Next Article in Journal
Brain-Derived Estrogen Regulates Neurogenesis, Learning and Memory with Aging in Female Rats
Previous Article in Journal
Identification and Characterization of Infectious Pathogens Associated with Mass Mortalities of Pacific Oyster (Crassostrea gigas) Cultured in Northern China
 
 
Font Type:
Arial Georgia Verdana
Font Size:
Aa Aa Aa
Line Spacing:
Column Width:
Background:
Communication

Population Status of a Regionally Endangered Plant, Lunaria rediviva (Brassicaceae), near the Eastern Border of Its Range

by
Anatoliy A. Khapugin
1,2,* and
Gennadiy G. Chugunov
1,3
1
Joint Directorate of the Mordovia State Nature Reserve and National Park “Smolny”, 430005 Saransk, Russia
2
Institute of Environmental and Agricultural Biology (X-BIO), Tyumen State University, 625003 Tyumen, Russia
3
Department of General Biology and Ecology, Mordovia State University, 430005 Saransk, Russia
*
Author to whom correspondence should be addressed.
Biology 2023, 12(6), 761; https://doi.org/10.3390/biology12060761
Submission received: 28 April 2023 / Revised: 18 May 2023 / Accepted: 22 May 2023 / Published: 23 May 2023
(This article belongs to the Section Conservation Biology and Biodiversity)

Abstract

Simple Summary

This paper is devoted to the study of the Lunaria rediviva population at the eastern border of its range (National Park “Smolny”, Republic of Mordovia, Russia) in 2013–2018. Ontogenetic structure of the population has been identified by distinguishing juvenile, mature vegetative, and reproductive individuals. We found changes in the ontogenetic structure of the population from 2013 to 2018. The type of its population changed from vegetatively oriented to bimodal, with a decrease in proportion of mature vegetative individuals. We found a significant negative correlation between the fruit set and the moisture in mid-July, and wind strength in late May and early June. It was found that the number of both flowers and fruits per individual is significantly positively correlated with the precipitation in late April, and they are negatively correlated with these parameters and the temperature in late July. We assume that the habitat shading negatively influences the L. rediviva population status.

Abstract

Long-term studies of plant populations provide valuable knowledge on the influence of various environmental factors on plant species. The status of edge-range species populations is especially important to be studied due to their higher vulnerability to extinction. This paper aimed to study the Lunaria rediviva population at the eastern border of its range (National Park “Smolny”, Republic of Mordovia, Russia). The study was carried out in 2013–2018. Assessment of the L. rediviva population was performed on the basis of individual parameters of plants (height of the individual, number of leaves per individual, number of inflorescences, flowers, fruits per one generative individual, and the fruit set), and density of individuals. Ontogenetic structure of the population was identified by distinguishing juvenile, mature vegetative, and reproductive individuals. The relationships between weather conditions (mean values of temperature, air moisture, wind strength, precipitation divided to three decades per month) and population parameters of L. rediviva were identified. Results showed changes in the ontogenetic structure of the population. The type of its population changed from vegetatively oriented to bimodal, with a decrease (R2 = 0.686) in the proportion of mature vegetative individuals. We demonstrated a significant decline in some parameters of the L. rediviva reproduction. We found a significant negative correlation between the fruit set and the moisture at mid-July (r = −0.84, p < 0.05), and wind strength in late May (r = −0.83, p < 0.05) and early June (r = −0.83, p < 0.05). It was found that the number of both flowers and fruits per individual is significantly positively correlated with the precipitation in late April, and they negatively correlated with these parameters and the temperature in late July. We assume that the habitat shading negatively influences the L. rediviva population status.

1. Introduction

Although we can see great progress in understanding the causes of the global biodiversity loss, major knowledge gaps still remain. Among these gaps are an uncertainty of how many species are threatened at global, national, and regions levels [1], a lack of data on the impacts of the biodiversity loss on habitat features and species communities, and geographic and taxonomic biases in the available information [2]. To develop a conservation strategy for threatened plant species, the first step includes assessment of conservation status by applying categories and criteria of the IUCN Red List of Threatened Species [3,4,5,6]. It is especially important for species, which are not listed in the Global IUCN Red List. National and regional Red Lists play a valuable role in informing global conservation efforts [7], although there is still a gap between national and global assessor [8,9]. In situ conservation measures are the best methods of biodiversity protection [10]. Of them, Protected Areas are recognised as the best tool for biodiversity and habitat conservation on global scale [11,12].
In various regions of the world, one of the most relevant drivers of species extinction is habitat fragmentation, a worldwide phenomenon recently considered one of the major threats to plant populations [13,14,15] and entire species. Habitat fragmentation often causes a decrease in the size and density of populations, which is reflected in their inclusion in Red Data Books [5,16] or assessing under threatened IUCN Red List categories [17]. Some authors [12,18] also showed that various Protected Area types successfully contribute to the preservation and restoration of plant and animal populations in various regions of the world [19,20]. They serve as survival “islands” for populations of edge-range plant species, which are often smaller and less dense than populations in the centre of the range [21,22], and tend to be less viable and more prone to extinction [21,23]. Based on the abundant-centre model, the population abundance of a species is highest at the centre of its range, and it is decreasing towards the range edges [24,25]. However, some other studies showed that edge-range populations are not less [26] or even more [27] productive compared to ones in the centre of the range.
In the Republic of Mordovia, a region of European Russia, 164 vascular plants are considered threatened, being included in the regional Red Data Book [28]. Then, they were estimated according to the IUCN Red List categories and criteria [29]. It demonstrated the presence of 68 Critically Endangered, 37 Endangered, 21 Vulnerable, 31 Near-Threatened, and 6 Data-Deficient-evaluated vascular plant taxa in the flora of the Republic of Mordovia. This paper is aimed to assess the population status of L. rediviva, a Tertiary relict perennial regionally Endangered species, at the eastern border of its range (Republic of Mordovia, European Russia). We addressed the following questions: (i) What is the status of L. rediviva population at the eastern border of its range? (ii) How do weather conditions influence the state of L. rediviva in the study area?

2. Materials and Methods

2.1. Study Species

Lunaria rediviva L. (Brassicaceae), a Tertiary relict perennial species distributed from Italy and former Yugoslavia (in the south) to the Baltic Sea and Sweden (in the north), and from Portugal (in the west) to the Volga River (in the east) [30,31,32]. It is one of three representatives of this European genus, though having the largest distribution relative to the two other ones. Lunaria rediviva has been introduced to North America, Great Britain, and Sardinia island [32]. Despite the large natural range in Europe, there is a lack of publications devoted to the population status of L. rediviva and factors threatening it, while most of them are in Russian [33,34,35]. This European species inhabits broadleaved forests, and is considered a threatened plant in Eastern Europe, namely some regions of European Russia [15], Belarus [36], and Ukraine [37]. Lunaria rediviva is included in the Red Data Book of the Republic of Mordovia [28] and has recently been assessed as a regionally Endangered species in the Republic of Mordovia, European Russia [29].
Lunaria rediviva is a long-lived perennial plant up to 100–140 cm, which has erect stems. Bottom leaves are opposite, but the upper leaves of mature individuals are alternate. The bottom leaves are ovate with pointed tips and dentate margins. The intermediate leaves are cordate with spinulose-dentate margin, on long petioles. The upper leaves are ovate-acuminate, on short petioles. The inflorescence is panicle and it includes apical and lateral racemes. Each raceme often has from 3 to 18 (sometimes more) flowers. Petals are to 20 mm long, lilac to violet. Siliculae are 35–90 × 15–35 mm, elliptical, rarer ovate-elliptical or elongate-elliptical. Each fruit produces 2–8 seeds [30,33,34].
In the Republic of Mordovia, the population of L. rediviva is located near the eastern edge of its range (Appendix A). It is preserved in forest communities of Protected Areas, including National Park “Smolny”. Lunaria rediviva is included in the Red Data Book of the Republic of Mordovia [28]. In National Park “Smolny”, L. rediviva was found for the first time in 2006 [38]. A preliminary study of this population was carried out only in 2008. It was revealed that this population only contains juvenile and generative individuals [39], which looks to be erroneous.

2.2. Field Studies

In August 2013–2018, field investigations were carried out in National Park “Smolny” (54.874840° N, 45.513740° E; Figure 1 and Figure A1). For this purpose, we established one large (5 m × 5 m) plot, with five square plots (1 m × 1 m), as it is shown in Figure A2. In each plot, all individuals were counted and measured. Assessment of the L. rediviva population status was performed based on the following morphological parameters of individuals: height of the individual, number of leaves per individual, numbers of inflorescences, flowers, fruits per one generative individual, and the fruit set. The density (number of individuals per 1 m2) of L. rediviva per 1 m × 1 m plot was calculated. The population type was identified based on [40].
Based on morphometric data, we distinguished three ontogenetic classes of L. rediviva individuals, namely juvenile (j), mature vegetative (v) (non-flowering adults), and reproductive (g) (flowering adults) according to [33,34]. Comparison of individuals’ parameters for the L. rediviva populations has been carried out for each ontogenetic class.
To reveal weather conditions influencing the L. rediviva conditions, climatic data were extracted from https://rp5.ru/ (accessed on 15 April 2023) for the nearest meteorological station (Alatyr, 54.819900° E, 46.581300° E) for 2013–2018. We used four weather parameters (temperature, air moisture, wind strength, precipitation). We calculated mean values for each decade in a month based on daily values of weather parameters.

2.3. Data Analysis

Statistical analysis was performed using PAST 3.14 [41]. Minitab ver. 18.1 (State College, PA, USA) and Microsoft Excel. The Pearson’s correlation analysis was carried out to find relationships between weather conditions of the ongoing year and population parameters of L. rediviva population. Linear regression was used to determine which weather factors were potentially influencing parameters of the L. rediviva population. In all regressions, weather parameters were independent variables and the population parameters were dependent variables.

3. Results

Near the eastern edge of the natural range, the population of L. rediviva is vegetatively oriented sensu [40]. In the ontogenetic spectrum, non-flowering individuals (juvenile and mature vegetative plants) dominate (Figure 2). Just in 2017 and 2018, the L. rediviva population was characterised as bimodal, when the numbers of reproductive and vegetative individuals were approximately the same.
Accordingly, with an increase in the proportion of reproductive individuals in the ontogenetic structure in 2017, the density of non-flowering plants was the lowest in this year (Figure 3). The mean density of reproductive individuals was stable (R2 = 0.0367) during the study period, while we found the decrease in mature vegetative individuals (R2 = 0.6863) with the lowest value in 2017 and a slight increase in 2018. During 2013–2018, the density of juvenile individuals increased considerably up to the maximum (7.4 individuals per 1 m2) in 2015, with consequent decrease to the same value (2.4 individuals per 1 m2) in 2018.
The morphological parameters of reproductive individuals changed annually in the studied population (Figure 4). Despite the variation found in the values, we can see that the number of inflorescences, flowers, and fruits per individual in 2018 was considerably lower than it was in 2013. The reasons of this finding are yet to be clarified in further studies, but we can see that the fruit set of the L. rediviva population also decreased over six years of the study (Figure 4).
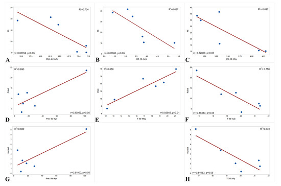
In an attempt to find out the relationships between the decrease in L. rediviva reproduction and weather conditions, we conducted a correlation analysis (Figure 5). There was a significant negative relationship between the fruit set and the moisture at mid-July (r = −0.84, p < 0.05), and wind strength in late May (r = −0.83, p < 0.05) and early June (r = −0.83, p < 0.05) (Figure 5A–C). There was a significant positive relationship between the number of both flowers and fruits per individual and the precipitation in late April (Figure 5D,G), while there was a significant negative relationship between these parameters and the temperature in late July (Figure 5F,H). Finally, we found a significant positive relationship (r = 0.93, p < 0.01) between the temperature in late May and the total density of L. rediviva individuals (Figure 5E).

4. Discussion

Lunaria rediviva is a threatened, but poorly studied, plant species. There is a lack of data on its population status and environmental preferences. The previous studies in the Tver Region [34] and the Republic of Mordovia [42] were short-term by presenting data about just a few sites within the L. rediviva range. Here, we present a long-term study of its population status, preserved within a Protected Area at the east of its range.
In plant populations, the ontogenetic structure is often stable for one species (e.g., Pyrola chlorantha [43], Dracocephalum fruticulosum [44]) over a certain study period, with some fluctuations. Under unfavourable conditions, the ontogenetic structure of some perennial plants can be changed (e.g., orchids [40], Pulsatilla vernalis, see [45]). Consistent with the latter case, we demonstrated the changes in the population type from vegetatively oriented to bimodal (sensu [40]) starting since 2017. The changes are also supported by decrease in density of mature vegetative individuals over 2013–2018. We tend to explain these results by shading processes in the studied habitat through the understorey overgrowth, which is consistent with data from the Mordovia State Nature Reserve [35], where it was assumed that the habitat shading by Acer-Ulmus undergrowth is the most unfavourable factor for L. rediviva due to the penetration of grasses from meadow communities adjacent to the L. rediviva site. For the Central Forest State Nature Reserve, the decrease in density of L. rediviva individuals by 3.1–3.7 times, depending on the site, was demonstrated [34]. To be completely sure, the further special studies of this influence are needed. However, these changes in ontogenetic spectrum can be a part of long-term fluctuations in the ontogenetic structure of L. rediviva population.
The pollinators of L. rediviva are predominantly bees, bumblebees, and butterflies [33]. This can explain the obtained decrease in the fruit set (Figure 3) with increase in the wind strength, since the wind hinders the insects in pollination. At the same time, drier conditions lead to the fruit set decline at the time of the fruit setting and ripening (second decade of July). The sufficient precipitation amount at early stages of the growing season is important for further plant development [46,47]. This was supported by our findings of the positive contribution of the precipitation in late April (the time of L. rediviva seed germination) to the high number of flowers and then fruits in the studied population.
At present, it is difficult to explain reasons of decreasing in the number of fruits with increase in the late-July temperature. We assume that the decline in fruit number may be contributed by the more active development of Adela rufimitrella Scopoli, 1763 larvae under higher temperature at the moment of the L. rediviva fruit setting. Larvae of this moth are fed by the seeds of Brassicaceae species [33,48]. Further studies are needed to test our assumption.

5. Conclusions

The obtained results demonstrate the significant decline in parameters (i.e., fruit set, number of fruits) of the L. rediviva reproduction in a population at the eastern edge of its range. This highlights an alarming situation with the population status of this plant species. Taking into account that in various parts of its range L. rediviva is characterised by vegetative reproduction, the decline in proportion of mature vegetative individuals may further lead to the change of its regional IUCN Red List status from “Endangered” (at present) to “Critically Endangered”. However, we must note this change refers to the conservation status of L. rediviva on the local scale, since at the global scale the taxon is not catalogued. We found that weather conditions impact mainly parameters of reproductive individuals. Although we found the influence of weather conditions on population parameters of L. rediviva, we also assume the negative impact of the habitat shading by understorey species overgrowth. Further investigations are proposed in this direction.

Author Contributions

Conceptualization, A.A.K. and G.G.C.; methodology, A.A.K. and G.G.C.; software, A.A.K.; validation, A.A.K.; formal analysis, A.A.K.; investigation, A.A.K. and G.G.C.; resources, G.G.C.; data curation, A.A.K. and G.G.C.; writing—original draft preparation, A.A.K.; writing—review and editing, A.A.K. and G.G.C.; visualization, A.A.K.; supervision, A.A.K.; project administration, A.A.K. and G.G.C.; funding acquisition, A.A.K. and G.G.C. All authors have read and agreed to the published version of the manuscript.

Funding

This research was funded by the state assignment FEWZ-2020-0009 from Ministry of Education and Science of the Russian Federation, and the state assignment 2-22-31-2 from the Ministry of Natural Resources and Ecology of the Russian Federation.

Institutional Review Board Statement

Not applicable.

Informed Consent Statement

Not applicable.

Data Availability Statement

The data presented in this study are available on request from the corresponding author.

Conflicts of Interest

The authors declare no conflict of interest.

Appendix A

Figure A1. The position of the study area (National Park “Smolny”; marked by red diamond) within the natural range of Lunaria redivia in Europe. Source: the map was exported from GBIF depository (https://www.gbif.org/, accessed on 20 April 2023).
Figure A1. The position of the study area (National Park “Smolny”; marked by red diamond) within the natural range of Lunaria redivia in Europe. Source: the map was exported from GBIF depository (https://www.gbif.org/, accessed on 20 April 2023).
Biology 12 00761 g0a1
Figure A2. The scheme of 1 m × 1 m plots (designated by numbers 1–5) positions within a large (5 m × 5 m) plot for investigating the Lunaria rediviva population near the eastern edge of its range (European Russia).
Figure A2. The scheme of 1 m × 1 m plots (designated by numbers 1–5) positions within a large (5 m × 5 m) plot for investigating the Lunaria rediviva population near the eastern edge of its range (European Russia).
Biology 12 00761 g0a2

References

  1. Díaz, S.; Settele, J.; Brondízio, E.S.; Ngo, H.T.; Agard, J.; Arneth, A.; Balvanera, P.; Brauman, K.A.; Butchart, S.H.M.; Chan, K.M.A.; et al. Pervasive human-driven decline of life on Earth points to the need for transformative change. Science 2019, 366, eaax3100. [Google Scholar] [CrossRef] [PubMed]
  2. Tydecks, L.; Jeschke, J.M.; Wolf, M.; Singer, G.; Tockner, K. Spatial and topical imbalances in biodiversity research. PLoS ONE 2018, 13, e0199327. [Google Scholar] [CrossRef] [PubMed]
  3. De Grammont, P.C.; Cuarón, A.D. An Evaluation of Threatened Species Categorization Systems Used on the American Continent. Conserv. Biol. 2006, 20, 14–27. [Google Scholar] [CrossRef] [PubMed]
  4. Hoffmann, M.; Brooks, T.M.; Da Fonseca, G.A.B.; Gascon, C.; Hawkins, A.F.A.; James, R.E.; Langhammer, P.; Mittermeier, R.A.; Pilgrim, J.D.; Rodrigues, A.S.L.; et al. Conservation planning and the IUCN Red List. Endanger. Species Res. 2008, 6, 113–125. [Google Scholar] [CrossRef]
  5. Linnik, E.V.; Khapugin, A.A. Status of Tilia maximowicziana (Malvaceae s.l.) in Russia. Nat. Conserv. Res. 2020, 5, 97–102. [Google Scholar] [CrossRef]
  6. Wagensommer, R.P.; Medagli, P.; Turco, A.; Perrino, E.V. IUCN Red List evaluation of the Orchidaceae endemic to Apulia (Italy) and considerations on the application of the IUCN protocol to rare species. Nat. Conserv. Res. 2020, 5 (Suppl. S1), 90–101. [Google Scholar] [CrossRef]
  7. Rodríguez, J.P.; Ashenfelter, G.; Rojas-Suárez, F.; García Fernández, J.J.; Suárez, L.; Dobson, A.P. Local data are vital to worldwide conservation. Nature 2000, 403, 241. [Google Scholar] [CrossRef]
  8. Miller, R.M.; Rodríguez, J.P.; Aniskowicz-Fowler, T.; Bambaradeniya, C.; Boles, R.; Eaton, M.A.; Gärdenfors, U.; Keller, V.; Molur, S.; Walker, S.; et al. National threatened species listing based on IUCN criteria and regional guidelines: Current status and future perspectives. Conserv. Biol. 2007, 21, 684–696. [Google Scholar] [CrossRef]
  9. Mendoza-Fernández, A.J.; Mota, J.F. Red Lists versus nature protection Acts: New analytical and numerical method to test threat trends. Biodivers. Conserv. 2016, 25, 239–260. [Google Scholar] [CrossRef]
  10. Jiang, Y.; Kang, M.Y.; Gao, Q.Z.; He, L.H.; Xiong, M.; Jia, Z.B.; Jin, Z.P. Impact of land use on plant biodiversity and measures for biodiversity conservation in the Loess Plateau in China—A case study in a hilly-gully region of the Northern Loess Plateau. Biodivers. Conserv. 2003, 12, 2121–2133. [Google Scholar] [CrossRef]
  11. González-Roglich, M.; Villarreal, D.; Castro, M.G. Assessment of Parque Luro Reserve effectiveness as a conservation tool for the Pampean Caldenal: Landscape scale vegetation change between 1960 and 2004. Ecol. Austral 2012, 22, 11–21. [Google Scholar]
  12. Alexandrov, V.V.; Milchakova, N.A. Do Protected Areas influence populations of the threatened red alga Phyllophora crispa along the southwestern coast of Crimea (the Black Sea)? Nat. Conserv. Res. 2022, 7, 70–83. [Google Scholar] [CrossRef]
  13. Eriksson, O.; Ehrlen, J. Landscape fragmentation and the viability of plant populations. In Integrating Ecology and Evolution in a Spatial Context; Silvertown, J., Antonovics, J., Eds.; Blackwell: Oxford, UK, 2001; pp. 157–175. [Google Scholar]
  14. Oostermeijer, J.G.B. Threats to Rare Plant Persistence. In Population Viability in Plants. Ecological Studies; Brigham, C.A., Schwartz, M.W., Eds.; Springer: Berlin/Heidelberg, Germany, 2003; Volume 165, pp. 17–58. [Google Scholar] [CrossRef]
  15. Khapugin, A.A.; Kuzmin, I.V.; Silaeva, T.B. Anthropogenic drivers leading to regional extinction of threatened plants: Insights from regional Red Data Books of Russia. Biodivers. Conserv. 2020, 29, 2765–2777. [Google Scholar] [CrossRef]
  16. Stefanaki, A.; Kantsa, A.; Tscheulin, T.; Charitonidou, M.; Petanidou, T. Lessons from Red Data Books: Plant Vulnerability Increases with Floral Complexity. PLoS ONE 2015, 10, e0138414. [Google Scholar] [CrossRef] [PubMed]
  17. Feeley, K.J.; Silman, M.R. Extinction risks of Amazonian plant species. Proc. Natl. Acad. Sci. USA 2009, 106, 12382–12387. [Google Scholar] [CrossRef]
  18. Siqueira, W.K.; Moura, A.L.; Perea, R.; Alves, M.J.P.; Fernandes, G.W. The role of Baccharis (Asteraceae) shrubs in the short-term restoration of Atlantic rainforest. Nat. Conserv. Res. 2022, 7, 42–53. [Google Scholar] [CrossRef]
  19. Salkina, G.P.; Poddubnaya, N.Y.; Kolesnikov, V.S.; Nikandrova, V.A. Panthera tigris altaica (Carnivora, Felidae) in the Lazovsky State Nature Reserve and in the adjacent non-protected area (Far East of Russia). Nat. Conserv. Res. 2022, 7, 97–108. [Google Scholar] [CrossRef]
  20. Liu, J.; Linderman, M.; Ouyang, Z.; An, L.; Yang, J.; Zhang, H. Ecological degradation in protected areas: The case of Wolong Nature Reserve for giant pandas. Science 2001, 292, 98–101. [Google Scholar] [CrossRef]
  21. Gaston, K. The Structure and Dynamics of Geographic Ranges; Oxford University Press: Oxford, UK, 2003. [Google Scholar]
  22. Reed, H.R. Relationship between population size and fitness. Conserv. Biol. 2004, 19, 563–568. [Google Scholar] [CrossRef]
  23. Channell, R. The conservation value of peripheral populations: The supporting science. In Proceedings of the Species at Risk 2004 Pathways to Recovery Conference, Victoria, BC, USA, 2–6 March 2004; Hooper, T.D., Ed.; pp. 1–17. [Google Scholar]
  24. Hengeveld, R.; Haeck, J. The distribution of abundance. I. Measurements. J. Biogeogr. 1982, 9, 303–316. [Google Scholar] [CrossRef]
  25. Brown, J.H.; Stevens, G.C.; Kaufman, D.M. The geographic range: Size, shape, boundaries, and internal structure. Annu. Rev. Ecol. Syst. 1996, 27, 597–623. [Google Scholar] [CrossRef]
  26. Yakimowski, S.B.; Eckert, C.G. Threatened Peripheral Populations in Context: Geographical Variation in Population Frequency and Size and Sexual Reproduction in a Clonal Woody Shrub. Conserv. Biol. 2007, 21, 811–822. [Google Scholar] [CrossRef] [PubMed]
  27. Kluth, C.; Bruelheide, H. Central and peripheral Hornungia petraea populations: Patterns and dynamics. J. Ecol. 2005, 93, 584–595. [Google Scholar] [CrossRef]
  28. Silaeva, T.B. Red Data Book of the Republic of Mordovia, Volum 1: Rare Species of Plants and Fungi, 2nd ed.; Publisher of the Mordovia State University: Saransk, Russia, 2017. [Google Scholar]
  29. Khapugin, A.A.; Silaeva, T.B.; Vargot, E.V.; Chugunov, G.G.; Grishutkina, G.A.; Grishutkin, O.G.; Pismarkina, E.V.; Orlova, J.S. Estimation of taxa included in the first volume of the Red Data Book of the Republic of Mordovia (Russia) using the IUCN Red List Categories and Criteria. Nat. Conserv. Res. 2017, 2 (Suppl. S1), 164–189. [Google Scholar] [CrossRef]
  30. Ball, P.W. Lunaria L. In Flora Europaea. 1. Psilotaceae to Platanaceae, 2nd ed.; Tutin, T.G., Burges, N.A., Chater, A.O., Edmondson, J.R., Heywood, V.H., Moore, D.M., Valentine, D.H., Walters, S.M., Webb, D.A., Eds.; Cambridge University Press: Cambridge, UK, 1993; Volume 1, p. 358. [Google Scholar]
  31. Dorofeyev, V.I. Cruciferae of European Russia. Turczaninowia 2002, 5, 5–114. [Google Scholar]
  32. POWO. Plants of the World Online. Facilitated by the Royal Botanic Gardens. 2023. Available online: http://www.plantsoftheworldonline.org (accessed on 20 April 2023).
  33. Romanova, V.A. Perennial honesty. In Biological Flora of Moscow Region; Rabotnov, T.A., Ed.; Moscow State University: Moscow, Russia, 1983; Volume 7, pp. 98–110. [Google Scholar]
  34. Markov, M.V. Geography and ecology of Lunaria rediviva. Vestn. Tver State Univ. Geogr. Geoecol. Ser. 2011, 1, 68–89. [Google Scholar]
  35. Sanaeva, L.V. The dynamics of plant communities and groupings, which include rare and endangered species of vascular plants. Mordovia Univ. Bull. 2011, 4, 56–89. [Google Scholar]
  36. Blazhevich, R.Y. Lunaria rediviva L. In Red Data Book of the Republic of Belarus: Rare and Endangered Species of Wild Plants; BelEn: Minsk, Belarus, 2005; pp. 88–89. [Google Scholar]
  37. Didukh, Y.P. Lunaria rediviva L. In Red Data Book of Ukraine. Plant World; Globalkonsalting: Kiev, Ukraine, 2009; p. 373. [Google Scholar]
  38. Silaeva, T.B.; Kiryukhin, I.V.; Pismarkina, E.V.; Barmin, N.A.; Chugunov, G.G.; Ageeva, A.M.; Vargot, E.V.; Grishutkina, G.A.; Smirnov, V.M. Rare Plants and Fungi: Materials for Maintenance of the Red Data Book of the Republic of Mordovia for 2006; Publisher of the Mordovia State University: Saransk, Russia, 2006. [Google Scholar]
  39. Shigaeva, A.Y.; Bolshakov, S.Y.; Silaeva, T.B.; Chugunov, G.G. About the populations of Bupleurum aureum Fisch. ex Hoffm. and Lunaria rediviva L. in the National Park “Smolny” (Republic of Mordovia). Mordovia Univ. Bull. 2009, 1, 213–217. [Google Scholar]
  40. Gorchakovskii, P.L.; Igosheva, N.I. Monitoring of Orchid Populations in a Unique Area of Their Concentration in the Middle Urals. Russ. J. Ecol. 2003, 34, 363–369. [Google Scholar] [CrossRef]
  41. Hammer, Ø.; Harper, D.A.T.; Ryan, P.D. PAST: Paleontological statistics software package for education and data analysis. Palaeontol. Electron. 2001, 4, 9. [Google Scholar]
  42. Khapugin, A.A.; Chugunov, G.G. Two populations of Lunaria rediviva L. (Cruciferae Juss.) at the eastern edge of its range. Wulfenia 2015, 22, 83–94. [Google Scholar]
  43. Ilyina, V.; Senator, S.; Mitroshenkova, A.; Kozlovskaya, O.; Kazantsev, I. Population Structure of Pyrola chlorantha (Family Ericaceae) at the Southern Range Margin (Samara Region, Russia). Int. J. Plant Biol. 2022, 13, 634–643. [Google Scholar] [CrossRef]
  44. Denisova, G.R.; Cheryomushkina, V.A.; Astashenkov, A.Y.; Talovskaya, E.B. Ontogenetic structure dynamics of coenopopulations of Dracocephalum fruticulosum Stephan (Lamiaceae, Magnoliópsida) in Tuva. Povolzhskiy J. Ecol. 2022, 3, 255–267. [Google Scholar] [CrossRef]
  45. Grzyl, A.; Kiedrzyński, M.; Zielińska, K.M.; Rewicz, A. The relationship between climatic conditions and generative reproduction of a lowland population of Pulsatilla vernalis: The last breath of a relict plant or a fluctuating cycle of regeneration? Plant Ecol. 2014, 215, 457–466. [Google Scholar] [CrossRef]
  46. Zeppel, M.J.B.; Wilks, J.V.; Lewis, J.D. Impacts of extreme precipitation and seasonal changes in precipitation on plants. Biogeosciences 2014, 11, 3083–3093. [Google Scholar] [CrossRef]
  47. Nafus, M.G.; Tuberville, T.D.; Buhlmann, K.A.; Todd, B.D. Precipitation quantity and timing affect native plant production and growth of a key herbivore, the desert tortoise, in the Mojave Desert. Clim. Chang. Responses 2017, 4, 4. [Google Scholar] [CrossRef]
  48. Davy, A.J.; Scott, R.; Cordazzo, C.V. Biological flora of the British Isles: Cakile maritima Scop. J. Ecol. 2006, 94, 695–711. [Google Scholar] [CrossRef]
Figure 1. Geographical location of a Lunaria rediviva population studied in the National Park “Smolny” (European Russia). Map with modifications from https://www.eea.europa.eu/data-and-maps/figures/physical-map-of-eurasia (accessed on 18 May 2023).
Figure 1. Geographical location of a Lunaria rediviva population studied in the National Park “Smolny” (European Russia). Map with modifications from https://www.eea.europa.eu/data-and-maps/figures/physical-map-of-eurasia (accessed on 18 May 2023).
Biology 12 00761 g001
Figure 2. Dynamics of the ontogenetic structure of the Lunaria rediviva population in the Republic of Mordovia (Russia) in 2013–2018. Designation of ontogenetic classes: j%—juvenile individuals, v%—mature vegetative individuals, g%—reproductive individuals.
Figure 2. Dynamics of the ontogenetic structure of the Lunaria rediviva population in the Republic of Mordovia (Russia) in 2013–2018. Designation of ontogenetic classes: j%—juvenile individuals, v%—mature vegetative individuals, g%—reproductive individuals.
Biology 12 00761 g002
Figure 3. The density of Lunaria rediviva individuals per each ontogenetic class in 2013–2018 at the eastern edge of its range (Republic of Mordovia, Russia). Designations: jD—density of juvenile individuals, vD—density of mature vegetative individuals, gD—density of reproductive individuals; n—the total number of individuals counted in the study area per year.
Figure 3. The density of Lunaria rediviva individuals per each ontogenetic class in 2013–2018 at the eastern edge of its range (Republic of Mordovia, Russia). Designations: jD—density of juvenile individuals, vD—density of mature vegetative individuals, gD—density of reproductive individuals; n—the total number of individuals counted in the study area per year.
Biology 12 00761 g003
Figure 4. Characteristics of the reproduction for the Lunaria rediviva population at the eastern edge of its range (Republic of Mordovia, Russia). Designations: (A)—Number of fruits per individual, (B)—Number of flowers per individual, (C)—Number of flowers per inflorescence, (D)—Number of inflorescences per individual, (E)—Fruit set calculated as (number of flowers/number of fruits) × 100%. Designations of box-plots: the bottom and top of the boxes are the first and third quartiles; the bands inside the boxes are the median; the red dots inside the boxes are the mean value; whiskers extend to within 1.5 times the interquartile ranges; asterisks beyond the whiskers are outliers. The number of reproductive individuals per year as follows: 2013—23 individuals, 2014—19 individuals, 2015—22 individuals, 2016—21 individuals, 2017—19 individuals, 2018—22 individuals.
Figure 4. Characteristics of the reproduction for the Lunaria rediviva population at the eastern edge of its range (Republic of Mordovia, Russia). Designations: (A)—Number of fruits per individual, (B)—Number of flowers per individual, (C)—Number of flowers per inflorescence, (D)—Number of inflorescences per individual, (E)—Fruit set calculated as (number of flowers/number of fruits) × 100%. Designations of box-plots: the bottom and top of the boxes are the first and third quartiles; the bands inside the boxes are the median; the red dots inside the boxes are the mean value; whiskers extend to within 1.5 times the interquartile ranges; asterisks beyond the whiskers are outliers. The number of reproductive individuals per year as follows: 2013—23 individuals, 2014—19 individuals, 2015—22 individuals, 2016—21 individuals, 2017—19 individuals, 2018—22 individuals.
Biology 12 00761 g004
Figure 5. Selected significant relationships between weather conditions and parameters of the Lunaria rediviva population at the eastern edge of its range (Republic of Mordovia, Russia). Designations: the fruit set (FS) correlations with (A) the precipitation at the second decade of July (Mois-2d-July), (B) wind strength at the first decade of June (WS-1d-June), and (C) in the third decade of May (WS-3d-May); correlations of the number of flowers per individual (fl/ind) with (D) the precipitation at the third decade of April (Prec-3d-Apr) and (F) the temperature at the third decade of July (T-3d-July); correlations of the number of fruits per individual (fru/ind) with (G) the precipitation at the third decade of April (Prec-3d-Apr) and (H) the temperature at the third decade of July (T-3d-July); the correlation of the total density of individuals (Dtot) and the temperature at the third decade of May (T-3d-May) (E).
Figure 5. Selected significant relationships between weather conditions and parameters of the Lunaria rediviva population at the eastern edge of its range (Republic of Mordovia, Russia). Designations: the fruit set (FS) correlations with (A) the precipitation at the second decade of July (Mois-2d-July), (B) wind strength at the first decade of June (WS-1d-June), and (C) in the third decade of May (WS-3d-May); correlations of the number of flowers per individual (fl/ind) with (D) the precipitation at the third decade of April (Prec-3d-Apr) and (F) the temperature at the third decade of July (T-3d-July); correlations of the number of fruits per individual (fru/ind) with (G) the precipitation at the third decade of April (Prec-3d-Apr) and (H) the temperature at the third decade of July (T-3d-July); the correlation of the total density of individuals (Dtot) and the temperature at the third decade of May (T-3d-May) (E).
Biology 12 00761 g005
Disclaimer/Publisher’s Note: The statements, opinions and data contained in all publications are solely those of the individual author(s) and contributor(s) and not of MDPI and/or the editor(s). MDPI and/or the editor(s) disclaim responsibility for any injury to people or property resulting from any ideas, methods, instructions or products referred to in the content.

Share and Cite

MDPI and ACS Style

Khapugin, A.A.; Chugunov, G.G. Population Status of a Regionally Endangered Plant, Lunaria rediviva (Brassicaceae), near the Eastern Border of Its Range. Biology 2023, 12, 761. https://doi.org/10.3390/biology12060761

AMA Style

Khapugin AA, Chugunov GG. Population Status of a Regionally Endangered Plant, Lunaria rediviva (Brassicaceae), near the Eastern Border of Its Range. Biology. 2023; 12(6):761. https://doi.org/10.3390/biology12060761

Chicago/Turabian Style

Khapugin, Anatoliy A., and Gennadiy G. Chugunov. 2023. "Population Status of a Regionally Endangered Plant, Lunaria rediviva (Brassicaceae), near the Eastern Border of Its Range" Biology 12, no. 6: 761. https://doi.org/10.3390/biology12060761

APA Style

Khapugin, A. A., & Chugunov, G. G. (2023). Population Status of a Regionally Endangered Plant, Lunaria rediviva (Brassicaceae), near the Eastern Border of Its Range. Biology, 12(6), 761. https://doi.org/10.3390/biology12060761

Note that from the first issue of 2016, this journal uses article numbers instead of page numbers. See further details here.

Article Metrics

Back to TopTop