Effect of Nitrogen Application Rate on Growth Physiology, Yield Quality, and Nitrogen Fertilizer Utilization Rate of Liriope muscari in Pots
Simple Summary
Abstract
1. Introduction
2. Materials and Methods
2.1. Materials
2.2. Experimental Design
2.3. Measurement Content and Methods
2.4. Data Analysis
3. Results
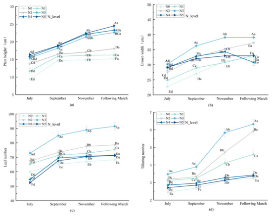
3.1. Effects of Different Nitrogen Application Rates on the Morphological Development of Potted L. muscari
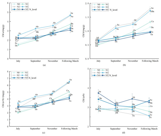
3.2. Effects of Different Nitrogen Application Rates on Photosynthetic Pigments in Potted L. muscari
3.3. Effects of Different Nitrogen Application Rates on Photosynthetic Gas Parameters of Potted L. muscari
3.4. Effects of Different Nitrogen Application Rates on the Yield and Quality of Potted L. muscari
3.5. Effects of Different Nitrogen Application Rates on Nitrogen Fertilizer Utilization Efficiency of Potted L. muscari
3.6. Direct and Indirect Mechanisms by Which Various Indicators Affect the Yield and Quality of L. muscari Rhizomes
3.6.1. Correlation Between Various Indicator Traits and Rhizome Yield and Quality
3.6.2. Direct and Indirect Effects of Various Indicator Traits on Tuber Yield and Quality
4. Discussion
4.1. Effect of Nitrogen on Growth, Physiological Traits, Yield, Quality, and Nitrogen Use Efficiency of L. muscari
4.2. Effect of Growth and Physiological Traits on Yield and Quality of L. muscari
5. Conclusions
Author Contributions
Funding
Institutional Review Board Statement
Informed Consent Statement
Data Availability Statement
Conflicts of Interest
Appendix A
| N-Level | H | T | W | L | ||||||||||||
|---|---|---|---|---|---|---|---|---|---|---|---|---|---|---|---|---|
| Jul | Sep | Nov | Mar | Jul | Sep | Nov | Mar | Jul | Sep | Nov | Mar | Jul | Sep | Nov | Mar | |
| N0 | 10.4 | 14.9 | 15.2 | 15.60 | 3.00 | 3.15 | 3.36 | 3.78 | 23.10 | 28.30 | 31.50 | 31.90 | 60.00 | 63.90 | 68.40 | 69.24 |
| N0 | 9.69 | 14.32 | 14.88 | 15.37 | 2.75 | 2.86 | 3.29 | 3.33 | 24.66 | 29.59 | 32.50 | 32.60 | 58.80 | 62.48 | 66.21 | 67.87 |
| N0 | 8.11 | 14.88 | 14.57 | 14.71 | 3.20 | 3.22 | 3.26 | 3.55 | 20.52 | 26.24 | 29.67 | 30.12 | 61.20 | 63.21 | 66.37 | 67.76 |
| N1 | 11.4 | 15.2 | 16.5 | 16.80 | 2.94 | 3.15 | 4.24 | 5.04 | 23.30 | 27.70 | 29.50 | 31.70 | 65.20 | 70.80 | 72.13 | 74.20 |
| N1 | 12.52 | 14.65 | 16.15 | 15.93 | 3.21 | 3.34 | 3.84 | 3.51 | 24.35 | 26.83 | 30.51 | 30.89 | 66.51 | 71.46 | 73.56 | 75.50 |
| N1 | 11.17 | 16.24 | 15.91 | 16.04 | 3.23 | 3.12 | 4.25 | 5.25 | 26.96 | 29.36 | 32.29 | 33.80 | 64.50 | 71.25 | 72.85 | 76.23 |
| N2 | 14.60 | 16.21 | 17.4 | 18.70 | 3.22 | 2.94 | 4.83 | 6.06 | 28.80 | 31.60 | 32.80 | 36.90 | 68.00 | 72.50 | 75.60 | 79.80 |
| N2 | 12.17 | 15.76 | 17.03 | 18.50 | 2.69 | 3.17 | 4.33 | 5.56 | 26.84 | 32.74 | 36.91 | 37.95 | 66.90 | 73.99 | 74.13 | 77.88 |
| N2 | 14.31 | 17.44 | 16.84 | 16.95 | 3.34 | 3.89 | 5.01 | 6.13 | 26.96 | 33.25 | 36.07 | 37.15 | 67.12 | 73.63 | 76.81 | 78.12 |
| N3 | 15.8 | 18.5 | 22.1 | 22.67 | 3.68 | 3.94 | 6.93 | 7.40 | 30.10 | 37.00 | 38.60 | 38.80 | 71.60 | 87.40 | 91.00 | 95.80 |
| N3 | 14.28 | 18.32 | 20.79 | 24.03 | 3.25 | 3.71 | 6.56 | 7.01 | 29.55 | 36.40 | 39.61 | 39.72 | 68.88 | 82.21 | 86.25 | 88.41 |
| N3 | 15.96 | 17.76 | 20.97 | 21.14 | 3.48 | 4.03 | 7.01 | 7.55 | 31.12 | 35.53 | 39.08 | 41.13 | 72.30 | 85.45 | 89.72 | 90.25 |
| N4 | 16.05 | 19.11 | 21.43 | 22.9 | 1.61 | 1.89 | 2.00 | 2.51 | 23.30 | 34.40 | 34.60 | 34.70 | 33.40 | 41.40 | 49.60 | 52.60 |
| N4 | 16.20 | 18.89 | 20.97 | 23.04 | 1.67 | 1.86 | 2.34 | 2.68 | 22.11 | 32.43 | 36.59 | 36.04 | 36.27 | 39.90 | 53.23 | 56.64 |
| N4 | 15.57 | 18.34 | 20.92 | 23.97 | 1.85 | 2.11 | 2.57 | 2.96 | 23.96 | 31.76 | 34.94 | 36.65 | 34.33 | 40.25 | 52.26 | 54.23 |
| N5 | 16.29 | 19.20 | 21.70 | 24.12 | 1.68 | 2.21 | 2.73 | 3.00 | 23.40 | 31.50 | 32.10 | 31.70 | 31.40 | 40.20 | 43.00 | 44.40 |
| N5 | 15.73 | 18.58 | 21.25 | 24.34 | 2.52 | 2.62 | 3.01 | 3.05 | 21.96 | 32.64 | 34.61 | 34.71 | 32.77 | 39.52 | 43.25 | 45.21 |
| N5 | 17.10 | 18.87 | 21.26 | 25.08 | 1.36 | 2.56 | 2.87 | 3.02 | 24.08 | 31.95 | 32.27 | 33.84 | 33.12 | 41.94 | 44.19 | 46.23 |
Appendix B
| N-Level | Chla | Chb | Tchl | ChL (a/b) | ||||||||||||
|---|---|---|---|---|---|---|---|---|---|---|---|---|---|---|---|---|
| Jul | Sep | Nov | Mar | Jul | Sep | Nov | Mar | Jul | Sep | Nov | Mar | Jul | Sep | Nov | Mar | |
| N0 | 1.60 | 2.15 | 2.67 | 3.34 | 0.51 | 0.71 | 0.83 | 1.11 | 2.11 | 2.86 | 3.50 | 4.44 | 3.11 | 3.03 | 3.22 | 3.01 |
| N0 | 1.65 | 2.26 | 2.73 | 3.56 | 0.57 | 0.66 | 0.85 | 1.18 | 2.21 | 2.92 | 3.58 | 4.74 | 2.89 | 3.40 | 3.20 | 3.01 |
| N0 | 1.52 | 2.04 | 2.54 | 3.48 | 0.52 | 0.62 | 0.88 | 1.13 | 2.03 | 2.66 | 3.41 | 4.61 | 2.94 | 3.30 | 2.89 | 3.08 |
| N1 | 1.39 | 2.01 | 2.91 | 3.69 | 0.51 | 0.68 | 0.99 | 1.33 | 1.90 | 2.68 | 3.90 | 5.02 | 2.73 | 2.98 | 2.95 | 2.78 |
| N1 | 1.42 | 1.97 | 2.99 | 3.85 | 0.49 | 0.75 | 0.99 | 1.34 | 1.91 | 2.72 | 3.98 | 5.19 | 2.91 | 2.64 | 3.01 | 2.87 |
| N1 | 1.32 | 1.91 | 2.84 | 3.53 | 0.51 | 0.71 | 0.92 | 1.31 | 1.84 | 2.62 | 3.76 | 4.84 | 2.58 | 2.69 | 3.08 | 2.69 |
| N2 | 2.00 | 3.09 | 3.23 | 4.61 | 0.69 | 1.11 | 1.26 | 1.80 | 2.69 | 4.20 | 4.49 | 6.40 | 2.90 | 2.78 | 2.56 | 2.56 |
| N2 | 2.09 | 3.01 | 3.44 | 4.86 | 0.68 | 1.21 | 1.30 | 1.81 | 2.77 | 4.22 | 4.74 | 6.67 | 3.09 | 2.48 | 2.65 | 2.68 |
| N2 | 1.90 | 2.93 | 3.47 | 4.38 | 0.71 | 1.20 | 1.31 | 1.80 | 2.61 | 4.13 | 4.78 | 6.17 | 2.66 | 2.44 | 2.65 | 2.43 |
| N3 | 2.50 | 3.23 | 3.66 | 4.61 | 0.67 | 1.09 | 1.27 | 1.73 | 3.18 | 4.32 | 4.93 | 6.34 | 3.73 | 2.97 | 2.88 | 2.66 |
| N3 | 2.65 | 3.06 | 3.52 | 4.96 | 0.67 | 1.11 | 1.22 | 1.82 | 3.32 | 4.17 | 4.74 | 6.78 | 3.93 | 2.75 | 2.88 | 2.73 |
| N3 | 2.38 | 3.37 | 3.51 | 4.47 | 0.65 | 1.11 | 1.23 | 1.65 | 3.03 | 4.48 | 4.74 | 6.12 | 3.65 | 3.02 | 2.86 | 2.71 |
| N4 | 2.22 | 2.32 | 2.66 | 3.27 | 0.65 | 0.75 | 0.88 | 0.97 | 2.87 | 3.07 | 3.54 | 4.23 | 3.41 | 3.11 | 3.01 | 3.39 |
| N4 | 2.33 | 2.45 | 2.81 | 3.49 | 0.64 | 0.77 | 0.86 | 0.91 | 2.98 | 3.22 | 3.67 | 4.39 | 3.62 | 3.17 | 3.26 | 3.85 |
| N4 | 2.11 | 2.21 | 2.52 | 3.11 | 0.66 | 0.74 | 0.90 | 1.04 | 2.77 | 2.95 | 3.43 | 4.15 | 3.21 | 2.99 | 2.79 | 2.98 |
| N5 | 2.21 | 2.22 | 2.76 | 3.13 | 0.60 | 0.67 | 0.84 | 0.91 | 2.81 | 2.89 | 3.60 | 4.04 | 3.71 | 3.31 | 3.29 | 3.42 |
| N5 | 2.32 | 2.33 | 2.93 | 3.09 | 0.57 | 0.69 | 0.76 | 0.94 | 2.89 | 3.02 | 3.69 | 4.03 | 4.04 | 3.40 | 3.83 | 3.28 |
| N5 | 2.10 | 2.13 | 2.62 | 3.02 | 0.63 | 0.66 | 0.82 | 0.98 | 2.73 | 2.79 | 3.44 | 4.00 | 3.36 | 3.24 | 3.22 | 3.08 |
Appendix C
| N-Level | Pn | Ci | Gs | Tr | Yield | AIT | PC | NU |
|---|---|---|---|---|---|---|---|---|
| N0 | 4.52 | 261.04 | 0.057 | 1.592 | 15.11 | 0.16 | 30.12 | 0.258 |
| N0 | 4.45 | 266.53 | 0.054 | 1.581 | 15.16 | 0.16 | 29.92 | 0.253 |
| N0 | 4.57 | 274.26 | 0.052 | 1.568 | 15.22 | 0.17 | 29.50 | 0.258 |
| N1 | 5.68 | 254.71 | 0.058 | 1.701 | 21.32 | 0.19 | 37.30 | 0.385 |
| N1 | 5.82 | 263.41 | 0.061 | 1.716 | 21.36 | 0.20 | 37.03 | 0.385 |
| N1 | 5.71 | 259.74 | 0.064 | 1.730 | 21.43 | 0.20 | 36.75 | 0.388 |
| N2 | 7.71 | 225.79 | 0.068 | 1.812 | 27.05 | 0.20 | 38.91 | 0.567 |
| N2 | 7.47 | 215.56 | 0.069 | 1.824 | 27.16 | 0.21 | 38.62 | 0.581 |
| N2 | 7.52 | 237.97 | 0.070 | 1.895 | 27.15 | 0.22 | 38.37 | 0.561 |
| N3 | 8.01 | 211.33 | 0.078 | 2.003 | 34.58 | 0.20 | 40.20 | 0.779 |
| N3 | 8.12 | 224.75 | 0.075 | 1.912 | 34.70 | 0.21 | 39.90 | 0.787 |
| N3 | 7.84 | 215.05 | 0.077 | 2.011 | 34.76 | 0.22 | 39.68 | 0.763 |
| N4 | 5.19 | 259.20 | 0.065 | 1.697 | 18.10 | 0.18 | 35.66 | 0.572 |
| N4 | 5.12 | 267.14 | 0.060 | 1.701 | 18.03 | 0.19 | 35.40 | 0.576 |
| N4 | 5.04 | 268.22 | 0.063 | 1.684 | 18.36 | 0.20 | 35.09 | 0.604 |
| N5 | 4.26 | 294.26 | 0.052 | 1.556 | 18.04 | 0.16 | 32.12 | 0.575 |
| N5 | 4.00 | 298.08 | 0.049 | 1.542 | 17.30 | 0.17 | 31.90 | 0.558 |
| N5 | 4.12 | 301.15 | 0.050 | 1.561 | 17.66 | 0.18 | 31.52 | 0.561 |
References
- Li, Y.-W.; Qi, J.; Zhang, Y.Y.; Huang, Z.; Kou, J.P.; Zhou, S.P.; Zhang, Y.; Yu, B.Y. Novel cytotoxic steroidal glycosides from the roots of Liriope muscari. Chin. Tradit. Herb. Drugs 2015, 103, 1–7. [Google Scholar] [CrossRef]
- Lee, J.; Song, H.; Kim, K. Inhibition of Candida albicans biofilm formation and attenuation of its virulence by Liriope muscari. Antibiotics 2024, 13, 434. [Google Scholar] [CrossRef]
- Wang, Q. Physiological and Biochemical Responses of Liriope muscari (Decne.) Baily to Abiotic Stresses and Its Applications in Landscape Architecture. Ph.D. Thesis, Fujian Agriculture and Forestry University, Fujian, China, 2012. [Google Scholar]
- Chinese Pharmacopoeia. Part I: China Medical; Science Press: Beijing, China, 2015; p. 26. [Google Scholar]
- Zhang, J.J.; Zhu, L.; Zhang, X.; Zhou, J. Photosynthetic performance and growth responses of Liriope muscari (Decne.) L.H. Bailey (Asparagaceae) planted within poplar forests having different canopy densities. Flora 2020, 20, 25. [Google Scholar] [CrossRef]
- Wu, Y.; Wang, X.M.; Bi, S.X.; Zhang, W.; Li, R.M.; Wang, R.J.; Yu, B.Y.; Qi, J. Novel cytotoxic steroidal saponins from the roots of Liriope muscari (Decne.) L.H. Bailey. RSC Adv. 2017, 7, 13696–13706. [Google Scholar] [CrossRef]
- Li, W.J.; Cheng, X.L.; Liu, J.; Lin, R.C.; Wang, G.L.; Du, S.S.; Liu, Z.L. Phenolic compounds and antioxidant activities of Liriope muscari. Molecules 2012, 17, 1797–1808. [Google Scholar] [CrossRef] [PubMed]
- Tian, H.; Bian, Z.; Shi, H.; Qin, X.; Pan, N.; Lu, C.; Pan, S.; Tubiello, F.N.; Chang, J.; Conchedda, G.; et al. History of anthropogenic Nitrogen inputs (HaNi) to the terrestrial biosphere: A 5 arcmin resolution annual dataset from 1860 to 2019. Earth Syst. Sci. 2022, 20, 4551–4568. [Google Scholar] [CrossRef]
- Zheng, C.Y.; Sha, S.Y.; Zhu, L.; Wang, S.J.; Feng, G.Z.; Gao, Q.; Wang, Y. Optimization of nitrogen fertilizer application for high–yield maize in the black soil region based on ecological and social benefits. Sci. Agric. Sin. 2023, 56, 2129–2140. [Google Scholar] [CrossRef]
- Ge, L.J.; Xu, J.P.; Yang, Y.R.; Guan, Z.Y.; Chen, S.M.; Fang, W.M.; Chen, F.D.; Zhao, S. Effects of nitrogen application levels on growth, nitrogen accumulation, and distribution of different cut chrysanthemum cultivars. J. Nanjing Agric. Univ. 2024, 47, 222–231. [Google Scholar] [CrossRef]
- Cao, X.; Zhong, C.; Sajid, H.; Zhu, L.; Zhang, J.; Wu, L.; Jin, Q. Effects of watering regime and nitrogen application rate on the photosynthetic parameters, physiological characteristics, and agronomic traits of rice. Acta Physiol. Plant 2017, 39, 2929–2944. [Google Scholar] [CrossRef]
- Zeng, B.L.; Sun, Q.; Liu, Z.; Wang, L.J.; Dai, P.F.; Xie, H.J. Effects of different nitrogen application rates on the growth, quality, and nitrogen accumulation of cherry tomatoes. Jiangsu Agric. Sci. 2024, 52, 148–154. [Google Scholar] [CrossRef]
- Wang, J.; Huang, J.; Ge, C.B.; Wang, Y.M.; Cao, X.N.; Liu, L.L. Effects of nitrogen levels on the photosynthetic characteristics of flag leaves, grain-filling characteristics, and yield of winter wheat. Hebei J. Agric. Sci. 2024, 28, 48–56. Available online: https://www.cjwk.cn/journal/guidelinesDetails/1876548122688237568 (accessed on 1 May 2025).
- Zhang, J.; Yan, Z.M.; Zhang, L.J.; Qiao, J.L.; Zhang, Z.Y.; Qi, S.L.; Lu, W.Y.; Liao, P.A. Effects of nitrogen levels on the growth and development, and nitrogen uptake and utilization of tartary buckwheat. J. Nucl. Agric. Sci. 2024, 38, 2219–2227. Available online: https://www.hnxb.org.cn/CN/10.11869/j.issn.1000-8551.2024.11.2219 (accessed on 1 May 2025).
- Han, L.; Wang, T.; Gao, J.J.; Liu, Z.L.; Chen, Z.; Gu, D.Y.; Yan, W.Q. Effects of nitrogen application rate on the growth, quality, and nitrogen utilization of Chinese chives grown in organic substrate. China Cucurbits Veg. 2024, 37, 141–148. [Google Scholar] [CrossRef]
- Ma, S.; Kou, J.; Yu, B. Safety evaluation of steroidal saponin DT-13 isolated from the tuber of Liriope muscari (Decne.) Baily. Food Chem. Toxicol. 2011, 49, 2840–2848. [Google Scholar] [CrossRef]
- Fan, H.L.; Chen, C.; Xie, A.Q. Responses of the diurnal photosynthetic variation characteristics of Ophiopogon japonicus tuber development stage to water stress. J. Henan Agric. Univ. 2017, 51, 87–93. [Google Scholar]
- Zhang, J.J.; Zhu, L.; Zhang, X.; Zhou, J.; Guy, R.D. Photosynthetic performance and growth responses of Liriope muscari (Decne.) L. H. Bailey (Asparagaceae) to different levels of irradiance in three seasons. Flora 2021, 278, 151798. [Google Scholar] [CrossRef]
- Li, Y.W.; Qi, J.; Zhang, W.; Zhou, S.-P.; Wu, Y.; Yu, B.-Y. Determination and fingerprint analysis of steroidal saponins in roots of Liriope muscari (Decne.) L. H. Bailey by ultra high performance liquid chromatography coupled with ion trap time of flight mass spectrometry. J. Sep. Sci. 2014, 37, 1762–1772. [Google Scholar] [CrossRef] [PubMed]
- Hiratsuka, R.; Terasaka, O. Dynamics of cell membrane and cell wall development during generative cell engulfment by the pollen tube cell in Liriope muscari. Cytologia 2021, 86, 225–233. [Google Scholar] [CrossRef]
- Ji, L.L.; Sun, W.M.; Chen, S.C.; Wang, F.; Fu, X.Y.; Cui, C.; Wu, Z.H.; Zhang, J.P. Effects of ratio fertilization on chlorophyll fluorescence characteristics and photosynthetic physiology of young Carya cathayensis leaves. Chin. Agric. Sci. Bull. 2025, 41, 26–31. [Google Scholar] [CrossRef]
- Yuan, Y.H. Optimization of extraction process of ophiopogonin C from Ophiopogon japonicus and analysis of factor effects. For. Sci. Technol. 2020, 7, 37–41. [Google Scholar] [CrossRef]
- Wager, H.G. An improved copper reduction method for the micro-determination of reducing sugars. Analyst 1954, 79, 34–38. [Google Scholar] [CrossRef]
- Wang, X.K.; Huang, J.L. Principles and Techniques of Plant Physiology and Biochemistry, 3rd ed.; Higher Education Press: Beijing, China, 2015; pp. 171, 272–273. [Google Scholar]
- R Core Team. R: A Language and Environment for Statistical Computing; R Foundation for Statistical Computing: Vienna, Austria, 2023. [Google Scholar]
- de Mendiburu, F. agricolae: Statistical Procedures for Agricultural Research. R Package Version 1.3.6. 2021. Available online: https://CRAN.R-project.org/package=agricolae (accessed on 18 August 2025).
- Wickham, H. ggplot2: Elegant Graphics for Data Analysis; Springer: New York, NY, USA, 2016. [Google Scholar]
- Wickham, H.; François, R.; Henry, L.; Müller, K. dplyr: A Grammar of Data Manipulation. R Package Version 1.1.3. 2023. Available online: https://CRAN.R-project.org/package=dplyr (accessed on 18 August 2025).
- Hyatt, M. linkET: Everything is Linkable. R Package Version 0.0.7. 2022. Available online: https://github.com/Hy4m/linkET (accessed on 18 August 2025).
- Wickham, H.; Hester, J.; François, R. readr: Read Rectangular Text Data. R Package Version 2.1.4. 2023. Available online: https://CRAN.R-project.org/package=readr (accessed on 18 August 2025).
- Wei, T.; Simko, V. corrplot: Visualization of a Correlation Matrix. R Package Version 0.92. 2021. Available online: https://github.com/taiyun/corrplot (accessed on 18 August 2025).
- Harrell, F.E., Jr. Hmisc: Harrell Miscellaneous. R Package Version 5.1.0. 2023. Available online: https://CRAN.R-project.org/package=Hmisc (accessed on 18 August 2025).
- Wickham, H.; Averick, M.; Bryan, J.; Chang, W.; McGowan, L.D.; François, R.; Grolemund, G.; Hayes, A.; Henry, L.; Hester, J. Welcome to the tidyverse. J. Open Source Softw. 2019, 4, 1686. [Google Scholar] [CrossRef]
- Rosseel, Y. lavaan: An R Package for Structural Equation Modeling. J. Stat. Softw. 2012, 48, 1–36. [Google Scholar] [CrossRef]
- Jorgensen, T.D.; Pornprasertmanit, S.; Schoemann, A.M.; Rosseel, Y. semTools: Useful Tools for Structural Equation Modeling. R package version 0.5—6. 2022. Available online: https://CRAN.R-project.org/package=semTools (accessed on 18 August 2025).
- Li, J.J.; Xu, L.Q.; Zhao, Y.; Rui, X.L.; Shi, J.T.; Liu, D.L. Research progress on the participation of nitrogen metabolism in plant low-nitrogen stress. Chin. Agric. Sci. Bull. 2022, 38, 119–124. [Google Scholar] [CrossRef]
- Maseko, I.; Mabhaudhi, T.; Beletse, Y.G.; Nogemane, N.; Modi, A.T. Growth and yield responses of Amaranthus cruentus, Corchorus olitorius, and Vigna unguiculata to nitrogen application under drip irrigated commercial production. Acta Hortic. 2019, 1253, 303–310. [Google Scholar] [CrossRef]
- Atnafu, D. Overview of different rates of nitrogen application on growth and yield components of head Cabbage (Brassica oleracea capitata L.) in Ethiopia. Am. J. Life Sci. 2020, 8, 196–200. [Google Scholar] [CrossRef]
- Zhang, J.J.; Xu, S.S.; Cao, G.Q.; Lin, S.Z.; Pan, Y.M.; Ye, Y.Q. Effects of different nitrogen forms on chlorophyll fluorescence parameters and chloroplast ultrastructure of Cunninghamia lanceolata. J. Northwest For. Univ. 2025, 35, 24–31. [Google Scholar] [CrossRef]
- Cohen, I.; Halpern, M.; Yermiyahu, U.; Bar-Tal, U.; Gendler, T.; Rachmilevitch, S. CO2 and nitrogen interaction alters root anatomy, morphology, nitrogen partitioning, and photosynthetic acclimation of tomato plants. Planta 2019, 250, 1423–1432. [Google Scholar] [CrossRef]
- Xiao, C.B.; Fang, Y.; Wang, S.M.; He, K.; Chu, C.C. The alleviation of ammonium toxicity in plants. J. Integr. Plant Biol. 2023, 65, 1023–1045. [Google Scholar] [CrossRef]
- Croft, H.; Chen, J.M.; Luo, X.; Bartlett, P.; Chen, B.; Staebler, R.M. Leaf chlorophyll content as a proxy for leaf photosynthetic capacity. Glob. Change Biol. 2017, 23, 3513–3524. [Google Scholar] [CrossRef]
- Li, H.B.; Li, Q.Y.; Chen, W.F.; Meng, L. Effects of different nitrogen application rates on stomatal density and related physiological traits of rice leaves. J. Shenyang Agric. Univ. 2003, 5, 340–343. [Google Scholar] [CrossRef]
- Hao, L.; Hao, W.; Liu, T.; Zhang, M.; Xu, J.; Siqinbilige. Responses of root morphology and nutrient content of Pinus sylvestris var. mongolica seedlings to nitrogen addition and inoculation treatments. Beijing For. Univ. 2021, 43, 1–7. [Google Scholar] [CrossRef]
- Qiu, C.C.; Hu, Y.T.; Yan, H.; Li, H.J.; Yu, H.N.; Zhao, T.T.; Zhou, X.G. Effects of nitrogen application rate on chlorophyll content and photosynthetic characteristics of Leymus chinensis. Hubei Agric. Sci. 2024, 63, 141–146. [Google Scholar] [CrossRef]
- Ren, B.B. Mechanism research on the influence of nitrogen nutrition on water absorption and photosynthetic characteristics of rice. Ph.D. Thesis, Nanjing University, Jiangsu, China, 2015. [Google Scholar] [CrossRef]
- Ye, T.Y.; Zhang, Y.; Xuan, J.Y.; Wang, X.T.; Li, Y.; Xu, J.H.; Xiao, L.J.; Liu, L.L.; Tang, L.; Zhu, Y.; et al. Development of a novel critical nitrogen concentration-cumulative transpiration curve for optimizing nitrogen management under varying irrigation conditions in winter wheat. Crop. J. 2024, 12, 1242–1251. [Google Scholar] [CrossRef]
- Salpagarova, F.S.; Van Logtestijn, R.S.P.; Onipchenko, V.G.; Akhmetzhanova, A.A.; Agafonov, V.A. Nitrogen content in fine roots and the structural and functional adaptations of alpine plants. Biol. Bull. Rev. 2014, 4, 243–251. [Google Scholar] [CrossRef]
- Li, B.Q.; Liu, C.M.; Mao, J.W. Effects of different nitrogen application rates on soybean yield and economic benefits. Soybean Sci. Technol. 2024, 2, 25–28. [Google Scholar] [CrossRef]
- Su, M.; Liu, Q.J.; Hong, Z.Q.; Li, F.G.; Zhang, Z.Z.; Zhou, T.; Ma, J.L.; Wu, H.L.; Kang, J.H. Effects of different nitrogen application rates on photosynthetic characteristics and yield formation of potato in the semi-arid area of Northwest China. J. Plant Nutr. Fertil. 2024, 30, 1919–1933. [Google Scholar] [CrossRef]
- Shan, X.H.; Zhang, Y.L.; Wang, X.G.; Sun, H.R.; Liu, L.Z. Effects of different nitrogen application rates on dry matter accumulation and nitrogen uptake of alfalfa. Grassl. Pratacult. 2023, 35, 36–44. [Google Scholar] [CrossRef]
- Han, T.F.; Ma, C.B.; Huang, J.; Liu, K.L.; Xue, Y.D.; Li, D.C.; Liu, L.S.; Zhang, L.; Liu, S.J.; Zhang, H.M. Response characteristics of rice yield to fertilization in China based on meta-analysis. Sci. Agric. Sin. 2019, 52, 1918–1929. [Google Scholar] [CrossRef]
- Leister, D. Enhancing the light reactions of photosynthesis: Strategies, controversies, and perspectives. Mol. Plant 2023, 16, 4–22. [Google Scholar] [CrossRef]
- Pallardy, S.G. Physiology of Woody Plants, 3rd ed.; Academic Press: San Diego, CA, USA, 2008; pp. 325–366. [Google Scholar]
- Berg, I.A. Autotrophic CO2 fixation pathways in biology. Appl. Environ. Microbiol. 2011, 77, 1925–1936. [Google Scholar] [CrossRef]
- Zhao, X.J.; Zhang, Q.; Chen, N.Y.; Wang, Y.X.; Yao, T.Y. Effects of light intensity on photosynthetic characteristics and chlorophyll content of Catharanthus roseus leaves. Bot. Res. 2024, 13, 496–503. [Google Scholar] [CrossRef]






| Treatment | NU | ANUE | NUE | FNUE | PNUE | NUI |
|---|---|---|---|---|---|---|
| g/Plant | g g−1 | % | % | % | % | |
| N0 | 0.26 ± 0.04 e | — | — | — | — | — |
| N1 | 0.38 ± 0.03 d | 23.23 ± 0.06 a | 14.05 ± 1.41 c | 6.75 ± 0.09 b | 11.49 ± 1.01 c | 48.04 ± 1.18 a |
| N2 | 0.57 ± 0.12 b | 14.74 ± 0.03 b | 17.01 ± 1.50 b | 6.50 ± 0.14 b | 12.96 ± 0.91 b | 38.24 ± 1.11 b |
| N3 | 0.78 ± 0.16 a | 12.56 ± 0.12 bc | 18.83 ± 0.85 a | 7.07 ± 0.15 a | 13.12 ± 0.51 a | 37.5 ± 1.68 b |
| N4 | 0.58 ± 0.21 c | 4.94 ± 0.04 d | 8.90 ± 0.92 d | 0.82 ± 0.03 d | 8.92 ± 0.81 d | 9.17 ± 1.85 c |
| N5 | 0.57 ± 0.12 c | 3.84 ± 0.08 e | 6.71 ± 0.42 e | 0.54 ± 0.01 d | 6.81 ± 0.21 e | 8.10 ± 1.50 d |
Disclaimer/Publisher’s Note: The statements, opinions and data contained in all publications are solely those of the individual author(s) and contributor(s) and not of MDPI and/or the editor(s). MDPI and/or the editor(s) disclaim responsibility for any injury to people or property resulting from any ideas, methods, instructions or products referred to in the content. |
© 2025 by the authors. Licensee MDPI, Basel, Switzerland. This article is an open access article distributed under the terms and conditions of the Creative Commons Attribution (CC BY) license (https://creativecommons.org/licenses/by/4.0/).
Share and Cite
Yuan, Y.; Xiao, J.; Liu, S.; He, T.; Rong, J.; Zheng, Y. Effect of Nitrogen Application Rate on Growth Physiology, Yield Quality, and Nitrogen Fertilizer Utilization Rate of Liriope muscari in Pots. Biology 2025, 14, 1104. https://doi.org/10.3390/biology14081104
Yuan Y, Xiao J, Liu S, He T, Rong J, Zheng Y. Effect of Nitrogen Application Rate on Growth Physiology, Yield Quality, and Nitrogen Fertilizer Utilization Rate of Liriope muscari in Pots. Biology. 2025; 14(8):1104. https://doi.org/10.3390/biology14081104
Chicago/Turabian StyleYuan, Yuhong, Jihong Xiao, Shaoyan Liu, Tianyou He, Jundong Rong, and Yushan Zheng. 2025. "Effect of Nitrogen Application Rate on Growth Physiology, Yield Quality, and Nitrogen Fertilizer Utilization Rate of Liriope muscari in Pots" Biology 14, no. 8: 1104. https://doi.org/10.3390/biology14081104
APA StyleYuan, Y., Xiao, J., Liu, S., He, T., Rong, J., & Zheng, Y. (2025). Effect of Nitrogen Application Rate on Growth Physiology, Yield Quality, and Nitrogen Fertilizer Utilization Rate of Liriope muscari in Pots. Biology, 14(8), 1104. https://doi.org/10.3390/biology14081104

