Triploid Cyprinid Fish (TCF) Under Aeromonas sp. AS1-4 Infection: Metabolite Characteristics and In Vitro Assessment of Probiotic Potentials of Intestinal Enterobacter Strains
Simple Summary
Abstract
1. Introduction
2. Materials and Methods
2.1. Ethics Approval
2.2. Determination of Pathological Traits Induced by Aeromonas sp. AS1-4
2.2.1. Fish Preparation and Immune Challenge Assay
2.2.2. Evaluation of Biochemical Metrics
2.2.3. Metabolite Characteristics and Annotation by Metabolomics
2.2.4. RNA Isolation and Quantitative Real-Time PCR (qPCR) Analysis
2.3. Probiotic Potentials of Bacteria Isolates from TCFs
2.3.1. Bacterial Identification
2.3.2. Genomic Characteristics
2.3.3. Determination of Antibiotic Resistance
2.3.4. Determination of Hemolytic Ability
2.3.5. Assessment of Stress Resistance
2.3.6. Aggregation Analysis
2.3.7. Hydrophobicity Assay
2.3.8. Biofilm Assay
2.3.9. Inhibitory Effect of Probiotics on Biofilm Formation of Fish Pathogens
2.3.10. Detection of In Vitro Degradation Performance
2.3.11. Detection of Antioxidant Ability
2.4. Statistical Analyses
3. Results
3.1. Expression Profiles of Immune-Related Genes
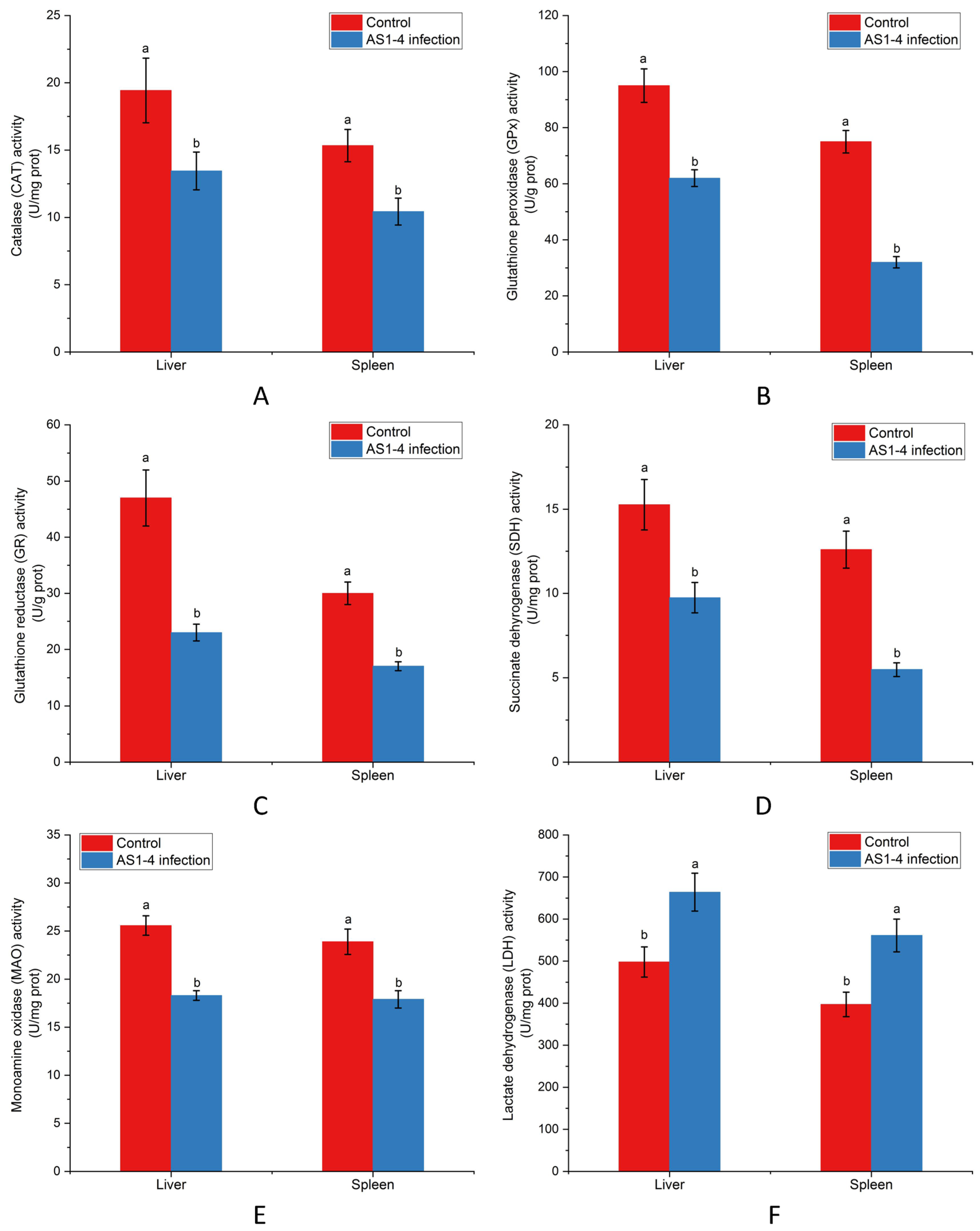
3.2. Evaluation of Antioxidant Property After Strain AS1-4 Infection
3.3. Determination of Metabolic Characteristics
3.4. Genomic Identification of Intestine-Derived Probiotic Isolates
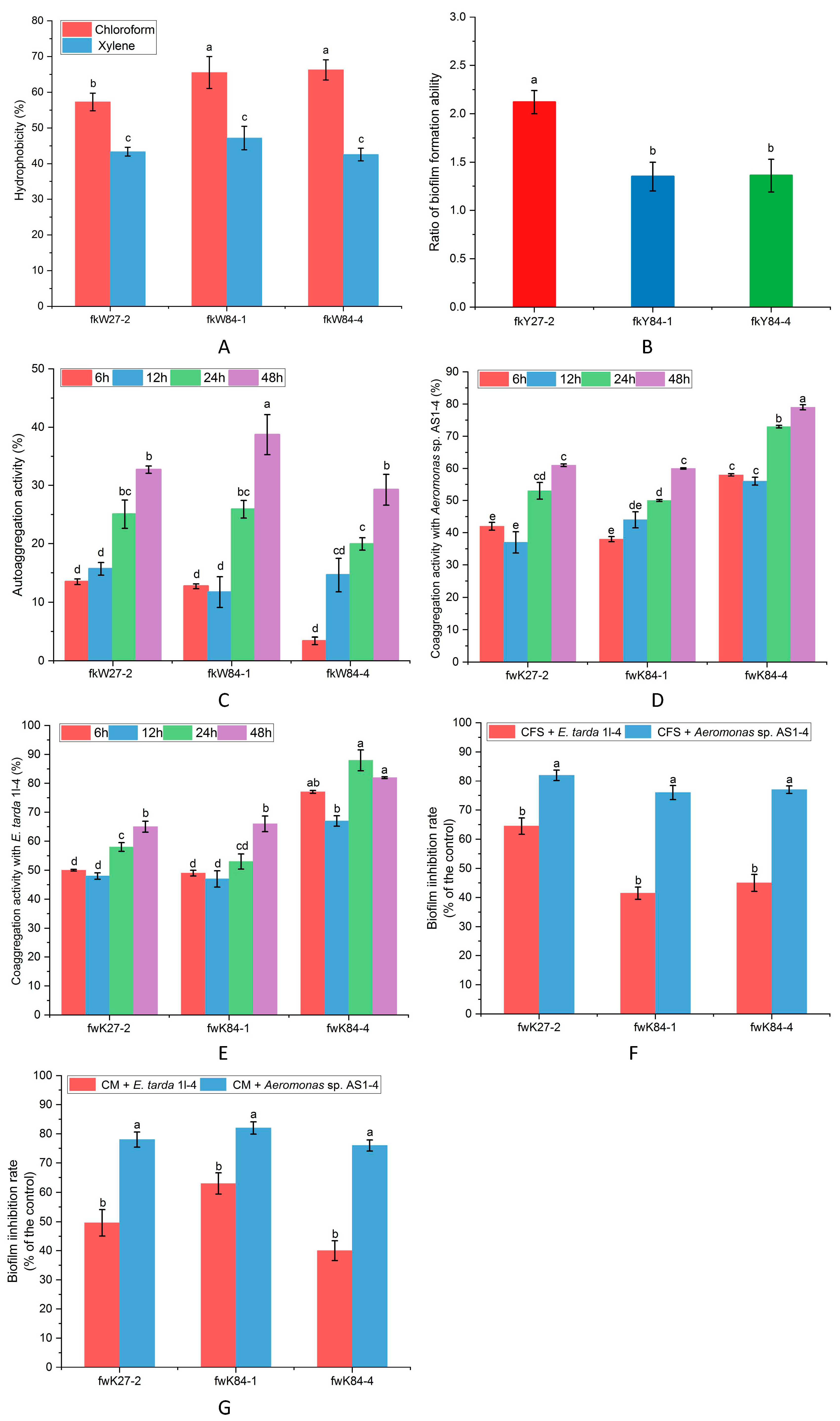
3.5. Stress Tolerance, Nutrient Degradation Capacity and Antioxidant Activity
3.6. Pathogenic Antagonism of Probiotic Isolates
4. Discussion
5. Conclusions
Supplementary Materials
Author Contributions
Funding
Institutional Review Board Statement
Informed Consent Statement
Data Availability Statement
Conflicts of Interest
References
- Li, Z.; Wang, Z.W.; Wang, Y.; Gui, J.F. Crucian carp and gibel carp culture. In Aquaculture in China: Success Stories and Modern trends; Wiley: Hoboken, NJ, USA, 2018; pp. 149–157. [Google Scholar]
- Cascarano, M.C.; Stavrakidis-Zachou, O.; Mladineo, I.; Thompson, K.D.; Papandroulakis, N.; Katharios, P. Mediterranean aquaculture in a changing climate: Temperature effects on pathogens and diseases of three farmed fish species. Pathogens 2021, 10, 1205. [Google Scholar] [CrossRef]
- González-Castro, M.; Cardoso, Y.P.; Hughes, L.C.; Ortí, G. Hybridization is strongly constrained by salinity during secondary contact between silverside fishes (Odontesthes, Atheriniformes). Heredity 2022, 129, 233–243. [Google Scholar] [CrossRef]
- Liu, S.; Liu, Y.; Zhou, G.; Zhang, X.; Luo, C.; Feng, H.; He, X.; Zhu, G.; Yang, H. The formation of tetraploid stocks of red crucian carp × common carp hybrids as an effect of interspecific hybridization. Aquaculture 2001, 192, 171–186. [Google Scholar] [CrossRef]
- Chen, S.; Wang, J.; Liu, S.; Qin, Q.; Xiao, J.; Duan, W.; Luo, K.; Liu, J.; Liu, Y. Biological characteristics of an improved triploid crucian carp. Sci. China Ser. C Life Sci. 2009, 52, 733–738. [Google Scholar] [CrossRef]
- Xiong, N.-X.; Luo, S.-W.; Fan, L.-F.; Mao, Z.-W.; Luo, K.-K.; Liu, S.-J.; Wu, C.; Hu, F.-Z.; Wang, S.; Wen, M.; et al. Comparative analysis of erythrocyte hemolysis, plasma parameters and metabolic features in red crucian carp (Carassius auratus red var) and triploid hybrid fish following Aeromonas hydrophila challenge. Fish Shellfish. Immunol. 2021, 118, 369–384. [Google Scholar] [CrossRef] [PubMed]
- Mokhtar, D.M.; Zaccone, G.; Alesci, A.; Kuciel, M.; Hussein, M.T.; Sayed, R.K. Main components of fish immunity: An overview of the fish immune system. Fishes 2023, 8, 93. [Google Scholar] [CrossRef]
- Wang, Y.; Pruitt, R.N.; Nürnberger, T.; Wang, Y. Evasion of plant immunity by microbial pathogens. Nat. Rev. Microbiol. 2022, 20, 449–464. [Google Scholar] [CrossRef]
- Armwood, A.R.; Griffin, M.J.; Richardson, B.M.; Wise, D.J.; Ware, C.; Camus, A.C. Pathology and virulence of Edwardsiella tarda, Edwardsiella piscicida, and Edwardsiella anguillarum in channel (Ictalurus punctatus), blue (Ictalurus furcatus), and channel× blue hybrid catfish. J. Fish Dis. 2022, 45, 1683–1698. [Google Scholar] [CrossRef]
- Luo, W.-S.; Xu, Z.-H.; He, Q.-Y.; Peng, J.; Wang, F.; Li, J.; Luo, S.-W. Comparative analyses of immune gene profiles and antioxidant capabilities in the midgut and liver of three species of grass carps (Ctenopharyngodon idella) following gut infection with Aeromonas hydrophila. Aquac. Int. 2024, 32, 9695–9709. [Google Scholar] [CrossRef]
- Pintor-Cora, A.; Tapia, O.; Elexpuru-Zabaleta, M.; de Alegría, C.R.; Rodríguez-Calleja, J.M.; Santos, J.A.; Ramos-Vivas, J. Cytotoxicity and antimicrobial resistance of Aeromonas strains isolated from fresh produce and irrigation water. Antibiotics 2023, 12, 511. [Google Scholar] [CrossRef] [PubMed]
- Goh, K.W.; Kari, Z.A.; Wee, W.; Zakaria, N.N.A.; Rahman, M.M.; Kabir, M.A.; Hamid, N.K.A.; Tahiluddin, A.B.; Kamarudin, A.S.; Téllez–Isaías, G.; et al. Exploring the roles of phytobiotics in relieving the impacts of Edwardsiella tarda infection on fish: A mini-review. Front. Vet. Sci. 2023, 10, 1149514. [Google Scholar] [CrossRef]
- Kraemer, S.A.; Ramachandran, A.; Perron, G.G. Antibiotic pollution in the environment: From microbial ecology to public policy. Microorganisms 2019, 7, 180. [Google Scholar] [CrossRef]
- Limbu, S.M.; Chen, L.Q.; Zhang, M.L.; Du, Z.Y. A global analysis on the systemic effects of antibiotics in cultured fish and their potential human health risk: A review. Rev. Aquac. 2021, 13, 1015–1059. [Google Scholar] [CrossRef]
- Latif, A.; Shehzad, A.; Niazi, S.; Zahid, A.; Ashraf, W.; Iqbal, M.W.; Rehman, A.; Riaz, T.; Aadil, R.M.; Khan, I.M.; et al. Probiotics: Mechanism of action, health benefits and their application in food industries. Front. Microbiol. 2023, 14, 1216674. [Google Scholar] [CrossRef]
- Cheng, D.; Song, J.; Xie, M.; Song, D. The bidirectional relationship between host physiology and microbiota and health benefits of probiotics: A review. Trends Food Sci. Technol. 2019, 91, 426–435. [Google Scholar] [CrossRef]
- Zhang, P. Influence of foods and nutrition on the gut microbiome and implications for intestinal health. Int. J. Mol. Sci. 2022, 23, 9588. [Google Scholar] [CrossRef] [PubMed]
- Pahumunto, N.; Dahlen, G.; Teanpaisan, R. Evaluation of potential probiotic properties of Lactobacillus and Bacillus strains derived from various sources for their potential use in swine feeding. Probiotics Antimicrob. Proteins 2023, 15, 479–490. [Google Scholar] [CrossRef] [PubMed]
- Moreira de Gouveia, M.I.; Bernalier-Donadille, A.; Jubelin, G. Enterobacteriaceae in the human gut: Dynamics and ecological roles in health and disease. Biology 2024, 13, 142. [Google Scholar] [CrossRef]
- Tang, X.; Ma, S.; Sun, L.; Li, Y.; Yang, Q.; Yu, X.; Wu, Z. Isolation, identification, and positive effects of potential probiotics on Carassius auratus. Aquaculture 2022, 548, 737668. [Google Scholar] [CrossRef]
- Li, J.; Zhang, Z.; Wu, Z.-B.; Qu, S.-Y.; Wang, G.-X.; Wei, D.-D.; Li, P.-F.; Ling, F. Enterobacter asburiae E7, a novel potential probiotic, enhances resistance to Aeromonas veronii infection via stimulating the immune response in common carp (Cyprinus carpio). Microbiol. Spectr. 2023, 11, e04273-04222. [Google Scholar] [CrossRef]
- He, Q.-Y.; Peng, J.; Yu, R.-X.; Luo, T.; Li, Y.-H.; Zhong, Z.-R.; Qin, Z.-L.; Wang, F.; Li, J.; Luo, S.-W. Transcriptome Reveals Molecular Characteristics and Immune Response in Triploid Cyprinid Fish Infected with a Novel Pathogenic Aeromonas sp. AS1-4. Mar. Biotechnol. 2025, 27, 133. [Google Scholar] [CrossRef]
- Wang, F.; Zhong, Z.-R.; Xie, Q.; Ou, J.; Xiong, N.-X.; Huang, M.-Z.; Li, S.-Y.; Hu, G.; Qin, Z.-L.; Luo, S.-W. Multiomics analyses explore the immunometabolic interplay in the liver of white crucian carp (Carassius cuvieri) after Aeromonas veronii challenge. Mar. Biotechnol. 2024, 26, 790–809. [Google Scholar] [CrossRef]
- Li, S.-Y.; Xiong, N.-X.; Li, K.-X.; Huang, J.-F.; Ou, J.; Wang, F.; Huang, M.-Z.; Luo, S.-W. Cloning, expression and functional characterization of recombinant tumor necrosis factor α1 (TNFα1) from white crucian carp in gut immune regulation. Int. J. Biol. Macromol. 2024, 254, 127770. [Google Scholar] [CrossRef]
- Livak, K.J.; Schmittgen, T.D. Analysis of relative gene expression data using real-time quantitative PCR and the 2−ΔΔCT method. Methods 2001, 25, 402–408. [Google Scholar] [CrossRef]
- Kuang, X.-Y.; Fang, Z.-X.; Xiong, N.-X.; Ou, J.; Wang, F.; Luo, S.-W. Probiotic characterization of a novel Bacillus cereus strain fkW8-1-2 isolated from intestine of white crucian carp (Carassius cuvieri). Reprod. Breed. 2024, 4, 95–101. [Google Scholar] [CrossRef]
- Fang, Z.-X.; Kuang, X.-Y.; Li, Y.-H.; Yu, R.-X.; Wang, F.; Luo, S.-W. Comparative Analysis of the Probiotic Features of Lysinibacillus and Enterobacter Strains Isolated from Gut Tract of Triploid Cyprinid Fish. Curr. Microbiol. 2025, 82, 91. [Google Scholar] [CrossRef]
- Telfer, E.; Graham, N.; Stanbra, L.; Manley, T.; Wilcox, P. Extraction of high purity genomic DNA from pine for use in a high-throughput Genotyping Platform. N. Z. J. For. Sci. 2013, 43, 3. [Google Scholar] [CrossRef]
- He, Q.; Hou, Q.; Wang, Y.; Li, J.; Li, W.; Kwok, L.-Y.; Sun, Z.; Zhang, H.; Zhong, Z. Comparative genomic analysis of Enterococcus faecalis: Insights into their environmental adaptations. BMC Genom. 2018, 19, 527. [Google Scholar] [CrossRef] [PubMed]
- Bolin, Z.; Libudzisz, Z.; Moneta, J. Survival ability of Lactobacillus acidophilus as probiotic adjunct in low-pH environments. Pol. J. Food Nutr. Sci. 1997, 6, 71–78. [Google Scholar]
- Singhal, N.; Maurya, A.K.; Mohanty, S.; Kumar, M.; Virdi, J.S. Evaluation of bile salt hydrolases, cholesterol-lowering capabilities, and probiotic potential of Enterococcus faecium isolated from rhizosphere. Front. Microbiol. 2019, 10, 1567. [Google Scholar] [CrossRef] [PubMed]
- Rada, V.; Splichal, I.; Rockova, S.; Grmanova, M.; Vlkova, E. Susceptibility of bifidobacteria to lysozyme as a possible selection criterion for probiotic bifidobacterial strains. Biotechnol. Lett. 2010, 32, 451–455. [Google Scholar] [CrossRef] [PubMed]
- Sylvere, N.; Mustopa, A.Z.; Budiarti, S.; Meilina, L.; Hertati, A.; Handayani, I. Whole-genome sequence analysis and probiotic characteristics of Lactococcus lactis Subsp. lactis strain Lac3 isolated from traditional fermented buffalo milk (Dadih). J. Genet. Eng. Biotechnol. 2023, 21, 49. [Google Scholar] [CrossRef] [PubMed]
- Solovyev, M.; Izvekova, G.; Kashinskaya, E.; Gisbert, E. Dependence of pH values in the digestive tract of freshwater fishes on some abiotic and biotic factors. Hydrobiologia 2018, 807, 67–85. [Google Scholar] [CrossRef]
- Solovyev, M.; Kashinskaya, E.; Izvekova, G.; Glupov, V. pH values and activity of digestive enzymes in the gastrointestinal tract of fish in Lake Chany (West Siberia). J. Ichthyol. 2015, 55, 251–258. [Google Scholar] [CrossRef]
- Schubert, K.; Olde Damink, S.W.; von Bergen, M.; Schaap, F.G. Interactions between bile salts, gut microbiota, and hepatic innate immunity. Immunol. Rev. 2017, 279, 23–35. [Google Scholar] [CrossRef]
- Ridlon, J.M.; Kang, D.J.; Hylemon, P.B.; Bajaj, J.S. Bile acids and the gut microbiome. Curr. Opin. Gastroenterol. 2014, 30, 332–338. [Google Scholar] [CrossRef]
- Erkkilä, S.; Petäjä, E. Screening of commercial meat starter cultures at low pH and in the presence of bile salts for potential probiotic use. Meat Sci. 2000, 55, 297–300. [Google Scholar] [CrossRef]
- Saurabh, S.; Sahoo, P. Lysozyme: An important defence molecule of fish innate immune system. Aquac. Res. 2008, 39, 223–239. [Google Scholar] [CrossRef]
- Doyle, M.P.; Diez-Gonzalez, F.; Hill, C. Food Microbiology: Fundamentals and Frontiers; John Wiley & Sons: Hoboken, NJ, USA, 2020. [Google Scholar]
- Shangpliang, H.; Sharma, S.; Rai, R.; Tamang, J.P. Some technological properties of lactic acid bacteria isolated from Dahi and Datshi, naturally fermented milk products of Bhutan. Front. Microbiol. 2017, 8, 116. [Google Scholar] [CrossRef]
- Melgar-Lalanne, G.; Rivera-Espinoza, Y.; Farrera-Rebollo, R.; Hernández-Sánchez, H. Survival under stress of halotolerant lactobacilli with probiotic properties. Rev. Mex. Ing. Química 2014, 13, 323–335. [Google Scholar]
- Ventosa, A.; Nieto, J.J.; Oren, A. Biology of moderately halophilic aerobic bacteria. Microbiol. Mol. Biol. Rev. 1998, 62, 504–544. [Google Scholar] [CrossRef]
- Medina-Morillo, M.; Sotil, G.; Arteaga, C.; Cordero, G.; Martins, M.L.; Murrieta-Morey, G.; Yunis-Aguinaga, J. Pathogenic Aeromonas spp in Amazonian fish: Virulence genes and susceptibility in Piaractus brachypomus, the main native aquaculture species in Peru. Aquac. Rep. 2023, 33, 101811. [Google Scholar] [CrossRef]
- Boshra, H.; Li, J.; Sunyer, J. Recent advances on the complement system of teleost fish. Fish Shellfish Immunol. 2006, 20, 239–262. [Google Scholar] [CrossRef]
- Tarantino, G.; Scalera, A.; Finelli, C. Liver-spleen axis: Intersection between immunity, infections and metabolism. World J. Gastroenterol. WJG 2013, 19, 3534. [Google Scholar] [CrossRef] [PubMed]
- Bandeira Junior, G.; Baldisserotto, B. Fish infections associated with the genus Aeromonas: A review of the effects on oxidative status. J. Appl. Microbiol. 2021, 131, 1083–1101. [Google Scholar] [CrossRef]
- Chowdhury, S.; Saikia, S. Oxidative stress in fish: A review. J. Sci. Res. 2020, 12, 145–160. [Google Scholar] [CrossRef]
- Paiva, C.N.; Bozza, M.T. Are reactive oxygen species always detrimental to pathogens? Antioxid. Redox Signal. 2014, 20, 1000–1037. [Google Scholar] [CrossRef]
- Ferreira, M.; Costa, J.; Reis-Henriques, M.A. ABC transporters in fish species: A review. Front. Physiol. 2014, 5, 266. [Google Scholar] [CrossRef]
- Moore, J.M.; Bell, E.L.; Hughes, R.O.; Garfield, A.S. ABC transporters: Human disease and pharmacotherapeutic potential. Trends Mol. Med. 2023, 29, 152–172. [Google Scholar] [CrossRef] [PubMed]
- Li, P.; Yin, Y.-L.; Li, D.; Kim, S.W.; Wu, G. Amino acids and immune function. Br. J. Nutr. 2007, 98, 237–252. [Google Scholar] [CrossRef]
- Yahsi, B.; Gunaydin, G. Immunometabolism–the role of branched-chain amino acids. Front. Immunol. 2022, 13, 886822. [Google Scholar] [CrossRef]
- Barth, M.; Ottolenghi, C.; Hubert, L.; Chrétien, D.; Serre, V.; Gobin, S.; Romano, S.; Vassault, A.; Sefiani, A.; Ricquier, D.; et al. Multiple sources of metabolic disturbance in ETHE1-related ethylmalonic encephalopathy. J. Inherit. Metab. Dis. Off. J. Soc. Study Inborn Errors Metab. 2010, 33, 443–453. [Google Scholar]
- Lazado, C.C.; Caipang, C.M.A. Mucosal immunity and probiotics in fish. Fish Shellfish Immunol. 2014, 39, 78–89. [Google Scholar] [CrossRef] [PubMed]
- Standen, B.; Peggs, D.; Rawling, M.D.; Foey, A.; Davies, S.; Santos, G.; Merrifield, D. Dietary administration of a commercial mixed-species probiotic improves growth performance and modulates the intestinal immunity of tilapia, Oreochromis niloticus. Fish Shellfish Immunol. 2016, 49, 427–435. [Google Scholar] [CrossRef]
- Zhu, L.; Kong, Y.; Chang, X.; Feng, J.; Wang, X.; Hou, L.; Zhao, X.; Pei, C.; Kong, X. Effects of two fish-derived probiotics on growth performance, innate immune response, intestinal health, and disease resistance of Procambarus clarkii. Aquaculture 2023, 562, 738765. [Google Scholar] [CrossRef]
- Koebnik, R.; Locher, K.P.; Van Gelder, P. Structure and function of bacterial outer membrane proteins: Barrels in a nutshell. Mol. Microbiol. 2000, 37, 239–253. [Google Scholar] [CrossRef]
- Hengge, R. The two-component network and the general stress sigma factor RpoS (σS) in Escherichia coli. In Bacterial Signal Transduction: Networks and Drug Targets; Springer Nature: Berlin/Heidelberg, Germany, 2008; pp. 40–53. [Google Scholar]
- Nikaido, H.; Zgurskaya, H.I. AcrAB and related multidrug efflux pumps of Escherichia coli. J. Mol. Microbiol. Biotechnol. 2001, 3, 215–218. [Google Scholar]
- Silver, S.; Walderhaug, M. Gene regulation of plasmid-and chromosome-determined inorganic ion transport in bacteria. Microbiol. Rev. 1992, 56, 195–228. [Google Scholar] [CrossRef] [PubMed]
- Nyanzi, R.; Shuping, D.S.; Jooste, P.J.; Eloff, J.N. Antibacterial and antioxidant activity of extracts from selected probiotic bacteria. J. Food Res. 2015, 4, 122. [Google Scholar] [CrossRef]
- Yi, Y.; Zhang, Z.; Zhao, F.; Liu, H.; Yu, L.; Zha, J.; Wang, G. Probiotic potential of Bacillus velezensis JW: Antimicrobial activity against fish pathogenic bacteria and immune enhancement effects on Carassius auratus. Fish Shellfish Immunol. 2018, 78, 322–330. [Google Scholar] [CrossRef] [PubMed]
- Krausova, G.; Hyrslova, I.; Hynstova, I. In vitro evaluation of adhesion capacity, hydrophobicity, and auto-aggregation of newly isolated potential probiotic strains. Fermentation 2019, 5, 100. [Google Scholar] [CrossRef]
- Kos, B.; Šušković, J.; Vuković, S.; Šimpraga, M.; Frece, J.; Matošić, S. Adhesion and aggregation ability of probiotic strain Lactobacillus acidophilus M92. J. Appl. Microbiol. 2003, 94, 981–987. [Google Scholar] [CrossRef]
- Keller, M.K.; Hasslöf, P.; Stecksén-Blicks, C.; Twetman, S. Co-aggregation and growth inhibition of probiotic lactobacilli and clinical isolates of mutans streptococci: An in vitro study. Acta Odontol. Scand. 2011, 69, 263–268. [Google Scholar] [CrossRef]
- Madsen, J.S.; Røder, H.L.; Russel, J.; Sørensen, H.; Burmølle, M.; Sørensen, S.J. Coexistence facilitates interspecific biofilm formation in complex microbial communities. Environ. Microbiol. 2016, 18, 2565–2574. [Google Scholar] [CrossRef]
- Cortés, M.E.; Bonilla, J.C.; Sinisterra, R.D. Biofilm formation, control and novel strategies for eradication. Sci. Against Microb. Pathog. Commun. Curr. Res. Technol. Adv. 2011, 2, 896–905. [Google Scholar]
- MacKenzie, K.D.; Palmer, M.B.; Köster, W.L.; White, A.P. Examining the link between biofilm formation and the ability of pathogenic Salmonella strains to colonize multiple host species. Front. Vet. Sci. 2017, 4, 138. [Google Scholar] [CrossRef]
- Salas-Jara, M.J.; Ilabaca, A.; Vega, M.; García, A. Biofilm forming Lactobacillus: New challenges for the development of probiotics. Microorganisms 2016, 4, 35. [Google Scholar] [CrossRef]
- Jia, L.; Kosgey, J.C.; Wang, J.; Yang, J.; Nyamao, R.M.; Zhao, Y.; Teng, X.; Gao, L.; Wabo, M.C.; Vasilyeva, N.V.; et al. Antimicrobial and mechanism of antagonistic activity of Bacillus sp. A2 against pathogenic fungus and bacteria: The implication on honey’s regulatory mechanism on host’s microbiota. Food Sci. Nutr. 2020, 8, 4857–4867. [Google Scholar] [CrossRef] [PubMed]
- Pohanka, M. Role of oxidative stress in infectious diseases. A review. Folia Microbiol. 2013, 58, 503–513. [Google Scholar] [CrossRef]
- Amaretti, A.; Di Nunzio, M.; Pompei, A.; Raimondi, S.; Rossi, M.; Bordoni, A. Antioxidant properties of potentially probiotic bacteria: In vitro and in vivo activities. Appl. Microbiol. Biotechnol. 2013, 97, 809–817. [Google Scholar] [CrossRef] [PubMed]
- Pourramezan, Z.; Kasra Kermanshahi, R.; Oloomi, M.; Aliahmadi, A.; Rezadoost, H. In vitro study of antioxidant and antibacterial activities of Lactobacillus probiotic spp. Folia Microbiol. 2018, 63, 31–42. [Google Scholar] [CrossRef] [PubMed]
- Ray, A.K.; Ghosh, K.; Ringø, E. Enzyme-producing bacteria isolated from fish gut: A review. Aquac. Nutr. 2012, 18, 465–492. [Google Scholar] [CrossRef]
- Kim, E.-Y.; Kim, Y.-H.; Rhee, M.-H.; Song, J.-C.; Lee, K.-W.; Kim, K.-S.; Lee, S.-P.; Lee, I.-S.; Park, S.-C. Selection of Lactobacillus sp. PSC101 that produces active dietary enzymes such as amylase, lipase, phytase and protease in pigs. J. Gen. Appl. Microbiol. 2007, 53, 111–117. [Google Scholar] [CrossRef] [PubMed][Green Version]
- GB/T 35892-2018; Laboratory Animal—Guideline for Ethical Review of Animal Welfare. China Standard Press: Beijing, China, 2018.[Green Version]





Disclaimer/Publisher’s Note: The statements, opinions and data contained in all publications are solely those of the individual author(s) and contributor(s) and not of MDPI and/or the editor(s). MDPI and/or the editor(s) disclaim responsibility for any injury to people or property resulting from any ideas, methods, instructions or products referred to in the content. |
© 2025 by the authors. Licensee MDPI, Basel, Switzerland. This article is an open access article distributed under the terms and conditions of the Creative Commons Attribution (CC BY) license (https://creativecommons.org/licenses/by/4.0/).
Share and Cite
Kuang, X.-Y.; He, Q.-Y.; Fang, Z.-X.; Mao, Z.-W.; Huang, M.-Z.; Qin, Z.-L.; Peng, J.; Wang, Y.-D.; Luo, S.-W. Triploid Cyprinid Fish (TCF) Under Aeromonas sp. AS1-4 Infection: Metabolite Characteristics and In Vitro Assessment of Probiotic Potentials of Intestinal Enterobacter Strains. Biology 2025, 14, 1485. https://doi.org/10.3390/biology14111485
Kuang X-Y, He Q-Y, Fang Z-X, Mao Z-W, Huang M-Z, Qin Z-L, Peng J, Wang Y-D, Luo S-W. Triploid Cyprinid Fish (TCF) Under Aeromonas sp. AS1-4 Infection: Metabolite Characteristics and In Vitro Assessment of Probiotic Potentials of Intestinal Enterobacter Strains. Biology. 2025; 14(11):1485. https://doi.org/10.3390/biology14111485
Chicago/Turabian StyleKuang, Xu-Ying, Qin-Yang He, Zi-Xuan Fang, Zhuang-Wen Mao, Ming-Zhu Huang, Zi-Le Qin, Jie Peng, Yu-De Wang, and Sheng-Wei Luo. 2025. "Triploid Cyprinid Fish (TCF) Under Aeromonas sp. AS1-4 Infection: Metabolite Characteristics and In Vitro Assessment of Probiotic Potentials of Intestinal Enterobacter Strains" Biology 14, no. 11: 1485. https://doi.org/10.3390/biology14111485
APA StyleKuang, X.-Y., He, Q.-Y., Fang, Z.-X., Mao, Z.-W., Huang, M.-Z., Qin, Z.-L., Peng, J., Wang, Y.-D., & Luo, S.-W. (2025). Triploid Cyprinid Fish (TCF) Under Aeromonas sp. AS1-4 Infection: Metabolite Characteristics and In Vitro Assessment of Probiotic Potentials of Intestinal Enterobacter Strains. Biology, 14(11), 1485. https://doi.org/10.3390/biology14111485

