Identification and Characterization of Olfactory Genes in the Cochineal Scale Insect, Porphyrophora sophorae (Hemiptera: Margarodidae)
Simple Summary
Abstract
1. Introduction
2. Materials and Methods
2.1. Insects and Sample Collection
2.2. Antennal cDNA Library Construction, Sequencing and Analysis
2.3. Gene Expression Analysis
2.4. Identification of Olfactory Genes and Bioinformatic Analysis
2.5. RT-qPCR Analysis
2.6. Data Analysis
3. Results
3.1. Overview of the Transcriptome of P. sophorae
3.2. Functional Annotation of Non-Redundant High-Quality Transcripts
3.3. Identification of Candidate Olfactory Genes
3.4. Phylogenetic Analysis of P. sophorae OBP and OR Genes
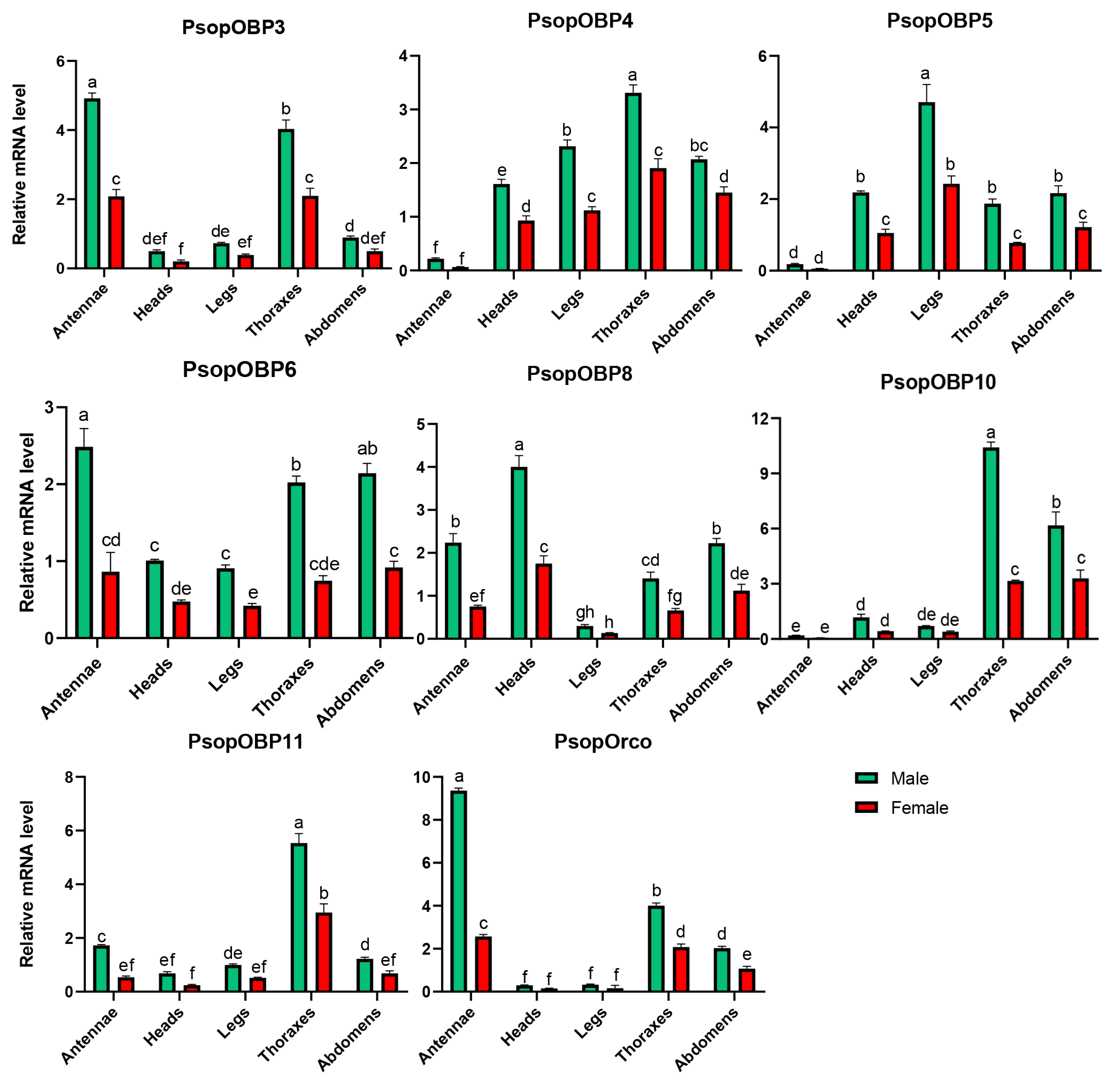
3.5. Anatomical Structures Expression of P. sophorae OBP and OR Genes
4. Discussion
5. Conclusions
Supplementary Materials
Author Contributions
Funding
Institutional Review Board Statement
Data Availability Statement
Acknowledgments
Conflicts of Interest
References
- Field, L.M.; Pickett, J.A.; Wadhams, L.J. Molecular studies in insect olfaction. Insect Mol. Biol. 2000, 9, 545–551. [Google Scholar] [CrossRef]
- Leal, W.S. Odorant reception in insects: Roles of receptors, binding proteins, and degrading enzymes. Annu. Rev. Entomol. 2013, 58, 373–391. [Google Scholar] [CrossRef]
- Tunstall, N.E.; Warr, C.G. Chemical communication in insects: The peripheral odour coding system of Drosophila melanogaster. In Sensing in Nature; López-Larrea, C., Ed.; Springer: New York, NY, USA, 2012; pp. 59–77. [Google Scholar] [CrossRef]
- Zhao, Y.H.; Ding, J.F.; Zhang, Z.Q.; Liu, F.; Zhou, C.G.; Mu, W. Sex- and Tissue-Specific Expression Profiles of Odorant Binding Protein and Chemosensory Protein Genes in Bradysia odoriphaga (Diptera: Sciaridae). Front. Physiol. 2018, 9, 107. [Google Scholar] [CrossRef]
- Shahid, S.; Li, G.C.; Guo, H.; Yan, X.Z.; Zhang, S.C.; Cao, L.L.; Gong, X.L.; Wang, C.Z. Deorphanization of Pheromone Receptors and Discovery of a Novel Agonist for Sex Pheromone Communication in Diamondback Moths. J. Agric. Food Chem. 2025, 73, 5816–5828. [Google Scholar] [CrossRef] [PubMed]
- Zhang, S.; Yan, S.W.; Mei, X.D.; Wang, G.R.; Liu, Y. Identification of a new lineage of pheromone receptors in mirid bugs (Heteroptera: Miridae). Pestic. Biochem. Physiol. 2025, 208, 106277. [Google Scholar] [CrossRef] [PubMed]
- Chen, H.H.; Dewer, Y.; Wang, Y.; Tan, S.Q.; Liu, X.L.; Shi, W.P. Interference with orco gene expression affects host recognition in Diorhabda tarsalis. Front. Physiol. 2022, 13, 1069391. [Google Scholar] [CrossRef] [PubMed]
- Stocker, R.F. The organization of the chemosensory system in Drosophila melanogaster: A review. Cell Tissue Res. 1994, 275, 3–26. [Google Scholar] [CrossRef]
- de Bruyne, M.; Baker, T.C. Odor detection in insects: Volatile codes. J. Chem. Ecol. 2008, 34, 882–897. [Google Scholar] [CrossRef]
- Rützler, M.; Zwiebel, L. Molecular biology of insect olfaction: Recent progress and conceptual models. J. Comp. Physiol. A 2005, 191, 777–790. [Google Scholar] [CrossRef]
- Sato, K.; Touhara, K. Insect olfaction: Receptors, signal transduction, and behavior. In Chemosensory Systems in Mammals, Fishes, and Insects; Korsching, S., Meyerhof, W., Eds.; Springer: Berlin, Heidelberg, Germany, 2008; Volume 47, pp. 203–220. [Google Scholar] [CrossRef]
- Venthur, H.; Zhou, J.J. Odorant Receptors and Odorant-Binding Proteins as Insect Pest Control Targets: A Comparative Analysis. Front. Physiol. 2018, 9, 1163. [Google Scholar] [CrossRef]
- Vogt, R.G.; Riddiford, L.M. Pheronmone binding and inactivation by moth antennae. Nature 1981, 293, 161–163. [Google Scholar] [CrossRef] [PubMed]
- Steinbrech, R.A.; Ozaki, M.; Ziegelberger, G. Immunocyto chemical localization of pheronmone binding protein in moth antennae. Cell Tissue Res. 1992, 270, 287–302. [Google Scholar] [CrossRef]
- Chang, X.; Bi, Y.; Chi, H.; Fang, Q.; Lu, Z.; Wang, F.; Ye, G. Identification and expression analysis of odorant-Binding and chemosensory protein genes in Virus Vector Nephotettix cincticeps. Insects 2022, 13, 1024. [Google Scholar] [CrossRef] [PubMed]
- Vieira, F.G.; Rozas, J. Comparative genomics of the odorant-binding and chemosensory protein gene families across the Arthropoda: Origin and evolutionary history of the chemosensory system. Genome Biol. Evol. 2011, 3, 476–490. [Google Scholar] [CrossRef] [PubMed]
- Robertson, H.M.; Warr, C.G.; Carlson, J.R. Molecular evolution of the insect chemoreceptor gene superfamily in Drosophila melanogaste. Proc. Natl. Acad. Sci. USA 2003, 100, 14537–14542. [Google Scholar] [CrossRef]
- Wanner, K.W.; Anderson, A.R.; Trowell, S.C.; Theilmann, D.A.; Robertson, H.M.; Newcomb, R.D. Female-biased expression of odorant receptor genes in the adult antennae of the silkworm, Bombyx mori. Insect Mol. Biol. 2007, 16, 107–119. [Google Scholar] [CrossRef]
- Robertson, H.M.; Wanner, K.W. The chemoreceptor superfamily in the honey bee, Apis mellifera: Expansion of the odorant, but not gustatory, receptor family. Genome Res. 2006, 16, 1395–1403. [Google Scholar] [CrossRef]
- Hill, C.A.; Fox, A.N.; Pitts, R.J.; Kent, L.B.; Tan, P.L.; Chrystal, M.A.; Cravchik, A.; Collins, F.H.; Robertson, H.M.; Zwiebel, L.J. G protein-coupled receptors in Anopheles gambiae. Science 2002, 298, 176–178. [Google Scholar] [CrossRef]
- Rondoni, G.; Roman, A.; Meslin, C.; Montagné, N.; Conti, E.; Jacquin-Joly, E. Antennal transcriptome analysis and identification of candidate chemosensory genes of the harlequin ladybird beetle, Harmonia axyridis (pallas) (Coleoptera: Coccinellidae). Insects 2021, 12, 209. [Google Scholar] [CrossRef]
- Vera, J.C.; Wheat, C.W.; Fescemyer, H.W.; Frilander, M.K.; Crawford, D.; Hanski, I.; Marden, J.H. Rapid transcriptome characterization for a nonmodel organism using 454 pyrosequencing. Mol. Ecol. 2008, 17, 1636–1647. [Google Scholar] [CrossRef]
- Zhang, X.Z.H. Identification and Expression Analysis of Olfactory Receptor Genes in Empoasca onukii Matsuda. Master Dissertation, Shandong Agricultural University, Tai′an, China, 2022. [Google Scholar]
- Ji, P.; Gu, S.H.H.; Liu, J.T.; Zhu, X.Q.; Guo, Y.Y.; Zhou, J.J.; Zhang, Y.J. Identification and expression profile analysis of odorant-binding protein genes in Apolygus lucorum (Hemiptera: Miridae). Appl. Entomol. Zool. 2013, 48, 301–311. [Google Scholar] [CrossRef]
- An, X.K.; Sun, L.; Liu, H.W.; Liu, D.F.; Ding, Y.X.; Li, L.M.; Zhang, Y.J.; Guo, Y.Y. Identification and expression analysis of an olfactory receptor gene family in green plant bug Apolygus lucorum (Meyer-Dür). Sci. Rep. 2016, 6, 37870. [Google Scholar] [CrossRef] [PubMed]
- Xu, J.W.; Zhu, X.Y.; Chao, Q.J.; Zhang, Y.J.; Yang, Y.X.; Wang, R.R.; Zhang, Y.; Xie, M.Z.; Ge, Y.T.; Wu, X.L.; et al. Chemosensory gene families in the Oligophagous pear pest Cacopsylla chinensis (Hemiptera: Psyllidae). Insects 2019, 10, 175. [Google Scholar] [CrossRef] [PubMed]
- Liu, J.; Xie, J.; Khashaveh, A.; Zhou, J.; Zhang, Y.; Dong, H.; Cong, B.; Gu, S. Identification and tissue expression profiles of odorant receptor genes in the green peach aphid Myzus persicae. Insects 2022, 13, 398. [Google Scholar] [CrossRef]
- Li, J.B.; Yin, M.Z.; Yao, W.C.; Ma, S.; Dewer, Y.; Liu, X.Z.; Wang, Y.Y.; Wang, C.W.; Li, B.P.; Zhu, X.Y. Genome-wide analysis of odorant-binding proteins and chemosensory proteins in the bean bug Riptortus pedestris. Front. Physiol. 2022, 13, 949607. [Google Scholar] [CrossRef]
- Zhao, J.; Lu, Y.Y. Identification and evolution analysis on chemosensory protein genes in Phenacoccus solenopsis Tinsley (Hemiptera: Pseudococcidae). Guangdong Agric. Sci. 2015, 42, 121–127. [Google Scholar] [CrossRef]
- Zhao, J. Chemosense-Related Genes Identification and Expression Analysis in Phenacoccus solenopsis Tinsley. Master Dissertation, Hunan Agricultural University, Changsha, China, 2016. [Google Scholar]
- Gao, Q. Antennal Transcriptome Analysis and Bioinformatics Analysis of Olfactory Genes in the Drosicha corpulenta. Master Dissertation, Shanxi University, Taiyuan, China, 2016. [Google Scholar]
- Yang, C.X.; Gao, L.Y. Occurrence and prevention of Porphyrophora sophorae. Plant Protect. 1998, 24, 27–28. [Google Scholar]
- Wang, H.J. Occurrence and control of Porphyrophora sophorae in Guazhou County. Gansu Agric. Sci. Technol. 2018, 5, 93–94. [Google Scholar] [CrossRef]
- Yang, C.X.; Gao, L.Y.; Zhang, Z.K. Preliminary study on spatial distribution pattern of Porphyrophora sophorae Arch. In Advances in Entomology; Qiao, K.X., Chen, H.J., Xiao, H., Eds.; China Agricultural Science and Technology Press: Beijing, China, 2005; pp. 136–139. [Google Scholar]
- Yang, C.X.; Gao, L.Y.; Zhang, Z.K. Study on the occurrence rules and the technology of integraetd contorl of Porphyrophora Ningxiaan. World Sci. Technol./Mod. Tradit. Chin. Med. Mater Med. 2006, 8, 128–135. [Google Scholar]
- Nan, N.L.; Zhang, Z.K.; Yang, C.X.; Zhang, R. Field efficacy of eight insecticides against Porphyrophora ningxia. Agrochemicals 2008, 47, 775–776. [Google Scholar] [CrossRef]
- Zhang, H.; Li, P.G.; Li, S.B.; Lv, Z.Q.; Hu, X.P. Control effects of four insecticides against Porphyrophora sophorae. Plant Protect. 2017, 43, 214–217. [Google Scholar] [CrossRef]
- Wang, X.; Xie, Y.P.; Zhang, Y.F.; Liu, W.M. Antennal sensilla and their nerve innervation in first-instar nymphs of Porphyrophora sophorae Arch. (Hemiptera: Coccomorpha: Margarodidae). J. Morphol. 2016, 277, 1631–1647. [Google Scholar] [CrossRef]
- Wang, X.; Xie, Y.P.; Zhang, Y.F.; Liu, W.M.; Wang, Q.L. Ultrastructures of antennal sensilla of adult females of Porphyrophora sophorae (Coccoidea: Margarodidae). Acta Entomol. Sinica 2017, 60, 24–33. [Google Scholar] [CrossRef]
- Liu, X.F.; Chen, H.H.; Li, J.K.; Zhang, R.; Turlings, T.C.; Chen, L. Volatiles released by Chinese liquorice roots mediate host location behavior by neonate Porphyrophora sophorae (Hemiptera: Margarodidae). Pest Manag. Sci. 2016, 72, 1959–1964. [Google Scholar] [CrossRef] [PubMed]
- Simão, F.A.; Waterhouse, R.M.; Ioannidis, P.; Kriventseva, E.V.; Zdobnov, E.M. BUSCO: Assessing genome assembly and annotation completeness with single-copy orthologs. Bioinformatics 2015, 31, 3210–3212. [Google Scholar] [CrossRef] [PubMed]
- Li, B.; Dewey, C.N. RSEM: Accurate transcript quantification from RNA-Seq data with or without a reference genome. Bioinformatics 2011, 12, 323. [Google Scholar]
- Livak, K.J.; Schmittgen, T.D. Analysis of relative gene expression data using real-time quantitative PCR and the 2−ΔΔCT method. Methods 2001, 25, 402–408. [Google Scholar] [CrossRef]
- Adnan, M.; Morton, G.; Hadi, S. Analysis of rpoS and bolA gene expression under various stressinduced environments in planktonic and biofilm phase using 2−ΔΔCT method. Mol. Cell. Biochem. 2011, 357, 275–282. [Google Scholar] [CrossRef]
- Bian, L.; Li, Z.Q.; Ma, L.; Cai, X.M.; Luo, Z.X.; Chen, Z.M. Identification of the genes in tea leafhopper, Empoasca onukii (Hemiptera: Cicadellidae), that encode odorant-binding proteins and chemosensory proteins using transcriptome analyses of insect heads. Appl. Entomol. Zool. 2018, 53, 93–105. [Google Scholar] [CrossRef]
- Lun, X.; Xu, X.; Zhang, X.; Zhang, Y.; Zhang, R.; Zhao, Y.; Zhang, Z. Identification and expression profiles of candidate chemoreceptor genes in the tea leafhopper, Empoasca onukii Matsuda (Hemiptera: Cicadellidae). Phytoparasitica 2023, 51, 1073–1085. [Google Scholar] [CrossRef]
- Cui, H.H.; Gu, S.H.; Zhu, X.Q.; Wei, Y.; Liu, H.W.; Khalid, H.D.; Guo, Y.Y.; Zhang, Y.J. Odorant-binding and chemosensory proteins identified in the antennal transcriptome of Adelphocoris suturalis Jakovlev. Comp. Biochem. Physiol. Part D Genom. Proteom. 2017, 24, 139–145. [Google Scholar] [CrossRef]
- Cui, H.H. Identification of proteins related to olfaction and analysis of the olfactory co-receptor genes in Adelphocoris suturalis (Hemiptera: Miridae). Master Dissertation, Chinese Academy of Agricultural Sciences, Beijing, China, 2016. [Google Scholar]
- Yuan, H.B.; Ding, Y.X.; Gu, S.H.; Sun, L.; Zhu, X.Q.; Liu, H.W.; Dhiloo, K.H.; Zhang, Y.J.; Guo, Y.Y. Molecular characterization and expression profiling of odorant-binding proteins in Apolygus lucorum. PLoS ONE 2015, 10, e0140562. [Google Scholar] [CrossRef] [PubMed][Green Version]
- Sun, L.; Wang, Q.; Wang, Q.; Dong, K.; Xiao, Y.; Zhang, Y.J. Identification and characterization of odorant binding proteins in the forelegs of Adelphocoris lineolatus (Goeze). Front. Physiol. 2017, 8, 735. [Google Scholar] [CrossRef] [PubMed]
- Gu, S.H.; Wang, S.P.; Zhang, X.Y.; Wu, K.M.; Guo, Y.Y.; Zhou, J.J.; Zhang, Y.J. Identification and tissue distribution of odorant binding protein genes in the lucerne plant bug Adelphocoris lineolatus (Goeze). Insect Biochem. Mol. Biol. 2011, 41, 254–263. [Google Scholar] [CrossRef] [PubMed]
- Xiao, Y.; Sun, L.; Ma, X.Y.; Dong, K.; Liu, H.W.; Wang, Q.; Guo, Y.Y.; Liu, Z.W.; Zhang, Y.J. Identification and characterization of the distinct expression profiles of candidate chemosensory membrane proteins in the antennal transcriptome of Adelphocoris lineolatus (Goeze). Insect Mol. Biol. 2017, 26, 74–91. [Google Scholar] [CrossRef] [PubMed]
- Sun, D.; Huang, Y.; Qin, Z.; Zhan, H.; Zhang, J.; Liu, Y.; Yang, S. Identification of candidate olfactory genes in the antennal transcriptome of the stink bug Halyomorpha halys. Front. Physiol. 2020, 11, 876. [Google Scholar] [CrossRef]
- Song, Y.Q.; Sun, H.Z.; Du, J. Identifcation and tissue distribution of chemosensory protein and odorant binding protein genes in Tropidothorax elegans Distant (Hemiptera: Lygaeidae). Sci. Rep. 2018, 8, 7803. [Google Scholar] [CrossRef]
- Zhou, J.; Vieira, F.G.; He, X.; Smadja, C.; Liu, R.; Rozas, J.; Field, L.M. Genome annotation and comparative analyses of the odorant-binding proteins and chemosensory proteins in the pea aphid Acyrthosiphon pisum. Insect Mol. Biol 2010, 19, 113–122. [Google Scholar] [CrossRef]
- Smadja, C.; Shi, P.; Butlin, R.K.; Robertson, H.M. Large gene family expansions and adaptive evolution for odorant and gustatory receptors in the pea aphid, Acyrthosiphon pisum. Mol. Biol. Evol. 2009, 26, 2073–2086. [Google Scholar] [CrossRef]
- Wang, Q.; Zhou, J.J.; Liu, J.T.; Huang, G.Z.; Xu, W.Y.; Zhang, Q.; Chen, J.l.; Zhang, Y.J.; Li, X.C.; Gu, S.H. Integrative transcriptomic and genomic analysis of odorant binding proteins and chemosensory proteins in aphids. Insect Mol. Biol. 2019, 28, 1–22. [Google Scholar] [CrossRef]
- Gu, S.H.; Wu, K.M.; Guo, Y.Y.; Field, L.M.; Pickett, J.A.; Zhang, Y.J.; Zhou, J.J. Identification and expression profiling of odorant binding proteins and chemosensory proteins between two wingless morphs and a winged morph of the cotton aphid Aphis gossypii Glover. PLoS ONE 2013, 8, e73524. [Google Scholar] [CrossRef]
- Cao, D.P.; Liu, Y.; Walker, W.B.; Li, J.H.; Wang, G.R. Molecular characterization of the Aphis gossypii olfactory receptor gene families. PLoS ONE 2014, 9, e101187. [Google Scholar] [CrossRef]
- Zhou, S.S.; Sun, Z.; Ma, W.; Chen, W.; Wang, M.Q. De novo analysis of the Nilaparvata lugens (Stål) antenna transcriptome and expression patterns of olfactory genes. Comp. Biochem. Physiol. Part D Genom. Proteom. 2014, 9, 31–39. [Google Scholar] [CrossRef]
- He, P.; Engsontia, P.; Chen, G.L.; Yin, Q.; Wang, J.; Lu, X.; Zhang, Y.N.; Li, Z.Q.; He, M. Molecular characterization and evolution of a chemosensory receptor gene family in three notorious rice planthoppers, Nilaparvata lugens, Sogatella furcifera and Laodelphax striatellus, based on genome and transcriptome analyses. Pest Manag. Sci. 2018, 74, 2156–2167. [Google Scholar] [CrossRef] [PubMed]
- He, P.; Chen, G.L.; Li, S.; Wang, J.; Ma, Y.F.; Pan, Y.F.; He, M. Evolution and functional analysis of odorant-binding proteins in three rice planthoppers: Nilaparvata lugens, Sogatella furcifera, and Laodelphax striatellus. Pest Manag. Sci. 2018, 75, 1606–1620. [Google Scholar] [CrossRef] [PubMed]
- He, M.; He, P. Molecular characterization, expression profiling, and binding properties of odorant binding protein genes in the whitebacked planthopper, Sogatella furcifera. COMP Biochem. Phys. B 2014, 174, 1–8. [Google Scholar] [CrossRef] [PubMed]
- He, M.; Zhang, Y.N.; He, P. Molecular characterization and differential expression of an olfactory receptor gene family in the white-backed planthopper Sogatella furcifera Based on transcriptome analysis. PLoS ONE 2015, 10, e0140605. [Google Scholar] [CrossRef]
- Zhang, H.; Chen, J.L.; Lin, J.H.; Lin, J.T.; Wu, Z.Z. Odorant-binding proteins and chemosensory proteins potentially involved in host plant recognition in the Asian citrus psyllid, Diaphorina citri. Pest Manag. Sci. 2020, 76, 2609–2618. [Google Scholar] [CrossRef]
- Chen, L. Identification and Difference Analysis of Chemosensory Genes in the Asian Citrus Psyllid, Diaphorina citri. Master Dissertation, Zhongkai University of Agriculture and Engineering, Guangzhou, China, 2016. [Google Scholar]
- Wang, R.; Li, F.; Zhang, W.; Zhang, X.M.; Qu, C.; Tetreau, G.; Sun, L.; Luo, C. Identification and expression profile analysis of odorant binding protein and chemosensory protein genes in Bemisia tabaci MED by head transcriptome. PLoS ONE 2017, 12, e0171739. [Google Scholar] [CrossRef]
- Simon, J.-C.; D’alençon, E.; Guy, E.; Jacquin-Joly, E.; Jaquiéry, J.; Nouhaud, P.; Peccoud, J.; Sugio, A.; Streiff, R. Genomics of adaptation to host-plants in herbivorous insects. Brief. Funct. Genom. 2015, 14, 413–423. [Google Scholar] [CrossRef]
- Hull, J.J.; Perera, O.P.; Snodgrass, G.L. Cloning and expression profiling of odorant-binding proteins in the tarnished plant bug, Lygus lineolaris. Insect Mol. Biol. 2014, 23, 78–97. [Google Scholar] [CrossRef]
- Mitaka, H.; Matsuo, T.; Miura, N.; Ishikawa, Y. Identification of odorant-binding protein genes from antennal expressed sequencetags of the onion fly, Delia antiqua. Mol. Biol. Rep. 2011, 38, 1787–1792. [Google Scholar] [CrossRef] [PubMed]
- Xue, W.X.; Fan, J.; Zhang, Y.; Xu, Q.X.; Han, Z.L.; Sun, J.R.; Chen, J.L. Identification and expression analysis of candidate odorantbinding protein and chemosensory protein genes by antennal transcriptome of Sitobion avenae. PLoS ONE 2016, 11, e0161839. [Google Scholar] [CrossRef] [PubMed]
- Sheng, S.; Liao, C.W.; Zheng, Y.; Zhou, Y.; Xu, Y.; Song, W.M.; He, P.; Zhang, J.; Wu, F.A. Candidate chemosensory genes identified in the endoparasitoid Meteorus pulchricornis (Hymenoptera: Braconidae) by antennal transcriptome analysis. Comp. Biochem. Physiol. D 2017, 22, 20–31. [Google Scholar] [CrossRef]
- Kang, Z.W.; Liu, F.H.; Pang, R.P.; Yu, W.B.; Tan, X.L.; Zheng, Z.Q.; Tian, H.G.; Liu, T.X. The identification and expression analysis of candidate chemosensory genes in the bird cherry-oat aphid Rhopalosiphum padi (L.). Bull. Entomol. Res. 2018, 108, 645–657. [Google Scholar] [CrossRef]
- Liu, H.; Sun, X.; Shi, Z.; An, X.; Khashaveh, A.; Li, Y.; Gu, S.; Zhang, Y. Identification and functional analysis of odorant-binding proteins provide new control strategies for Apolygus lucorum. Int. J. Biol. Macromol. 2023, 224, 1129–1141. [Google Scholar] [CrossRef] [PubMed]
- Xiao, Y.; Lei, C.; Yin, F.; Peng, Z.; Zhang, Y.; Zalucki, M.P.; Li, Z. Molecular evidence for the role of the ovipositor of the fall armyworm: Where to lay or not to lay? Insect Sci. 2025, 32, 1–17. [Google Scholar] [CrossRef]
- Pelosi, P.; Iovinella, I.; Zhu, J.; Wang, G.; Dani, F.R. Beyond chemoreception: Diverse tasks of soluble olfactory proteins in insects. Biol. Rev. 2018, 93, 184–200. [Google Scholar] [CrossRef]
- Yi, S.C.; Wu, J.; Wang, J.Q.; Chen, X.H.; Wang, M.Q. Binding characterization of odorant-binding protein BhorOBP29 in Batocera horsfieldi (Hope) with host-plant volatiles. Int. J. Biol. Macromol. 2024, 278, 134811. [Google Scholar] [CrossRef]
- Yang, Y.; Tan, S.; Wang, Q.; Wang, F.; Zhang, Y. Key amino acids in odorant-binding protein OBP7 enable Bradysia odoriphaga to recognize host plant volatiles. Int. J. Biol. Macromol. 2025, 284, 138179. [Google Scholar] [CrossRef]
- Fan, J.; Francis, F.; Liu, Y.; Chen, J.L.; Cheng, D.F. An overview of odorant-binding protein functions in insect peripheral olfactory reception. Genet. Mol. Res. 2011, 10, 3056–3069. [Google Scholar] [CrossRef] [PubMed]
- Sims, C.; Birkett, M.A.; Withall, D.M. Enantiomeric discrimination in insects: The role of OBPs and ORs. Insects 2022, 13, 368. [Google Scholar] [CrossRef] [PubMed]
- Zhang, L.W.; Kang, K.; Jiang, S.C.; Zhang, Y.N.; Wang, T.T.; Zhang, J.; Sun, L.; Yang, Y.Q.; Huang, C.C.; Jiang, L.Y.; et al. Analysis of the antennal transcriptome and insights into olfactory genes in Hyphantria cunea (Drury). PLoS ONE 2016, 11, e0164729. [Google Scholar] [CrossRef]
- Bin, S.Y.; Qu, M.Q.; Pu, X.H.; Wu, Z.Z.; Lin, J.T. Antennal transcriptome and expression analyses of olfactory genes in the sweetpotato weevil Cylas formicarius. Sci. Rep. 2017, 7, 11073. [Google Scholar] [CrossRef]
- Wang, G.Y.; Zhu, M.F.; Jiang, Y.D.; Zhou, W.W.; Liu, S.; Heong, K.L.; Cheng, J.A.; Zhu, Z.R. Identification of candidate odorant-binding protein and chemosensory protein genes in Cyrtorhinus lividipennis (Hemiptera: Miridae), a key predator of the rice planthoppers in Asia. Environ. Entomol. 2017, 46, 654–662. [Google Scholar] [CrossRef]
- Nakagawa, T.; Sakurai, T.; Nishioka, T.; Touhara, K. Insect sex-pheromone signal smediated by specific combinations of olfactory receptors. Sience 2005, 37, 1638–1642. [Google Scholar] [CrossRef]
- Yang, H.B.; Dong, J.F.; Sun, Y.-L.; Hu, Z.J.; Lyu, Q.H.; Li, D.X. Identification and expression profiles of candidate chemosensory receptors in Histia rhodope (Lepidoptera: Zygaenidae). PeerJ 2020, 8, e10085. [Google Scholar] [CrossRef]
- Dobritsa, A.A.; van der Goes van Naters, W.; Warr, C.G.; Steinbrecht, R.A.; Carlson, J.R. Integrating the Molecular and Cellular Basis of Odor Coding in the Drosophila Antenna. Neuron 2003, 37, 827–841. [Google Scholar] [CrossRef]
- Larsson, M.C.; Domingos, A.I.; Jone, W.D.; Chiappe, M.E.; Amrein, H.; Vosshall, L.B. Or83b encodes abroadly expressed odorant receptor essential for Drosophila olfaction. Neuron 2004, 43, 703–714. [Google Scholar] [CrossRef] [PubMed]




| Unigene ID | Name | ORF (aa) | Status | SP | BLAST Annotation | E-Value | Identity (%) | Score | Accesion |
|---|---|---|---|---|---|---|---|---|---|
| F-M_transcript_50750 | PsopOBP1 | 317 | complete | no | general odorant-binding protein 71 isoform X2 [Cryptotermes secundus] | 1 × 10−28 | 30.09 | 122 | XP_033606314.1 |
| F-M_transcript_3768 | PsopOBP2 | 193 | complete | Yes | odorant-binding protein [Phenacoccus solenopsis] | 6 × 10−84 | 68.98 | 257 | ALS31064.1 |
| F-M_transcript_33416 | PsopOBP3 | 114 | partial | Yes | odorant-binding protein 19 [Dastarcus helophoroides] | 3 × 10−22 | 44.00 | 95 | AIX97065.1 |
| F-M_transcript_47028 | PsopOBP4 | 181 | partial | no | odorant binding protein 13 [Drosicha corpulenta] | 2 × 10−27 | 40.00 | 111 | ALV87607.1 |
| F-M_transcript_7681 | PsopOBP5 | 166 | complete | no | general odorant-binding protein 56d-like isoform X5 [Venturia canescens] | 6 × 10−9 | 30.65 | 63 | XP_043267484.1 |
| F-M_transcript_5182 | PsopOBP6 | 156 | complete | Yes | odorant-binding protein [Phenacoccus solenopsis] | 1 × 10−38 | 42.67 | 139 | ALS31056.1 |
| F-M_transcript_3939 | PsopOBP7 | 140 | complete | no | odorant binding protein 3, [Drosicha corpulenta] | 1 × 10−9 | 31.03 | 65 | ALV87599.1 |
| F-M_transcript_36157 | PsopOBP8 | 116 | complete | no | odorant binding protein 7 [Drosicha corpulenta] | 2 × 10−14 | 40.00 | 76 | ALV87603.1 |
| F-M_transcript_45404 | PsopOBP9 | 109 | partial | no | odorant-binding protein 5 [Phenacoccus solenopsis] | 9 × 10−6 | 52.17 | 54 | ALS31055.1 |
| F-M_transcript_21658 | PsopOBP10 | 82 | partial | no | odorant binding protein 9 [Drosicha corpulenta] | 2 × 10−22 | 58.82 | 93 | ALV87604.1 |
| F-M_transcript_31593 | PsopOBP11 | 65 | partial | no | odorant-binding protein [Phenacoccus solenopsis] | 2 × 10−17 | 59.68 | 82 | ALS31059.1 |
| Unigene ID | Name | ORF (aa) | Status | TMD | BLAST Annotation | E-Value | Identity (%) | Score | Accesion |
|---|---|---|---|---|---|---|---|---|---|
| F-M_transcript_31952 | PsopOrco | 428 | complete | 6 | olfactory receptor protein 1 [Phenacoccus solenopsis] | 0 | 96.14 | 920 | ANW12106.1 |
| F-M_transcript_35094 | PsopOR1 | 493 | complete | 7 | odorant receptor 17 [Drosicha corpulenta] | 0 | 69.17 | 704 | ALV87632.1 |
| F-M_transcript_51349 | PsopOR2 | 239 | partial | 2 | olfactory receptor protein 2 [Phenacoccus solenopsis] | 1× 10−12 | 31.51 | 77.8 | ANW12107.1 |
| F-M_transcript_37729 | PsopOR3 | 108 | partial | 2 | odorant receptor 8 [Drosicha corpulenta] | 5 × 10−9 | 42.31 | 64.3 | ALV87623.1 |
| F-M_transcript_14069 | PsopOR4 | 65 | partial | 0 | odorant receptor 16 [Drosicha corpulenta] | 2 × 10−13 | 55.38 | 75.1 | ALV87631.1 |
| F-M_transcript_47139 | PsopOR5 | 64 | partial | 0 | odorant receptor 4-like [Aphis craccivora] | 1 × 10−5 | 36.67 | 52.4 | KAF0765716.1 |
| F-M_transcript_45891 | PsopOR6 | 102 | partial | 0 | odorant receptor 20 [Drosicha corpulenta] | 2 × 10−5 | 39.34 | 51.6 | ALV87635.1 |
| F-M_transcript_31667 | PsopOR7 | 83 | partial | 0 | odorant receptor 5 [Drosicha corpulenta] | 2 × 10−13 | 41.46 | 74.3 | ALV87620.1 |
| F-M_transcript_37558 | PsopOR8 | 71 | partial | 0 | odorant receptor 12 [Drosicha corpulenta] | 5 × 10−12 | 45.45 | 66.2 | ALV87627.1 |
| F-M_transcript_44253 | PsopOR9 | 160 | partial | 3 | odorant receptor Or2-like [Schistocerca cancellata] | 1 × 10−14 | 28.67 | 79.3 | XP_049767968.1 |
| F-M_transcript_47849 | PsopOR10 | 387 | partial | 6 | odorant receptor 59a [Drosophila virilis] | 3 × 10−6 | 21.12 | 62.0 | XP_002050827.1 |
| Species | OBPs | ORs | References | ||||
|---|---|---|---|---|---|---|---|
| Classic OBPs | Plus-C OBPs | Minus-C OBPs | Total | ||||
| Scale | 6 | 0 | 0 | 11 | 11 | 11 | This study |
| 10 | 1 | 0 | 16 | 16 | 21 | Gao, 2016 [31] | |
| 15 | 0 | 0 | 15 | 15 | 1 | Zhao, 2016 [30] | |
| Leafhopper | 19 | 21 | 0 | 40 | 40 | 12 | Bian et al., 2018 [45], Lun et al., 2023 [46] |
| 15 | 5 | 0 | 20 | 20 | 1 | Chang et al., 2022 [15], NCBI | |
| Stinkbug | 12 | 4 | 0 | 16 | 16 | 24 | Cui et al., 2017 [47], Cui, 2016 [48] |
| 26 | 12 | 0 | 38 | 38 | 110 | Yuan et al., 2015 [49], An et al., 2016 [25] | |
| 14 | 3 | 0 | 17 | 17 | 88 | Sun et al., 2017 [50], Gu et al., 2011 [51], Xiao et al., 2017 [52] | |
| 32 | 12 | 0 | 44 | 44 | 138 | Sun et al., 2020 [53] | |
| 14 | 5 | 0 | 19 | 19 | 121 | Song et al., 2018 [54], NCBI | |
| Aphid | 13 | 2 | 0 | 15 | 15 | 79 | Zhou et al., 2010 [55], Smadja et al., 2009 [56] |
| 7 | 2 | 0 | 9 | 9 | 33 | Wang et al., 2019 [57], Liu et al., 2022 [27] | |
| 9 | 0 | 0 | 9 | 9 | 45 | Gu et al., 2013 [58] Cao et al., 2014 [59] | |
| Planthopper | 8 | 2 | 0 | 10 | 10 | 141 | Zhou et al., 2014 [60], He et al., 2018 [61] |
| - | - | - | 9 | 9 | 37 | NCBI, He et al., 2018 [62] | |
| 8 | 3 | 1 Atypical OBPs | 12 | 12 | 135 | He & He, 2014 [63], He et al., 2015 [64] | |
| Psylla | 11 | 1 | 0 | 12 | 12 | 7 | Xu et al., 2019 [26] |
| 7 | 2 | 0 | 9 | 9 | 46 | Zhang et al., 2020 [65], Chen, 2016 [66] | |
| Whitefly | 7 | 0 | 1 | 8 | 8 | - | Wang et al., 2017 [67] |
Disclaimer/Publisher’s Note: The statements, opinions and data contained in all publications are solely those of the individual author(s) and contributor(s) and not of MDPI and/or the editor(s). MDPI and/or the editor(s) disclaim responsibility for any injury to people or property resulting from any ideas, methods, instructions or products referred to in the content. |
© 2025 by the authors. Licensee MDPI, Basel, Switzerland. This article is an open access article distributed under the terms and conditions of the Creative Commons Attribution (CC BY) license (https://creativecommons.org/licenses/by/4.0/).
Share and Cite
Wang, Y.; Liu, X.-L.; Dewer, Y.; Jiang, C.-G.; Song, S.; Chen, H.-H. Identification and Characterization of Olfactory Genes in the Cochineal Scale Insect, Porphyrophora sophorae (Hemiptera: Margarodidae). Biology 2025, 14, 1442. https://doi.org/10.3390/biology14101442
Wang Y, Liu X-L, Dewer Y, Jiang C-G, Song S, Chen H-H. Identification and Characterization of Olfactory Genes in the Cochineal Scale Insect, Porphyrophora sophorae (Hemiptera: Margarodidae). Biology. 2025; 14(10):1442. https://doi.org/10.3390/biology14101442
Chicago/Turabian StyleWang, Yan, Xiao-Li Liu, Youssef Dewer, Cai-Ge Jiang, Shuang Song, and Hong-Hao Chen. 2025. "Identification and Characterization of Olfactory Genes in the Cochineal Scale Insect, Porphyrophora sophorae (Hemiptera: Margarodidae)" Biology 14, no. 10: 1442. https://doi.org/10.3390/biology14101442
APA StyleWang, Y., Liu, X.-L., Dewer, Y., Jiang, C.-G., Song, S., & Chen, H.-H. (2025). Identification and Characterization of Olfactory Genes in the Cochineal Scale Insect, Porphyrophora sophorae (Hemiptera: Margarodidae). Biology, 14(10), 1442. https://doi.org/10.3390/biology14101442

