Colonization by Distinct Lineages, the Sundaland Barrier, and Historical Bottlenecks Shape the East–West Population Structure of Avicennia Mangroves Across the Indo-Pacific Interface
Simple Summary
Abstract
1. Introduction
2. Materials and Methods
2.1. Sample Collection and DNA Extraction
2.2. DNA Sequencing and Variant Calling
2.3. Population Structure Analysis
2.4. Isolation-by-Distance Analysis
2.5. Demographic Inference
2.6. Phylogeographic Analysis of A. marina
3. Results
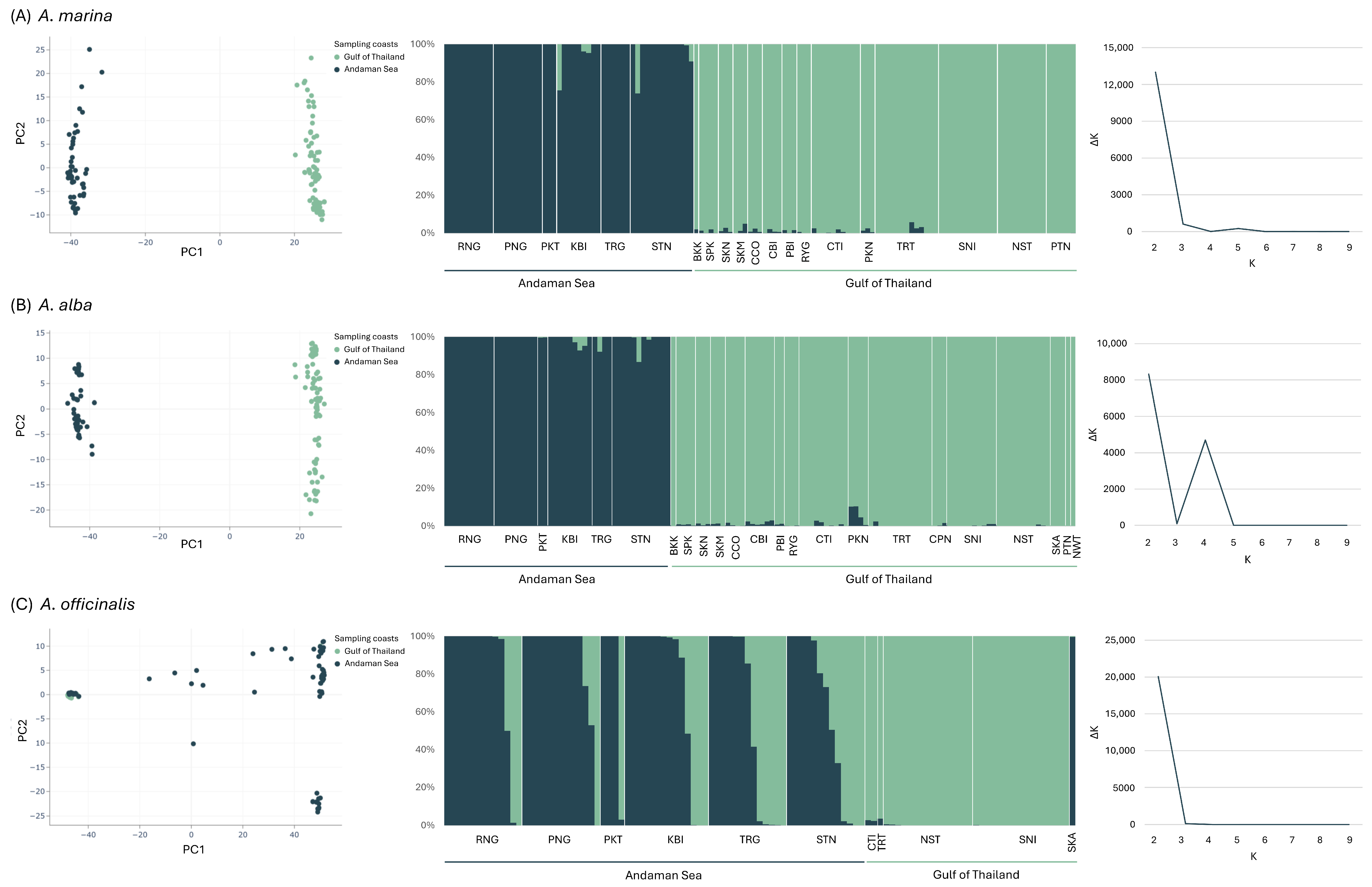
3.1. Population Structure
3.2. Isolation-by-Distance Analysis
3.3. Demographic History
3.4. Phylogeography of A. marina
4. Discussion
5. Conclusions
Supplementary Materials
Author Contributions
Funding
Institutional Review Board Statement
Informed Consent Statement
Data Availability Statement
Conflicts of Interest
Abbreviations
| IPB | Indo-Pacific Barrier |
| IWP | Indo-West Pacific |
| RADseq | Restriction-site-Associated DNA sequencing |
| ESUs | Evolutionarily significant units |
References
- Bowen, B.W.; Gaither, M.R.; DiBattista, J.D.; Iacchei, M.; Andrews, K.R.; Grant, W.S.; Toonen, R.J.; Briggs, J.C. Comparative phylogeography of the ocean planet. Proc. Natl. Acad. Sci. USA 2016, 113, 7962–7969. [Google Scholar] [CrossRef] [PubMed]
- Voris, H.K. Maps of Pleistocene sea levels in Southeast Asia: Shorelines, river systems and time durations. J. Biogeogr. 2000, 27, 1153–1167. [Google Scholar] [CrossRef]
- Hobart, B.; Lisiecki, L.E.; Rand, D.; Lee, T.; Lawrence, C.E. Late Pleistocene 100-kyr glacial cycles paced by precession forcing of summer insolation. Nat. Geosci. 2023, 16, 717–722. [Google Scholar] [CrossRef]
- Past Interglacials Working Group of PAGES. Interglacials of the last 800,000 years. Rev. Geophys. 2016, 54, 162–219. [CrossRef]
- Spratt, R.M.; Lisiecki, L.E. A Late Pleistocene sea level stack. Clim. Past 2016, 12, 1079–1092. [Google Scholar] [CrossRef]
- Clark, P.U.; Dyke, A.S.; Shakun, J.D.; Carlson, A.E.; Clark, J.; Wohlfarth, B.; Mitrovica, J.X.; Hostetler, S.W.; McCabe, A.M. The Last Glacial Maximum. Science 2009, 325, 710–714. [Google Scholar] [CrossRef] [PubMed]
- Sathiamurthy, E.; Voris, H.K. Maps of Holocene Sea Level Transgression and Submerged Lakes on the Sunda Shelf. Trop. Nat. Hist. 2006, 6, 1–44. [Google Scholar] [CrossRef]
- Crandall, E.D.; Frey, M.A.; Grosberg, R.K.; Barber, P.H. Contrasting demographic history and phylogeographical patterns in two Indo-Pacific gastropods. Mol. Ecol. 2008, 17, 611–626. [Google Scholar] [CrossRef]
- Ameri, S.; Pappurajam, L.; Labeeb, K.A.; Lakshmanan, R.; Ayyathurai, K.P.V. The role of the Sunda shelf biogeographic barrier in the cryptic differentiation of Conus litteratus (Gastropoda: Conidae) across the Indo-Pacific region. PeerJ 2023, 11, e15534. [Google Scholar] [CrossRef]
- Gaither, M.R.; Toonen, R.J.; Robertson, D.R.; Planes, S.; Bowen, B.W. Genetic evaluation of marine biogeographical barriers: Perspectives from two widespread Indo-Pacific snappers (Lutjanus kasmira and Lutjanus fulvus). J. Biogeogr. 2010, 37, 133–147. [Google Scholar] [CrossRef]
- Fan, G.; Yin, G.; Sarker, A.; Li, C. Diversifying of Two Pampus Species across the Indo–Pacific Barrier and the Origin of the Genus. Diversity 2022, 14, 180. [Google Scholar] [CrossRef]
- Wichachucherd, B.; Prathep, A.; Zuccarello, G.C. Phylogeography of Padina boryana (Dictyotales, Phaeophyceae) around the Thai-Malay Peninsula. Eur. J. Phycol. 2014, 49, 313–323. [Google Scholar] [CrossRef]
- Putra, I.N.G.; Syamsuni, Y.F.; Subhan, B.; Pharmawati, M.; Madduppa, H. Strong genetic differentiation in tropical seagrass Enhalus acoroides (Hydrocharitaceae) at the Indo-Malay Archipelago revealed by microsatellite DNA. PeerJ 2018, 6, e4315. [Google Scholar] [CrossRef]
- Yang, Y.; Li, J.; Yang, S.; Li, X.; Fang, L.; Zhong, C.; Duke, N.C.; Zhou, R.; Shi, S. Effects of Pleistocene sea-level fluctuations on mangrove population dynamics: A lesson from Sonneratia alba. BMC Evol. Biol. 2017, 17, 22. [Google Scholar] [CrossRef] [PubMed]
- Banerjee, A.K.; Guo, W.; Qiao, S.; Li, W.; Xing, F.; Lin, Y.; Hou, Z.; Li, S.; Liu, Y.; Huang, Y. Land masses and oceanic currents drive population structure of Heritiera littoralis, a widespread mangrove in the Indo-West Pacific. Ecol. Evol. 2020, 10, 7349–7363. [Google Scholar] [CrossRef]
- Zhang, R.; Guo, Z.; Fang, L.; Zhong, C.; Duke, N.C.; Shi, S. Population subdivision promoted by a sea-level-change-driven bottleneck: A glimpse from the evolutionary history of the mangrove plant Aegiceras corniculatum. Mol. Ecol. 2022, 31, 780–797. [Google Scholar] [CrossRef]
- Cannon, C.H.; Morley, R.J.; Bush, A.B.G. The current refugial rainforests of Sundaland are unrepresentative of their biogeographic past and highly vulnerable to disturbance. Proc. Natl. Acad. Sci. USA 2009, 106, 11188–11193. [Google Scholar] [CrossRef]
- Wee, A.K.S.; Teo, J.X.H.; Chua, J.L.; Takayama, K.; Asakawa, T.; Meenakshisundaram, S.H.; Onrizal; Adjie, B.; Ardli, E.R.; Sungkaew, S.; et al. Vicariance and Oceanic Barriers Drive Contemporary Genetic Structure of Widespread Mangrove Species Sonneratia alba J. Sm in the Indo-West Pacific. Forests 2017, 8, 483. [Google Scholar] [CrossRef]
- Yan, Y.B.; Duke, N.C.; Sun, M. Comparative Analysis of the Pattern of Population Genetic Diversity in Three Indo-West Pacific Rhizophora Mangrove Species. Front. Plant Sci. 2016, 7, 1434. [Google Scholar] [CrossRef]
- Richards, D.R.; Friess, D.A. Rates and drivers of mangrove deforestation in Southeast Asia, 2000–2012. Proc. Natl. Acad. Sci. USA 2016, 113, 344–349. [Google Scholar] [CrossRef] [PubMed]
- Duke, N. A systematic revision of the mangrove genus Avicennia (Avicenniaceae) in Australasia. Aust. Syst. Bot. 1991, 4, 299–324. [Google Scholar] [CrossRef]
- Li, X.; Duke, N.C.; Yang, Y.; Huang, L.; Zhu, Y.; Zhang, Z.; Zhou, R.; Zhong, C.; Huang, Y.; Shi, S. Re-Evaluation of Phylogenetic Relationships among Species of the Mangrove Genus Avicennia from Indo-West Pacific Based on Multilocus Analyses. PLoS ONE 2016, 11, e0164453. [Google Scholar] [CrossRef]
- Friis, G.; Smith, E.G.; Lovelock, C.E.; Ortega, A.; Marshell, A.; Duarte, C.M.; Burt, J.A. Rapid diversification of grey mangroves (Avicennia marina) driven by geographic isolation and extreme environmental conditions in the Arabian Peninsula. Mol. Ecol. 2024, 33, e17260. [Google Scholar] [CrossRef]
- Triest, L.; Del Socorro, A.; Gado, V.J.; Mazo, A.M.; Sierens, T. Avicennia Genetic Diversity and Fine-Scaled Structure Influenced by Coastal Proximity of Mangrove Fragments. Front. Mar. Sci. 2021, 8, 643982. [Google Scholar] [CrossRef]
- Triest, L.; Phan, T.T.H.; Luong, Q.D.; Bousquet-Mélou, A.; Do, B.T.N.; Sierens, T.; Dahdouh-Guebas, F.; Koedam, N.; Van der Stocken, T. Migration history of Avicennia marina populations: A legacy of mangrove expansion on the Sunda Shelf. Front. Mar. Sci. 2025, 12, 1565908. [Google Scholar] [CrossRef]
- Triest, L.; Satyanarayana, B.; Delange, O.; Sarker, K.K.; Sierens, T.; Dahdouh-Guebas, F. Barrier to Gene Flow of Grey Mangrove Avicennia marina Populations in the Malay Peninsula as Revealed From Nuclear Microsatellites and Chloroplast Haplotypes. Front. Conserv. Sci. 2021, 2, 727819. [Google Scholar] [CrossRef]
- Wang, Z.-Z.; Guo, Z.-X.; Zhong, C.-R.; Lyu, H.-M.; Li, X.-N.; Duke, N.C.; Shi, S.-H. Genomic variation patterns of subspecies defined by phenotypic criteria: Analyses of the mangrove species complex, Avicennia marina. J. Syst. Evol. 2022, 60, 835–847. [Google Scholar] [CrossRef]
- Wee, A.K.S.; Noreen, A.M.E.; Ono, J.; Takayama, K.; Kumar, P.P.; Tan, H.T.W.; Saleh, M.N.; Kajita, T.; Webb, E.L. Genetic structures across a biogeographical barrier reflect dispersal potential of four Southeast Asian mangrove plant species. J. Biogeogr. 2020, 47, 1258–1271. [Google Scholar] [CrossRef]
- Andrew, S. FastQC, v0.12.1; A Quality Control Tool for High Throughput Sequence Data; Babraham Institute: Cambridge, UK, 2010. [Google Scholar]
- He, Z.; Feng, X.; Chen, Q.; Li, L.; Li, S.; Han, K.; Guo, Z.; Wang, J.; Liu, M.; Shi, C.; et al. Evolution of coastal forests based on a full set of mangrove genomes. Nat. Ecol. Evol. 2022, 6, 738–749. [Google Scholar] [CrossRef] [PubMed]
- Langmead, B.; Salzberg, S.L. Fast gapped-read alignment with Bowtie 2. Nat. Methods 2012, 9, 357–359. [Google Scholar] [CrossRef]
- McKenna, A.; Hanna, M.; Banks, E.; Sivachenko, A.; Cibulskis, K.; Kernytsky, A.; Garimella, K.; Altshuler, D.; Gabriel, S.; Daly, M.; et al. The Genome Analysis Toolkit: A MapReduce framework for analyzing next-generation DNA sequencing data. Genome Res. 2010, 20, 1297–1303. [Google Scholar] [CrossRef]
- Danecek, P.; Auton, A.; Abecasis, G.; Albers, C.A.; Banks, E.; DePristo, M.A.; Handsaker, R.E.; Lunter, G.; Marth, G.T.; Sherry, S.T.; et al. The variant call format and VCFtools. Bioinformatics 2011, 27, 2156–2158. [Google Scholar] [CrossRef]
- Pritchard, J.K.; Stephens, M.; Donnelly, P. Inference of population structure using multilocus genotype data. Genetics 2000, 155, 945–959. [Google Scholar] [CrossRef]
- Pedregosa, F.; Varoquaux, G.; Gramfort, A.; Michel, V.; Thirion, B.; Grisel, O.; Blondel, M.; Prettenhofer, P.; Weiss, R.; Dubourg, V. Scikit-learn: Machine learning in Python. J. Mach. Learn. Res. 2011, 12, 2825–2830. [Google Scholar]
- Evanno, G.; Regnaut, S.; Goudet, J. Detecting the number of clusters of individuals using the software STRUCTURE: A simulation study. Mol. Ecol. 2005, 14, 2611–2620. [Google Scholar] [CrossRef] [PubMed]
- Earl, D.A.; vonHoldt, B.M. STRUCTURE HARVESTER: A website and program for visualizing STRUCTURE output and implementing the Evanno method. Conserv. Genet. Resour. 2012, 4, 359–361. [Google Scholar] [CrossRef]
- Excoffier, L.; Laval, G.; Schneider, S. Arlequin (version 3.0): An integrated software package for population genetics data analysis. Evol. Bioinform. 2007, 1, 47–50. [Google Scholar] [CrossRef]
- Wright, S. The Genetic Structure of Populations. Ann. Eugen. 1949, 15, 323–354. [Google Scholar] [CrossRef]
- Peakall, R.; Smouse, P.E. GenAlEx 6.5: Genetic analysis in Excel. Population genetic software for teaching and research--an update. Bioinformatics 2012, 28, 2537–2539. [Google Scholar] [CrossRef] [PubMed]
- Liu, X.; Fu, Y.X. Stairway Plot 2: Demographic history inference with folded SNP frequency spectra. Genome Biol. 2020, 21, 280. [Google Scholar] [CrossRef]
- Korneliussen, T.S.; Albrechtsen, A.; Nielsen, R. ANGSD: Analysis of Next Generation Sequencing Data. BMC Bioinform. 2014, 15, 356. [Google Scholar] [CrossRef]
- Darriba, D.; Posada, D.; Kozlov, A.M.; Stamatakis, A.; Morel, B.; Flouri, T. ModelTest-NG: A New and Scalable Tool for the Selection of DNA and Protein Evolutionary Models. Mol. Biol. Evol. 2020, 37, 291–294. [Google Scholar] [CrossRef]
- Kozlov, A.M.; Darriba, D.; Flouri, T.; Morel, B.; Stamatakis, A. RAxML-NG: A fast, scalable and user-friendly tool for maximum likelihood phylogenetic inference. Bioinformatics 2019, 35, 4453–4455. [Google Scholar] [CrossRef]
- Ronquist, F.; Teslenko, M.; van der Mark, P.; Ayres, D.L.; Darling, A.; Hohna, S.; Larget, B.; Liu, L.; Suchard, M.A.; Huelsenbeck, J.P. MrBayes 3.2: Efficient Bayesian phylogenetic inference and model choice across a large model space. Syst. Biol. 2012, 61, 539–542. [Google Scholar] [CrossRef] [PubMed]
- Letunic, I.; Bork, P. Interactive Tree Of Life (iTOL): An online tool for phylogenetic tree display and annotation. Bioinformatics 2007, 23, 127–128. [Google Scholar] [CrossRef]
- GEBCO Compilation Group. GEBCO 2025 Grid; NERC EDS British Oceanographic Data Centre NOC: Liverpool, UK, 2025. [Google Scholar] [CrossRef]
- Khanbo, S.; Kongkachana, W.; Jomchai, N.; Charoensri, S.; Maknual, C.; Maprasop, P.; Phormsin, N.; Tangphatsornruang, S.; Pootakham, W. Genetic diversity and population structure of Bruguiera cylindrica along coastal areas in Thailand. Aquat. Bot. 2022, 183, 103575. [Google Scholar] [CrossRef]
- Khanbo, S.; U-thoomporn, S.; Kongkachana, W.; Charoensri, S.; Narong, N.; Maknual, C.; Chumriang, P.; Maprasop, P.; Wanthongchai, P.; Tangphatsornruang, S.; et al. Genetic diversity and population structure of the upriver orange mangrove Bruguiera sexangula along the coastlines of Thailand. Aquat. Biol. 2023, 32, 31–41. [Google Scholar] [CrossRef]
- Ruang-areerate, P.; Sonthirod, C.; Sangsrakru, D.; Waiyamitra, P.; Maknual, C.; Wanthongchai, P.; Chomriang, P.; Pootakham, W.; Tangphatsornruang, S. Elucidating SNP-Based Population Structure and Genetic Diversity of Bruguiera gymnorhiza (L.) Savigny in Thailand. Forests 2023, 14, 693. [Google Scholar] [CrossRef]
- Guo, Z.; Huang, Y.; Chen, Y.; Duke, N.C.; Zhong, C.; Shi, S. Genetic discontinuities in a dominant mangrove Rhizophora apiculata (Rhizophoraceae) in the Indo-Malesian region. J. Biogeogr. 2016, 43, 1856–1868. [Google Scholar] [CrossRef]
- Ruang-areerate, P.; Naktang, C.; Kongkachana, W.; Sangsrakru, D.; Narong, N.; Maknual, C.; Pravinvongvuthi, T.; Promchoo, W.; Yamprasai, S.; Tangphatsornruang, S.; et al. Assessment of the Genetic Diversity and Population Structure of Rhizophora apiculata Blume (Rhizophoraceae) in Thailand. Biology 2022, 11, 1449. [Google Scholar] [CrossRef]
- Guo, W.; Banerjee, A.K.; Wu, H.; Ng, W.L.; Feng, H.; Qiao, S.; Liu, Y.; Huang, Y. Contrasting Phylogeographic Patterns in Lumnitzera Mangroves Across the Indo-West Pacific. Front. Plant Sci. 2021, 12, 637009. [Google Scholar] [CrossRef]
- Tomizawa, Y.; Tsuda, Y.; Saleh, M.N.; Wee, A.K.S.; Takayama, K.; Yamamoto, T.; Yllano, O.B.; Salmo, S.G., III; Sungkaew, S.; Adjie, B.; et al. Genetic Structure and Population Demographic History of a Widespread Mangrove Plant Xylocarpus granatum J. Koenig across the Indo-West Pacific Region. Forests 2017, 8, 480. [Google Scholar] [CrossRef]
- Triest, L.; Van der Stocken, T.; Sierens, T.; Deus, E.K.; Mangora, M.M.; Koedam, N. Connectivity of Avicennia marina populations within a proposed marine transboundary conservation area between Kenya and Tanzania. Biol. Conserv. 2021, 256, 109040. [Google Scholar] [CrossRef]
- Leenawarat, D.; Tong-u-dom, S.; Buranapratheprat, A. A Hydrodynamic Model for the Study of the Seasonal Variation in the Residence Time of Water Mass in the Inner Gulf of Thailand. Burapha Sci. J. 2019, 24, 1–16. [Google Scholar]
- Buranapratheprat, A.; Yanagi, T.; Matsumura, S. Seasonal variation in water column conditions in the upper Gulf of Thailand. Cont. Shelf Res. 2008, 28, 2509–2522. [Google Scholar] [CrossRef]
- Alam, M.R.; Mahmood, H.; Rahman, M. Deciphering the genetic diversity of Avicennia officinalis L. across the salinity gradient in the Sundarbans mangrove forest of Bangladesh. Wetl. Ecol. Manag. 2020, 28, 449–460. [Google Scholar] [CrossRef]





| Source of Variation | d.f. | Sum of Squares | Variance Components | Percentage of Variation |
|---|---|---|---|---|
| A. marina | ||||
| Among populations | 2 | 64,197.62 | 501.58 | 55.50 |
| Within populations | 255 | 102,588.29 | 402.31 | 44.50 |
| Total | 257 | 166,785.91 | 903.88 | |
| A. alba | ||||
| Among populations | 1 | 66,962.14 | 564.76 | 59.07 |
| Within populations | 254 | 99,413.25 | 391.39 | 40.93 |
| Total | 255 | 166,375.39 | 956.15 | |
| A. officinalis | ||||
| Among populations | 2 | 112,444.71 | 940.21 | 79.70 |
| Within populations | 207 | 49,581.22 | 239.52 | 20.30 |
| Total | 209 | 162,025.93 | 1179.73 |
| Species | N | Ho | He | FIS |
|---|---|---|---|---|
| A. marina | ||||
| Andaman | 49 | 0.106 ± 0.001 | 0.172 ± 0.002 | 0.203 ± 0.004 |
| Thai Gulf | 78 | 0.091 ± 0.001 | 0.166 ± 0.002 | 0.183 ± 0.004 |
| Admixture | 2 | 0.050 ± 0.002 | 0.038 ± 0.001 | −0.322 ± 0.006 |
| Total | 129 | 0.083 ± 0.001 | 0.125 ± 0.001 | 0.169 ± 0.002 |
| A. alba | ||||
| Andaman | 46 | 0.085 ± 0.001 | 0.160 ± 0.002 | 0.286 ± 0.005 |
| Thai Gulf | 82 | 0.079 ± 0.001 | 0.189 ± 0.002 | 0.324 ± 0.004 |
| Total | 128 | 0.082 ± 0.001 | 0.174 ± 0.001 | 0.306 ± 0.003 |
| A. officinalis | ||||
| Andaman | 63 | 0.094 ± 0.001 | 0.328 ± 0.003 | 0.536 ± 0.006 |
| Thai Gulf | 34 | 0.115 ± 0.004 | 0.313 ± 0.003 | 0.486 ± 0.005 |
| Admixture | 8 | 0.010 ± 0.008 | 0.008 ± 0.001 | −0.194 ± 0.007 |
| Total | 105 | 0.073 ± 0.001 | 0.216 ± 0.002 | 0.501 ± 0.003 |
Disclaimer/Publisher’s Note: The statements, opinions and data contained in all publications are solely those of the individual author(s) and contributor(s) and not of MDPI and/or the editor(s). MDPI and/or the editor(s) disclaim responsibility for any injury to people or property resulting from any ideas, methods, instructions or products referred to in the content. |
© 2026 by the authors. Licensee MDPI, Basel, Switzerland. This article is an open access article distributed under the terms and conditions of the Creative Commons Attribution (CC BY) license.
Share and Cite
Phadphon, P.; Yundaeng, C.; Narong, N.; Jomchai, N.; Phetchawang, P.; Phormsin, N.; Jiumjamrassil, D.; Tangphatsornruang, S.; Pootakham, W. Colonization by Distinct Lineages, the Sundaland Barrier, and Historical Bottlenecks Shape the East–West Population Structure of Avicennia Mangroves Across the Indo-Pacific Interface. Biology 2026, 15, 385. https://doi.org/10.3390/biology15050385
Phadphon P, Yundaeng C, Narong N, Jomchai N, Phetchawang P, Phormsin N, Jiumjamrassil D, Tangphatsornruang S, Pootakham W. Colonization by Distinct Lineages, the Sundaland Barrier, and Historical Bottlenecks Shape the East–West Population Structure of Avicennia Mangroves Across the Indo-Pacific Interface. Biology. 2026; 15(5):385. https://doi.org/10.3390/biology15050385
Chicago/Turabian StylePhadphon, Poompat, Chutintorn Yundaeng, Nattapol Narong, Nukoon Jomchai, Phakamas Phetchawang, Nawin Phormsin, Darunee Jiumjamrassil, Sithichoke Tangphatsornruang, and Wirulda Pootakham. 2026. "Colonization by Distinct Lineages, the Sundaland Barrier, and Historical Bottlenecks Shape the East–West Population Structure of Avicennia Mangroves Across the Indo-Pacific Interface" Biology 15, no. 5: 385. https://doi.org/10.3390/biology15050385
APA StylePhadphon, P., Yundaeng, C., Narong, N., Jomchai, N., Phetchawang, P., Phormsin, N., Jiumjamrassil, D., Tangphatsornruang, S., & Pootakham, W. (2026). Colonization by Distinct Lineages, the Sundaland Barrier, and Historical Bottlenecks Shape the East–West Population Structure of Avicennia Mangroves Across the Indo-Pacific Interface. Biology, 15(5), 385. https://doi.org/10.3390/biology15050385

