Physiological and Phytochemical Responses of Calendula officinalis L. to End-of-Day Red/Far-Red and Green Light
Simple Summary
Abstract
1. Introduction
2. Materials and Methods
2.1. Growth Conditions
2.2. Light Treatments
2.3. Morphological Measurements
2.4. Physiological Parameters
2.5. Spectral and Fluorescence Imaging Analysis
2.6. Biomass
2.7. Chemical Composition Analysis
2.8. Statistical Analysis
3. Results
3.1. Morphological and Floral Development
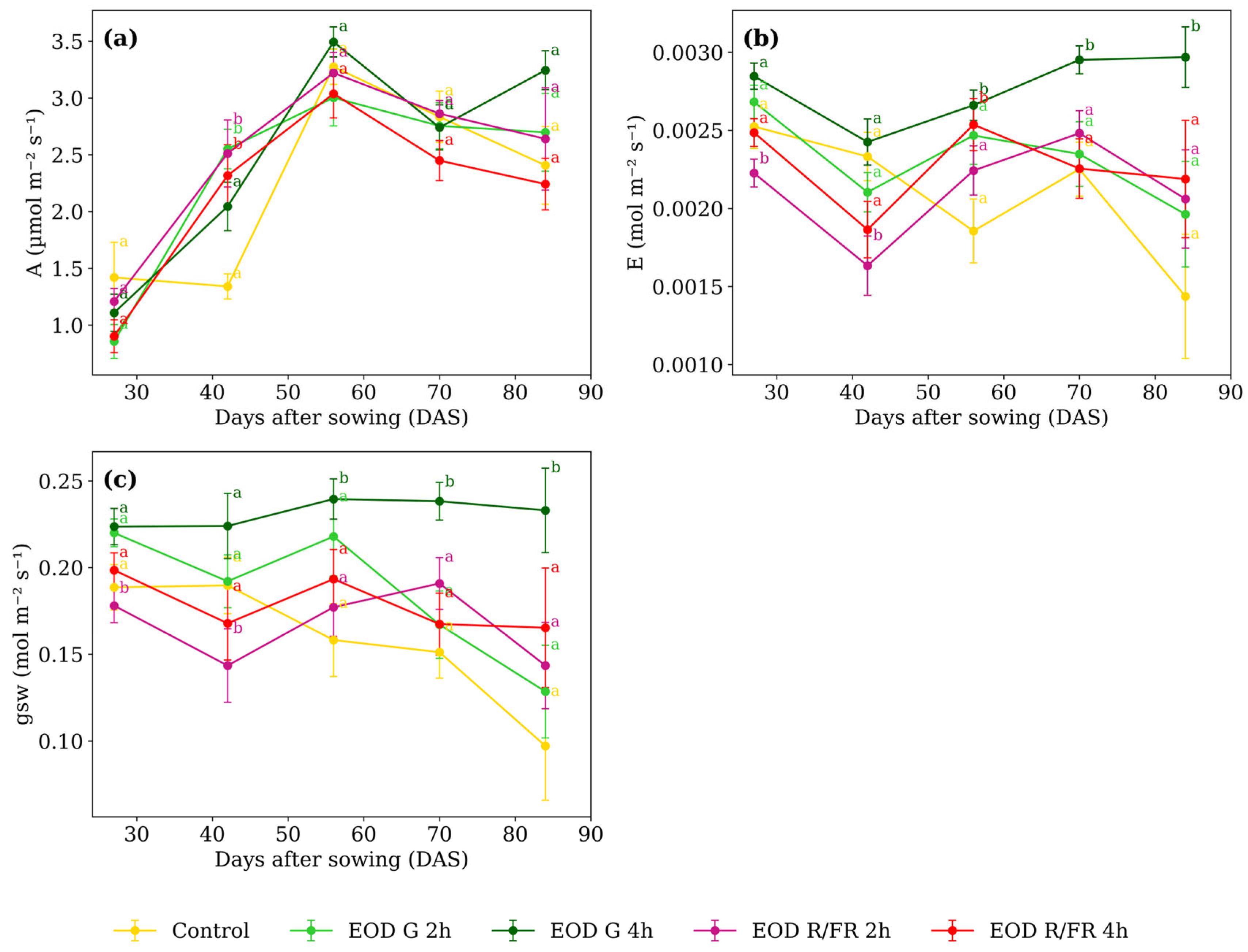
3.2. Physiological Parameters
3.3. Spectral and Fluorescence Imaging Analysis
3.4. Biomass
3.5. Chemical Composition Analysis
4. Discussion
4.1. Morphological Responses to EOD Light Treatments
4.2. Physiological Responses to EOD Light Treatments
4.3. Chlorophyll and Anthocyanin Responses to EOD Light Treatments
4.4. Biomass Responses to EOD Light Treatments
4.5. Chemical Composition—FTIR of EOD Light Treatments
4.6. Chemical Composition—GC-MS of EOD Light Treatments
4.7. Applicability, Limitations, and Future Research
4.7.1. Practical Applicability of Findings
4.7.2. Limitations of the Study
4.7.3. Future Research Directions
5. Conclusions
Supplementary Materials
Author Contributions
Funding
Institutional Review Board Statement
Informed Consent Statement
Data Availability Statement
Acknowledgments
Conflicts of Interest
Abbreviations
| A | Net photosynthetic assimilation rate |
| Ari_Idx | Anthocyanin index |
| ATR | Attenuated total reflectance |
| B | Blue |
| Chl-Idx | Chlorophyll index |
| DAS | Days after sowing |
| E | Transpiration rate |
| EOD | End-of-day |
| ETR | Electron transport rate |
| FR | Far-red |
| FTIR | Fourier transform infrared |
| Fv’/Fm’ | Maximum quantum efficiency of PSII in light-adapted state |
| G | Green |
| GC-MS | Gas chromatography-mass spectrometry |
| gsw | Stomatal conductance to water vapor |
| HPLC | High-performance liquid chromatography |
| LDP | Long-day plant |
| PPFD | Photosynthetic photon flux density |
| PSI | Photosystem I |
| PSII | Photosystem II |
| R | Red |
| SEM | Standard error of the mean |
| UV-A | Ultraviolet A |
| UV-B | Ultraviolet B |
| UVR8 | UV resistance locus 8 |
| ΦPSII | Effective quantum yield of PSII |
References
- Stamford, J.D.; Stevens, J.; Mullineaux, P.M.; Lawson, T. LED Lighting: A Grower’s Guide to Light Spectra. HortScience 2023, 58, 180–196. [Google Scholar] [CrossRef]
- Lozano-Castellanos, L.; Gracia, L.M.; Lozano Castellanos, I.; Correa-Guimaraes, A. Technologies Applied to Artificial Lighting in Indoor Agriculture: A Review. Sustainability 2025, 17, 3196. [Google Scholar] [CrossRef]
- Sabzalian, M.R.; Heydarizadeh, P.; Zahedi, M.; Boroomand, A.; Agharokh, M.; Sahba, M.R.; Schoefs, B. High Performance of Vegetables, Flowers, and Medicinal Plants in a Red-Blue LED Incubator for Indoor Plant Production. Agron. Sustain. Dev. 2014, 34, 879–886. [Google Scholar] [CrossRef]
- Ouzounis, T.; Razi Parjikolaei, B.; Fretté, X.; Rosenqvist, E.; Ottosen, C.-O. Predawn and High Intensity Application of Supplemental Blue Light Decreases the Quantum Yield of PSII and Enhances the Amount of Phenolic Acids, Flavonoids, and Pigments in Lactuca sativa. Front. Plant Sci. 2015, 6, 19. [Google Scholar] [CrossRef] [PubMed]
- Bhatla, S.C.; Lal, M.A. Light Perception and Transduction. In Plant Physiology, Development and Metabolism; Bhatla, S.C., Lal, M.A., Eds.; Springer Nature: Singapore, 2023; pp. 363–390. ISBN 978-981-9957-36-1. [Google Scholar]
- Sharma, S.; Sanyal, S.K.; Sushmita, K.; Chauhan, M.; Sharma, A.; Anirudhan, G.; Veetil, S.K.; Kateriya, S. Modulation of Phototropin Signalosome with Artificial Illumination Holds Great Potential in the Development of Climate-Smart Crops. Curr. Genom. 2021, 22, 181–213. [Google Scholar] [CrossRef] [PubMed]
- Li, L.; Li, X.; Liu, Y.; Liu, H. Flowering Responses to Light and Temperature. Sci. China Life Sci. 2016, 59, 403–408. [Google Scholar] [CrossRef] [PubMed]
- Liu, H.; Li, J. Plant Photobiology: From Basic Theoretical Research to Crop Production Improvement. J. Integr. Plant Biol. 2024, 66, 847–848. [Google Scholar] [CrossRef] [PubMed]
- Liu, J.; van Iersel, M.W. Photosynthetic Physiology of Blue, Green, and Red Light: Light Intensity Effects and Underlying Mechanisms. Front. Plant Sci. 2021, 12, 619987. [Google Scholar] [CrossRef] [PubMed]
- Xiao, Y.; Tholen, D.; Zhu, X.-G. The Influence of Leaf Anatomy on the Internal Light Environment and Photosynthetic Electron Transport Rate: Exploration with a New Leaf Ray Tracing Model. J. Exp. Bot. 2016, 67, 6021–6035. [Google Scholar] [CrossRef] [PubMed]
- Kong, Y.; Zheng, Y. Magic Blue Light: A Versatile Mediator of Plant Elongation. Plants 2024, 13, 115. [Google Scholar] [CrossRef] [PubMed]
- Matthews, J.S.A.; Vialet-Chabrand, S.; Lawson, T. Role of Blue and Red Light in Stomatal Dynamic Behaviour. J. Exp. Bot. 2020, 71, 2253–2269. [Google Scholar] [CrossRef] [PubMed]
- Battle, M.W.; Jones, M.A. Cryptochromes Integrate Green Light Signals into the Circadian System. Plant Cell Environ. 2020, 43, 16–27. [Google Scholar] [CrossRef] [PubMed]
- Hao, Y.; Zeng, Z.; Zhang, X.; Xie, D.; Li, X.; Ma, L.; Liu, M.; Liu, H. Green Means Go: Green Light Promotes Hypocotyl Elongation via Brassinosteroid Signaling. Plant Cell 2023, 35, 1304–1317. [Google Scholar] [CrossRef] [PubMed]
- Chen, Y.; Bian, Z.; Marcelis, L.F.M.; Heuvelink, E.; Yang, Q.; Kaiser, E. Green Light Is Similarly Effective in Promoting Plant Biomass as Red/Blue Light: A Meta-Analysis. J. Exp. Bot. 2024, 75, 5655–5666. [Google Scholar] [CrossRef] [PubMed]
- Bergstrand, K.J.; Asp, H. End-of-Day Treatments as a Way of Controlling Growth in Ornamental Pot Plants. Int. Soc. Hortic. Sci. 2020, 1296, 287–292. [Google Scholar] [CrossRef]
- Folta, K.M.; Maruhnich, S.A. Green Light: A Signal to Slow down or Stop. J. Exp. Bot. 2007, 58, 3099–3111. [Google Scholar] [CrossRef] [PubMed]
- Nájera, C.; Gallegos-Cedillo, V.M.; Ros, M.; Pascual, J.A. Role of Spectrum-Light on Productivity, and Plant Quality over Vertical Farming Systems: Bibliometric Analysis. Horticulturae 2023, 9, 63. [Google Scholar] [CrossRef]
- O’Sullivan, C.A.; Bonnett, G.D.; McIntyre, C.L.; Hochman, Z.; Wasson, A.P. Strategies to Improve the Productivity, Product Diversity and Profitability of Urban Agriculture. Agric. Syst. 2019, 174, 133–144. [Google Scholar] [CrossRef]
- Abdelwahab, S.I.; Taha, M.M.E.; Taha, S.M.E.; Alsayegh, A.A. Fifty-Year of Global Research in Calendula officinalis L. (1971−2021): A Bibliometric Study. Clin. Complement. Med. Pharmacol. 2022, 2, 100059. [Google Scholar] [CrossRef]
- Harshitha, H.M.; Chandrashekar, S.Y.; Harishkumar, K.; Pradeep Kumar, C.M. Photoperiod Manipulation in Flowers and Ornamentals for Perpetual Flowering. Pharma Innov. J. 2021, 10, 127–134. [Google Scholar]
- Shahane, K.; Kshirsagar, M.; Tambe, S.; Jain, D.; Rout, S.; Ferreira, M.K.M.; Mali, S.; Amin, P.; Srivastav, P.P.; Cruz, J.; et al. An Updated Review on the Multifaceted Therapeutic Potential of Calendula officinalis L. Pharmaceuticals 2023, 16, 611. [Google Scholar] [CrossRef]
- Atherton, H.R.; Li, P. Hydroponic Cultivation of Medicinal Plants—Plant Organs and Hydroponic Systems: Techniques and Trends. Horticulturae 2023, 9, 349. [Google Scholar] [CrossRef]
- Hakimi, Y.; Fatahi, R.; Naghavi, M.R.; Shokrpour, M. The Position of Medicinal Plants in Greenhouse and Vertical Cultures. In Proceedings of the Medicinal Plants; Mechanization & Processing Congress, Karaj, Iran, 21–23 February 2022. [Google Scholar]
- Sg, L.; Sethi, S.; Bk, P.; Nayak, S.L.; M, M. Ornamental Plant Extracts: Application in Food Colouration and Packaging, Antioxidant, Antimicrobial and Pharmacological Potential–A Concise Review. Food Chem. Adv. 2023, 3, 100529. [Google Scholar] [CrossRef]
- Skrajda-Brdak, M.; Dąbrowski, G.; Konopka, I. Edible Flowers, a Source of Valuable Phytonutrients and Their pro-Healthy Effects—A Review. Trends Food Sci. Technol. 2020, 103, 179–199. [Google Scholar] [CrossRef]
- Chitrakar, B.; Zhang, M.; Bhandari, B. Edible Flowers with the Common Name “Marigold”: Their Therapeutic Values and Processing. Trends Food Sci. Technol. 2019, 89, 76–87. [Google Scholar] [CrossRef]
- Ak, G.; Zengin, G.; Ceylan, R.; Fawzi Mahomoodally, M.; Jugreet, S.; Mollica, A.; Stefanucci, A. Chemical Composition and Biological Activities of Essential Oils from Calendula officinalis L. Flowers and Leaves. Flavour Fragr. J. 2021, 36, 554–563. [Google Scholar] [CrossRef]
- Ak, G.; Zengin, G.; Sinan, K.I.; Mahomoodally, M.F.; Picot-Allain, M.C.N.; Cakır, O.; Bensari, S.; Yılmaz, M.A.; Gallo, M.; Montesano, D. A Comparative Bio-Evaluation and Chemical Profiles of Calendula officinalis L. Extracts Prepared via Different Extraction Techniques. Appl. Sci. 2020, 10, 5920. [Google Scholar] [CrossRef]
- Sapkota, B.; Kunwar, P. A Review on Traditional Uses, Phytochemistry and Pharmacological Activities of Calendula officinalis Linn. Nat. Prod. Commun. 2024, 19, 1934578x241259021. [Google Scholar] [CrossRef]
- Pistillo, A.; Pennisi, G.; Crepaldi, A.; Giorgioni, M.E.; Minelli, A.; Orsini, F.; Gianquinto, G. Influence of Red:Blue Ratio in LED Lighting for Indoor Cultivation of Edible Marigold Flowers. Acta Hortic. 2022, 1337, 249–254. [Google Scholar] [CrossRef]
- Moghare Abed, S.; Davood, N. Stimuli Effects of Different LEDs on Some Morphological and Biochemical Traits of Two Varieties of Calendula officinalis. Int. J. Hortic. Sci. Technol. 2020, 7, 139–151. [Google Scholar] [CrossRef]
- Aliniaeifard, S.; Seif, M.; Arab, M.; Zare Mehrjerdi, M.; Li, T.; Lastochkina, O. Growth and Photosynthetic Performance of Calendula officinalis under Monochromatic Red Light. Int. J. Hortic. Sci. Technol. 2018, 5, 123–132. [Google Scholar] [CrossRef]
- Runkle, E.S.; Heins, R.D. Manipulating the Light Environment to Control Flowering and Morphogenesis of Herbaceous Plants. Acta Hortic. 2006, 711, 51–60. [Google Scholar] [CrossRef]
- Park, Y.; Runkle, E.S. Blue Radiation Attenuates the Effects of the Red to Far-Red Ratio on Extension Growth but Not on Flowering. Environ. Exp. Bot. 2019, 168, 103871. [Google Scholar] [CrossRef]
- Park, Y.; Runkle, E.S. Far-Red Radiation and Photosynthetic Photon Flux Density Independently Regulate Seedling Growth but Interactively Regulate Flowering. Environ. Exp. Bot. 2018, 155, 206–216. [Google Scholar] [CrossRef]
- Craig, D.S.; Runkle, E.S. An Intermediate Phytochrome Photoequilibria from Night-Interruption Lighting Optimally Promotes Flowering of Several Long-Day Plants. Environ. Exp. Bot. 2016, 121, 132–138. [Google Scholar] [CrossRef]
- Runkle, E.S.; Heins, R.D. Photocontrol of Flowering and Extension Growth in the Long-Day Plant Pansy. J. Am. Soc. Hortic. Sci. 2003, 128, 479–485. [Google Scholar] [CrossRef]
- Meng, Q.; Runkle, E.S. Regulation of Flowering by Green Light Depends on Its Photon Flux Density and Involves Cryptochromes. Physiol. Plant. 2019, 166, 762–771. [Google Scholar] [CrossRef] [PubMed]
- Kohyama, F.; Whitman, C.; Runkle, E.S. Comparing Flowering Responses of Long-Day Plants under Incandescent and Two Commercial Light-Emitting Diode Lamps. HortTechnology 2014, 24, 490–495. [Google Scholar] [CrossRef]
- Shibuya, T.; Izumi, M.; Endo, R. Effects of End-of-Day Far-Red Light and Relative Humidity on Flowering and Stem Elongation of Petunia (Petunia × Hybrida) Seedlings. Sci. Hortic. 2024, 324, 112600. [Google Scholar] [CrossRef]
- Munyanont, M.; Lu, N.; Joilek, T.; Rachma, D.F.; Takagaki, M. Growth and Flowering Characteristics of Calendula under Different Light Spectra in a Controlled Environment. Acta Hortic. 2024, 1404, 1371–1378. [Google Scholar] [CrossRef]
- Kalaitzoglou, P.; van Ieperen, W.; Harbinson, J.; van der Meer, M.; Martinakos, S.; Weerheim, K.; Nicole, C.C.S.; Marcelis, L.F.M. Effects of Continuous or End-of-Day Far-Red Light on Tomato Plant Growth, Morphology, Light Absorption, and Fruit Production. Front. Plant Sci 2019, 10, 322. [Google Scholar] [CrossRef] [PubMed]
- Takemura, Y.; Kishimoto, M.; Tamura, F. Selection of Cut Flower Species Affected Promotion of Flowering and Stem Elongation by Far-Red Lighting or Heating Treatments on End of Day under Limited Sunshine from Autumn to Winter. Hortic. Sci. 2020, 47, 169–179. [Google Scholar] [CrossRef]
- Percival, A.C.; Buiten, C.B.V.; Craver, J.K. Temperature and End-of-Day Light Quality Independently Affect Red Leaf Lettuce Seedling Growth, but Cool Nights May Limit Far-Red-Induced Leaf Expansion. HortScience 2025, 60, 801–809. [Google Scholar] [CrossRef]
- Franklin, K.A.; Whitelam, G.C. Phytochromes and Shade-Avoidance Responses in Plants. Ann. Bot. 2005, 96, 169–175. [Google Scholar] [CrossRef] [PubMed]
- Casal, J.J. Shade Avoidance. Arab. Book 2012, 10, e0157. [Google Scholar] [CrossRef] [PubMed]
- Groen, J. Photosynthesis of Calendula officinalis L. and Impatiens Parviflora DC., as Influenced by Light Intensity during Growth and Age of Leaves and Plants. Meded./Landbouwhogesch. Wagening. 1973, 73–78, 129. [Google Scholar]
- Sotelo, M.; Tu, Y.-K.; Chang, P.; Fang, W.; Chung, H.-Y. Effects of Low Green Light Combined with Different Red and Far-Red Light Ratios on the Growth and Secondary Metabolites of Cilantro (Coriandrum sativum L.). Agronomy 2025, 15, 1363. [Google Scholar] [CrossRef]
- Davodipour, M.; Jalali, M.; Raji, M.R. Effect of Different Light Spectra on Morpho-Physiological and Biochemical Characteristics of Marigold (Calendula officinalis L.) under Salinity Stress. J. Plant Process Funct. 2025, 13, 87–96. [Google Scholar] [CrossRef]
- Park, J.U.; An, S.K.; Kim, J. Far-Red Light Affects Stomatal Opening and Evapotranspiration of Sweet Basil. Horticulturae 2023, 9, 1095. [Google Scholar] [CrossRef]
- Bi, X.; Xu, H.; Yang, C.; Zhang, H.; Li, W.; Su, W.; Zheng, M.; Lei, B. Investigating the Influence of Varied Ratios of Red and Far-Red Light on Lettuce (Lactuca sativa): Effects on Growth, Photosynthetic Characteristics and Chlorophyll Fluorescence. Front. Plant Sci. 2024, 15, 1430241. [Google Scholar] [CrossRef] [PubMed]
- Moradi, M.; Abedi, B.; Arouiee, H.; Aliniaeifard, S.; Ghasemi Bezdi, K. Effect of Different Light Spectral on Photosynthetic Performance, Growth Indicators and Essential Oil Content of Salvia officinalis L. J. Hortic. Sci. 2023, 37, 821–841. [Google Scholar] [CrossRef]
- Salehinia, S.; Didaran, F.; Gariepy, Y.; Aliniaeifard, S.; MacPherson, S.; Lefsrud, M. Green Light Enhances the Postharvest Quality of Lettuce During Cold Storage. Horticulturae 2025, 11, 792. [Google Scholar] [CrossRef]
- Casierra-Posada, F.; Ávila-León, O.F. Shade Tolerance of Marigold Plants (Calendula officinalis). Rev. U.D.C.A Actual. Divulg. Científica 2015, 18, 119–126. [Google Scholar]
- Zhen, S.; van Iersel, M.W.; Bugbee, B. Photosynthesis in Sun and Shade: The Surprising Importance of Far-Red Photons. New Phytol. 2022, 236, 538–546. [Google Scholar] [CrossRef] [PubMed]
- Li, J.; Li, Y.; Chen, Y.; Xu, S.; Wu, X.; Wu, C.; Zhang, N.; Cao, K. Quantifying the Effects of Far-Red Light on Lettuce Photosynthesis and Growth Using a 3D Modelling Approach. Front. Plant Sci. 2024, 15, 1492431. [Google Scholar] [CrossRef] [PubMed]
- Luo, S.; Zou, J.; Shi, M.; Lin, S.; Wang, D.; Liu, W.; Shen, Y.; Ding, X.; Jiang, Y. Effects of Red-Blue Light Spectrum on Growth, Yield, and Photo-Synthetic Efficiency of Lettuce in a Uniformly Illumination Environment. Plant Soil Environ. 2024, 70, 305–316. [Google Scholar] [CrossRef]
- Leschevin, M.; Ksas, B.; Baltenweck, R.; Hugueney, P.; Caffarri, S.; Havaux, M. Photosystem Rearrangements, Photosynthetic Efficiency, and Plant Growth in Far Red-enriched Light. Plant J. 2024, 120, 2536–2552. [Google Scholar] [CrossRef] [PubMed]
- Xu, H.; Chen, P.; Tao, Y. Understanding the Shade Tolerance Responses Through Hints From Phytochrome A-Mediated Negative Feedback Regulation in Shade Avoiding Plants. Front. Plant Sci. 2021, 12, 813092. [Google Scholar] [CrossRef] [PubMed]
- Li, Y.; Huang, P.; Qiu, X.; Zhu, F.; Chen, H.; Wang, S.; He, J.; Pang, Y.; Ma, H.; Wang, F. Integration of Green and Far-Red Light with Red-Blue Light Enhances Shoot Multiplication in Micropropagated Strawberry. Horticulturae 2025, 11, 701. [Google Scholar] [CrossRef]
- Zhang, T.; Folta, K.M. Green Light Signaling and Adaptive Response. Plant Signal. Behav. 2012, 7, 75–78. [Google Scholar] [CrossRef] [PubMed]
- Samkumar, A.; Jones, D.; Karppinen, K.; Dare, A.P.; Sipari, N.; Espley, R.V.; Martinussen, I.; Jaakola, L. Red and Blue Light Treatments of Ripening Bilberry Fruits Reveal Differences in Signalling through Abscisic Acid-Regulated Anthocyanin Biosynthesis. Plant Cell Environ. 2021, 44, 3227–3245. [Google Scholar] [CrossRef] [PubMed]
- Warnasooriya, S.N.; Porter, K.J.; Montgomery, B.L. Tissue- and Isoform-Specific Phytochrome Regulation of Light-Dependent Anthocyanin Accumulation in Arabidopsis Thaliana. Plant Signal. Behav. 2011, 6, 624–631. [Google Scholar] [CrossRef] [PubMed]
- Lozano-Castellanos, L.; Sánchez-Hernández, E.; Navas-Gracia, L.; Martin-Ramos, P.; Correa-Guimaraes, A. Effects of Different Types of Artificial Light on the Phytochemicals of Lactuca sativa L. Variety Great Lakes 118 Cultivated under Aeroponic System. Food Biosci. 2025, 64, 105950. [Google Scholar] [CrossRef]
- Cerqueira, J.V.A.; Zhu, F.; Mendes, K.; Nunes-Nesi, A.; Martins, S.C.V.; Benedito, V.; Fernie, A.R.; Zsögön, A. Promoter Replacement of ANT1 Induces Anthocyanin Accumulation and Triggers the Shade Avoidance Response through Developmental, Physiological and Metabolic Reprogramming in Tomato. Hortic Res 2022, 10, uhac254. [Google Scholar] [CrossRef] [PubMed]
- Xiao, Y.; Chu, L.; Zhang, Y.; Bian, Y.; Xiao, J.; Xu, D. HY5: A Pivotal Regulator of Light-Dependent Development in Higher Plants. Front. Plant Sci. 2022, 12, 800989. [Google Scholar] [CrossRef] [PubMed]
- Alrajhi, A.A.; Alsahli, A.S.; Alhelal, I.M.; Rihan, H.Z.; Fuller, M.P.; Alsadon, A.A.; Ibrahim, A.A. The Effect of LED Light Spectra on the Growth, Yield and Nutritional Value of Red and Green Lettuce (Lactuca sativa). Plants 2023, 12, 463. [Google Scholar] [CrossRef] [PubMed]
- Zhao, S.; Blum, J.A.; Ma, F.; Wang, Y.; Borejsza-Wysocka, E.; Ma, F.; Cheng, L.; Li, P. Anthocyanin Accumulation Provides Protection against High Light Stress While Reducing Photosynthesis in Apple Leaves. Int. J. Mol. Sci. 2022, 23, 12616. [Google Scholar] [CrossRef] [PubMed]
- Carvalho, S.D.; Folta, K.M. Green Light Control of Anthocyanin Production in Microgreens. Int. Soc. Hortic. Sci. 2016, 1134, 13–18. [Google Scholar] [CrossRef]
- Kaiser, E.; Weerheim, K.; Schipper, R.; Dieleman, J.A. Partial Replacement of Red and Blue by Green Light Increases Biomass and Yield in Tomato. Sci. Hortic. 2019, 249, 271–279. [Google Scholar] [CrossRef]
- Schenkels, L.; Saeys, W.; Lauwers, A.; De Proft, M.P. Green Light Induces Shade Avoidance to Alter Plant Morphology and Increases Biomass Production in Ocimum basilicum L. Sci. Hortic. 2020, 261, 109002. [Google Scholar] [CrossRef]
- Ballaré, C.L.; Pierik, R. The Shade-Avoidance Syndrome: Multiple Signals and Ecological Consequences. Plant Cell Environ. 2017, 40, 2530–2543. [Google Scholar] [CrossRef] [PubMed]
- Benabderrahmane, A.; Atmani, M.; Rhioui, W.; Boutagayout, A.; Errachidi, F.; Belmalha, S. Chemical and Elemental Composition of Ammi visnaga L. and Calendula officinalis L. from Meknes, Morocco. J. Ecol. Eng. 2023, 24, 84–94. [Google Scholar] [CrossRef] [PubMed]
- Al-Mussawi, Z.K.; Al-Hussani, I.M. Phytochemical Study of Calendula officinalis Plant by Used GC_MS and FTIR Techniques. Plant Arch. 2019, 19, 845–851. [Google Scholar]
- Agatonovic-Kustrin, S.; Ramenskaya, G.; Kustrin, E.; Morton, D.W. Characterisation of α-Amylase Inhibitors in Marigold Plants via Bioassay-Guided High-Performance Thin-Layer Chromatography and Attenuated Total Reflectance–Fourier Transform Infrared Spectroscopy. J. Chromatogr. B 2021, 1173, 122676. [Google Scholar] [CrossRef] [PubMed]
- Kaškonienė, V.; Kaškonas, P.; Jalinskaitė, M.; Maruška, A. Chemical Composition and Chemometric Analysis of Variation in Essential Oils of Calendula officinalis L. during Vegetation Stages. Chromatographia 2011, 73, 163–169. [Google Scholar] [CrossRef]
- Sahingil, D. GC/MS-Olfactometric Characterization of the Volatile Compounds, Determination Antimicrobial and Antioxidant Activity of Essential Oil from Flowers of Calendula (Calendula officinalis L.). J. Essent. Oil Bear. Plants 2019, 22, 1571–1580. [Google Scholar] [CrossRef]
- Wu, Z.; Tang, J.; Jia, F.; Wang, W.; Liu, S.; Liu, H.; Liu, H. Green Light and Nitrogen: Optimizing Antioxidant Production in Lettuce for Extraterrestrial Survival. Life Sci. Space Res. 2025, 47, 32–42. [Google Scholar] [CrossRef]
- Faustino, M.V.; Seca, A.M.L.; Silveira, P.; Silva, A.M.S.; Pinto, D.C.G.A. Gas Chromatography–Mass Spectrometry Profile of Four Calendula L. Taxa: A Comparative Analysis. Ind. Crops Prod. 2017, 104, 91–98. [Google Scholar] [CrossRef]
- Li, X.; Zhao, S.; Cao, Q.; Qiu, C.; Yang, Y.; Zhang, G.; Wu, Y.; Yang, Z. Effect of Green Light Replacing Some Red and Blue Light on Cucumis Melo under Drought Stress. Int. J. Mol. Sci. 2024, 25, 7561. [Google Scholar] [CrossRef] [PubMed]
- Contreras-Avilés, W.; Heuvelink, E.; Marcelis, L.F.M.; Kappers, I.F. Ménage à Trois: Light, Terpenoids, and Quality of Plants. Trends Plant Sci. 2024, 29, 572–588. [Google Scholar] [CrossRef] [PubMed]
- Kelly, N.; Runkle, E.S. Dependence of Far-Red Light on Red and Green Light at Increasing Growth of Lettuce. PLoS ONE 2024, 19, e0313084. [Google Scholar] [CrossRef] [PubMed]
- Banerjee, A.; Sharkey, T.D. Methylerythritol 4-Phosphate (MEP) Pathway Metabolic Regulation. Nat. Prod. Rep. 2014, 31, 1043–1055. [Google Scholar] [CrossRef] [PubMed]
- Zhang, S.; Zhang, L.; Zou, H.; Qiu, L.; Zheng, Y.; Yang, D.; Wang, Y. Effects of Light on Secondary Metabolite Biosynthesis in Medicinal Plants. Front. Plant Sci. 2021, 12, 781236. [Google Scholar] [CrossRef] [PubMed]









| Variable | p-Value (Treatment) | p-Value (Time, DAS) | p-Value (Treatment × Time) |
|---|---|---|---|
| Leaf number | 0.0003 | <0.0001 | 0.0087 |
| Stem length | <0.0001 | <0.0001 | <0.0001 |
| Leaf width | 0.0001 | <0.0001 | <0.0001 |
| Leaf length | <0.0001 | <0.0001 | <0.0001 |
| Flower bud number | <0.0001 | <0.0001 | 0.0019 |
| Flower number | <0.0001 | <0.0001 | <0.0001 |
| Floret length | 0.0001 | <0.0001 | 0.0336 |
| Capitulum diameter | <0.0001 | <0.0001 | 0.0284 |
| Floral stem length | <0.0001 | <0.0001 | 0.0001 |
| Variable | p-Value (Treatment) | p-Value (Time, DAS) | p-Value (Treatment × Time) |
|---|---|---|---|
| A | 0.0409 | <0.0001 | 0.0037 |
| E | <0.0001 | 0.0004 | 0.0143 |
| gsw | <0.0001 | 0.0030 | 0.1785 |
| ΦPSII | <0.0001 | 0.0071 | 0.0051 |
| ETR | <0.0001 | <0.0001 | 0.0156 |
| Fv’/Fm’ | 0.0004 | <0.0001 | 0.0018 |
| Treatment | 27 DAS | 42 DAS | 56 DAS | 70 DAS | 84 DAS |
|---|---|---|---|---|---|
| Control | 0.70 ± 0.10 a | 1.09 ± 0.25 a | 1.12 ± 0.26 b | 1.11 ± 0.25 a | 0.73 ± 0.24 a |
| EOD G 4 h | 0.76 ± 0.11 a | 0.97 ± 0.22 a | 0.92 ± 0.26 a | 1.09 ± 0.27 a | 0.81 ± 0.27 b |
| EOD G 2 h | 0.81 ± 0.12 a | 1.05 ± 0.26 a | 1.01 ± 0.25 a | 1.16 ± 0.34 b | 1.08 ± 0.34 b |
| EOD R:FR 2 h | 0.74 ± 0.12 a | 0.85 ± 0.17 a | 0.69 ± 0.15 a | 0.82 ± 0.26 a | 0.97 ± 0.30 a |
| EOD R:FR 4 h | 0.79 ± 0.14 a | 0.64 ± 0.14 b | 0.76 ± 0.16 a | 0.81 ± 0.23 b | 0.96 ± 0.25 b |
| Treatment | 27 DAS | 42 DAS | 56 DAS | 70 DAS | 84 DAS |
|---|---|---|---|---|---|
| Control | 1.90 ± 0.52 a | 3.62 ± 2.61 a | 3.66 ± 1.55 a | 3.34 ± 1.37 a | 2.48 ± 1.15 a |
| EOD G 4 h | 1.85 ± 0.50 a | 3.01 ± 1.25 a | 2.94 ± 1.26 a | 3.67 ± 1.60 a | 2.69 ± 1.37 a |
| EOD G 2 h | 1.99 ± 0.57 a | 3.44 ± 1.67 a | 3.19 ± 1.35 a | 3.92 ± 1.60 a | 3.71 ± 1.73 a |
| EOD R:FR 2 h | 1.70 ± 0.50 a | 2.66 ± 1.02 b | 1.97 ± 0.66 b | 2.47 ± 1.23 b | 3.26 ± 1.61 a |
| EOD R:FR 4 h | 1.91 ± 0.67 a | 1.89 ± 0.66 c | 2.22 ± 0.80 b | 2.93 ± 1.30 a | 3.21 ± 1.37 a |
| Treatment | Fresh Weight | ||||
|---|---|---|---|---|---|
| Leaf | Stem | Bud | Flower | Total | |
| Control | 201.47 ± 8.28 a | 217.47 ± 14.64 b | 6.65 ± 0.54 a | 11.29 ± 0.39 a | 436.88 |
| EOD G 4 h | 201.1 ± 26.33 a | 237.42 ± 28.1 a | 4.14 ± 1.45 a | 9.29 ± 0.69 a | 451.95 |
| EOD G 2 h | 286.22 ± 31.12 a | 287.3 ± 17.96 a | 7.54 ± 0.46 a | 19.81 ± 6.04 a | 600.86 |
| EOD R:FR 4 h | 256.64 ± 29.31 a | 294.9 ± 24.31 a | 5.05 ± 0.92 a | 9.23 ± 4.27 a | 565.81 |
| EOD R:FR 2 h | 245.46 ± 22.84 a | 362.54 ± 26.65 c | 7.43 ± 1.53 a | 14.21 ± 2.89 a | 629.64 |
| Pr > F | 0.144 | 0.009 | 0.176 | 0.264 | - |
| Dry weight | |||||
| Control | 18.11 ± 0.72 b | 20.29 ± 1.53 b | 0.9 ± 0.17 a | 2.24 ± 0.17 a | 41.54 |
| EOD G 4 h | 14.74 ± 1.82 b | 16.38 ± 1.15 b | 0.78 ± 0.06 a | 1.69 ± 0.28 a | 33.58 |
| EOD G 2 h | 27.61 ± 3.18 a | 28.5 ± 4.81 a | 1.14 ± 0.08 a | 3.91 ± 1.06 a | 61.16 |
| EOD R:FR 4 h | 20.28 ± 2.28 a | 22.66 ± 2.53 b | 0.77 ± 0.18 a | 1.22 ± 0.49 a | 44.93 |
| EOD R:FR 2 h | 20.97 ± 2.03 a | 31.1 ± 3.53 a | 1.06 ± 0.19 a | 2.48 ± 0.4 a | 55.61 |
| Pr > F | 0.019 | 0.035 | 0.344 | 0.062 | - |
| Control | EOD G 4 h | EOD G 2 h | EOD R:FR 4 h | EOD R:FR 2 h | Assignment | |||||
|---|---|---|---|---|---|---|---|---|---|---|
| L | F | L | F | L | F | L | F | L | F | |
| 3294 | 3391 | 3282 | 3361 | 3393 | 3342 | 3346 | O–H stretching (hydrogen-bonded hydroxyls, polyphenols, water) | |||
| 2917 | 2918 | 2917 | 2917 | 2917 | 2918 | 2917 | 2917 | 2917 | 2917 | C–H asymmetric and symmetric stretching (aliphatic chains, lipids, waxes) |
| 2849 | 2849 | 2850 | 2849 | 2849 | 2849 | 2849 | C–H asymmetric and symmetric stretching (aliphatic chains, lipids, waxes) | |||
| 2156 | Strong C=C=O ketone (stretching) | |||||||||
| 1742 | 1734 | 1735 | 1745 | 1734 | 1739 | 1734 | 1739 | 1733 | C=O stretching (esters in cutin, methylated pectin, fatty acids) | |
| 1633 | 1612 | 1599 | 1607 | 1620 | 1610 | 1614 | 1612 | 1612 | 1604 | C=C stretching (aromatic rings, conjugated alkenes, carboxylates) |
| 1462 | 1462 | 1463 | C–H bending (–CH2 scissoring deformation in aliphatic chains; cuticular wax/cutin) | |||||||
| 1322 | 1331 | 1324 | 1336 | 1352 | CH2 and CH3 bending, O–H in-plane bending (lignin, polyphenols) | |||||
| 1233 | 1262 | 1237 | 1236 | 1232 | Strong C–O–C and a carboxylic ester | |||||
| 1144 | 1146 | C–O–C stretching (asymmetric stretch of ester linkages in cutin; also characteristic of glycosidic bonds) | ||||||||
| 1104 | 1105 | 1104 | 1106 | 1104 | 1104 | 1103 | 1105 | 1102 | C–O–C and C–O stretching (polysaccharides, glycosidic bonds, esters) | |
| 1049 | 1050 | 1048 | C–O vibration (flavones or terpenoids) | |||||||
| 1012 | 1011 | 1011 | C–O stretching (glycosidic linkages in polysaccharides or glycosides) | |||||||
| 957 | 976 | 962 | 962 | Out-of-plane C–H bending (aromatics, trans alkenes) | ||||||
| 904 | 900 | 913 | 913 | 916 | 909 | 913 | Out-of-plane C–H bending (aromatics, trans alkenes) | |||
| 825 | 825 | 819 | 825 | 824 | Out-of-plane C–H bending (aromatics, trans alkenes) | |||||
| 720 | 720 | 720 | Stretching vibration of CH2 | |||||||
| 667 | 635 | 626 | 669 | 638 | Ring deformation, C–H wagging, possible C–X bending | |||||
| 537 | 537 | 534 | 490 | 535 | 534 | 534 | 534 | Ring deformation, C–H wagging, possible C–X bending | ||
| 423 | 423 | Skeletal deformation, out-of-plane ring torsion | ||||||||
Disclaimer/Publisher’s Note: The statements, opinions and data contained in all publications are solely those of the individual author(s) and contributor(s) and not of MDPI and/or the editor(s). MDPI and/or the editor(s) disclaim responsibility for any injury to people or property resulting from any ideas, methods, instructions or products referred to in the content. |
© 2025 by the authors. Licensee MDPI, Basel, Switzerland. This article is an open access article distributed under the terms and conditions of the Creative Commons Attribution (CC BY) license (https://creativecommons.org/licenses/by/4.0/).
Share and Cite
Lozano-Castellanos, L.F.; Pennisi, G.; Navas-Gracia, L.M.; Orsini, F.; Sánchez-Hernández, E.; Martín-Ramos, P.; Correa-Guimaraes, A. Physiological and Phytochemical Responses of Calendula officinalis L. to End-of-Day Red/Far-Red and Green Light. Biology 2025, 14, 935. https://doi.org/10.3390/biology14080935
Lozano-Castellanos LF, Pennisi G, Navas-Gracia LM, Orsini F, Sánchez-Hernández E, Martín-Ramos P, Correa-Guimaraes A. Physiological and Phytochemical Responses of Calendula officinalis L. to End-of-Day Red/Far-Red and Green Light. Biology. 2025; 14(8):935. https://doi.org/10.3390/biology14080935
Chicago/Turabian StyleLozano-Castellanos, Luisa F., Giuseppina Pennisi, Luis Manuel Navas-Gracia, Francesco Orsini, Eva Sánchez-Hernández, Pablo Martín-Ramos, and Adriana Correa-Guimaraes. 2025. "Physiological and Phytochemical Responses of Calendula officinalis L. to End-of-Day Red/Far-Red and Green Light" Biology 14, no. 8: 935. https://doi.org/10.3390/biology14080935
APA StyleLozano-Castellanos, L. F., Pennisi, G., Navas-Gracia, L. M., Orsini, F., Sánchez-Hernández, E., Martín-Ramos, P., & Correa-Guimaraes, A. (2025). Physiological and Phytochemical Responses of Calendula officinalis L. to End-of-Day Red/Far-Red and Green Light. Biology, 14(8), 935. https://doi.org/10.3390/biology14080935

