A Comprehensive Assessment Using Physicochemical and Microbial Indicators Reveals Enhanced Soil Health Under Integrated Rice-Red Swamp Crayfish (Procambarus clarkii) Farming
Simple Summary
Abstract
1. Introduction
2. Materials and Methods
2.1. Experiment Design and Sample Collection
2.2. Soil Property Analysis and Measurement Methods
2.3. DNA Extraction and Metagenomic Sequencing
2.4. Statistical Analyses and Data Visualization
2.5. Soil Health Index (SHI) Calculation Method
2.5.1. Determine Soil Health Evaluation Indicators and Construct a Minimum Data Set (MDS)
2.5.2. Indicator Transformation, Weight Determination and Calculation of Soil Health Index (SHI)
3. Results
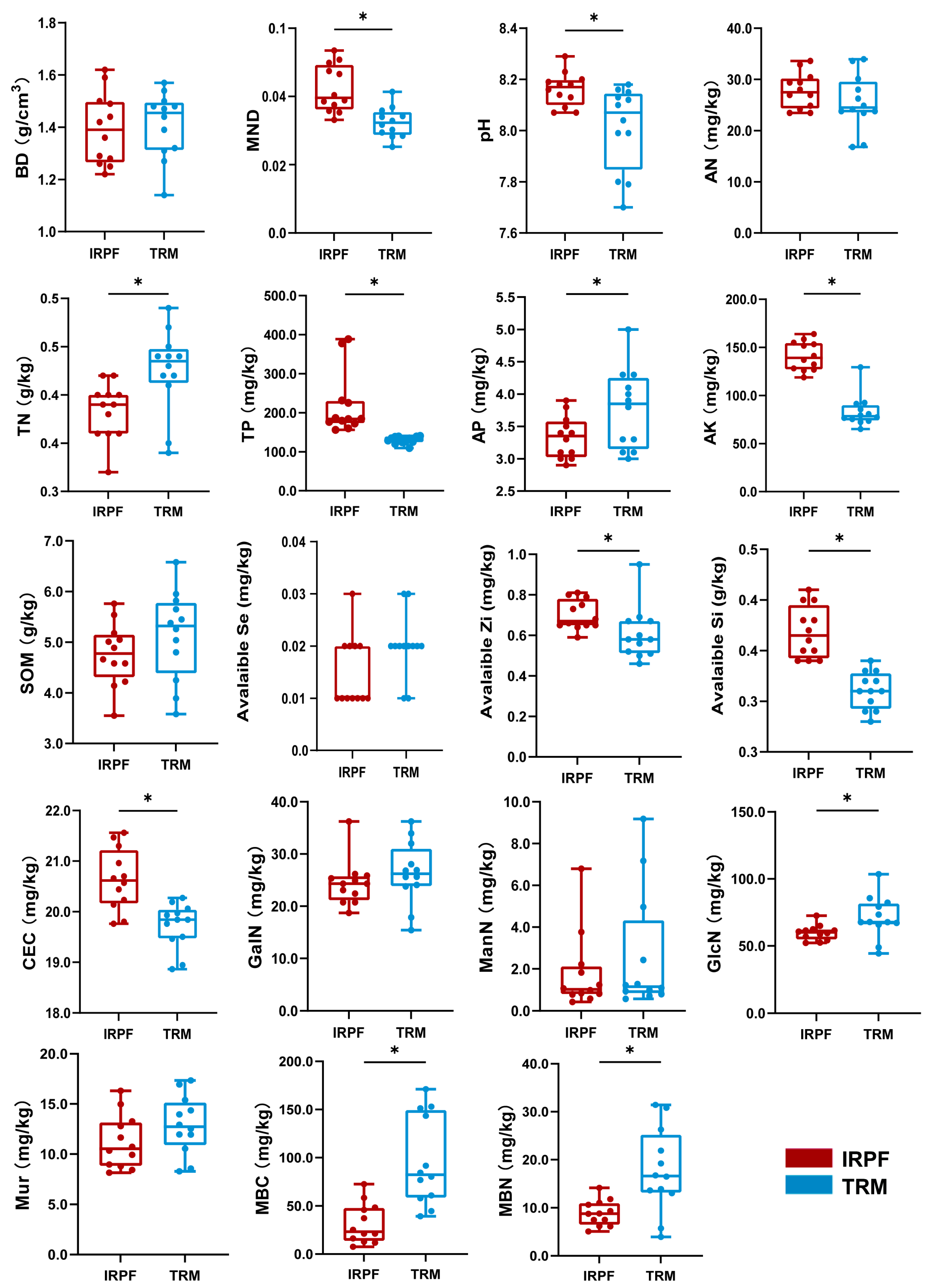
3.1. Soil Properties
3.2. Soil Microbial Communities
3.3. Soil Health Index Calculation Results
4. Discussion
4.1. Effects of Integrated Rice-Red Swamp Crayfish Farming on Soil Properties
4.2. Effects of Integrated Rice-Red Swamp Crayfish Farming on Soil Microorganisms
4.3. Effects of Integrated Rice-Red Swamp Crayfish Farming on Soil Health Status
5. Conclusions
Supplementary Materials
Author Contributions
Funding
Institutional Review Board Statement
Informed Consent Statement
Data Availability Statement
Conflicts of Interest
Abbreviations
| IRPF | Integrated rice-red swamp crayfish Procambarus clarkii farming |
| TRM | Traditional rice monoculture |
| AK | Available potassium |
| TN | Total nitrogen |
| TP | Total phosphorus |
| AN | Available nitrogen |
| AP | Available phosphorus |
| SOM | Soil organic matter |
| CEC | Cation exchange capacity |
| MBC | Microbial biomass carbon |
| MBN | Microbial biomass nitrogen |
| Mur | Muramic acid |
| GlcN | Glucosamine |
| GalN | Galactosamine |
| ManN | Mannosamine |
| MWD | Mean weight diameter |
| BD | Bulk density |
| MDS | Minimum Dataset |
| SHI | Soil Health Index |
| PCA | Principal Component Analysis |
References
- Gao, Y. The Importance of Soil Conservation and Remediation Technologies in Agricultural Development. Agric. Dev. Equip. 2024, 157–159. [Google Scholar] [CrossRef]
- Wang, W.; Liu, Y.; Tang, H.; Sun, Z.; Li, B.; Ge, T.; Wu, J. Effects of Long-term Fertilization Regimes on Microbial Biomass, Community Structure and Activity in a Paddy Soil. Environ. Sci. 2018, 39, 430–437. [Google Scholar]
- Zhang, T.; Wang, X. Development and orientation of research work on soil degradation. J. Nat. Resour. 2000, 280–284. [Google Scholar] [CrossRef]
- Coban, O.; De Deyn, G.B.; van der Ploeg, M. Soil microbiota as game-changers in restoration of degraded lands. Science 2022, 375, 990. [Google Scholar] [CrossRef]
- Wang, Q.; Dong, W.; Li, X.; Wang, H.; Huo, L. Advances in Soil Health Assessment. Mod. Agric. Res. 2022, 28, 10–12. [Google Scholar] [CrossRef]
- Huang, Y.; Ren, W.; Wang, L.; Hui, D.; Grove, J.H.; Yang, X.; Tao, B.; Goff, B. Greenhouse gas emissions and crop yield in no-tillage systems: A meta-analysis. Agric. Ecosyst. Environ. 2018, 268, 144–153. [Google Scholar] [CrossRef]
- Lv, L.; Gao, Z.; Liao, K.; Zhu, Q.; Zhu, J. Impact of conservation tillage on the distribution of soil nutrients with depth. Soil Tillage Res. 2023, 225, 105527. [Google Scholar] [CrossRef]
- Zhu, Y.; Li, J.; Zhang, C.; Zhang, X. Effects of long-term conservation tillage on black soil organic carboncomponents in sloping farmland. Trans. Chin. Soc. Agric. Eng. 2023, 39, 103–111. [Google Scholar]
- Wang, Z.; Sun, H.; Xu, L.; Wang, Y.; Zhang, K.; Lin, F. An Analysis of the Eco-Environmental Benefits of Integrated Rice-Fish Farming Systems. Mod. Agric. Sci. Technol. 2025, 101–106. [Google Scholar] [CrossRef]
- Zhang, X. Vigorously develop integrated rice-fish farming to promote the transformation and structural adjustment of the fishery industry. China Fish. 2017, 3–5. [Google Scholar] [CrossRef]
- National Fisheries Technology Extension Center; China Society of Fisheries. China Rice-Fish Integrated Farming Industry Development Report (2025); National Fisheries Technology Extension Center: Beijing, China, 2025.
- Yu, Z.; Tao, X.; Jia, R.; Hou, Y.; Li, Z.; Dong, Y.; Li, B.; Zhu, J. Effects of two rice-shrimp co-cultural models on soil organic nitrogen mineralization. J. South. Agric. 2022, 53, 1357–1367. [Google Scholar]
- Qin, B.; Han, G.; Wu, L.; Zhang, J.; Wang, S.; Zhu, L.; Bi, J.; Kou, X.; Ge, H.; Chen, X.; et al. Characteristics of bacterial communities in water and soil under rice-crayfish co-cropping pattern. J. Yangzhou Univ. 2024, 45, 29–41. [Google Scholar] [CrossRef]
- Si, G.; Peng, C.; Xu, X.; Zhao, S.; Xu, D.; Yuan, J.; Jia, P.; Liu, J. Effects of Rice-crayfish Integrated Mode on Soil Microbial Functional Diversity and Fertility in Waterlogged Paddy Field. Soils 2016, 48, 503–509. [Google Scholar] [CrossRef]
- Zhu, X.; Peng, C.; Si, G.; Sha, A.; Yuan, J.; Zhao, S.; Xu, D. Effect of Rice-Crayfish Integrated System on Soil Bacterial Community Structure and Diversity in Paddy Field. Chin. J. Soil Sci. 2021, 52, 1121–1128. [Google Scholar]
- Wang, R.; Zhu, J.; Jin, T.; Liu, Z. Characteristics of ammonia oxidation microbial abundance and community structure in paddy soils of rice–crayfish symbiosis farming system. J. Plant Nutr. Fertil. 2019, 25, 1887–1899. [Google Scholar]
- Zhang, J.; Li, Y.; Li, Y.; Zhang, J.; Zhang, F. Advances in the Indicator System and Evaluation Approaches of Soil Health. Acta Pedol. Sin. 2022, 59, 603–616. [Google Scholar]
- Wang, H.; Zhang, T. Research Progress of Agricultural Soil Health Evaluation System. J. Ecol. Rural. Environ. 2022, 38, 1093–1100. [Google Scholar] [CrossRef]
- Andrews, S.S.; Karlen, D.L.; Mitchell, J.P. A comparison of soil quality indexing methods for vegetable production systems in Northern California. Agr. Ecosyst. Environ. 2002, 90, 25–45. [Google Scholar] [CrossRef]
- Ren, F.; Wang, Q. Current status and prospects of soil health research in China. J. Environ. Eng. Technol. 2024, 14, 1403–1411. [Google Scholar]
- Liu, Z.J.; Zhou, W.; Shen, J.B.; Li, S.T.; Ai, C. Soil quality assessment of yellow clayey paddy soils with different productivity. Biol. Fert. Soils 2014, 50, 537–548. [Google Scholar] [CrossRef]
- Zhao, X.H.; Tong, M.M.; He, Y.J.; Han, X.R.; Wang, L.Q. A comprehensive, locally adapted soil quality indexing under different land uses in a typical watershed of the eastern Qinghai-Tibet Plateau. Ecol. Indic. 2021, 125, 107445. [Google Scholar] [CrossRef]
- GB/T 33469-2016; Cultivated Land Quality Grade. Ministry of Agriculture and Rural Affairs of the People’s Republic of China: Beijing, China, 2016.
- Zhao, W.; Hu, R.; Ding, F.; Ma, J.; Zeng, X.; Xia, D.; Wang, J.; Mao, W.; Qian, X. Evaluation of Soil Fertility Quality of Shan’gang Facility Vegetable Plot in Zhangjiagang City: Comparison of Evaluation Results Based on Principal Component Analysis and Fuzzy Mathematics. China Veg. 2025, 1, 173–182. [Google Scholar]
- He, H.Y.; Meng, P.P.; Chen, J.Y.; Qiu, Y.Q.; Cao, Y.X.; Lv, Q.H.; Zhang, Y.X.; Zhang, H.R. Effects of soil bulk density on respiratory metabolism and medicinal quality of root. Ind. Crop Prod. 2024, 216, 118796. [Google Scholar] [CrossRef]
- Li, W.Y.; Xia, Y.Y.; Tan, X.H.; Gan, F.L.; Jiang, L.S.; Xu, X.Y.; Yan, Y.J.; Fan, Y.C.; Pu, J.B. Does the returning farmland to grassland (retiring grassland) improve the soil aggregate stability in erosion and deposition sites? Catena 2025, 255, 12. [Google Scholar] [CrossRef]
- Liu, M.; Xue, R.J.; Han, N.B.; Yang, S.Q.; Wang, D.X.; Hu, Y.X.; Gu, K.Y.; Su, J.E. The impact of different preceding crops on soil nitrogen structure and nitrogen cycling in tobacco-planting soil. Sci. Rep. 2024, 14, 1767. [Google Scholar] [CrossRef]
- Al Shoumik, B.A.; Khan, M.Z.; Blonska, E.; Lasota, J. Dynamics of soil organic carbon and total nitrogen in particulate and mineral-associated organic matter fractions under different continuous land use patterns across Europe. Agr. Ecosyst. Environ. 2025, 381, 109411. [Google Scholar] [CrossRef]
- Jiang, Y.M.; Huang, J.; Guo, X.; Ye, Y.C.; Liu, J.; Jiang, Y.F. Factors Influencing the Spatial Distribution of Soil Total Phosphorus Based on Structural Equation Modeling. Agriculture 2025, 15, 1013. [Google Scholar] [CrossRef]
- Takahashi, Y.; Katoh, M. Variations in the level of available phosphorus with changes in the status of water-soluble organic matter derived from different organic materials in soil. J. Environ. Manage 2024, 370, 122531. [Google Scholar] [CrossRef] [PubMed]
- He, P.; Yang, L.P.; Xu, X.P.; Zhao, S.C.; Chen, F.; Li, S.T.; Tu, S.H.; Jin, J.Y.; Johnston, A.M. Temporal and spatial variation of soil available potassium in China (1990–2012). Field Crop Res. 2015, 173, 49–56. [Google Scholar] [CrossRef]
- Kabala, C.; Jedrzejewski, S. Comparison of cation exchange capacity extraction methods for soil data harmonization and soil classification in Central and East Europe. Geoderma 2024, 450, 117044. [Google Scholar] [CrossRef]
- Huang, W.; Xu, Q.G.; Wu, N. Effects of Selenium-Enriched Rape Returning Amount on Available Selenium Content in Paddy Soil and Selenium Accumulation in Rice. Int. J. Anal. Chem. 2022, 2022, 3101069. [Google Scholar] [CrossRef]
- Song, X.D.; Zhang, G.L.; Liu, F.; Li, D.C.; Zhao, Y.G. Characterization of the spatial variability of soil available zinc at various sampling densities using grouped soil type information. Environ. Monit. Assess. 2016, 188, 600. [Google Scholar] [CrossRef]
- Zhang, M.H.; Cheng, Y.; Wang, Y.Y.; Tibihenda, C.; Zhong, H.S.; Wu, J.L.; Zhang, C.; Cai, K.Z. Rice straw with earthworms increases readily oxidizable organic carbon and plant-available silicon in soil and large macroaggregates. Appl. Soil. Ecol. 2026, 218, 106717. [Google Scholar] [CrossRef]
- Lebron, I.; Feeney, C.J.; Reinsch, S.; Shokri, N.; Afshar, M.H.; Lofts, S.; Griffiths, R.; Fidler, D.; Jones, B.; Panagos, P.; et al. Patterns and thresholds for soil pH across Europe in relation to soil health and degradation. Catena 2025, 260, 109454. [Google Scholar] [CrossRef]
- Tuo, Y.; Tan, H.; Liang, J.P.; Li, J.Q.; Xiang, P.; Yang, Q.L.; He, X.H. Optimization of water and fertilizer management of based on changes in soil microbial biomass carbon and nitrogen and enzyme activities. Appl. Soil. Ecol. 2024, 196, 105282. [Google Scholar] [CrossRef]
- Maltari, R.; Seppänen, A.; Roslund, K.; Karhu, K. Modified fast UHPLC method for quantification of soil amino sugars—Improved sensitivity compared to the GC method. Soil. Biol. Biochem. 2026, 212, 110003. [Google Scholar] [CrossRef]
- Knight, C.G.; Nicolitch, O.; Griffiths, R.I.; Goodall, T.; Jones, B.; Weser, C.; Langridge, H.; Davison, J.; Dellavalle, A.; Eisenhauer, N.; et al. Soil microbiomes show consistent and predictable responses to extreme events. Nature 2024, 636, 690–696. [Google Scholar] [CrossRef] [PubMed]
- NY/T 1121.4-2006; Soil Testing Part 4: Method for Determination of Soil Bulk Density. Ministry of Agriculture and Rural Affairs of the People’s Republic of China: Beijing, China, 2006.
- NY/T 1121.3-2006; Soil Testing Part 3: Method for Determination of Soil Mechanical Composition. Ministry of Agriculture and Rural Affairs of the People’s Republic of China: Beijing, China, 2006.
- NY/T 85-1988; Method for Determination of Soil Organic Matter. Ministry of Agriculture and Rural Affairs of the People’s Republic of China: Beijing, China, 1988.
- LYT 1228-2015; Nitrogen Determination Methods of Forest Soils. Ministry of Agriculture and Rural Affairs of the People’s Republic of China: Beijing, China, 2015.
- HJ 632-2011; Soil-Determination of Total Phosphorus by Alkali Fusion-Mo-Sb Anti Spectrophotometric Method. Ministry of Agriculture and Rural Affairs of the People’s Republic of China: Beijing, China, 2011.
- HJ 704-2014; Soil Quality-Determination of Available Phosphorus-Sodium Hydrogen Carbonate Solution-Mo-Sb Anti Spectrophotometric Method. Ministry of Agriculture and Rural Affairs of the People’s Republic of China: Beijing, China, 2014.
- NY/T 889-2004; Determination of Exchangeable Potassium and Non-Exchangeable Potassium Content in Soil. Ministry of Agriculture and Rural Affairs of the People’s Republic of China: Beijing, China, 2005.
- HJ 889-2017; Soil Quality—Determination of Cation Exchange Capacity (CEC)—Hexamminecobalt Trichloride Solution-Spectrophotometric Meth. Ministry of Agriculture and Rural Affairs of the People’s Republic of China: Beijing, China, 2017.
- NY/T 1377-2007; Determination of pH in Soil. Ministry of Agriculture and Rural Affairs of the People’s Republic of China: Beijing, China, 2007.
- NY/T 3420-2019; Determination of Available Selenium in Soil- Hydride Generation Atomic Fluorescence Spectrometry. Ministry of Agriculture and Rural Affairs of the People’s Republic of China: Beijing, China, 2019.
- NY/T 890-2004; Determination of Available Zinc, Manganese, Iron, Copper in Soil-Extraction with Buffered DTPA Solution. Ministry of Agriculture and Rural Affairs of the People’s Republic of China: Beijing, China, 2005.
- NY/T 1121.15-2006; Soil Testing. Part 15: Method for Determination of Soil Available Silicon. Ministry of Agriculture and Rural Affairs of the People’s Republic of China: Beijing, China, 2006.
- GB/T 39228-2020; Determination of Soil Microbial Biomass- Fumigation-Extraction Method. Ministry of Agriculture and Rural Affairs of the People’s Republic of China: Beijing, China, 2020.
- 20232486-T-326; Determination of Amino Sugars in Soil by Gas Chromatography. Ministry of Agriculture and Rural Affairs of the People’s Republic of China: Beijing, China, 2023.
- Caporaso, J.G.; Kuczynski, J.; Stombaugh, J.; Bittinger, K.; Bushman, F.D.; Costello, E.K.; Fierer, N.; Peña, A.G.; Goodrich, J.K.; Gordon, J.I.; et al. QIIME allows analysis of high-throughput community sequencing data. Nat. Methods 2010, 7, 335–336. [Google Scholar] [CrossRef] [PubMed]
- Quast, C.; Pruesse, E.; Yilmaz, P.; Gerken, J.; Schweer, T.; Yarza, P.; Peplies, J.; Glöckner, F.O. The SILVA ribosomal RNA gene database project: Improved data processing and web-based tools. Nucleic Acids Res. 2013, 41, D590–D596. [Google Scholar] [CrossRef] [PubMed]
- Schloss, P.D.; Westcott, S.L.; Ryabin, T.; Hall, J.R.; Hartmann, M.; Hollister, E.B.; Lesniewski, R.A.; Oakley, B.B.; Parks, D.H.; Robinson, C.J.; et al. Introducing mothur: Open-Source, Platform-Independent, Community-Supported Software for Describing and Comparing Microbial Communities. Appl. Environ. Microbiol. 2009, 75, 7537–7541. [Google Scholar] [CrossRef] [PubMed]
- Luo, J.; Huang, W.; Zhang, Q.; Wu, Y.; Fang, F.; Cao, J.; Su, Y. Distinct effects of hypochlorite types on the reduction of antibiotic resistance genes during waste activated sludge fermentation: Insights of bacterial community, cellular activity, and genetic expression. J. Hazard. Mater. 2021, 403, 124010. [Google Scholar] [CrossRef] [PubMed]
- Bünemann, E.K.; Bongiorno, G.; Bai, Z.G.; Creamer, R.E.; De Deyn, G.; de Goede, R.; Fleskens, L.; Geissen, V.; Kuyper, T.W.; Mäder, P.; et al. Soil quality—A critical review. Soil. Biol. Biochem. 2018, 120, 105–125. [Google Scholar] [CrossRef]
- Si, S.; Wu, Y.; Li, Y.; Tu, C.; Fu, C.; Luo, Y. The Current Research Progress and Prospects of Cultivated and Grassland Soil Health—A Review. Acta Pedol. Sin. 2022, 59, 625–642. [Google Scholar]
- Purakayastha, T.J.; Pathak, H.; Kumari, S.; Biswas, S.; Chakrabarty, B.; Padaria, R.N.; Kamble, K.; Pandey, M.; Sasmal, S.; Singh, A. Soil health card development for efficient soil management in Haryana, India. Soil. Tillage Res. 2019, 191, 294–305. [Google Scholar] [CrossRef]
- Qi, Y.; Darilek, J.L.; Huang, B.; Zhao, Y.; Sun, W.; Gu, Z. Evaluating soil quality indices in an agricultural region of Jiangsu Province, China. Geoderma 2009, 149, 325–334. [Google Scholar] [CrossRef]
- Rinot, O.; Levy, G.J.; Steinberger, Y.; Svoray, T.; Eshel, G. Soil health assessment: A critical review of current methodologies and a proposed new approach. Sci. Total Environ. 2019, 648, 1484–1491. [Google Scholar] [CrossRef]
- Zhao, R.; Wu, K.; Liu, Y.; Feng, Z. Soil Health Evaluation at a County level Based on Soil Ecosystem Service Function. Chin. J. Soil. Sci. 2020, 51, 269–279. [Google Scholar] [CrossRef]
- Singh, S.; Jagadamma, S.; Yoder, D.; Yin, X.; Walker, F. A weighted soil heath index approach for refined assessment of soil health in cropping systems. Front. Soil. Sci. 2023, 3, 1118526. [Google Scholar] [CrossRef]
- Vasu, D.; Singh, S.K.; Ray, S.K.; Duraisami, V.P.; Tiwary, P.; Chandran, P.; Nimkar, A.M.; Anantwar, S.G. Soil quality index (SQI) as a tool to evaluate crop productivity in semi-arid Deccan plateau, India. Geoderma 2016, 282, 70–79. [Google Scholar] [CrossRef]
- Lenka, N.K.; Meena, B.P.; Lal, R.; Khandagle, A.; Lenka, S.; Shirale, A.O. Comparing Four Indexing Approaches to Define Soil Quality in an Intensively Cropped Region of Northern India. Front. Environ. Sci. 2022, 10, 865473. [Google Scholar] [CrossRef]
- Zhao, T. Construction and Evaluation of Soil Health Indexes in Paddy Fields Based on Soil Multifunctionality. Master’s Thesis, Zhejiang University, Hangzhou, China, 2024. [Google Scholar]
- Kemper, W.D.; Rosenau, R.C. Aggregate Stability and Size Distributions. In Methods of Soil Analysis. Part I. Physical and Mineralogical Methods; Wiley: Hoboken, NJ, USA, 1986; pp. 425–442. [Google Scholar]
- Si, G.; Peng, C.; Xu, X.; Xu, D.; Yuan, J.; Li, J. Effect of integrated rice-crayfish farming system on soil physico-chemical properties in waterlogged paddy soils. Chin. J. Eco-Agric. 2017, 25, 61–68. [Google Scholar] [CrossRef]
- Yanagi, Y.; Shindo, H. Assessment of Long-Term Compost Application on Physical, Chemical, and Biological Properties, as Well as Fertility, of Soil in a Field Subjected to Double Cropping. Agric. Sci. 2016, 7, 30–43. [Google Scholar] [CrossRef]
- Hou, Y.R.; Jia, R.; Sun, W.; Li, B.; Zhu, J. Influences of the Integrated Rice-Crayfish Farming System with Different Stocking Densities on the Paddy Soil Microbiomes. Int. J. Mol. Sci. 2024, 25, 3786. [Google Scholar] [CrossRef] [PubMed]
- Li, P.; Wu, G.G.; Li, Y.J.; Hu, C.; Ge, L.; Zheng, X.Q.; Zhang, J.Q.; Chen, J.; Zhang, H.L.; Bai, N.L.; et al. Long-term rice-crayfish-turtle co-culture maintains high crop yields by improving soil health and increasing soil microbial community stability. Geoderma 2022, 413, 115745. [Google Scholar] [CrossRef]
- Oehme, M.; Frei, M.; Razzak, M.A.; Dewan, S.; Becker, K. Studies on nitrogen cycling under different nitrogen inputs in integrated rice-fish culture in Bangladesh. Nutr. Cycl. Agroecosystems 2007, 79, 181–191. [Google Scholar] [CrossRef]
- Angeler, D.G.; Sánchez-Carrillo, S.; García, G.; Alvarez-Cobelas, M. The influence of Procambarus clarkii (Cambaridae, Decapoda) on water quality and sediment characteristics in a Spanish floodplain wetland. Hydrobiologia 2001, 464, 89–98. [Google Scholar] [CrossRef]
- Hou, Y.R.; Jia, R.; Ji, P.; Li, B.; Zhu, J. Organic matter degradation and bacterial communities in surface sediment influenced by Procambarus clarkia. Front. Microbiol. 2022, 13, 985555. [Google Scholar] [CrossRef]
- Wang, B.; Zhang, H.; Chen, G.; Cheng, W.; Shen, Y. Effects of Long-Term Rice–Crayfish Coculture Systems on Soil Nutrients, Carbon Pools, and Rice Yields in Northern Zhejiang Province, China. Agronomy 2024, 14, 1014. [Google Scholar] [CrossRef]
- Cai, S.; Xu, S.; Zhang, D.; Geisen, S.; Zhu, H. Soil Microbial Biomass and Bacterial Diversity Enhanced through Fallow Cover Cropping in Rice–Fish Coculture. Agronomy 2024, 14, 456. [Google Scholar] [CrossRef]
- Lai, Z.; Xiao, L.; Lai, S.; Yang, H.; Ni, C.; Yang, W.; Jian, M. Effects of a New Rice-Shrimp Farming Model on Soil Fertility and Microbial Community Structure in Paddy Field. Acta Pedologica Sinica 2023, 60, 1788–1798. [Google Scholar] [CrossRef]
- Cai, C.; Li, G.; Zhu, J.; Peng, L.; Li, J.; Wu, Q. Effects of Rice-crawfish Rotation on Soil Physicochemical Properties in Jianghan Plain. Acta Pedologica Sinica 2019, 56, 217–226. [Google Scholar] [CrossRef]
- Wang, Z.; Geng, Y.; Liang, T. Temporal and spatial difference and influencing factors analysis of soil available Zn of farmland in China. Soil Fertil. Sci. China 2019, 6, 55–63. [Google Scholar]
- Lauber, C.L.; Hamady, M.; Knight, R.; Fierer, N. Pyrosequencing-Based Assessment of Soil pH as a Predictor of Soil Bacterial Community Structure at the Continental Scale. Appl. Environ. Microbiol. 2009, 75, 5111–5120. [Google Scholar] [CrossRef]
- Hartman, W.H.; Richardson, C.J.; Vilgalys, R.; Bruland, G.L. Environmental and anthropogenic controls over bacterial communities in wetland soils. Proc. Natl. Acad. Sci. USA 2008, 105, 17842–17847. [Google Scholar] [CrossRef] [PubMed]
- Zhang, C.; Zhu, Y.; Song, G.; Mi, W.; Bi, Y.; Wang, S.; Liang, J.; Shang, M. Spatiotemporal pattern of phytoplankton community structure and its determining factorsin the channel of the middle route of South-to-North Water Diversion Project. Chin. J. Environ. Eng. 2025, 33, 675–686. [Google Scholar] [CrossRef]
- Zhang, C.; Zhu, Y.; Song, G.; Mi, W.; Bi, Y.; Wang, S.; Liang, J.; Shang, M. Spatiotemporal pattern of phytoplankton community structure and its determining factorsin the channel of the middle route of South-to-North Water Diversion Project. J. Lake Sci. 2021, 33, 675–686. [Google Scholar]
- Arslan, V. Bacterial leaching of copper, zinc, nickel and aluminum from discarded printed circuit boards using acidophilic bacteria. J. Mater. Cycles Waste Manag. 2021, 23, 2005–2015. [Google Scholar] [CrossRef]
- Kalam, S.; Basu, A.; Ahmad, I.; Sayyed, R.Z.; El-Enshasy, H.A.; Dailin, D.J.; Suriani, N.L. Recent Understanding of Soil Acidobacteria and Their Ecological Significance: A Critical Review. Front. Microbiol. 2020, 11, 580024. [Google Scholar] [CrossRef]
- Zhang, Q.; Tie, W.; Yin, B.; He, F.; Zhu, Z. Algae function in paddy field ecosystem and its effect on reducing ammonia volatilization from paddy fields. Soils 2006, 38, 5. [Google Scholar] [CrossRef]
- Hu, S.; He, R.; Wang, W.; Zhao, D.; Zeng, J.; Huang, R.; Duan, M.; Yu, Z. Composition and co-occurrence patterns of Phragmites australis rhizosphere bacterial community. Aquat. Ecol. 2021, 55, 695–710. [Google Scholar] [CrossRef]
- Hou, Y.; Li, B.; Xu, G.; Li, D.; Zhang, C.; Jia, R.; Li, Q.; Zhu, J. Dynamic and Assembly of Benthic Bacterial Community in an Industrial-Scale In-Pond Raceway Recirculating Culture System. Front. Microbiol. 2021, 12, 797817. [Google Scholar] [CrossRef]
- Jiang, C.; Jin, W.; Tao, X.; Zhang, Q.; Zhu, J.; Feng, S.; Xu, X.; Li, H.; Wang, Z.; Zhang, Z. Black soldier fly larvae (Hermetia illucens) strengthen the metabolic function of food waste biodegradation by gut microbiome. Microb. Biotechnol. 2019, 12, 528–543. [Google Scholar] [CrossRef]
- Faust, K.; Raes, J. Microbial interactions: From networks to models. Nat. Rev. Microbiol. 2012, 10, 538–550. [Google Scholar] [CrossRef]
- Olesen, J.M.; Bascompte, J.; Dupont, Y.L.; Jordano, P. The modularity of pollination networks. Ecology 2007, 104, 19891–19896. [Google Scholar] [CrossRef]
- Montesinos-Navarro, A.; Hiraldo, F.; Tella, J.L.; Blanco, G. Network structure embracing mutualism–antagonism continuums increases community robustness. Nat. Ecol. Evol. 2016, 1, 1661–1669. [Google Scholar] [CrossRef] [PubMed]
- Liu, J.; Zhou, M.; Wang, S.; Liu, P. A comparative study of network robustness measures. Front. Comput. Sci. 2017, 11, 568–584. [Google Scholar] [CrossRef]
- Lehmann, J.; Bossio, D.A.; Kögel-Knabner, I.; Rillig, M.C. The concept and future prospects of soil health. Nat. Rev. Earth Environ. 2020, 1, 544–553. [Google Scholar] [CrossRef]
- Banerjee, S.; van der Heijden, M.G.A. Soil microbiomes and one health. Nat. Rev. Microbiol. 2023, 21, 6–20. [Google Scholar] [CrossRef] [PubMed]
- Bardgett, R.D.; van der Putten, W.H. Belowground biodiversity and ecosystem functioning. Nature 2014, 515, 505–511. [Google Scholar] [CrossRef] [PubMed]
- Yuan, P.; Wang, J.; Li, C.; Xiao, Q.; Liu, Q.; Sun, Z.; Wang, J.; Cao, C. Soil quality indicators of integrated rice-crayfish farming in the Jianghan Plain, China using a minimum data set. Soil Tillage Res. 2020, 204, 104732. [Google Scholar] [CrossRef]
- Si, G.; Yuan, J.; Xu, X.; Zhao, S.; Peng, C.; Wu, J.; Zhou, Z. Effects of an integrated rice-crayfish farming system on soil organic carbon, enzyme activity, and microbial diversity in waterlogged paddy soil. Acta Ecologica Sinica 2018, 38, 29–35. [Google Scholar] [CrossRef]
- Lv, T.; Wang, C.; Xu, Y.; Zhou, X.; Huang, F.; Yu, L. Impact of Integrated Rice-Crayfish Farming on Soil Aggregates and Organic Matter Distribution. Agronomy 2024, 14, 16. [Google Scholar] [CrossRef]
- Cheng, J.; Ding, C.; Li, X.; Zhang, T.; Wang, X. Soil quality evaluation for navel orange production systems in central subtropical China. Soil Tillage Res. 2016, 155, 225–232. [Google Scholar] [CrossRef]
- Qin, Z.; Cao, J.; Tang, J.; Deng, X.; Pan, B.; Song, X. Assessment of Soil Fertility in Eucalyptus Plantation in Guangxi by Principal Component Analysis and Fuzzy Mathematics. J. Zhejiang For. Sci. Technol. 2021, 41, 8–14. [Google Scholar]





| Indicators | PC 1 | PC2 | PC3 | PC4 | PC5 | PC6 | PC7 | Norm |
|---|---|---|---|---|---|---|---|---|
| TN | −0.776 | 0.463 | −0.218 | −0.009 | 0.125 | 0.123 | 0.122 | 2.391 |
| GlcN | −0.717 | 0.440 | 0.108 | 0.269 | 0.278 | −0.229 | 0.154 | 2.285 |
| Available Si | 0.654 | 0.604 | −0.069 | 0.068 | 0.081 | 0.170 | −0.064 | 2.256 |
| CEC | 0.644 | 0.456 | −0.093 | −0.210 | −0.269 | −0.195 | −0.253 | 2.121 |
| pH | 0.678 | −0.405 | −0.120 | 0.064 | 0.220 | −0.177 | −0.117 | 2.101 |
| MBC | −0.707 | 0.111 | 0.341 | 0.038 | −0.401 | 0.044 | −0.160 | 2.099 |
| Chlorophyta Relative Abundance | 0.643 | 0.242 | 0.387 | −0.403 | −0.013 | −0.225 | 0.130 | 2.058 |
| SOM | −0.554 | 0.490 | −0.345 | 0.059 | 0.282 | 0.360 | −0.071 | 2.044 |
| MWD | 0.715 | 0.113 | 0.004 | −0.021 | 0.352 | −0.009 | 0.318 | 2.040 |
| MBN | −0.578 | −0.282 | 0.064 | 0.157 | 0.450 | 0.063 | −0.107 | 1.829 |
| AK | 0.737 | 0.542 | −0.142 | 0.118 | 0.013 | 0.091 | 0.078 | 2.366 |
| GalN | −0.506 | 0.681 | 0.253 | 0.002 | −0.162 | 0.035 | 0.068 | 2.121 |
| AN | −0.111 | 0.865 | −0.068 | 0.034 | −0.125 | 0.076 | 0.207 | 2.008 |
| Mur | −0.469 | 0.549 | 0.489 | −0.018 | 0.003 | 0.052 | −0.267 | 1.980 |
| AP | −0.235 | −0.763 | −0.127 | 0.041 | 0.223 | −0.153 | −0.031 | 1.892 |
| Acidobacteriota Relative Abundance | −0.323 | −0.548 | 0.170 | 0.335 | −0.340 | −0.288 | 0.278 | 1.757 |
| Available Se | −0.303 | −0.511 | −0.343 | 0.058 | 0.063 | 0.168 | 0.365 | 1.595 |
| Bacillariophyta Relative Abundance | 0.603 | −0.080 | 0.582 | −0.160 | 0.152 | 0.102 | −0.174 | 1.953 |
| TP | 0.558 | 0.248 | −0.512 | 0.285 | −0.160 | −0.013 | −0.059 | 1.895 |
| Bacterial Shannon Index | 0.476 | −0.112 | 0.523 | 0.416 | −0.183 | 0.386 | 0.275 | 1.810 |
| ManN | −0.281 | 0.321 | 0.631 | 0.345 | 0.149 | −0.423 | 0.030 | 1.682 |
| Eukaryotic Shannon Index | 0.090 | -0.266 | 0.536 | -0.567 | 0.316 | -0.071 | 0.065 | 1.490 |
| Streptophyta Relative Abundance | −0.547 | −0.141 | 0.202 | −0.535 | −0.181 | 0.175 | 0.163 | 1.798 |
| Eukaryotic Chao1 Index | −0.015 | −0.295 | 0.229 | 0.512 | 0.390 | 0.319 | −0.420 | 1.362 |
| BD | −0.114 | 0.099 | −0.036 | −0.667 | 0.443 | 0.320 | 0.095 | 1.326 |
| Available Zn | 0.175 | 0.489 | 0.026 | 0.297 | 0.625 | −0.334 | 0.198 | 1.625 |
| Bacterial Chao1 Index | 0.473 | −0.170 | 0.475 | 0.375 | −0.077 | 0.498 | 0.211 | 1.784 |
| Eigenvalue | 7.324 | 5.138 | 2.848 | 2.393 | 1.979 | 1.443 | 1.027 | |
| Variance explained (%) | 27.125 | 19.029 | 10.547 | 8.863 | 7.330 | 5.345 | 3.804 | |
| Cumulative variance explained (%) | 27.125 | 46.154 | 56.701 | 65.564 | 72.894 | 78.240 | 82.044 |
| Group | TN | GlcN | AK | Bacillariophyta Relative Abundance | TP | Bacterial Shannon Index | Streptophyta Relative Abundance | Available Zn | Bacterial Chao1 Index |
|---|---|---|---|---|---|---|---|---|---|
| IRPF | 0.524 | 0.413 | 0.589 | 0.180 | 0.339 | 0.944 | 0.220 | 0.449 | 0.840 |
| 0.471 | 0.360 | 0.662 | 0.341 | 0.493 | 0.643 | 0.229 | 0.724 | 0.349 | |
| 0.312 | 0.331 | 0.655 | 0.444 | 0.348 | 1.000 | 0.299 | 0.449 | 1.000 | |
| 0.418 | 0.348 | 0.904 | 0.274 | 1.000 | 0.568 | 0.106 | 0.339 | 0.448 | |
| 0.312 | 0.219 | 0.951 | 0.786 | 0.249 | 0.984 | 0.484 | 0.431 | 0.890 | |
| 0.312 | 0.317 | 0.794 | 0.357 | 0.302 | 0.985 | 0.639 | 0.467 | 0.987 | |
| 0.629 | 0.360 | 0.675 | 0.379 | 0.473 | 0.524 | 0.219 | 0.449 | 0.248 | |
| 0.524 | 0.223 | 0.890 | 0.398 | 0.262 | 0.770 | 0.373 | 0.706 | 0.711 | |
| 0.524 | 0.292 | 0.918 | 0.318 | 0.965 | 0.829 | 0.184 | 0.633 | 0.737 | |
| 0.629 | 0.373 | 1.000 | 0.251 | 0.342 | 0.759 | 0.100 | 0.743 | 0.683 | |
| 0.100 | 0.248 | 0.713 | 1.000 | 0.315 | 0.860 | 0.207 | 0.504 | 0.752 | |
| 0.471 | 0.529 | 0.754 | 0.310 | 0.326 | 0.728 | 0.602 | 0.596 | 0.377 | |
| TRM | 1.000 | 0.729 | 0.686 | 0.154 | 0.179 | 0.559 | 0.226 | 0.522 | 0.273 |
| 0.788 | 0.631 | 0.349 | 0.100 | 0.180 | 0.747 | 1.000 | 0.357 | 0.690 | |
| 0.894 | 0.677 | 0.340 | 0.331 | 0.161 | 0.888 | 0.461 | 0.486 | 0.792 | |
| 0.735 | 0.426 | 0.243 | 0.106 | 0.200 | 0.472 | 0.665 | 0.210 | 0.272 | |
| 0.629 | 0.455 | 0.193 | 0.275 | 0.133 | 0.580 | 0.838 | 0.173 | 0.303 | |
| 0.735 | 0.454 | 0.286 | 0.279 | 0.192 | 0.511 | 0.838 | 0.320 | 0.315 | |
| 0.259 | 0.100 | 0.176 | 0.301 | 0.151 | 0.721 | 0.358 | 0.100 | 0.556 | |
| 0.206 | 0.169 | 0.100 | 0.273 | 0.196 | 0.865 | 0.384 | 0.192 | 0.791 | |
| 0.576 | 0.445 | 0.212 | 0.226 | 0.196 | 0.651 | 0.713 | 0.284 | 0.387 | |
| 0.682 | 1.000 | 0.205 | 0.178 | 0.100 | 0.605 | 0.276 | 1.000 | 0.346 | |
| 0.629 | 0.457 | 0.230 | 0.586 | 0.153 | 0.953 | 0.606 | 0.320 | 0.931 | |
| 0.735 | 0.541 | 0.166 | 0.219 | 0.147 | 0.100 | 0.748 | 0.486 | 0.100 | |
| Mean | 0.546 | 0.421 | 0.529 | 0.336 | 0.308 | 0.718 | 0.449 | 0.456 | 0.574 |
| Standard Deviation | 0.222 | 0.197 | 0.303 | 0.205 | 0.232 | 0.211 | 0.259 | 0.208 | 0.271 |
| Coefficient of Variation | 0.407 | 0.469 | 0.574 | 0.609 | 0.751 | 0.294 | 0.576 | 0.457 | 0.473 |
| SUM COV | 4.611 | ||||||||
| Weight | 0.088 | 0.102 | 0.124 | 0.132 | 0.163 | 0.064 | 0.125 | 0.099 | 0.102 |
| Group | SHI | Mean |
|---|---|---|
| IRPF | 0.459 | 0.511 |
| 0.463 | ||
| 0.506 | ||
| 0.513 | ||
| 0.570 | ||
| 0.545 | ||
| 0.434 | ||
| 0.514 | ||
| 0.604 | ||
| 0.511 | ||
| 0.514 | ||
| 0.503 | ||
| TRM | 0.441 | 0.404 |
| 0.498 | ||
| 0.504 | ||
| 0.347 | ||
| 0.374 | ||
| 0.416 | ||
| 0.277 | ||
| 0.319 | ||
| 0.383 | ||
| 0.435 | ||
| 0.497 | ||
| 0.352 |
Disclaimer/Publisher’s Note: The statements, opinions and data contained in all publications are solely those of the individual author(s) and contributor(s) and not of MDPI and/or the editor(s). MDPI and/or the editor(s) disclaim responsibility for any injury to people or property resulting from any ideas, methods, instructions or products referred to in the content. |
© 2026 by the authors. Licensee MDPI, Basel, Switzerland. This article is an open access article distributed under the terms and conditions of the Creative Commons Attribution (CC BY) license.
Share and Cite
Wang, S.; Li, B.; Jia, R.; Zhou, L.; Hou, Y.; Zhu, J. A Comprehensive Assessment Using Physicochemical and Microbial Indicators Reveals Enhanced Soil Health Under Integrated Rice-Red Swamp Crayfish (Procambarus clarkii) Farming. Biology 2026, 15, 525. https://doi.org/10.3390/biology15070525
Wang S, Li B, Jia R, Zhou L, Hou Y, Zhu J. A Comprehensive Assessment Using Physicochemical and Microbial Indicators Reveals Enhanced Soil Health Under Integrated Rice-Red Swamp Crayfish (Procambarus clarkii) Farming. Biology. 2026; 15(7):525. https://doi.org/10.3390/biology15070525
Chicago/Turabian StyleWang, Sihan, Bing Li, Rui Jia, Linjun Zhou, Yiran Hou, and Jian Zhu. 2026. "A Comprehensive Assessment Using Physicochemical and Microbial Indicators Reveals Enhanced Soil Health Under Integrated Rice-Red Swamp Crayfish (Procambarus clarkii) Farming" Biology 15, no. 7: 525. https://doi.org/10.3390/biology15070525
APA StyleWang, S., Li, B., Jia, R., Zhou, L., Hou, Y., & Zhu, J. (2026). A Comprehensive Assessment Using Physicochemical and Microbial Indicators Reveals Enhanced Soil Health Under Integrated Rice-Red Swamp Crayfish (Procambarus clarkii) Farming. Biology, 15(7), 525. https://doi.org/10.3390/biology15070525

