Impact of Ad Libitum Hydration on Muscle and Liver Damage and Electrolyte Balance in Ultra-Trail Events: A Heatmap Analysis of Biomarkers and Event Characteristics—A Pilot Study
Simple Summary
Abstract
1. Introduction
2. Materials and Methods
2.1. Experimental Design
2.2. Participants
2.3. Anthropometry and BWL
2.4. Urine Analysis
2.5. Blood Samples
2.6. Statistical Analysis
3. Results
3.1. White and Red Blood Cell Lineages
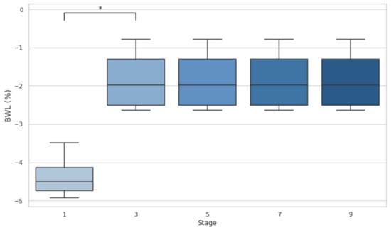
3.2. BWL
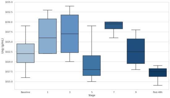
3.3. Usg
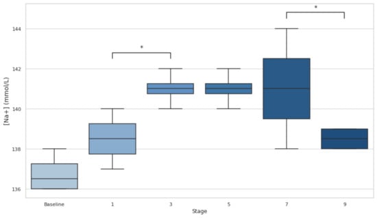
3.4. [Na+]
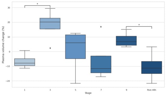
3.5. PV
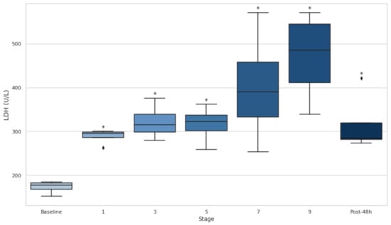
3.6. Serum CK and LDH
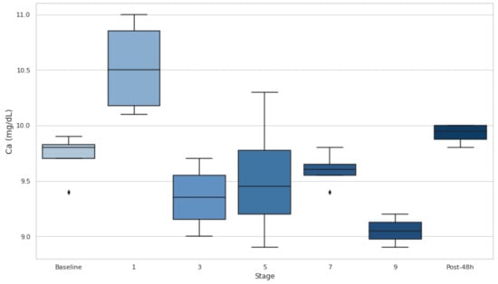
3.7. Serum Ca
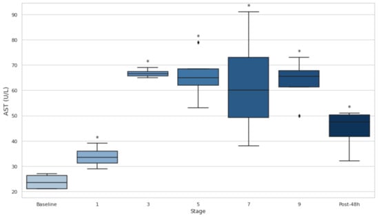
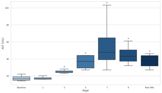
3.8. Serum AST and ALT
3.9. Relationship Between the Biomarkers and Extrinsic Event Characteristics
4. Discussion
4.1. EAH
4.2. Hydration Status
4.3. Elevation Gain/Loss and Muscle and Liver Damage: Key Factors in Ultra-Endurance Events
4.4. Linking Hydration Status and Muscle and Liver Damage: The Interplay Between EAH and ER
5. Conclusions
6. Limitations
Author Contributions
Funding
Institutional Review Board Statement
Informed Consent Statement
Data Availability Statement
Acknowledgments
Conflicts of Interest
References
- Scheer, V.; Basset, P.; Giovanelli, N.; Vernillo, G.; Millet, G.P.; Costa, R.J.S. Defining Off-road Running: A Position Statement from the Ultra Sports Science Foundation. Int. J. Sports Med. 2020, 41, 275–284. [Google Scholar] [CrossRef] [PubMed]
- Spenceley, K.; Humphrey, R.; Lingam, C.; Indroduction, W. Defining Ultra-Endurance: A survey of athletes and coaches to achieve a consensus definition. Scope Health Wellbeing 2017, 1, 171–179. [Google Scholar]
- Junglee, N.A.; Di Felice, U.; Dolci, A.; Fortes, M.B.; Jibani, M.M.; Lemmey, A.B.; Walsh, N.P.; Macdonald, J.H. Exercising in a hot environment with muscle damage: Effects on acute kidney injury biomarkers and kidney function. Am. J. Physiol. Renal. Physiol. 2013, 305, 813–821. [Google Scholar] [CrossRef] [PubMed]
- Bouscaren, N.; Faricier, R.; Millet, G.Y.; Racinais, S. Heat acclimatization, cooling strategies, and hydration during an ultra-trail in warm and humid conditions. Nutrients 2021, 13, 1085. [Google Scholar] [CrossRef]
- Cleary, M.A. Creatine kinase, exertional rhabdomyolysis, and exercise-associated hyponatremia in ultra-endurance athletes: A critically appraised paper. Int. J. Athl. Ther. Train. 2016, 21, 13–15. [Google Scholar] [CrossRef]
- Hew-Butler, T.; Rosner, M.H.; Fowkes-Godek, S.; Dugas, J.P.; Hoffman, M.D.; Lewis, D.P.; Maughan, R.J.; Miller, K.C.; Montain, S.J.; Rehrer, N.J.; et al. Statement of the 3rd international exercise-associated hyponatremia consensus development conference, Carlsbad, California, 2015. Br. J. Sports Med. 2015, 49, 1432–1446. [Google Scholar] [CrossRef]
- Kerksick, C.M.; Wilborn, C.D.; Roberts, M.D.; Smith-Ryan, A.; Kleiner, S.M.; Jäger, R.; Collins, R.; Cooke, M.; Davis, J.N.; Galvan, E.; et al. ISSN exercise & sports nutrition review update: Research & recommendations. J. Int. Soc. Sports Nutr. 2018, 15, 38. [Google Scholar]
- Krabak, B.J.; Lipman, G.S.; Waite, B.L.; Rundell, S.D. Exercise-Associated Hyponatremia, Hypernatremia, and Hydration Status in Multistage Ultramarathons. Wilderness Environ. Med. 2017, 28, 291–298. [Google Scholar] [CrossRef]
- Rosner, M.H.; Kirven, J. Exercise-associated hyponatremia. Clin. J. Am. Soc. Nephrol. 2007, 2, 151–161. [Google Scholar] [CrossRef]
- Schenk, K.; Rauch, S.; Procter, E.; Grasegger, K.; Mrakic-Sposta, S.; Gatterer, H. Changes in Factors Regulating Serum Sodium Homeostasis During Two Ultra-Endurance Mountain Races of Different Distances: 69 km vs. 121 km. Front. Physiol. 2021, 12, 764694. [Google Scholar] [CrossRef]
- Khodaee, M.; Irion, B.; Spittler, J.; Saeedi, A.; Hoffman, M.D. Characteristics of runners meeting acute kidney injury criteria following a 161-km ultramarathon. Transl. Sports Med. 2021, 4, 733–740. [Google Scholar] [CrossRef]
- Sahay, M.; Sahay, R. Hyponatremia: A practical approach. Indian J. Endocrinol. Metab. 2014, 18, 760–771. [Google Scholar] [CrossRef] [PubMed]
- Hoffman, M.D.; Pasternak, A.; Rogers, I.R.; Khodaee, M.; Hill, J.C.; Townes, D.A.; Scheer, B.V.; Krabak, B.J.; Basset, P.; Lipman, G.S. Medical services at ultra-endurance foot races in remote environments: Medical issues and consensus guidelines. Sports Med. 2014, 44, 1055–1069. [Google Scholar] [CrossRef] [PubMed]
- Safari, S.; Yousefifard, M.; Hashemi, B.; Baratloo, A.; Forouzanfar, M.M.; Rahmati, F.; Motamedi, M.; Najafi, I. The role of scoring systems and urine dipstick in prediction of rhabdomyolysis-induced acute kidney injury: A systematic review. Iran J. Kidney Dis. 2016, 10, 101–106. [Google Scholar]
- Wilson, P.B. Associations of Urine Specific Gravity With Body Mass Index and Lean Body Mass at the Population Level: Implications for Hydration Monitoring. Int. J. Sport Nutr. Exerc. Metab. 2021, 31, 475–481. [Google Scholar] [CrossRef]
- Klingert, M.; Nikolaidis, P.T.; Weiss, K.; Thuany, M.; Chlíbková, D.; Knechtle, B. Exercise-Associated Hyponatremia in Marathon Runners. J. Clin. Med. 2022, 11, 6775. [Google Scholar] [CrossRef]
- Knapik, J.J.; O’Connor, F.G. Exertional Rhabdomyolysis: Epidemiology, Diagnosis, Treatment, and Prevention. J. Spec. Oper. Med. 2016, 16, 65–71. [Google Scholar] [CrossRef]
- Adams, D.; de Jonge, R.; van der Cammen, T.; Zietse, R.; Hoorn, E.J. Acute kidney injury in patients presenting with hyponatremia. J. Nephrol. 2011, 24, 749–755. [Google Scholar] [CrossRef]
- Rojas-Valverde, D.; Sánchez-Ureña, B.; Crowe, J.; Timón, R.; Olcina, G.J. Exertional rhabdomyolysis and acute kidney injury in endurance sports: A systematic review. Eur. J. Sport Sci. 2020, 21, 267–274. [Google Scholar] [CrossRef]
- Brancaccio, P.; Lippi, G.; Maffulli, N. Biochemical markers of muscular damage. Clin. Chem. Lab. Med. 2010, 48, 757–767. [Google Scholar] [CrossRef]
- Cervellin, G.; Comelli, I.; Benatti, M.; Sanchis-Gomar, F.; Bassi, A.; Lippi, G. Non-traumatic rhabdomyolysis: Background, laboratory features, and acute clinical management. Clin. Biochem. 2017, 50, 656–662. [Google Scholar] [CrossRef] [PubMed]
- Kashiura, M.; Sugiyama, K.; Hamabe, Y. Association between rapid serum sodium correction and rhabdomyolysis in water intoxication: A retrospective cohort study. J. Intensive Care 2017, 5, 1–6. [Google Scholar] [CrossRef]
- Morogiello, J.; Roessler, R. Exertional rhabdomyolysis following noncontact collegiate recreational activity: A case report. Int. J. Athl. Ther. Train. 2021, 26, 145–147. [Google Scholar] [CrossRef]
- Lecina, M.; Castellar-Otín, C.; López-Laval, I.; Carrasco Páez, L.; Pradas, F. Acute Kidney Injury and Hyponatremia in Ultra-Trail Racing: A Systematic Review. Medicina 2022, 58, 569. [Google Scholar] [CrossRef]
- Hoffman, M.D.; Stuempfle, K.J. Hydration strategies, weight change and performance in a 161 km ultramarathon. Res. Sports Med. 2014, 22, 213–225. [Google Scholar] [CrossRef]
- Armstrong, L.E. Rehydration during endurance exercise: Challenges, research, options, methods. Nutrients 2021, 13, 887. [Google Scholar] [CrossRef]
- Goulet, E.; Hoffman, M. Impact of Ad Libitum Versus Programmed Drinking on Endurance Performance: A Systematic Review with Meta-Analysis. Sports Med. 2019, 49, 221–232. [Google Scholar] [CrossRef]
- Matomäki, P.; Kainulainen, H.; Kyröläinen, H. Corrected whole blood biomarkers—The equation of Dill and Costill revisited. Physiol. Rep. 2018, 6, e13749. [Google Scholar] [CrossRef]
- Cohen, J. Statistical Power Analysis. Psychol. Sci. 1992, 3, 98–101. [Google Scholar] [CrossRef]
- Lee, S.W.; Baek, S.H.; Ahn, S.Y.; Na, K.Y.; Chae, D.W.; Chin, H.J.; Kim, S. The effects of pre-existing hyponatremia and subsequent-developing acute kidney injury on in-hospital mortality: A retrospective cohort study. PLoS ONE 2016, 11, e0162990. [Google Scholar] [CrossRef]
- Arnaoutis, G.; Anastasiou, C.A.; Suh, H.; Maraki, M.; Tsekouras, Y.; Dimitroulis, E.; Echegaray, M.; Papamichalopoulou, D.; Methenitis, S.; Sidossis, L.S.; et al. Exercise-associated hyponatremia during the olympus marathon ultra-endurance trail run. Nutrients 2020, 12, 997. [Google Scholar] [CrossRef] [PubMed]
- Martínez-Navarro, I.; Chiva-Bartoll, O.; Hernando, B.; Collado, E.; Porcar, V.; Hernando, C. Hydration status, executive function, and response to orthostatism after a 118-km mountain race: Are they interrelated? J. Strength Cond. Res. 2018, 32, 441–449. [Google Scholar] [CrossRef]
- Lecina, M.; Castellar, C.; Pradas, F.; López-Laval, I. 768-km Multi-Stage Ultra-Trail Case Study-Muscle Damage, Biochemical Alterations and Strength Loss on Lower Limbs. Int. J. Environ. Res. Public Health 2022, 19, 876. [Google Scholar] [CrossRef]
- Pradas, F.; Falcón, D.; Peñarrubia-Lozano, C.; Toro-Román, V.; Carrasco, L.; Castellar, C. Effects of ultratrail running on neuromuscular function, muscle damage and hydration status. Differences according to training level. Int. J. Environ. Res. Public Health 2021, 18, 5119. [Google Scholar] [CrossRef]
- Belli, T.; Macedo, D.V.; de Araújo, G.G.; dos Reis, I.G.M.; Scariot, P.P.M.; Lazarim, F.L.; Nunes, L.A.S.; Brenzikofer, R.; Gobatto, C.A. Mountain ultramarathon induces early increases of muscle damage, inflammation, and risk for acute renal injury. Front. Physiol. 2018, 9, 1368. [Google Scholar] [CrossRef]
- Carmona, G.; Roca, E.; Guerrero, M.; Cusso, R.; Cadefau, J.A. Fibre-Type-Specific and Mitochondrial Biomarkers of Muscle Damage after Mountain Races Authors. Int. J. Sports Med. 2018, 40, 253–262. [Google Scholar]
- Baird, M.F.; Graham, S.M.; Baker, J.S.; Bickerstaff, G.F. Creatine-kinase- and exercise-related muscle damage implications for muscle performance and recovery. J. Nutr. Metab. 2012, 2012, 960363. [Google Scholar] [CrossRef]
- Magrini, D.; Khodaee, M.; San-Millán, I.; Hew-Butler, T.; Provance, A.J. Serum creatine kinase elevations in ultramarathon runners at high altitude. Physician Sportsmed. 2017, 45, 129–133. [Google Scholar] [CrossRef]
- Rubio-Arias, J.; Andreu, L.; Martínez-Aranda, L.M.; Martínez-Rodríguez, A.; Manonelles, P.; Ramos-Campo, D.J. Effects of medium- and long-distance running on cardiac damage markers in amateur runners: A systematic review, meta-analysis, and metaregression. J. Sport Health Sci. 2021, 10, 192–200. [Google Scholar] [CrossRef]
- Rubio-Arias, J.; Ávila-Gandía, V.; López-Román, F.J.; Soto-Méndez, F.; Alcaraz, P.E.; Ramos-Campo, D.J. Muscle damage and inflammation biomarkers after two ultra-endurance mountain races of different distances: 54 km vs 111 km. Physiol. Behav. 2019, 205, 51–57. [Google Scholar] [CrossRef]
- Shin, K.A.; Park, K.D.; Ahn, J.; Park, Y.; Kim, Y.J. Comparison of Changes in Biochemical Markers for Skeletal Muscles, Hepatic Metabolism, and Renal Function after Three Types of Long-distance Running. Medicine 2016, 95, e3657. [Google Scholar] [CrossRef] [PubMed]
- Lim, A.K.H. Abnormal liver function tests associated with severe rhabdomyolysis. World J. Gastroenterol. 2020, 26, 1020–1028. [Google Scholar] [CrossRef]
- Tirabassi, J.N.; Olewinski, L.; Khodaee, M. Variation of Traditional Biomarkers of Liver Injury After an Ultramarathon at Altitude. Sports Health 2018, 10, 361–365. [Google Scholar] [CrossRef]
- Cabral, B.M.I.; Edding, S.N.; Portocarrero, J.P.; Lerma, E.V. Rhabdomyolysis. Dis.-Mon. 2020, 66, 101015. [Google Scholar] [CrossRef]
- Hody, S.; Rogister, B.; Leprince, P.; Wang, F.; Croisier, J.L. Muscle fatigue experienced during maximal eccentric exercise is predictive of the plasma creatine kinase (CK) response. Scand. J. Med. Sci. Sports 2013, 23, 501–507. [Google Scholar] [CrossRef]
- Royer, N.; Nosaka, K.; Doguet, V.; Jubeau, M. Neuromuscular responses to isometric, concentric and eccentric contractions of the knee extensors at the same torque-time integral. Eur. J. Appl. Physiol. 2022, 122, 127–139. [Google Scholar] [CrossRef]
- Chlíbková, D.; Nikolaidis, P.T.; Rosemann, T.; Knechtle, B.; Bednář, J. Maintained hydration status after a 24-h winter mountain running race under extremely cold conditions. Front. Physiol. 2019, 10, 1959. [Google Scholar] [CrossRef] [PubMed]










| Variable | Stage 1 | Stage 3 | Stage 5 | Stage 7 | Stage 9 |
|---|---|---|---|---|---|
| Distance (km) | 78.5 | 72.0 | 72.6 | 63.7 | 66.1 |
| Elevation gain (m) | 3136 | 4655 | 5411 | 5492 | 3361 |
| Elevation loss (m) | 3034 | 4044 | 6336 | 5163 | 3841 |
| Temperature (°C) | 26.0 | 26.0 | 21.7 | 9.0 | 11.2 |
| Humidity (%) | 58.0 | 62.0 | 61.0 | 55.0 | 58.0 |
| Duration (hh:mm) | 12:56 | 14:28 | 15:04 | 12:38 | 13:27 |
| Velocity (km·h−1) | 6.14 | 5.14 | 4.76 | 4.76 | 5.21 |
| Parameters | Mean ± SD |
|---|---|
| Age (years) | 38 ± 4.11 |
| Height (cm) | 175.72 ± 3.65 |
| Weight (kg) | 70.09 ± 9.05 |
| BMI | 22.70 ± 2.05 |
| Fat mass (%) | 8.13 ± 0.68 |
| Muscle mass (%) | 46.75 ± 6.27 |
| VO2max (mL·kg−1·min−1) | 61.17 ± 8.96 |
| MAS (km·h−1) | 16.91 ± 0.83 |
| HRmax (beats·min−1) | 187 ± 8.54 |
| UT experience (years) | 5 ± 1.26 |
| Weekly volume (hours) | 11.61 ± 2.22 |
| Annual accumulated elevation gain (m) | 116,615 ± 37,462 |
| Baseline | Stage 1 | Stage 3 | Stage 5 | Stage 7 | Stage 9 | Post 48 h | |
|---|---|---|---|---|---|---|---|
| WBC | 5.73 ± 1.82 | 13.60 ± 1.42 * | 10.25 ± 1.44 * | 9.48 ± 1.16 * | 11.28 ± 0.77 * | 6.85 ± 1.23 | 7.70 ± 0.64 * |
| NEU | 3.08 ± 0.66 | 10.20 ± 1.29 | 6.70 ± 0.86 | 6.28 ± 1.53 | 7.70 ± 1.85 | 3.93 ± 1.05 | 3.78 ± 0.17 |
| LYM | 2.58 ± 0.73 | 2.23 ± 0.93 | 7.80 ± 10.83 | 2.15 ± 0.44 | 2.48 ± 1.11 | 1.87 ± 0.66 | 3.03 ± 0.54 |
| MON | 0.50 ± 0.08 | 1.05 ± 0.31 * | 0.95 ± 0.19 * | 0.80 ± 0.22 | 0.78 ± 0.25 | 0.58 ± 0.17 | 0.53 ± 0.05 |
| EOS | 0.65 ± 0.77 | 0.05 ± 0.06 * | 0.10 ± 0.08 * | 0.53 ± 0.53 | 0.33 ± 0.13 | 0.38 ± 0.22 | 0.27 ± 0.13 |
| BAS | 0.03 ± 0.05 | 0.10 ± 0.00 | 0.08 ± 0.05 | 0.05 ± 0.06 | 0.08 ± 0.05 | 0.08 ± 0.05 | 0.08 ± 0.05 |
| ERY | 0.00 ± 0.00 | 0.00 ± 0.00 | 0.00 ± 0.00 | 0.00 ± 0.00 | 0.00 ± 0.00 | 0.00 ± 0.00 | 0.00 ± 0.00 |
| Baseline | Stage 1 | Stage 3 | Stage 5 | Stage 7 | Stage 9 | Post 48 h | |
|---|---|---|---|---|---|---|---|
| RBC | 3.59 ± 2.39 | 4.98 ± 0.14 | 4.43 ± 0.25 | 4.56 ± 0.35 | 4.73 ± 0.06 | 4.44 ± 0.28 | 4.69 ± 0.20 |
| Hb | 14.60 ± 0.24 | 15.17 ± 0.39 | 13.77 ± 0.54 | 13.77 ± 1.01 | 14.20 ± 0.37 | 13.68 ± 0.51 | 14.67 ± 0.41 |
| Hct | 0.43 ± 0.01 | 0.44 ± 0.01 | 0.41 ± 0.01 | 0.41 ± 0.03 | 0.42 ± 0.02 | 0.41 ± 0.52 | 0.43 ± 0.02 |
| MCV | 91.25 ± 2.95 | 89.07 ± 3.04 | 91.55 ± 3.73 | 89.80 ± 0.45 | 89.82 ± 0.67 | 91.85 ± 2.55 | 92.88 ± 2.71 |
| MCH | 31.07 ± 1.02 | 30.53 ± 0.93 | 31.17 ± 1.53 | 30.18 ± 0.13 * | 29.83 ± 0.41 * | 30.73 ± 0.88 | 31.28 ± 0.88 |
| MCHC | 340.75 ± 1.71 | 342.75 ± 2.75 | 339.25 ± 6.13 | 336.50 ± 0.58 * | 332.33 ± 2.05 * | 335.50 ± 3.42 | 336.75 ± 1.71 |
| RDW | 13.10 ± 0.68 | 12.80 ± 0.66 | 13.20 ± 0.48 | 13.35 ± 0.70 | 13.27 ± 0.70 | 13.60 ± 0.39 | 13.27 ± 0.39 |
| PLA | 230.50 ± 47.57 | 233.75 ± 32.04 | 216.25 ± 35.67 | 204.75 ± 64.33 | 269.68 ± 40.78 | 266.25 ± 53.86 | 331.25 ± 47.79 |
| MPV | 8.63 ± 0.51 | 8.75 ± 0.42 | 8.67 ± 0.66 | 8.77 ± 0.43 | 8.63 ± 0.26 | 8.60 ± 0.64 | 8.20 ± 0.65 |
Disclaimer/Publisher’s Note: The statements, opinions and data contained in all publications are solely those of the individual author(s) and contributor(s) and not of MDPI and/or the editor(s). MDPI and/or the editor(s) disclaim responsibility for any injury to people or property resulting from any ideas, methods, instructions or products referred to in the content. |
© 2025 by the authors. Licensee MDPI, Basel, Switzerland. This article is an open access article distributed under the terms and conditions of the Creative Commons Attribution (CC BY) license (https://creativecommons.org/licenses/by/4.0/).
Share and Cite
García-Giménez, A.; Pradas, F.; Lecina, M.; Ochiana, N.; Castellar-Otín, C. Impact of Ad Libitum Hydration on Muscle and Liver Damage and Electrolyte Balance in Ultra-Trail Events: A Heatmap Analysis of Biomarkers and Event Characteristics—A Pilot Study. Biology 2025, 14, 136. https://doi.org/10.3390/biology14020136
García-Giménez A, Pradas F, Lecina M, Ochiana N, Castellar-Otín C. Impact of Ad Libitum Hydration on Muscle and Liver Damage and Electrolyte Balance in Ultra-Trail Events: A Heatmap Analysis of Biomarkers and Event Characteristics—A Pilot Study. Biology. 2025; 14(2):136. https://doi.org/10.3390/biology14020136
Chicago/Turabian StyleGarcía-Giménez, Alejandro, Francisco Pradas, Miguel Lecina, Nicolae Ochiana, and Carlos Castellar-Otín. 2025. "Impact of Ad Libitum Hydration on Muscle and Liver Damage and Electrolyte Balance in Ultra-Trail Events: A Heatmap Analysis of Biomarkers and Event Characteristics—A Pilot Study" Biology 14, no. 2: 136. https://doi.org/10.3390/biology14020136
APA StyleGarcía-Giménez, A., Pradas, F., Lecina, M., Ochiana, N., & Castellar-Otín, C. (2025). Impact of Ad Libitum Hydration on Muscle and Liver Damage and Electrolyte Balance in Ultra-Trail Events: A Heatmap Analysis of Biomarkers and Event Characteristics—A Pilot Study. Biology, 14(2), 136. https://doi.org/10.3390/biology14020136

