Effect of Precipitation Change on Desert Steppe Aboveground Productivity
Simple Summary
Abstract
1. Introduction
2. Materials and Methods
2.1. Overview of the Research Site
2.2. Experimental Design
2.2.1. Investigation of Plant Communities and Determination of Functional Traits
2.2.2. Determination of Soil Moisture and Inorganic Nitrogen
2.3. Statistical Analysis of Data
3. Result
3.1. Effects of Alterations in Precipitation on Aboveground Net Primary Productivity
3.2. The Responses of Soil Water and Soil Inorganic Nitrogen to Precipitation Changes
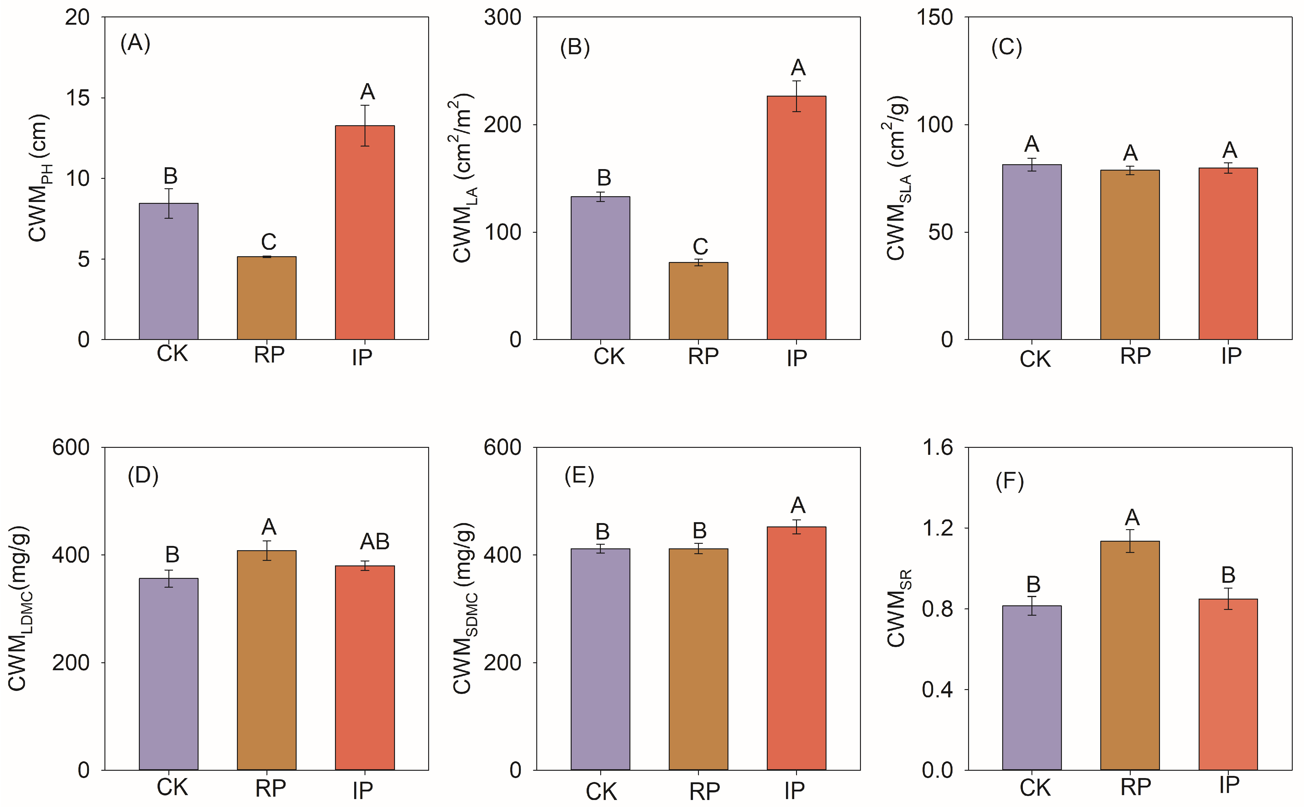
3.3. The Impact of Precipitation Changes on Biodiversity
3.4. The Associations Among Plant Biodiversity, Soil Properties, and Aboveground Net Primary Productivity
3.5. The Explanatory Ability of Biodiversity and Soil Properties with Respect to Aboveground Net Primary Productivity
4. Discussion
4.1. Effects of Precipitation Changes on Aboveground Productivity
4.2. Effects of Precipitation Changes on Biodiversity
4.3. Mechanisms of Productivity Impacts by Precipitation Changes
5. Conclusions
Supplementary Materials
Author Contributions
Funding
Institutional Review Board Statement
Informed Consent Statement
Data Availability Statement
Conflicts of Interest
References
- Nielsen, U.N.; Ball, B.A. Impacts of altered precipitation regimes on soil communities and biogeochemistry in arid and semi-arid ecosystems. Glob. Change Biol. 2015, 21, 1407–1421. [Google Scholar] [CrossRef] [PubMed]
- Zaitchik, B.F.; Rodell, M.; Biasutti, M.; Seneviratne, S. Wetting and drying trends under climate change. Nat. Water 2023, 1, 502–513. [Google Scholar] [CrossRef]
- Thomey, M.L.; Collins, S.L.; Vargas, R.; Johnson, J.E.; Brown, R.F.; Natvig, D.O.; Friggens, M.T. Effect of precipitation variability on net primary production and soil respiration in a Chihuahuan Desert grassland. Glob. Change Biol. 2011, 17, 1505–1515. [Google Scholar] [CrossRef]
- Zhang, L.; Xie, Z.; Zhao, R.; Zhang, Y. Plant, microbial community and soil property responses to an experimental precipitation gradient in a desert grassland. Appl. Soil Ecol. 2018, 127, 87–95. [Google Scholar] [CrossRef]
- Brown, R.F.; Collins, S.L. Revisiting the bucket model: Long-term effects of rainfall variability and nitrogen enrichment on net primary production in a desert grassland. J. Ecol. 2024, 112, 629–641. [Google Scholar] [CrossRef]
- Hou, H.; Zhang, Y.; Zhou, J.; Guo, Y.; Liu, H.; Li, Y.; Gao, S. Aridity and Soil Properties Drive the Shrub–Herb Interactions Along Drought Gradient in Desert Grassland in Inner Mongolia. Agronomy 2024, 14, 2588. [Google Scholar] [CrossRef]
- Chen, J.; Song, N.; Wang, X.; Meng, C.; Zhang, Y.; Chen, L.; Wang, Q.; Lv, H.; Yu, D. Recipitation and plant community-weighted mean traits determine total transpirable soil water in a desert grassland. Ecol. Indic. 2024, 160, 111873. [Google Scholar] [CrossRef]
- Hu, Y.; Li, X.; Guo, A.; Yue, P.; Guo, X.; Lv, P.; Zhao, S.; Zuo, X. Species diversity is a strong predictor of ecosystem multifunctionality under altered precipitation in desert steppes. Ecol. Indic. 2022, 137, 108762. [Google Scholar] [CrossRef]
- Zuo, Q.; Guo, J.; Ma, J.; Cui, G.; Yang, R.; Yu, L. Assessment of regional-scale water resources carrying capacity based on fuzzy multiple attribute decision-making and scenario simulation. Ecol. Indic. 2021, 130, 108034. [Google Scholar] [CrossRef]
- Cui, Y.; Hou, D.; Wang, Z.; Wang, J.; Qu, Z.; Wang, Y.; Han, G.; Li, Z.; Ren, H.; Wang, H. Increase in precipitation will facilitate the ecological stability of desert steppe in the future. Glob. Ecol. Conserv. 2024, 52, e02958. [Google Scholar] [CrossRef]
- Liu, J.; Ma, X.; Duan, Z.; Jiang, J.; Reichstein, M.; Jung, M. Impact of temporal precipitation variability on ecosystem productivity. WIREs Water 2020, 7, e1481. [Google Scholar] [CrossRef]
- Korell, L.; Auge, H.; Chase, J.M.; Harpole, W.S.; Knight, T.M. Responses of plant diversity to precipitation change are strongest at local spatial scales and in drylands. Nat. Commun. 2021, 12, 2489. [Google Scholar] [CrossRef]
- Palagi, E.; Coronese, M.; Lamperti, F.; Roventini, A. Climate change and the nonlinear impact of precipitation anomalies on income inequality. Proc. Natl. Acad. Sci. USA 2022, 119, e2203595119. [Google Scholar] [CrossRef]
- Luo, Y.; Du, L.; Zhang, J.; Ren, H.; Shen, Y.; Zhang, J.; Li, N.; Tian, R.; Wang, S.; Liu, H. Nitrogen addition alleviates the adverse effects of drought on plant productivity in a temperate steppe. Ecol. Appl. 2024, 34, e2969. [Google Scholar] [CrossRef]
- Smith, M.D.; Wilkins, K.D.; Holdrege, M.C.; Wilfahrt, P.; Collins, S.L.; Knapp, A.K.; Sala, O.E.; Dukes, J.S.; Phillips, R.P.; Yahdjian, L. Extreme drought impacts have been underestimated in grasslands and shrublands globally. Proc. Natl. Acad. Sci. USA 2024, 121, e2309881120. [Google Scholar] [CrossRef]
- Peng, Y.; Xu, H.; Wang, Z.; Shi, J.; Lv, J.; Wang, X. Responses of the content and spectral characteristics of dissolved organic matter in intercropping soil to drought in northeast China. Plant Soil 2025, 506, 471–485. [Google Scholar] [CrossRef]
- Wu, R.; Wang, Y.; Huo, X.; Chen, W.; Wang, D. Drought and vegetation restoration patterns shape soil enzyme activity and nutrient limitation dynamics in the loess plateau. J. Environ. Manag. 2025, 374, 123846. [Google Scholar] [CrossRef]
- Gilgen, A.K.; Buchmann, N. Response of temperate grasslands at different altitudes to simulated summer drought differed but scaled with annual precipitation. Biogeosciences 2009, 6, 2525–2539. [Google Scholar] [CrossRef]
- Bloor, J.M.; Pichon, P.; Falcimagne, R.; Leadley, P.; Soussana, J.F. Effects of warming, summer drought, and CO2 enrichment on aboveground biomass production, flowering phenology, and community structure in an upland grassland ecosystem. Ecosystems 2010, 13, 888–900. [Google Scholar] [CrossRef]
- Zhang, H.; Song, K.; Hu, H.; Ma, S.; Ma, F. Variability in precipitation influences the water sourcing and adaptive strategies of key plant species within the desert steppe ecosystem. Ecol. Indic. 2024, 158, 111333. [Google Scholar] [CrossRef]
- Song, Z.; Zuo, X.; Hu, Y.; Wang, H.; Zhang, X.; Wang, Z.; Qiao, J.; Liu, L.; Medina-Roldán, E. Plant functional traits predict soil multifunctionality under increased precipitation and nitrogen addition in a desert steppe. Catena 2024, 247, 108486. [Google Scholar] [CrossRef]
- DeMalach, N.; Zaady, E.; Kadmon, R. Contrasting effects of water and nutrient additions on grassland communities: A global meta-analysis. Glob. Ecol. Biogeogr. 2017, 26, 983–992. [Google Scholar] [CrossRef]
- Guo, X.; Zuo, X.; Yue, P.; Li, X.; Hu, Y.; Chen, M.; Yu, Q. Direct and indirect effects of precipitation change and nutrients addition on desert steppe productivity in Inner Mongolia, northern China. Plant Soil 2022, 471, 527–540. [Google Scholar] [CrossRef]
- Noulèkoun, F.; Mensah, S.; Kim, H.; Houndonougbo, J.S.H.; Mensah, M.; Lee, W.K.; Son, Y.; Khamzina, A. Contrasting ecological mechanisms mediate the impact of land conversion on ecosystem multifunctionality. Funct. Ecol. 2025, 39, 783–798. [Google Scholar] [CrossRef]
- Benedetti, F.; Wydler, J.; Clerc, C.; Knecht, N.; Vogt, M. Emergent Relationships Between the Functional Diversity of Marine Planktonic Copepods and Ecosystem Functioning in the Global Ocean. Glob. Change Biol. 2025, 31, e70094. [Google Scholar] [CrossRef]
- Eisenhauer, N. Aboveground–belowground interactions as a source of complementarity effects in biodiversity experiments. Plant Soil 2012, 351, 1–22. [Google Scholar] [CrossRef]
- Mittelbach, G.G.; Steiner, C.F.; Scheiner, S.M.; Gross, K.L.; Reynolds, H.L.; Waide, R.B.; Willig, M.R.; Dodson, S.I.; Gough, L. What is the observed relationship between species richness and productivity? Ecology 2001, 82, 2381–2396. [Google Scholar] [CrossRef]
- Gillman, L.N.; Wright, S.D.; Cusens, J.; McBride, P.D.; Malhi, Y.; Whittaker, R.J. Latitude, productivity and species richness. Glob. Ecol. Biogeogr. 2015, 24, 107–117. [Google Scholar] [CrossRef]
- Cheng, J.; Zhang, C.; Yan, X.; Feng, Y.; Wang, J.; Wei, S.; Jin, L.; Zhang, J.; Chen, J.; Zhang, J.; et al. The photosynthetic traits of dominant species drive the multifunctionality of Liaodong oak (Quercus wutaishanica) communities in northern China. Glob. Ecol. Conserv. 2024, 56, e03323. [Google Scholar] [CrossRef]
- Mensah, S.; Dimobe, K.; Noulèkoun, F.; van der Plas, F.; Seifert, T. Phylogenetic diversity and community wide-trait means offer different insights into mechanisms regulating aboveground carbon storage. Sci. Total Environ. 2024, 907, 167905. [Google Scholar] [CrossRef] [PubMed]
- Mahaut, L.; Choler, P.; Denelle, P.; Garnier, E.; Thuiller, W.; Kattge, J.; Lemauviel-Lavenant, S.; Lavorel, S.; Munoz, F.; Renard, D. Trade-offs and synergies between ecosystem productivity and stability in temperate grasslands. Glob. Ecol. Biogeogr. 2023, 32, 561–572. [Google Scholar] [CrossRef]
- Zuo, X.; Li, X.; Yue, P.; Guo, A.; Yue, X.; Xu, C.; Knapp, A.K.; Smith, M.D.; Luo, W.; Allington, G.R. Drought-driven shifts in relationships between plant biodiversity and productivity in temperate steppes. Funct. Ecol. 2022, 36, 2917–2928. [Google Scholar] [CrossRef]
- Zhang, R.; Wang, Z.; Han, G.; Schellenberg, M.P.; Wu, Q.; Gu, C.J.A. Grazing induced changes in plant diversity is a critical factor controlling grassland productivity in the Desert Steppe, Northern China. Agric. Ecosyst. Environ. 2018, 265, 73–83. [Google Scholar] [CrossRef]
- Wen, C.; Shan, Y.; Xing, T.; Liu, L.; Yin, G.; Ye, R.; Liu, X.; Chang, H.; Yi, F.; Liu, S.J.G.E. Effects of nitrogen and water addition on ecosystem carbon fluxes in a heavily degraded desert steppe. Glob. Ecol. Conserv. 2024, 52, e02981. [Google Scholar] [CrossRef]
- Cui, Y.; Bai, L.; Hou, D.; Wang, Z.-W.; Wang, J.; Qu, Z.; Wang, Y.; Han, G.; Li, Z.; Ren, H.-Y. Increased precipitation weakens the role of Stipa breviflora as the keystone species in a desert steppe. J. Plant Ecol. 2025, 18, rtae112. [Google Scholar] [CrossRef]
- Allan, R.P.; Arias, P.A.; Berger, S.; Canadell, J.G.; Cassou, C.; Chen, D.; Cherchi, A.; Connors, S.L.; Coppola, E.; Cruz, F.A. Contribution of working group I to the sixth assessment report of the intergovernmental panel on climate change. In Climate Change 2021: The Physical Science Basis; Cambridge University Press: Cambridge, UK, 2023; pp. 3–32. [Google Scholar]
- Lavorel, S.; Grigulis, K.; McIntyre, S.; Williams, N.S.; Garden, D.; Dorrough, J.; Berman, S.; Quétier, F.; Thébault, A.; Bonis, A. Assessing functional diversity in the field–methodology matters! Funct. Ecol. 2008, 22, 134–147. [Google Scholar] [CrossRef]
- Grime, J. Benefits of plant diversity to ecosystems: Immediate. filter and founder effects. J. Ecol. 1998, 86, 902–910. [Google Scholar] [CrossRef]
- Laliberté, E.; Legendre, P. A distance-based framework for measuring functional diversity from multiple traits. Ecology 2010, 91, 299–305. [Google Scholar] [CrossRef] [PubMed]
- Zanne, A.E.; Tank, D.C.; Cornwell, W.K.; Eastman, J.M.; Smith, S.A.; FitzJohn, R.G.; McGlinn, D.J.; O’Meara, B.C.; Moles, A.T.; Reich, P.B. Three keys to the radiation of angiosperms into freezing environments. Nature 2014, 506, 89–92. [Google Scholar] [CrossRef]
- Faith, D.P. Conservation evaluation and phylogenetic diversity. Biol. Conserv. 1992, 61, 1–10. [Google Scholar] [CrossRef]
- Lei, T.; Feng, J.; Lv, J.; Wang, J.; Song, H.; Song, W.; Gao, X. Net primary productivity loss under different drought levels in different grassland ecosystems. J. Environ. Manag. 2020, 274, 111144. [Google Scholar] [CrossRef]
- Yu, Q.; Xu, C.; Wu, H.; Ke, Y.; Zuo, X.; Luo, W.; Ren, H.; Gu, Q.; Wang, H.; Ma, W.; et al. Contrasting drought sensitivity of Eurasian and North American grasslands. Nature 2025, 639, 114–118. [Google Scholar] [CrossRef]
- Han, C.; Sun, Z.; Li, H. Soil heterotrophic respiration repressed by drought stress more than soil autotrophic respiration in Stipa breviflora desert steppe, China. Sci. Rep. 2025, 15, 18235. [Google Scholar] [CrossRef] [PubMed]
- Gessler, A.; Schaub, M.; McDowell, N.G. The role of nutrients in drought-induced tree mortality and recovery. New Phytol. 2017, 214, 513–520. [Google Scholar] [CrossRef] [PubMed]
- Trugman, A.; Detto, M.; Bartlett, M.; Medvigy, D.; Anderegg, W.; Schwalm, C.; Schaffer, B.; Pacala, S.W. Tree carbon allocation explains forest drought-kill and recovery patterns. Ecol. Lett. 2018, 21, 1552–1560. [Google Scholar] [CrossRef] [PubMed]
- Liu, M.; Xiao, Y.; Shi, J.; Zhang, X. Precipitation alters the relationship between biodiversity and multifunctionality of grassland ecosystems. J. Environ. Manag. 2025, 377, 124707. [Google Scholar] [CrossRef]
- Reynaert, S.; De Boeck, H.J.; Verbruggen, E.; Verlinden, M.; Flowers, N.; Nijs, I. Risk of short-term biodiversity loss under more persistent precipitation regimes. Glob. Change Biol. 2021, 27, 1614–1626. [Google Scholar] [CrossRef]
- Tilman, D.; El Haddi, A. Drought and biodiversity in grasslands. Oecologia 1992, 89, 257–264. [Google Scholar] [CrossRef]
- Kreyling, J.; Dengler, J.; Walter, J.; Velev, N.; Ugurlu, E.; Sopotlieva, D.; Ransijn, J.; Picon-Cochard, C.; Nijs, I.; Hernandez, P.; et al. Species richness effects on grassland recovery from drought depend on community productivity in a multisite experiment. Ecol. Lett. 2017, 20, 1405–1413. [Google Scholar] [CrossRef]
- López-Rubio, R.; Pescador, D.S.; Escudero, A.; Sánchez, A.M. Rainy years counteract negative effects of drought on taxonomic. functional and phylogenetic diversity: Resilience in annual plant communities. J. Ecol. 2022, 110, 2308–2320. [Google Scholar] [CrossRef]
- Zhang, Y.; Chen, H.Y.; Reich, P.B. Forest productivity increases with evenness. species richness and trait variation: A global meta-analysis. J. Ecol. 2012, 100, 742–749. [Google Scholar] [CrossRef]
- Cusens, J.; Wright, S.D.; McBride, P.D.; Gillman, L.N. What is the form of the productivity–animal-species-richness relationship? A critical review and meta-analysis. Ecology 2012, 93, 2241–2252. [Google Scholar] [CrossRef]
- Xu, Z.; Li, M.H.; Zimmermann, N.E.; Li, S.P.; Li, H.; Ren, H.; Sun, H.; Han, X.; Jiang, Y.; Jiang, L. Plant functional diversity modulates global environmental change effects on grassland productivity. J. Ecol. 2018, 106, 1941–1951. [Google Scholar] [CrossRef]
- Jia, B.; Wang, X. The dominant role of phylogenetic diversity in Diversity-Productivity Relationship: Evidence from natural mixed forests in Northeast China. Ecol. Indic. 2024, 166, 112450. [Google Scholar] [CrossRef]
- Perez-Harguindeguy, N.; Diaz, S.; Garnier, E.; Lavorel, S.; Poorter, H.; Jaureguiberry, P.; Bret-Harte, M.; Cornwell, W.; Craine, J.; Gurvich, D. New handbook for standardised measurement of plant functional traits worldwide. Aust. J. Bot. 2013, 61, 167–234. [Google Scholar] [CrossRef]
- Tilman, D.; Isbell, F.; Cowles, J.M. Biodiversity and ecosystem functioning. Annu. Rev. Ecol. Evol. Syst. 2014, 45, 471–493. [Google Scholar] [CrossRef]
- Loreau, M.; Naeem, S.; Inchausti, P.; Bengtsson, J.; Grime, J.P.; Hector, A.; Raffaelli, D.; Schmid, B.; Tilman, D.; Wardle, D.A. Biodiversity and ecosystem functioning: Current knowledge and future challenges. Science 2001, 294, 804–808. [Google Scholar] [CrossRef] [PubMed]
- Reiss, J.; Bridle, J.R.; Montoya, J.M.; Woodward, G. Emerging horizons in biodiversity and ecosystem functioning research. Trends Ecol. Evol. 2009, 24, 505–514. [Google Scholar] [CrossRef]








| Year | CK | RP | IP |
|---|---|---|---|
| 2021 | 227.9 mm | 113.95 mm | 341.85 mm |
| 2022 | 313.2 mm | 156.6 mm | 469.8 mm |
| 2023 | 264.1 mm | 132.05 mm | 396.15 mm |
| 2024 | 332.4 mm | 166.2 mm | 498.6 mm |
Disclaimer/Publisher’s Note: The statements, opinions and data contained in all publications are solely those of the individual author(s) and contributor(s) and not of MDPI and/or the editor(s). MDPI and/or the editor(s) disclaim responsibility for any injury to people or property resulting from any ideas, methods, instructions or products referred to in the content. |
© 2025 by the authors. Licensee MDPI, Basel, Switzerland. This article is an open access article distributed under the terms and conditions of the Creative Commons Attribution (CC BY) license (https://creativecommons.org/licenses/by/4.0/).
Share and Cite
Luo, Y.; Cheng, J.; Cao, Z.; Zhang, H.; Danba, P.; Wang, J.; Wang, Y.; Zhang, R.; Zhang, C.; Feng, Y.; et al. Effect of Precipitation Change on Desert Steppe Aboveground Productivity. Biology 2025, 14, 1010. https://doi.org/10.3390/biology14081010
Luo Y, Cheng J, Cao Z, Zhang H, Danba P, Wang J, Wang Y, Zhang R, Zhang C, Feng Y, et al. Effect of Precipitation Change on Desert Steppe Aboveground Productivity. Biology. 2025; 14(8):1010. https://doi.org/10.3390/biology14081010
Chicago/Turabian StyleLuo, Yonghong, Jiming Cheng, Ziyu Cao, Haixiang Zhang, Pengcuo Danba, Jiazhi Wang, Ying Wang, Rong Zhang, Chao Zhang, Yingqun Feng, and et al. 2025. "Effect of Precipitation Change on Desert Steppe Aboveground Productivity" Biology 14, no. 8: 1010. https://doi.org/10.3390/biology14081010
APA StyleLuo, Y., Cheng, J., Cao, Z., Zhang, H., Danba, P., Wang, J., Wang, Y., Zhang, R., Zhang, C., Feng, Y., & Wei, S. (2025). Effect of Precipitation Change on Desert Steppe Aboveground Productivity. Biology, 14(8), 1010. https://doi.org/10.3390/biology14081010

