona, A.G.; Johnson, N.M.; Phillips, T.D.; Hayes, A.W. Mycotoxins in a changing global environment—A review. Food Chem. Toxicol. 2014, 69, 220–230. [Google Scholar] [CrossRef]
- Borrego-Benjumea, A.; Basallote-Ureba, M.J.; Melero-Vara, J.M. Etiology and management of asparagus crown and root rot. In Fusarium Epidemiology Environmental Sources and Prevention; Rios, T.F., Ortega, E.R., Eds.; Nova Science: Hauppauge, NY, USA, 2012; pp. 145–159. [Google Scholar]
- Elmer, W.H. Management of Fusarium crown and root rot of asparagus. Crop Prot. 2015, 73, 2–6. [Google Scholar] [CrossRef]
- López-Moreno, F.J.; Atero-Calvo, S.; Navarro-León, E.; Blasco, B.; Soriano, T.; Ruiz, J.M. Evaluation of physiological and quality parameters of green asparagus spears subjected to three treatments against the decline syndrome. Agronomy 2021, 11, 937. [Google Scholar] [CrossRef]
- Rice, E.L. Allelopathy, 2nd ed.; Academic Press: Orlando, FL, USA, 1984; pp. 1–422. [Google Scholar]
- Bais, H.P.; Weir, T.L.; Perry, L.G.; Gilroy, S.; Vivanco, J.M. The role of root exudates in rhizosphere interactions with plants and other organisms. Annu. Rev. Plant Biol. 2006, 57, 233–266. [Google Scholar] [CrossRef]
- Belz, R.G. Allelopathy in crop/weed interactions—An update. Pest. Manag. Sci. 2007, 63, 308–326. [Google Scholar] [CrossRef] [PubMed]
- Kato-Noguchi, H.; Tanaka, Y.; Murakami, T.; Yamamura, S.; Fujihara, S. Isolation and identification of an allelopathic substance from peel of Citrus junos. Phytochemistry 2002, 61, 849–853. [Google Scholar] [CrossRef] [PubMed]
- Kato-Noguchi, H. Defensive molecules momilactones A and B: Function, biosynthesis, induction and occurrence. Toxins 2023, 15, 241. [Google Scholar] [CrossRef]
- Kato-Noguchi, H.; Kato, M. Pesticidal activity of citrus fruits for the development of sustainable fruit-processing waste management and agricultural production. Plants 2025, 14, 754. [Google Scholar] [CrossRef] [PubMed]
- de Jesus Jatoba, L.; Varela, R.M.; Molinillo, J.M.G.; Ud Din, Z.; Juliano Gualtieri, S.C.; Rodrigues-Filho, E.; Macías, F.A. Allelopathy of bracken fern (Pteridium arachnoideum): New evidence from green fronds, litter, and soil. PLoS ONE 2016, 11, e0161670. [Google Scholar] [CrossRef]
- Kato-Noguchi, H. Convergent or parallel molecular evolution of momilactone A and B: Potent allelochemicals, momilactones have been found only in rice and the moss Hypnum plumaeforme. J. Plant Physiol. 2011, 168, 1511–1516. [Google Scholar] [CrossRef] [PubMed]
- Kato-Noguchi, H.; Saito, Y.; Suenaga, K. Involvement of allelopathy in the establishment of pure colony of Dicranopteris linearis. Plant Ecol. 2012, 213, 1937–1944. [Google Scholar] [CrossRef]
- Singh, H.P.; Batish, D.R.; Kohli, R.K. Autotoxicity: Concept, organisms, and ecological significance. Crit. Rev. Plant Sci. 1999, 18, 757–772. [Google Scholar] [CrossRef]
- Friedman, J. Allelopathy, autotoxicity, and germination. In Seed Development and Germination; Kigel, J., Ed.; Marcel Dekker Inc.: New York, NY, USA, 2017; pp. 629–644. [Google Scholar]
- Kato-Noguchi, H.; Kobayashi, A.; Ohno, O.; Kimura, F.; Fujii, Y.; Suenaga, K. Phytotoxic substances with allelopathic activity may be central to the strong invasive potential of Brachiaria brizantha. J. Plant Physiol. 2014, 171, 525–530. [Google Scholar] [CrossRef]
- IUCN, 100 of the World’s Worst Invasive Alien Species. Available online: https://portals.iucn.org/library/sites/library/files/documents/2000-126.pdf (accessed on 10 February 2026).
- Kato-Noguchi, H. The impact and invasive mechanisms of Pueraria montana var. lobata, one of the world’s worst alien species. Plants 2023, 12, 3066. [Google Scholar] [CrossRef]
- Kato-Noguchi, H.; Kato, M. Mechanisms and impact of Acacia mearnsii invasion. Diversity 2025, 17, 553. [Google Scholar] [CrossRef]
- Kato-Noguchi, H.; Midori, K. The mechanisms of Sphagneticola trilobata invasion as one of the most aggressive invasive plant species. Diversity 2025, 17, 698. [Google Scholar] [CrossRef]
- Kato-Noguchi, H.; Kato, M. The impact of life history traits and defensive abilities on the invasiveness of Ulex europaeus L. Diversity 2025, 17, 805. [Google Scholar] [CrossRef]
- Chon, S.U.; Jennings, J.A.; Nelson, C.J. Alfalfa (Medicago sativa L.) autotoxicity: Current status. Allelopath. J. 2006, 18, 57. [Google Scholar]
- Wu, B.; Shi, S.; Zhang, H.; Du, Y.; Jing, F. Study on the key autotoxic substances of alfalfa and their effects. Plants 2023, 12, 3263. [Google Scholar] [CrossRef]
- Ghimire, B.K.; Ghimire, B.; Yu, C.Y.; Chung, I.M. Allelopathic and autotoxic effects of Medicago sativa—Derived allelochemicals. Plants 2019, 8, 233. [Google Scholar] [CrossRef]
- Wang, T.S.C.; Kao, M.M.; Li, S.W. The exploration and improvement of the yield decline of monoculture sugarcane in Taiwan. In Tropical Plants; Chou, C.H., Ed.; Academia Sinica: Taipei, Taiwan, 1984; pp. 1–9. [Google Scholar]
- Chen, R.; Jiang, W.; Liu, Y.; Wang, Y.; Fan, H.; Chen, X.; Yin, C.; Mao, Z. Amygdalin and benzoic acid on the influences of the soil environment and growth of Malus hupehensis Rehd. seedlings. ACS Omega 2021, 6, 12522–12529. [Google Scholar] [CrossRef] [PubMed]
- Nicola, L.; Vrhovsek, U.; Soini, E.; Insam, H.; Pertot, I. Phlorizin released by apple root debris is related to apple replant disease. Phytopathol. Mediterr. 2016, 55, 432–437. [Google Scholar]
- Okada, S.; Iwasaki, A.; Kataoka, I.; Suenaga, K.; Kato-Noguchi, H. Phytotoxic activity of kiwifruit leaves and isolation of a phytotoxic substance. Sci. Hortic. 2019, 250, 243–248. [Google Scholar] [CrossRef]
- Kato-Noguchi, H.; Tanaka, Y. Allelopathic potential of citrus fruit peel and abscisic acid-glucose ester. Plant Growth Regul. 2003, 40, 117–120. [Google Scholar] [CrossRef]
- Kato-Noguchi, H.; Tanaka, Y. Allelopathic potential of Citrus junos fruit waste from food processing industry. Bioresour. Technol. 2004, 94, 211–214. [Google Scholar] [CrossRef] [PubMed]
- Iuorio, A.; Veerman, F. The influence of autotoxicity on the dynamics of vegetation spots. Phys. D Nonlinear Phenom. 2021, 427, 133015. [Google Scholar]
- Shafer, W.E.; Garrison, S.A. Allelopathic effects of soil incorporated asparagus roots on lettuce, tomato, and asparagus seedling emergence. HortScience 1986, 21, 82–84. [Google Scholar] [CrossRef]
- Yeasmin, R.; Kalemelawa, F.; Motoki, S.; Matsumoto, H.; Nakamatsu, K.; Yamamoto, S.; Nishihara, E. Root residue amendment on varietal allelopathy and autotoxicity of replanted asparagus (Asparagus officinalis L.). Exp. Agric. Hortic. 2013, 2, 31–44. [Google Scholar]
- Hartung, A.C.; Stephens, C.T. Effects of allelopathic substances produced by asparagus on incidence and severity of asparagus decline due to Fusarium crown rot. J. Chem. Ecol. 1983, 9, 1163–1174. [Google Scholar] [CrossRef]
- Hartung, A.C.; Putnam, A.R.; Stephens, C.T. Inhibitory activity of asparagus root tissue and extracts on asparagus seedlings. J. Am. Soc. Hortic. Sci. 1989, 114, 144–148. [Google Scholar] [CrossRef]
- Young, C.C.; Chou, T.C. Autointoxication in residues of Asparagus officinalis L. Plant Soil 1985, 85, 385–393. [Google Scholar] [CrossRef]
- Benson, B.L. Effect of autotoxicity on the growth of cloned asparagus plants. Acta Hortic. 2002, 589, 373–376. [Google Scholar] [CrossRef]
- Asaduzzaman, M.; Mondal, M.F.; Ban, T.; Asao, T. Selection of ideal succeeding crops after asparagus, taro and beans replanting field in seedling growth bioassay. Allelopath. J. 2013, 32, 1–22. [Google Scholar]
- Young, C.C. Autointoxication in root exudates of Asparagus officinalis L. Plant Soil 1984, 82, 247–253. [Google Scholar] [CrossRef]
- Yeasmin, R.; Nakamatsu, K.; Matsumoto, H.; Motoki, S.; Nishihara, E.; Yamamoto, S. Inference of allelopathy and autotoxicity to varietal resistance of asparagus (Asparagus officinalis L.). Aust. J. Crop Sci. 2014, 8, 251–256. [Google Scholar]
- Motoki, S.; Nishihara, E.; Kitazawa, H.; Hiradate, S.; Shinohara, Y. Participation of allelopathy in injury due to continuous cropping of asparagus (Asparagus officinalis L.) in alluvial soil. Hort. Res. Jpn. 2006, 5, 431–436. [Google Scholar] [CrossRef]
- Yang, H.J. Autotoxicity of Asparagus officinalis L. J. Am. Soc. Hortic. Sci. 1982, 107, 860–862. [Google Scholar] [CrossRef]
- Kitahara, Y.; Yanagawa, H.; Kato, T.; Takahashi, N. Asparagusic acid, a new plant growth inhibitor in etiolated young asparagus shoots. Plant Cell Physiol. 1972, 13, 923–925. [Google Scholar] [CrossRef]
- Yanagawa, H.; Kato, T.; Kitahara, Y.; Takahashi, N.; Kato, Y. Asparagusic acid, dihydroasparagusic acid and S-acetyldihydroasparagusic acid, a new plant growth inhibitor in etiolated young asparagus officinalis. Tetrahedron Lett. 1972, 13, 2549–2552. [Google Scholar] [CrossRef]
- Mitchell, S.C.; Waring, R.H. Asparagusic acid. Phytochemistry 2014, 97, 5–10. [Google Scholar] [CrossRef]
- Hartung, A.C.; Nair, M.G.; Putnam, A.R. Isolation and characterization of phytotoxic compounds from asparagus (Asparagus officinalis L.) roots. J. Chem. Ecol. 1990, 16, 1707–1718. [Google Scholar] [CrossRef]
- Funk, C.; Brodelius, P.E. Phenylpropanoid metabolism in suspension cultures of Vanilla planifolia Andr. II. Effects of precursor feeding and metabolic inhibitors. Plant Physiol. 1990, 94, 95–101. [Google Scholar] [CrossRef] [PubMed]
- Schalk, M.; Cabello-Hurtado, F.; Pierrel, M.A.; Atanassova, R.; Saindrenan, P.; Werck-Reichhart, D. Piperonylic acid, a selective, mechanism-based inactivator of the trans-cinnamate 4-hydroxylase: A new tool to control the flux of metabolites in the phenylpropanoid pathway. Plant Physiol. 1998, 118, 209–218. [Google Scholar] [CrossRef]
- Chakraborty, M.; Karun, A.; Mitra, A. Accumulation of phenylpropanoid derivatives in chitosan-induced cell suspension culture of Cocos nucifera. J. Plant Physiol. 2009, 166, 63–71. [Google Scholar] [CrossRef]
- Liu, J.; Matsubara, Y.I. Interaction between allelochemicals and Fusarium root rot in asparagus seedlings cultured in vitro. Am. J. Plant Sci. 2018, 9, 543–551. [Google Scholar] [CrossRef]
- dos Santos, W.D.; Ferrarese, M.L.L.; Ferrarese-Filho, O. Ferulic acid: An allelochemical troublemaker. Funct. Plant Sci. Biotechnol. 2008, 2, 47–55. [Google Scholar]
- Wang, R.; Hua, M.; Yu, Y.; Zhang, M.; Xian, Q.M.; Yin, D.Q. Evaluating the effects of allelochemical ferulic acid on Microcystis aeruginosa by pulse-amplitude-modulated (PAM) fluorometry and flow cytometry. Chemosphere 2016, 147, 264–271. [Google Scholar] [CrossRef]
- Wacker, T.L.; Safir, G.R.; Stephens, C.T. Effects of ferulic acid on Glomus fasciculatum and associated effects on phosphorus uptake and growth of asparagus (Asparagus officinalis L.). J. Chem. Ecol. 1990, 16, 901–909. [Google Scholar] [CrossRef] [PubMed]
- Hodge, A.; Helgason, T.; Fitter, A.H. Nutritional ecology of arbuscular mycorrhizal fungi. Fungal Ecol. 2010, 3, 267–273. [Google Scholar] [CrossRef]
- Chen, M.; Arato, M.; Borghi, L.; Nouri, E.; Reinhardt, D. Beneficial services of arbuscular mycorrhizal fungi—From ecology to application. Front. Plant Sci. 2018, 9, 1270. [Google Scholar] [CrossRef]
- Kato-Noguchi, H.; Mizutani, J.; Hasegawa, K. Allelopathy of oats. II. Allelochemical effect of L-tryptophan and its concentration in oat root exudates. J. Chem. Ecol. 1994, 20, 315–319. [Google Scholar] [CrossRef]
- Nakano, H.; Nakajima, E.; Fujii, Y.; Yamada, K.; Shigemori, H.; Hasegawa, K. Leaching of the allelopathic substance—Tryptophan from the foliage of mesquite (Prosopis juliflora (Sw.) DC.) plants by water spraying. Plant Growth Regul. 2003, 40, 49–52. [Google Scholar] [CrossRef]
- Corpas, F.J.; Gupta, D.K.; Palma, J.M. Tryptophan: A precursor of signaling molecules in higher plants. In Hormones and Plant Response; Gupta, D.K., Corpas, F.J., Eds.; Springer: Cham, Switzerland, 2021; pp. 273–289. [Google Scholar]
- Miller, H.G.; Ikawa, M.; Peirce, L.C. Caffeic acid identified as an inhibitory compound in asparagus root filtrate. HortScience 1991, 26, 1525–1527. [Google Scholar] [CrossRef]
- Symes, A.; Shavandi, A.; Zhang, H.; Mohamed Ahmed, I.A.M.; Al-Juhaimi, F.Y.; Bekhit, A.E.D.A. Antioxidant activities and caffeic acid content in New Zealand asparagus (Asparagus officinalis) roots extracts. Antioxidants 2018, 7, 52. [Google Scholar] [CrossRef]
- Noperi-Mosqueda, L.C.; López-Moreno, F.J.; Navarro-León, E.; Sánchez, E.; Blasco, B.; Moreno, D.A.; Soriano, T.; Ruiz, J.M. Effects of asparagus decline on nutrients and phenolic compounds, spear quality, and allelopathy. Sci. Hortic. 2020, 261, 109029. [Google Scholar] [CrossRef]
- Li, Z.H.; Wang, Q.; Ruan, X.; Pan, C.D.; Jiang, D.A. Phenolics and plant allelopathy. Molecules 2010, 15, 8933–8952. [Google Scholar] [CrossRef] [PubMed]
- Chen, L.; Li, J.; Zhu, Y.; Guo, L.; Ji, R.; Miao, Y.; Guo, L.; Du, H.; Liu, D. Caffeic acid, an allelochemical in Artemisia argyi, inhibits weed growth via suppression of mitogen-activated protein kinase signaling pathway and the biosynthesis of gibberellin and phytoalexin. Front. Plant Sci. 2022, 12, 802198. [Google Scholar] [CrossRef]
- Gupta, R.; Chakrabarty, S.K. Gibberellic acid in plant: Still a mystery unresolved. Plant Signal. Behav. 2013, 8, e25504. [Google Scholar] [CrossRef]
- Hedden, P.; Sponsel, V. A century of gibberellin research. J. Plant Growth Regul. 2015, 34, 740–760. [Google Scholar] [CrossRef]
- Zhang, S.; Klessig, D.F. MAPK cascades in plant defense signaling. Trends Plant Sci. 2001, 6, 520–527. [Google Scholar] [CrossRef] [PubMed]
- Meng, X.; Zhang, S. MAPK cascades in plant disease resistance signaling. Annu. Rev. Phytopathol. 2013, 51, 245–266. [Google Scholar] [CrossRef]
- Kato-Noguchi, H.; Nakamura, K.; Ohno, O.; Suenaga, K.; Okuda, N. Asparagus decline: Autotoxicity and autotoxic compounds in asparagus rhizomes. J. Plant Physiol. 2017, 213, 23–29. [Google Scholar] [CrossRef]
- Wu, L.; Li, L.; Dong, P.; Zhang, L.; Tang, H.; Han, Y.; Xie, G. Allelopathy of p-coumaric acid on Limnothrix sp., a bloom-forming cyanobacteria. Algal Res. 2003, 75, 103268. [Google Scholar] [CrossRef]
- Jia, M.; Wang, X.; Zhu, X.; Du, Y.; Zhou, P.; Wang, G.; Wang, N.; Bai, Y. Accumulation of coumaric acid is a key factor in tobacco continuous cropping obstacles. Front. Plant Sci. 2024, 15, 1477324. [Google Scholar] [CrossRef] [PubMed]
- Imai, T.; Nomura, M.; Fukushima, K. Evidence for involvement of the phenylpropanoid pathway in the biosynthesis of the norlignan agatharesinol. J. Plant Physiol. 2006, 163, 483–487. [Google Scholar] [CrossRef] [PubMed]
- Li, X.N.; Chu, C.; Cheng, D.P.; Tong, S.Q.; Yan, J.Z. Norlignans from Asparagus cochinchinensis. Nat. Prod. Commun. 2012, 7, 1934578X1200701027. [Google Scholar] [CrossRef]
- Fuentes-Alventosa, J.M.; Jaramillo, S.; Rodríguez-Gutiérrez, G.; Cermeño, P.; Espejo, J.A.; Jiménez-Araujo, A.; Guillén-Bejarano, R.; Fernández-Bolaños, J.; Rodríguez-Arcos, R. Flavonoid profile of green asparagus genotypes. J. Agric. Food Chem. 2008, 56, 6977–6984. [Google Scholar] [CrossRef]
- Zhang, M.; Zhao, G.H.; Zhang, G.S.; Wei, X.Y.; Shen, M.X.; Liu, L.P.; Ding, X.; Liu, Y. A targeted analysis of flavonoids in asparagus using the UPLC-MS technique. Czech J. Food Sci. 2020, 38, 77–83. [Google Scholar] [CrossRef]
- Sobhy, Y.; Mady, M.; Mina, S.; Abo-zeid, Y. Phytochemical and pharmacological values of two major constituents of Asparagus species and their nano formulations: A review. J. Adv. Pharm. Res. 2022, 6, 94–106. [Google Scholar] [CrossRef]
- Weston, L.A.; Mathesius, U. Flavonoids: Their structure, biosynthesis and role in the rhizosphere, including allelopathy. J. Chem. Ecol. 2013, 39, 283–297. [Google Scholar] [CrossRef]
- Kato-Noguchi, H.; Nakamura, K.; Okuda, N. Involvement of an autotoxic compound in asparagus decline. J. Plant Physiol. 2018, 224, 49–55. [Google Scholar] [CrossRef]
- Salvador, V.H.; Lima, R.B.; dos Santos, W.D.; Soares, A.R.; Böhm, P.A.F.; Marchiosi, R.; de Lourdes Lucio Ferrarese, M.; Ferrarese-Filho, O. Cinnamic acid increases lignin production and inhibits soybean root growth. PLoS ONE 2013, 8, e69105. [Google Scholar] [CrossRef] [PubMed]
- López-González, D.; Bruno, L.; Díaz-Tielas, C.; Lupini, A.; Aci, M.M.; Talarico, E.; Madeo, M.L.; Muto, A.; Sánchez-Moreiras, A.M.; Araniti, F. Short-term effects of trans-cinnamic acid on the metabolism of Zea mays L. roots. Plants 2023, 12, 189. [Google Scholar] [PubMed]
- Fujita, K.I.; Kubo, I. Synergism of polygodial and trans-cinnamic acid on inhibition of root elongation in lettuce seedling growth bioassays. J. Chem. Ecol. 2003, 29, 2253–2262. [Google Scholar] [CrossRef]
- Abenavoli, M.R.; Lupini, A.; Oliva, S.; Sorgonà, A. Allelochemical effects on net nitrate uptake and plasma membrane H+-ATPase activity in maize seedlings. Biol. Plant. 2010, 54, 149–153. [Google Scholar] [CrossRef]
- Ye, S.F.; Zhou, Y.H.; Sun, Y.; Zou, L.Y.; Yu, J.Q. Cinnamic acid causes oxidative stress in cucumber roots, and promotes incidence of Fusarium wilt. Environ. Exp. Bot. 2006, 56, 255–262. [Google Scholar] [CrossRef]
- Jităreanu, A.; Tătărîngă, G.; Zbancioc, A.M.; Stănescu, U. Toxicity of some cinnamic acid derivatives to common bean (Phaseolus vulgaris). Not. Bot. Horti Agrobot. Cluj-Napoca 2011, 39, 130–134. [Google Scholar] [CrossRef]
- Wong, W.S.; Guo, D.; Wang, X.L.; Yin, Z.Q.; Xia, B.; Ning Li, N. Study of cis-cinnamic acid in Arabidopsis thaliana. Plant Physiol. Biochem. 2005, 43, 929–937. [Google Scholar] [CrossRef]
- Steenackers, W.; Klíma, P.; Quareshy, M.; Cesarino, I.; Kumpf, R.P.; Corneillie, S.; Araújo, P.; Viaene, T.; Goeminne, G.; Nowack, M.K.; et al. cis-Cinnamic acid is a novel, natural auxin efflux inhibitor that promotes lateral root formation. Plant Physiol. 2017, 173, 552–565. [Google Scholar]
- Dixon, R.A.; Achnine, L.; Kota, P.; Liu, C.J.; Reddy, M.S.; Wang, L. The phenylpropanoid pathway and plant defense—A genomics perspective. Mol. Plant Pathol. 2002, 3, 371–390. [Google Scholar] [CrossRef]
- Vogt, T. Phenylpropanoid biosynthesis. Mol. Plant 2010, 3, 2–20. [Google Scholar] [CrossRef]
- Yu, J.; Xie, J.; Sun, M.; Xiong, S.; Xu, C.; Zhang, Z.; Li, M.; Li, C.; Lin, L. Plant-derived caffeic acid and its derivatives: An overview of their NMR data and biosynthetic pathways. Molecules 2024, 29, 1625. [Google Scholar] [CrossRef] [PubMed]
- Marty, F. Plant vacuoles. Plant Cell 1999, 11, 587–599. [Google Scholar]
- Shimada, T.; Takagi, J.; Ichino, T.; Shirakawa, M.; Hara-Nishimura, I. Plant vacuoles. Annu. Rev. Plant Biol. 2018, 69, 123–145. [Google Scholar] [CrossRef] [PubMed]
- Bennett, R.N.; Wallsgrove, R.M. Secondary metabolites in plant defence mechanisms. New Phytol. 1994, 127, 617–633. [Google Scholar] [CrossRef] [PubMed]
- Dangl, J.L.; Jones, J.D. Plant pathogens and integrated defence responses to infection. Nature 2001, 411, 826–833. [Google Scholar] [CrossRef] [PubMed]
- Iriti, M.; Faoro, F. Chemical diversity and defence metabolism: How plants cope with pathogens and ozone pollution. Int. J. Mol. Sci. 2009, 10, 3371–3399. [Google Scholar] [CrossRef]
- Muthamilarasan, M.; Prasad, M. Plant innate immunity: An updated insight into defense mechanism. J. Biosci. 2013, 38, 433–449. [Google Scholar] [CrossRef]
- Rosado-Álvarez, C.; Molinero-Ruiz, L.; Rodríguez-Arcos, R.; Basallote-Ureba, M.J. Antifungal activity of asparagus extracts against phytopathogenic Fusarium oxysporum. Sci. Hortic. 2014, 171, 51–57. [Google Scholar] [CrossRef]
- Desoukey, S.F.; El-Nahas, S.E.; Sabh, A.Z.; Taha, Z.K.; El-Shabrawi, H.M. Antimicrobial effect of Asparagus officinalis L. extracts. Plant Arch. 2020, 20, 9253–9264. [Google Scholar]
- He, C.; Hsiang, T.; Wolyn, D.J. Activation of defense responses to Fusarium infection in Asparagus densiflorus. Eur. J. Plant Pathol. 2001, 107, 473–483. [Google Scholar] [CrossRef]
- Wu, H.S.; Luo, J.; Raza, W.; Liu, Y.X.; Gu, M.; Chen, G.; Hu, X.F.; Wang, J.H.; Mao, Z.S.; Shen, Q.R. Effect of exogenously added ferulic acid on in vitro Fusarium oxysporum f. sp. niveum. Sci. Hortic. 2010, 124, 448–453. [Google Scholar] [CrossRef]
- Hao, W.Y.; Ren, L.X.; Ran, W.; Shen, Q.R. Allelopathic effects of root exudates from watermelon and rice plants on Fusarium oxysporum f. sp. niveum. Plant Soil 2010, 336, 485–497. [Google Scholar] [CrossRef]
- Lalak-Kańczugowska, J.; Witaszak, N.; Waśkiewicz, A.; Bocianowski, J.; Stępień, Ł. Plant metabolites affect Fusarium proliferatum metabolism and in vitro fumonisin biosynthesis. Int. J. Mol. Sci. 2023, 24, 3002. [Google Scholar] [CrossRef]
- Górna, K.; Pawłowicz, I.; Waśkiewicz, A.; Stępień, Ł. Fusarium proliferatum strains change fumonisin biosynthesis and accumulation when exposed to host plant extracts. Fungal Biol. 2016, 120, 884–893. [Google Scholar] [CrossRef] [PubMed]
- Witaszak, N.; Lalak-Kańczugowska, J.; Waśkiewicz, A.; Stępień, Ł. The impacts of asparagus extract fractions on growth and fumonisins biosynthesis in Fusarium proliferatum. Toxins 2020, 12, 95. [Google Scholar] [CrossRef]
- Peirce, L.C.; Miller, H.G. Interaction of asparagus autotoxin with Fusarium. Acta Hortic. 1990, 271, 305–314. [Google Scholar] [CrossRef]
- Guo, Y.; Lv, J.; Zhao, Q.; Dong, Y.; Dong, K. Cinnamic acid increased the incidence of fusarium wilt by increasing the pathogenicity of Fusarium oxysporum and reducing the physiological and biochemical resistance of faba bean, which was alleviated by intercropping with wheat. Front. Plant Sci. 2020, 11, 608389. [Google Scholar] [CrossRef]
- Yang, W.; Guo, Y.; Li, Y.; Zheng, Y.; Dong, K.; Dong, Y. Cinnamic acid toxicity on the structural resistance and photosynthetic physiology of faba bean promoted the occurrence of fusarium wilt of faba bean, which was alleviated through wheat and faba bean intercropping. Front. Plant Sci. 2022, 13, 857780. [Google Scholar] [CrossRef]
- Miedes, E.; Vanholme, R.; Boerjan, W.; Molina, A. The role of the secondary cell wall in plant resistance to pathogens. Front. Plant Sci. 2014, 5, 358. [Google Scholar] [CrossRef] [PubMed]
- Bacete, L.; Mélida, H.; Miedes, E.; Molina, A. Plant cell wall-mediated immunity: Cell wall changes trigger disease resistance responses. Plant J. 2018, 93, 614–636. [Google Scholar] [CrossRef]
- Kumar, M.; Brar, A.; Yadav, M.; Chawade, A.; Vivekanand, V.; Pareek, N. Chitinases—Potential candidates for enhanced plant resistance towards fungal pathogens. Agriculture 2018, 8, 88. [Google Scholar] [CrossRef]
- Vaghela, B.; Vashi, R.; Rajput, K.; Joshi, R. Plant chitinases and their role in plant defense: A comprehensive review. Enzym. Microb. Technol. 2022, 159, 110055. [Google Scholar] [CrossRef]
- Ozawa, T.; Hattori, T.; Komura, T.; Oka, J.; Komatsu, K.; Tsukada, M.; Motoki, S. Allelopathy in asparagus 1: Reduction of the allelopathic effect on asparagus by the flowable agent in activated carbon. Acta Hortic. 2002, 589, 381–386. [Google Scholar] [CrossRef]
- Yeasmin, R.; Motoki, S.; Yamamoto, S.; Nishihara, E. Activated carbon and phosphorus application influence the growth of asparagus. Glob. J. Sci. Front. Res. 2013, 13, 1–7. [Google Scholar]
- Motoki, S.; Nishihara, E.; Kitazawa, H.; Hiradate, S.; Fujii, Y.; Shinohara, Y. Activated carbon utilization to reduce allelopathy that obstructs the continuous cropping of asparagus (Asparagus officinalis L.). Hort. Res. Jpn. 2006, 5, 437–442. [Google Scholar] [CrossRef]
- Motoki, S.; Nishihara, E.; Takahashi, N.; Limbers, H.; Shinohara, Y. Effects of activated carbon to reduce allelopathy during raising the seedling stage. Hort. Res. Jpn. 2007, 6, 603–609. [Google Scholar][Green Version]
- Tang, T.L.; Motoki, S. Differences in growth-inhibitory activity among different parts of asparagus and the effects of activated carbon on its reduction. Acta Hortic. 2018, 1223, 257–262. [Google Scholar] [CrossRef]
- Sunada, K.; Ding, X.G.; Utami, M.S.; Kawashima, Y.; Miyama, Y.; Hashimoto, K. Detoxification of phytotoxic compounds by TiO2 photocatalysis in a recycling hydroponic cultivation system of asparagus. J. Agric. Food Chem. 2008, 56, 4819–4824. [Google Scholar] [PubMed]
- Reid, T.C.; Hausbeck, M.K.; Kizilkaya, K. Use of fungicides and biological controls in the suppression of Fusarium crown and root rot of asparagus under greenhouse and growth chamber conditions. Plant Dis. 2002, 86, 493–498. [Google Scholar] [CrossRef]
- Counts, J.W.; Hausbeck, M.K. Strategies for managing Fusarium crown and root rot on asparagus. Acta Hortic. 2008, 776, 167–172. [Google Scholar] [CrossRef]
- Yeasmin, R.; Bonser, S.P.; Motoki, S.; Nishihara, E. Arbuscular mycorrhiza influences growth and nutrient uptake of asparagus (Asparagus officinalis L.) under heat stress. HortScience 2019, 54, 846–850. [Google Scholar] [CrossRef]
- Blok, W.J.; Bollen, G.J. Interactions of asparagus root tissue with soil microorganisms as a factor in early decline of asparagus. Plant Pathol. 1996, 45, 809–822. [Google Scholar] [CrossRef]
- Reid, T.C.; Hausbeck, M.K.; Kizilkaya, K. Effects of sodium chloride on commercial asparagus and of alternative forms of chloride salt on Fusarium crown and root rot. Plant Dis. 2001, 85, 1271–1274. [Google Scholar] [CrossRef]
- Elmer, W.H. Combining nonpathogenic strains of Fusarium oxysporum with sodium chloride to suppress fusarium crown rot of asparagus in replanted fields. Plant Pathol. 2004, 53, 751–758. [Google Scholar] [CrossRef]
- Blok, W.J.; Coenen, T.C.M.; Termorshuizen, A.J.; Lamers, J.G. The potential of biological soil disinfestation to manage Fusarium foot and root rot in asparagus. Acta Hortic. 2008, 776, 135–144. [Google Scholar] [CrossRef]
- López-Moreno, F.J.; Navarro-León, E.; Soriano, T.; Ruiz, J.M. Physiological characterization of asparagus decline syndrome. Plant Soil 2025, 513, 2757–2768. [Google Scholar] [CrossRef]
- Lopez-Moreno, F.J.; Navarro-Leon, E.; de Cara, M.; Soriano, T.; Ruiz, J.M. Physiological responses of asparagus plants to soil disinfection strategies targeting asparagus decline syndrome. Plants 2025, 14, 1992. [Google Scholar] [CrossRef] [PubMed]
- Djalali Farahani-Kofoet, R.; Häfner, F.; Feller, C. Effect of organic and mineral soil additives on asparagus growth and productivity in replant soils. Agronomy 2023, 13, 1464. [Google Scholar] [CrossRef]
- Lacy, M.L. Effects of chemicals on stand establishment and yields of asparagus. Plant Dis. Rep. 1979, 63, 612–616. [Google Scholar]
- Knaflewski, M.; Weber, Z.; Biniek, A.; Werner, M. Fungicide control of Fusarium infection of asparagus. Meded. Fac. Landbouwwet. Rijksuniv. Gent 1993, 58, 1493–1499. [Google Scholar]
- Pontaroli, A.C.; Camadro, E.L. Increasing resistance to Fusarium crown and root rot in asparagus by gametophyte selection. Euphytica 2001, 122, 343–350. [Google Scholar] [CrossRef]
- Kathe, L.; Krämer, R.; Budahn, H.; Pillen, K.; Rabenstein, F.; Nothnagel, T. Development of a bioassay to assess resistance to Fusarium oxysporum (Schlecht.) in asparagus (Asparagus officinalis L.). J. Phytopathol. 2019, 167, 558–566. [Google Scholar] [CrossRef]
- Karlen, D.L.; Varvel, G.E.; Bullock, D.G.; Cruse, R.M. Crop rotations for the 21st century. Adv. Agron. 1994, 53, 1–45. [Google Scholar]
- Zhou, Y.; Yang, Z.; Liu, J.; Li, X.; Wang, X.; Dai, C.; Zhang, T.; Carrión, V.J.; Wei, Z.; Cao, F.; et al. Crop rotation and native microbiome inoculation restore soil capacity to suppress a root disease. Nat. Commun. 2023, 14, 8126. [Google Scholar] [CrossRef]






| Autotoxic Substance | Mechanism of Action | Reference |
|---|---|---|
| trans-Cinnamic acid | Induction of oxidative stress. Interruption of auxin biosynthesis. Disruption of cell membranes and defense function. Enhance Fusarium pathogenicity. | [151,152,153,154,155,156,177,178] |
| p-Coumaric acid | Induction of oxidative stress. Disruption of cell membranes and photosynthesis. | [135,142] |
| Caffeic acid | Induction of oxidative stress. Interruption of gibberellic acid biosynthesis and MAPK signaling pathway. Enhance Fusarium pathogenicity. | [135,136,171] |
| Ferulic acid | Disruption of cell membranes and walls, and photosynthesis. Inhibition of arbuscular mycorrhizal colonization. Enhance Fusarium pathogenicity. | [124,125,126,171] |
| Tryptophan | Interruption of auxin biosynthesis. | [129,131] |
| 3.4-Methylenedioxycinnamic acid | Inhibition of 4-coumarate-CoA ligase | [120,121,122] |
| Iso-agatharesinol | unknown | --- |
Disclaimer/Publisher’s Note: The statements, opinions and data contained in all publications are solely those of the individual author(s) and contributor(s) and not of MDPI and/or the editor(s). MDPI and/or the editor(s) disclaim responsibility for any injury to people or property resulting from any ideas, methods, instructions or products referred to in the content. |
© 2026 by the authors. Licensee MDPI, Basel, Switzerland. This article is an open access article distributed under the terms and conditions of the Creative Commons Attribution (CC BY) license.
Share and Cite
Kato-Noguchi, H.; Kato, M. Asparagus Decline and Replant Problem: Autotoxicity, Autotoxic Substances, and Their Biological Functions. Biology 2026, 15, 537. https://doi.org/10.3390/biology15070537
Kato-Noguchi H, Kato M. Asparagus Decline and Replant Problem: Autotoxicity, Autotoxic Substances, and Their Biological Functions. Biology. 2026; 15(7):537. https://doi.org/10.3390/biology15070537
Chicago/Turabian StyleKato-Noguchi, Hisashi, and Midori Kato. 2026. "Asparagus Decline and Replant Problem: Autotoxicity, Autotoxic Substances, and Their Biological Functions" Biology 15, no. 7: 537. https://doi.org/10.3390/biology15070537
APA StyleKato-Noguchi, H., & Kato, M. (2026). Asparagus Decline and Replant Problem: Autotoxicity, Autotoxic Substances, and Their Biological Functions. Biology, 15(7), 537. https://doi.org/10.3390/biology15070537

