Comparison of Post-Thaw Motility and In Vitro Fertility Between Ejaculated and Epididymal Semen, and Seminal cfDNA Characterization in Pantaneiro Bulls
Simple Summary
Abstract
1. Introduction
2. Materials and Methods
2.1. Animals Selected for the Study
2.2. Experimental Design
2.2.1. Collection of Ejaculated Semen and Acquisition of Seminal Plasma
2.2.2. Collection of Epididymal Spermatozoa
2.2.3. Fresh Seminal Analysis
2.2.4. Semen Freezing and Thawing
2.2.5. Evaluation of Post-Thaw Semen Motility
2.2.6. Isolation and Quantification of cfDNA
2.2.7. In Vitro Embryo Production (IVP)
2.2.8. Statistical Analysis
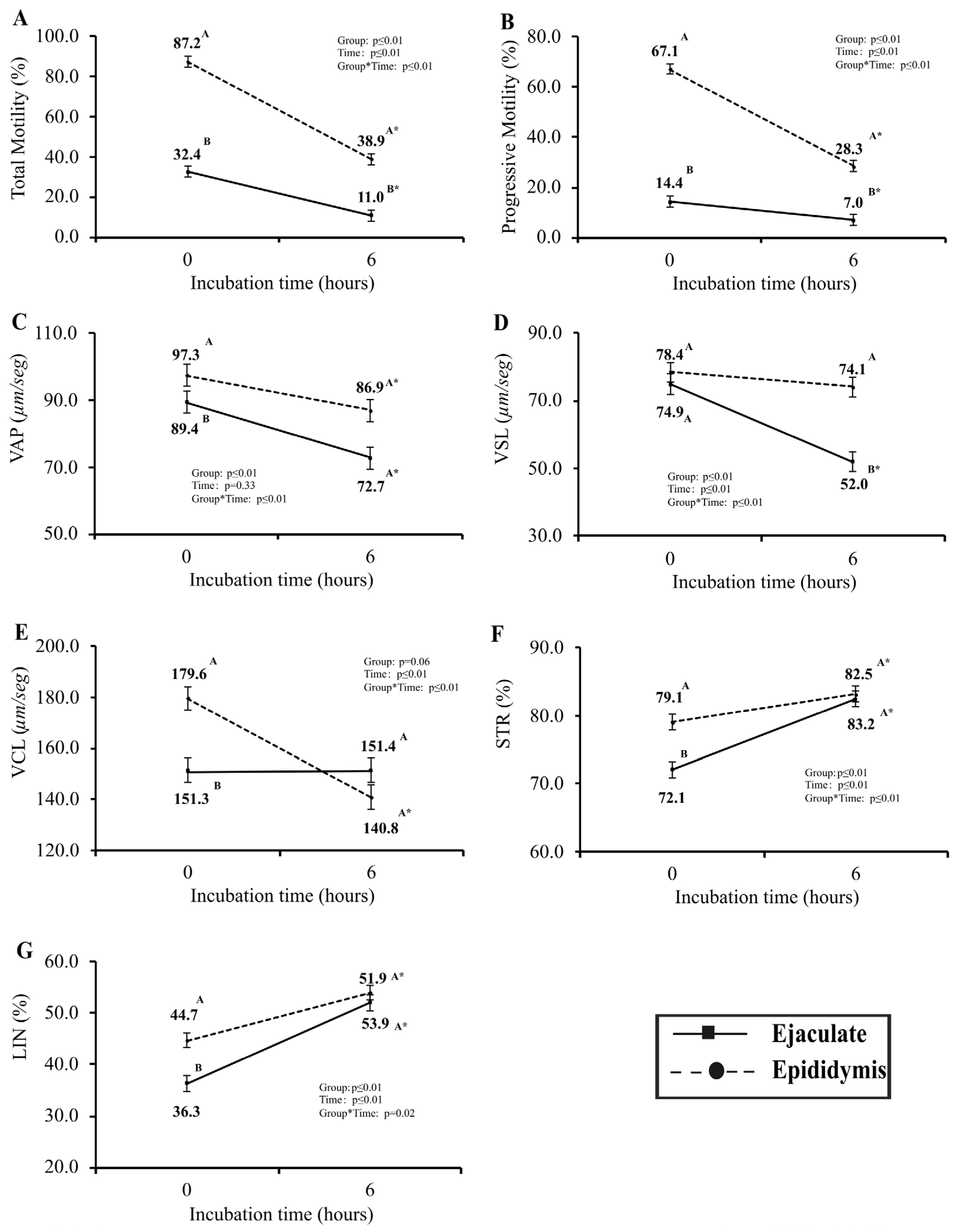
3. Results
4. Discussion
5. Conclusions
Supplementary Materials
Author Contributions
Funding
Institutional Review Board Statement
Informed Consent Statement
Data Availability Statement
Acknowledgments
Conflicts of Interest
References
- Felix, G.A.; Piovezan, U.; Juliano, R.S. Potencial de uso de raças bovinas locais brasileiras: Curraleiro Pé—Duro e Pantaneiro. Enciclopédia Biosf. 2013, 9, 1715–1741. [Google Scholar]
- de Carvalho Porto Barbosa, M.; Fioravanti, M.C.S.; Peripolli, V.; Do Egito, A.A.; Juliano, R.S.; Ramos, A.F.; Cardoso, D.; Laudares, K.M.; Feijó, G.L.D.; Prado, C.S.; et al. Performance, carcass, and meat traits of locally adapted Brazilian cattle breeds under feedlot conditions. Trop. Anim. Health Prod. 2023, 55, 243. [Google Scholar] [CrossRef] [PubMed]
- Egito, A.A.; Martínez Martínez, A.; Juliano, R.S.; Landi, V.; Moura, M.I.; Silva, M.C.; Delgado, J.V.; Fioravanti, M.C.S. Population study of pantaneiro cattle herds aiming the management and genetic handling of the breed. Actas Iberoam. Conserv. Anim. 2016, 2016, 59–63. [Google Scholar]
- Albuquerque, M.S.M.; Egito, A.A.; Mariante, A.S. Programa brasileiro de conservação de recursos genéticos animais. Arch. Zootec. 2002, 51, 7. [Google Scholar]
- Yánez-Ortiz, I.; Catalán, J.; Rodríguez-Gil, J.E.; Miró, J.; Yeste, M. Advances in sperm cryopreservation in farm animals: Cattle, horse, pig and sheep. Anim. Reprod. Sci. 2022, 246, 106904. [Google Scholar] [CrossRef]
- Fickel, J.; Wagener, A.; Ludwig, A. Semen cryopreservation and the conservation of endangered species. Eur. J. Wildl. Res. 2007, 53, 81–89. [Google Scholar] [CrossRef]
- Veerkamp, R.F.; Beerda, B. Genetics and genomics to improve fertility in high producing dairy cows. Theriogenology 2007, 68, S266–S273. [Google Scholar] [CrossRef]
- Grötter, L.G.; Cattaneo, L.; Marini, P.E.; Kjelland, M.E.; Ferré, L.B. Recent advances in bovine sperm cryopreservation techniques with a focus on sperm post-thaw quality optimization. Reprod. Domest. Anim. 2019, 54, 655–665. [Google Scholar] [CrossRef]
- Holt, W.V. Fundamental aspects of sperm cryobiology: The importance of species and individual differences. Theriogenology 2000, 53, 47–58. [Google Scholar] [CrossRef]
- Dode, M.A.N.; Capobianco, N.; Vargas, L.N.; Mion, B.; Kussano, N.R.; Spricigo, J.F.; Franco, M.M. Seminal cell–free DNA as a potential marker for in vitro fertility of Nellore bulls. J. Assist. Reprod. Genet. 2024, 41, 1357–1370. [Google Scholar] [CrossRef]
- Di Pizio, P.; Celton, N.; Menoud, P.A.; Belloc, S.; Cohen Bacrie, M.; Belhadri-Mansouri, N.; Rives, N.; Cabry, R.; Benkhalifa, M. Seminal cell-free DNA and sperm characteristic’s: An added biomarker for male infertility investigation. Andrologia 2021, 53, e13822. [Google Scholar] [CrossRef] [PubMed]
- dos Santos, F.C.C.; Morrell, J.M.; da Rosa Curcio, B.; Nunes, M.M.; Malschitzky, E. Epididymal stallion sperm quality improves with single layer centrifugation prior to cryopreservation or post-thawing. J. Equine Vet. Sci. 2023, 125, 104614. [Google Scholar] [CrossRef]
- Perez-Patiño, C.; Barranco, I.; Li, J.; Padilla, L.; Martinez, E.A.; Rodriguez-Martinez, H.; Roca, J.; Parrilla, I. Cryopreservation Differentially Alters the Proteome of Epididymal and Ejaculated Pig Spermatozoa. Int. J. Mol. Sci. 2019, 20, 1791. [Google Scholar] [CrossRef] [PubMed]
- Buranaamnuay, K. Cryopreservation and storage of cat epididymal sperm using—75 °C freezer vs liquid nitrogen. Anim. Reprod. Sci. 2018, 191, 56–63. [Google Scholar] [CrossRef]
- Bergstein-Galan, T.G.; Weiss, R.R.; Kozicki, L.E.; Bicudo, S.D. Sperm subpopulations in ejaculated sperm and spermatozoa recovered from ovine epididymides up to 48h after death. Anim. Reprod. Sci. 2017, 187, 20–27. [Google Scholar] [CrossRef]
- Pradiee, J.; Esteso, M.C.; Castaño, C.; Toledano-Díaz, A.; López-Sebastián, A.; Santiago-Moreno, J. Cryopreservation of epididymal sperm from ibexes (Capra pyrenaica) using short equilibration time with glycerol. Theriogenology 2014, 82, 525–528. [Google Scholar] [CrossRef]
- de Castelo, T.S.; da Silva, A.M.; Peixoto, G.C.X.; Souza, A.L.P.; Campos, L.B.; Lima, G.L.; Dantas, M.R.T.; de Souza-Junior, J.B.F.; Silva, A.R. Cryopreservation efficiency of red-rumped agouti (Dasyprocta leporina) sperm obtained from different origins through epididymal retrograde flushing or electroejaculation. Cryobiology 2023, 113, 104787. [Google Scholar] [CrossRef]
- Vilela, C.G.; Marquez, J.M.; Graham, J.K.; Barfield, J.P. Cryopreservation of bison epididymal sperm: A strategy for improving post-thaw quality when collecting sperm in field conditions. Theriogenology 2017, 89, 155–161. [Google Scholar] [CrossRef]
- Losano, J.D.A.; Angrimani, D.S.R.; Rui, B.R.; Bicudo, L.C.; Dalmazzo, A.; Silva, B.C.S.; Viana, C.H.; Mendes, C.M.; Assumpção, M.E.; Barnabe, V.H.; et al. The addition of docosahexaenoic acid (DHA) and antioxidants (glutathione peroxidase and superoxide dismutase) in extenders to epididymal sperm cryopreservation in bulls. Zygote 2018, 26, 199–206. [Google Scholar] [CrossRef]
- WebSIS. Conservação In Situ, Ex Situ E on Farm. Available online: http://antigo.mma.gov.br/component/k2/item/7611-conserva%C3%A7%C3%A3o-in-situ,-ex-situ-e-on-farm.html (accessed on 4 March 2024).
- Braga, J.V.C. Biotecnologias da Reprodução e Suas Aplicações na Conservação de Espécies—Uma Revisão; Universidade Federal do Pampa Campus São Gabriel: Bagé, Brazil, 2016. [Google Scholar]
- Varisli, O.; Uguz, C.; Agca, C.; Agca, Y. Motility and acrosomal integrity comparisons between electro-ejaculated and epididymal ram sperm after exposure to a range of anisosmotic solutions, cryoprotective agents and low temperatures. Anim. Reprod. Sci. 2009, 110, 256–268. [Google Scholar] [CrossRef]
- Cunha, A.T.M.; Carvalho, J.O.; Kussano, N.R.; Martins, C.F.; Mourão, G.B.; Dode, M.A.N. Bovine epididymal spermatozoa: Resistance to cryopreservation and binding ability to oviductal cells. Cryobiology 2016, 73, 348–355. [Google Scholar] [CrossRef] [PubMed]
- Cunha, A.T.; Carvalho, J.O.; Guimarães, A.L.; Leme, L.O.; Caixeta, F.M.; Viana, J.H.; Dode, M.A. Bovine epididymal spermatozoa treatment for in vitro fertilization: Heparin accelerates fertilization and enables a reduction in coincubation time. PLoS ONE 2019, 14, e0209692. [Google Scholar] [CrossRef] [PubMed]
- Ponti, G.; Maccaferri, M.; Micali, S.; Manfredini, M.; Milandri, R.; Bianchi, G.; Pellacani, G.; Kaleci, S.; Chester, J.; Conti, A.; et al. Seminal Cell Free DNA Concentration Levels Discriminate Between Prostate Cancer and Benign Prostatic Hyperplasia. Anticancer Res. 2018, 38, 5121–5125. [Google Scholar] [CrossRef]
- Manual de Exame Andrológico. CBRA. Available online: http://cbra.org.br/br/publicacoes/manual-de-exame-andrologico/ (accessed on 15 March 2024).
- Matos, D.L.; Araújo, A.A.; Roberto, I.G.; Toniolli, R. Análise computarizada de espermatozóides: Revisão de literatura. Rev. Bras. Reprodução Anim. 2008, 32, 225–232. [Google Scholar]
- Alves, M.B.R.; Celeghini, E.C.C.; Belleannée, C. From Sperm Motility to Sperm-Borne microRNA Signatures: New Approaches to Predict Male Fertility Potential. Front. Cell Dev. Biol. 2020, 8, 791. [Google Scholar] [CrossRef]
- Machado, G.M.; Carvalho, J.O.; Filho, E.S.; Caixeta, E.S.; Franco, M.M.; Rumpf, R.; Dode, M. Effect of Percoll volume, duration and force of centrifugation, on in vitro production and sex ratio of bovine embryos. Theriogenology 2009, 71, 1289–1297. [Google Scholar] [CrossRef]
- Parrish, J.J.; Krogenaes, A.; Susko-Parrish, J.L. Effect of bovine sperm separation by either swim-up or Percoll method on success of in vitro fertilization and early embryonic development. Theriogenology 1995, 44, 859–869. [Google Scholar] [CrossRef]
- da Mariante, A.S.; Egito, A.A. Animal genetic resources in Brazil: Result of five centuries of natural selection. Theriogenology 2002, 57, 223–235. [Google Scholar] [CrossRef]
- Serrano, G.M.; Egito, A.A.D.; McManus, C.; Mariante, A.D.S. Genetic diversity and population structure of Brazilian native bovine breeds. Pesqui. Agropecuária Bras. 2004, 39, 543–549. [Google Scholar] [CrossRef]
- Martins, C.F.; Dode, M.N.; Sereno, J.R.B.; de Costa, P.M.; Saueressig, M.G.; Rumpf, R. Comunicado 151 Técnico; EMPRAPA: Planaltina, Brazil, 2008; ISSN 1517-1469. [Google Scholar]
- Córdoba, M.; Pintos, L.; Beconi, M.T. Variations in creatine kinase activity and reactive oxygen species levels are involved in capacitation of bovine spermatozoa. Andrologia 2008, 40, 370–376. [Google Scholar] [CrossRef]
- Bailey, J.L.; Blodeau, J.; Cormier, N. Semen Cryopreservation in Domestic Animals: A Damaging and Capacitating Phenomenon Minireview. J. Androl. 2000, 21, 1–7. [Google Scholar] [CrossRef] [PubMed]
- Patrizio, P. Cryopreservation of epididymal sperm. Mol. Cell. Endocrinol. 2000, 169, 11–14. [Google Scholar] [CrossRef] [PubMed]
- Monteiro, G.A.; Papa, F.O.; Zahn, F.S.; Dellaqua, J.A.; Melo, C.M.; Maziero, R.R.D.; Avanzi, B.; Varenga, M.; Guasti, P. Cryopreservation and fertility of ejaculated and epididymal stallion sperm. Anim. Reprod. Sci. 2011, 127, 197–201. [Google Scholar] [CrossRef] [PubMed]
- Miller, D.J.; Winer, M.A.; Ax, R.L. Heparin-Binding Proteins from Seminal Plasma Bind to Bovine Spermatozoa and Modulate Capacitation by Heparin1. Biol. Reprod. 1990, 42, 899–915. [Google Scholar] [CrossRef]
- Moore, A.I.; Squires, E.L.; Graham, J.K. Effect of seminal plasma on the cryopreservation of equine spermatozoa. Theriogenology 2005, 63, 2372–2381. [Google Scholar] [CrossRef]
- Chaveiro, A.; Cerqueira, C.; Silva, J.; Franco, J.; da Moreira Silva, F. Evaluation of frozen thawed cauda epididymal sperms and in vitro fertilizing potential of bovine sperm collected from the cauda epididymal. Iran. J. Vet. Res. 2015, 16, 188–193. [Google Scholar]
- Stout, M. Comparison of Epididymal and Ejaculated Sperm Collected from the Same Holstein Bulls. Ph.D. Thesis, Louisiana State University and Agricultural and Mechanical College, Baton Rouge, LA, USA, 2012. [Google Scholar] [CrossRef]
- Seyedolmohadessin, S.M.; Akbari, M.T.; Nourmohammadi, Z.; Basiri, A.; Pourmand, G. Assessing the diagnostic value of plasma-free DNA in prostate cancer screening. Iran. Biomed. J. 2018, 22, 331–337. [Google Scholar] [CrossRef]


| Sample Parameter | Ejaculate | Epididymis | p Value * |
|---|---|---|---|
| Bulls N | 5 | 5 | n/a |
| Volume (mL) | 9.4 ± 2.0 | 3.4 ± 0.5 | <0.01 |
| Concentration (sptz × 106) | 480 ± 124.0 | 716 ± 147 | <0.01 |
| Total motility (%) | 83.2 ± 3.6 | 87.0 ± 2.4 | 0.81 |
| Vigor (1–5) | 4.0 ± 0.4 | 4.4 ± 0.5 | 0.90 |
| Plasma membrane integrity (%) | 82.1 ± 6.3 | 83.5 ± 3.6 | 0.79 |
| Minor defects (%) | 15.8 ± 3.8 | 1.8 ± 1.8 | <0.01 |
| Major defects (%) | 7.1 ± 1.6 | 6.1 ± 0.8 | 0.61 |
| Total defects (%) | 22.8 ± 4.2 | 7.8 ± 1.0 | <0.01 |
| Variable | Group | p Value * | |
|---|---|---|---|
| Ejaculate | Epididymis | ||
| Bulls N | 3 | 3 | n/a |
| Replicates N | 8 | 8 | n/a |
| Oocytes N | 525 | 500 | n/a |
| Cleavage D2, % (n) | 49.6 (261) | 44.2 (221) | 0.61 |
| Blastocyst D6, % (n) | 24.4 (128) | 21.8 (109) | 0.71 |
| Blastocyst D7, % (n) | 26.1 (137) | 22.2 (111) | 0.74 |
| Blastocyst D8, % (n) | 26.3 (138) | 22.4 (112) | 0.76 |
Disclaimer/Publisher’s Note: The statements, opinions and data contained in all publications are solely those of the individual author(s) and contributor(s) and not of MDPI and/or the editor(s). MDPI and/or the editor(s) disclaim responsibility for any injury to people or property resulting from any ideas, methods, instructions or products referred to in the content. |
© 2025 by the authors. Licensee MDPI, Basel, Switzerland. This article is an open access article distributed under the terms and conditions of the Creative Commons Attribution (CC BY) license (https://creativecommons.org/licenses/by/4.0/).
Share and Cite
Carneiro, M.C.; Castro, A.C.S.e.; Silva, R.R.; Chaves, J.E.V.; Silva, V.A.O.; Capobianco, N.E.; Queiroz, P.J.B.; Melo, L.d.F.e.; Barbosa, E.A.; Dode, M.A.N.; et al. Comparison of Post-Thaw Motility and In Vitro Fertility Between Ejaculated and Epididymal Semen, and Seminal cfDNA Characterization in Pantaneiro Bulls. Biology 2025, 14, 465. https://doi.org/10.3390/biology14050465
Carneiro MC, Castro ACSe, Silva RR, Chaves JEV, Silva VAO, Capobianco NE, Queiroz PJB, Melo LdFe, Barbosa EA, Dode MAN, et al. Comparison of Post-Thaw Motility and In Vitro Fertility Between Ejaculated and Epididymal Semen, and Seminal cfDNA Characterization in Pantaneiro Bulls. Biology. 2025; 14(5):465. https://doi.org/10.3390/biology14050465
Chicago/Turabian StyleCarneiro, Marcos Coura, Alice Caroline Souza e Castro, Roberta Reis Silva, José Eduardo Vieira Chaves, Venâncio Augusto Oliveira Silva, Natalia Ernandes Capobianco, Paulo José Bastos Queiroz, Leonardo de França e Melo, Eleonora Araújo Barbosa, Margot Alves Nunes Dode, and et al. 2025. "Comparison of Post-Thaw Motility and In Vitro Fertility Between Ejaculated and Epididymal Semen, and Seminal cfDNA Characterization in Pantaneiro Bulls" Biology 14, no. 5: 465. https://doi.org/10.3390/biology14050465
APA StyleCarneiro, M. C., Castro, A. C. S. e., Silva, R. R., Chaves, J. E. V., Silva, V. A. O., Capobianco, N. E., Queiroz, P. J. B., Melo, L. d. F. e., Barbosa, E. A., Dode, M. A. N., & Sprícigo, J. F. W. (2025). Comparison of Post-Thaw Motility and In Vitro Fertility Between Ejaculated and Epididymal Semen, and Seminal cfDNA Characterization in Pantaneiro Bulls. Biology, 14(5), 465. https://doi.org/10.3390/biology14050465

