Are Plant–Soil Feedbacks Caused by Many Weak Microbial Interactions?
Abstract
:Simple Summary
Abstract
1. Introduction
- To compare the effects of site, year, soil location (bulk vs. rhizosphere), and plant identify on soil microbial composition.
- To test for a correlation between the microbial composition associated with different species and subsequent plant growth.
2. Methods
2.1. Study Sites
2.2. Experimental Design
2.3. Soil Sampling
2.4. DNA Extraction
2.5. Statistical Analyses
3. Results
3.1. Microbial Community Composition
3.2. Effects of Site, Year, and Soil Location
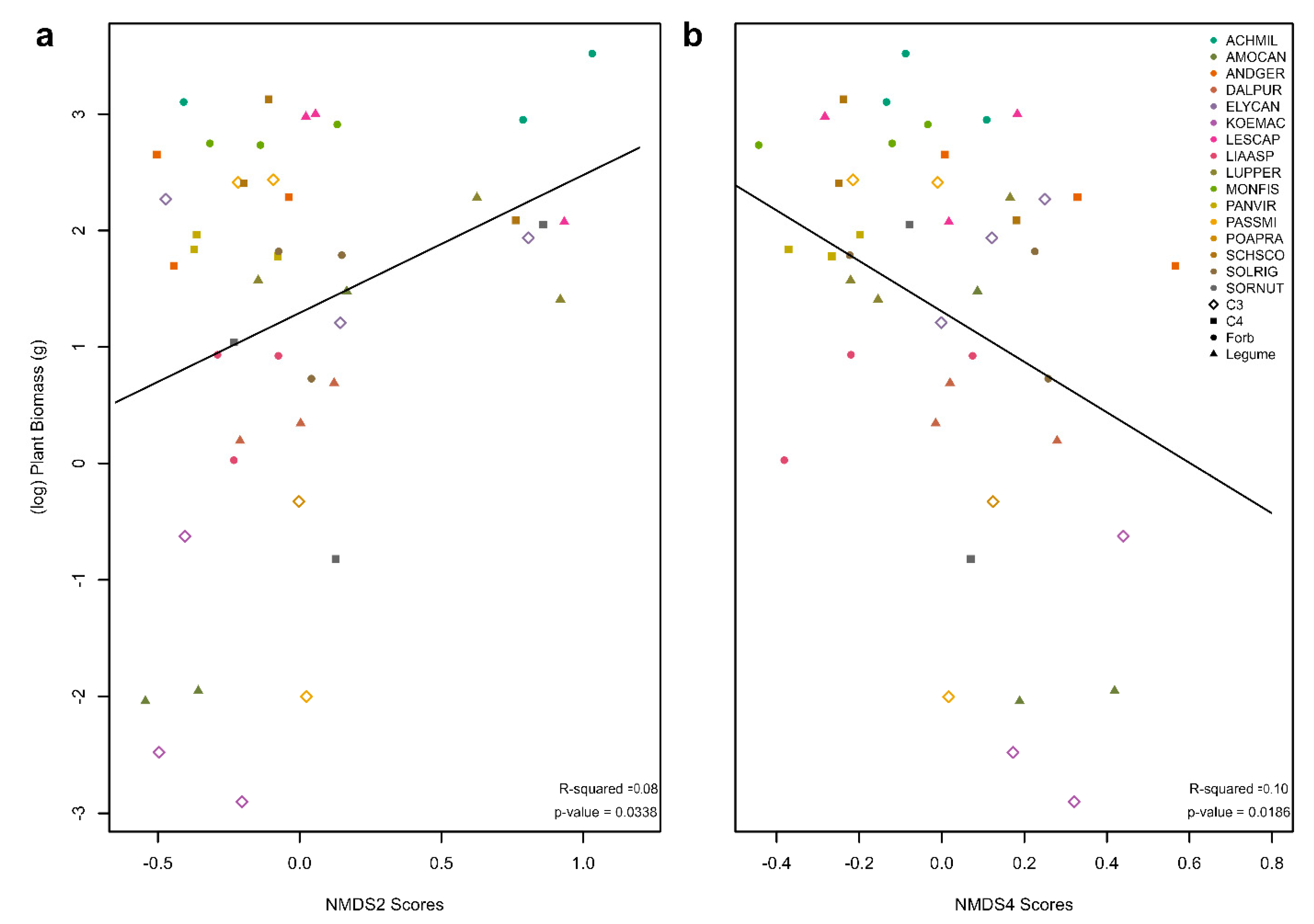
3.3. Relationship between Microbial Communities and Plant Biomass
4. Discussion
5. Conclusions
- The variation in microbial communities was greatest where the long-term effects of soil type and climate can accumulate, but the shorter-term effects of weather and plant growth were also detectable.
- There was little evidence at any treatment level that differences associated with treatments were caused by a few soil organisms [60,72]. Instead, evidence across treatments suggested that large, diverse assemblages of soil organisms interact to define the soil microbial community structure and the effect on plant growth.
- The management implication for this finding is that whole-soil manipulations may be necessary to manage plant growth through soil microbial communities. Whole-soil inoculations, soil amendments such as biochar, compost, or activated carbon, and crop rotation may be more effective than single-organism inoculations [25,62,64].
Author Contributions
Funding
Institutional Review Board Statement
Informed Consent Statement
Data Availability Statement
Conflicts of Interest
Appendix A
Appendix B


References
- Kulmatiski, A.; Beard, K.H.; Stevens, J.R.; Cobbold, S.M. Plant-Soil Feedbacks: A Meta-Analytical Review. Ecol. Lett. 2008, 11, 980–992. [Google Scholar] [CrossRef]
- Pernilla Brinkman, E.; Van der Putten, W.H.; Bakker, E.; Verhoeven, K.J.F. Plant–Soil Feedback: Experimental Approaches, Statistical Analyses and Ecological Interpretations. J. Ecol. 2010, 98, 1063–1073. [Google Scholar] [CrossRef]
- van der Putten, W.H.; Bardgett, R.D.; Bever, J.D.; Bezemer, T.M.; Casper, B.B.; Fukami, T.; Kardol, P.; Klironomos, J.N.; Kulmatiski, A.; Schweitzer, J.A.; et al. Plant-Soil Feedbacks: The Past, the Present and Future Challenges. J. Ecol. 2013, 101, 265–276. [Google Scholar] [CrossRef]
- Mills, K.E.; Bever, J.D. Maintenance of Diversity within Plant Communities: Soil Pathogens as Agents of Negative Feedback. Ecology 1998, 79, 1595–1601. [Google Scholar] [CrossRef]
- Rinella, M.J.; Reinhart, K.O. Toward More Robust Plant-soil Feedback Research. Ecology 2018, 99, 550–556. [Google Scholar] [CrossRef]
- Bever, J.D. Feeback between Plants and Their Soil Communities in an Old Field Community. Ecology 1994, 75, 1965–1977. [Google Scholar] [CrossRef]
- Abbott, K.C.; Eppinga, M.B.; Umbanhowar, J.; Baudena, M.; Bever, J.D. Microbiome Influence on Host Community Dynamics: Conceptual Integration of Microbiome Feedback with Classical Host–Microbe Theory. Ecol. Lett. 2021, 24, 2796–2811. [Google Scholar] [CrossRef]
- Ehrenfeld, J.G.; Ravit, B.; Elgersma, K. Feedback in the Plant-Soil System. Annu. Rev. Environ. Resour. 2005, 30, 75–115. [Google Scholar] [CrossRef]
- Kyle, G.P.; Beard, K.H.; Kulmatiski, A. Reduced Soil Compaction Enhances Establishment of Non-Native Plant Species. Plant Ecol. 2007, 193, 223–232. [Google Scholar] [CrossRef]
- De Long, J.R.; Fry, E.L.; Veen, G.F.; Kardol, P. Why Are Plant–Soil Feedbacks so Unpredictable, and What to Do about It? Funct. Ecol. 2019, 33, 118–128. [Google Scholar] [CrossRef]
- Kardol, P.; De Deyn, G.B.; Laliberté, E.; Mariotte, P.; Hawkes, C. V Biotic Plant–Soil Feedbacks across Temporal Scales. J. Ecol. 2013, 101, 309–315. [Google Scholar] [CrossRef]
- Roesch, L.F.W.; Fulthorpe, R.R.; Riva, A.; Casella, G.; Hadwin, A.K.M.; Kent, A.D.; Daroub, S.H.; Camargo, F.A.O.; Farmerie, W.G.; Triplett, E.W. Pyrosequencing Enumerates and Contrasts Soil Microbial Diversity. ISME J. 2007, 1, 283–290. [Google Scholar] [CrossRef]
- Wagg, C.; Bender, S.F.; Widmer, F.; Van Der Heijden, M.G.A. Soil Biodiversity and Soil Community Composition Determine Ecosystem Multifunctionality. Proc. Natl. Acad. Sci. USA 2014, 111, 5266–5270. [Google Scholar] [CrossRef]
- Maron, P.-A.; Mougel, C.; Ranjard, L. Soil Microbial Diversity: Methodological Strategy, Spatial Overview and Functional Interest. Comptes Rendus Biol. 2011, 334, 403–411. [Google Scholar] [CrossRef]
- Schlatter, D.C.; Bakker, M.G.; Bradeen, J.M.; Kinkel, L.L. Plant Community Richness and Microbial Interactions Structure Bacterial Communities in Soil. Ecology 2015, 96, 134–142. [Google Scholar] [CrossRef] [PubMed]
- Schnitzer, S.A.; Klironomos, J.N.; HilleRisLambers, J.; Kinkel, L.L.; Reich, P.B.; Xiao, K.; Rillig, M.C.; Sikes, B.A.; Callaway, R.M.; Mangan, S.A.; et al. Soil Microbes Drive the Classic Plant Diversity–Productivity Pattern. Ecology 2011, 92, 296–303. [Google Scholar] [CrossRef] [PubMed]
- Semchenko, M.; Barry, K.E.; de Vries, F.T.; Mommer, L.; Moora, M.; Maciá-Vicente, J.G. Deciphering the Role of Specialist and Generalist Plant–Microbial Interactions as Drivers of Plant–Soil Feedback. New Phytol. 2022, 234, 1929–1944. [Google Scholar] [CrossRef] [PubMed]
- Bauer, J.T.; Blumenthal, N.; Miller, A.J.; Ferguson, J.K.; Reynolds, H.L. Effects of Between-Site Variation in Soil Microbial Communities and Plant-Soil Feedbacks on the Productivity and Composition of Plant Communities. J. Appl. Ecol. 2017, 54, 1028–1039. [Google Scholar] [CrossRef]
- Herrera Paredes, S.; Lebeis, S.L. Giving Back to the Community: Microbial Mechanisms of Plant–Soil Interactions. Funct. Ecol. 2016, 30, 1043–1052. [Google Scholar] [CrossRef]
- Van der Putten, W.H.; Van Dijk, C.; Peters, B.A.M. Plant-Specific Soil-Borne Diseases Contribute to Succession in Foredune Vegetation. Nature 1993, 362, 53–56. [Google Scholar] [CrossRef]
- Spear, E.R.; Broders, K.D. Host-generalist Fungal Pathogens of Seedlings May Maintain Forest Diversity via Host-specific Impacts and Differential Susceptibility among Tree Species. New Phytol. 2021, 231, 460–474. [Google Scholar] [CrossRef]
- Maciá-Vicente, J.G.; Popa, F. Local Endemism and Ecological Generalism in the Assembly of Root-colonizing Fungi. Ecol. Monogr. 2022, 92, e01489. [Google Scholar] [CrossRef]
- Ke, P.-J.; Miki, T.; Ding, T.-S. The Soil Microbial Community Predicts the Importance of Plant Traits in Plant–Soil Feedback. New Phytol. 2015, 206, 329–341. [Google Scholar] [CrossRef] [PubMed]
- Compant, S.; Clément, C.; Sessitsch, A. Plant Growth-Promoting Bacteria in the Rhizo-and Endosphere of Plants: Their Role, Colonization, Mechanisms Involved and Prospects for Utilization. Soil Biol. Biochem. 2010, 42, 669–678. [Google Scholar] [CrossRef]
- Wubs, E.R.; Van der Putten, W.H.; Bosch, M.; Bezemer, T.M. Soil Inoculation Steers Restoration of Terrestrial Ecosystems. Nat. Plants 2016, 2, 16107. [Google Scholar] [CrossRef] [PubMed]
- Middleton, E.L.; Bever, J.D. Inoculation with a Native Soil Community Advances Succession in a Grassland Restoration. Restor. Ecol. 2012, 20, 218–226. [Google Scholar] [CrossRef]
- Duell, E.B.; O’Hare, A.; Wilson, G.W.T. Inoculation with Native Soil Improves Seedling Survival and Reduces Non-native Reinvasion in a Grassland Restoration. Restor. Ecol. 2023, 31, e13685. [Google Scholar] [CrossRef]
- Kardol, P.; Martijn Bezemer, T.; Van Der Putten, W.H. Temporal Variation in Plant–Soil Feedback Controls Succession. Ecol. Lett. 2006, 9, 1080–1088. [Google Scholar] [CrossRef] [PubMed]
- Mariotte, P.; Mehrabi, Z.; Bezemer, T.M.; De Deyn, G.B.; Kulmatiski, A.; Drigo, B.; Veen, G.F.C.; Van der Heijden, M.G.A.; Kardol, P. Plant–Soil Feedback: Bridging Natural and Agricultural Sciences. Trends Ecol. Evol. 2018, 33, 129–142. [Google Scholar] [CrossRef]
- Guerra, C.A.; Heintz-Buschart, A.; Sikorski, J.; Chatzinotas, A.; Guerrero-Ramírez, N.; Cesarz, S.; Beaumelle, L.; Rillig, M.C.; Maestre, F.T.; Delgado-Baquerizo, M.; et al. Blind Spots in Global Soil Biodiversity and Ecosystem Function Research. Nat. Commun. 2020, 11, 3870. [Google Scholar] [CrossRef]
- de Vries, F.T.; Manning, P.; Tallowin, J.R.B.; Mortimer, S.R.; Pilgrim, E.S.; Harrison, K.A.; Hobbs, P.J.; Quirk, H.; Shipley, B.; Cornelissen, J.H.C.; et al. Abiotic Drivers and Plant Traits Explain Landscape-Scale Patterns in Soil Microbial Communities. Ecol. Lett. 2012, 15, 1230–1239. [Google Scholar] [CrossRef] [PubMed]
- Haiyan, C.; Gui-Feng, G.; Yuying, M.; Kunkun, F.; Manuel, D.-B. Soil Microbial Biogeography in a Changing World: Recent Advances and Future Perspectives. mSystems 2020, 5, e00803-19. [Google Scholar] [CrossRef]
- Lauber, C.L.; Hamady, M.; Knight, R.; Fierer, N. Pyrosequencing-Based Assessment of Soil PH as a Predictor of Soil Bacterial Community Structure at the Continental Scale. Appl. Environ. Microbiol. 2009, 75, 5111–5120. [Google Scholar] [CrossRef]
- Fierer, N. Embracing the Unknown: Disentangling the Complexities of the Soil Microbiome. Nat. Rev. Microbiol. 2017, 15, 579–590. [Google Scholar] [CrossRef] [PubMed]
- Fierer, N.; Jackson, R.B. The Diversity and Biogeography of Soil Bacterial Communities. Proc. Natl. Acad. Sci. USA 2006, 103, 626–631. [Google Scholar] [CrossRef] [PubMed]
- Bremer, C.; Braker, G.; Matthies, D.; Reuter, A.; Engels, C.; Conrad, R. Impact of Plant Functional Group, Plant Species, and Sampling Time on the Composition of NirK-Type Denitrifier Communities in Soil. Appl. Environ. Microbiol. 2007, 73, 6876–6884. [Google Scholar] [CrossRef]
- Nemergut, D.R.; Schmidt, S.K.; Fukami, T.; O’Neill, S.P.; Bilinski, T.M.; Stanish, L.F.; Knelman, J.E.; Darcy, J.L.; Lynch, R.C.; Wickey, P.; et al. Patterns and Processes of Microbial Community Assembly. Microbiol. Mol. Biol. Rev. 2013, 77, 342–356. [Google Scholar] [CrossRef]
- Beals, K.K.; Moore, J.A.M.; Kivlin, S.N.; Bayliss, S.L.J.; Lumibao, C.Y.; Moorhead, L.C.; Patel, M.; Summers, J.L.; Ware, I.M.; Bailey, J.K.; et al. Predicting Plant-Soil Feedback in the Field: Meta-Analysis Reveals That Competition and Environmental Stress Differentially Influence PSF. Front. Ecol. Evol. 2020, 8, 191. [Google Scholar] [CrossRef]
- Lladó, S.; López-Mondéjar, R.; Baldrian, P. Drivers of Microbial Community Structure in Forest Soils. Appl. Microbiol. Biotechnol. 2018, 102, 4331–4338. [Google Scholar] [CrossRef]
- Bardgett, R.D.; Mommer, L.; De Vries, F.T. Going Underground: Root Traits as Drivers of Ecosystem Processes. Trends Ecol. Evol. 2014, 29, 692–699. [Google Scholar] [CrossRef]
- Breidenbach, B.; Pump, J.; Dumont, M.G. Microbial Community Structure in the Rhizosphere of Rice Plants. Front. Microbiol. 2016, 6, 1537. [Google Scholar] [CrossRef]
- Forero, L.E.; Kulmatiski, A.; Grenzer, J.; Norton, J.M. Plant-Soil Feedbacks Help Explain Biodiversity-Productivity Relationships. Commun. Biol. 2021, 4, 789. [Google Scholar] [CrossRef] [PubMed]
- Grenzer, J.; Kulmatiski, A.; Forero, L.; Ebeling, A.; Eisenhauer, N.; Norton, J. Moderate Plant–Soil Feedbacks Have Small Effects on the Biodiversity–Productivity Relationship: A Field Experiment. Ecol. Evol. 2021, 11, 11651–11663. [Google Scholar] [CrossRef]
- Ling, N.; Wang, T.; Kuzyakov, Y. Rhizosphere Bacteriome Structure and Functions. Nat. Commun. 2022, 13, 836. [Google Scholar] [CrossRef] [PubMed]
- Qu, Q.; Zhang, Z.; Peijnenburg, W.J.G.M.; Liu, W.; Lu, T.; Hu, B.; Chen, J.; Chen, J.; Lin, Z.; Qian, H. Rhizosphere Microbiome Assembly and Its Impact on Plant Growth. J. Agric. Food Chem. 2020, 68, 5024–5038. [Google Scholar] [CrossRef] [PubMed]
- Westover, K.M.; Kennedy, A.C.; Kelley, S.E. Patterns of Rhizosphere Microbial Community Structure Associated with Co-Occurring Plant Species. J. Ecol. 1997, 85, 863–873. [Google Scholar] [CrossRef]
- Kazanski, C.E.; Riggs, C.E.; Reich, P.B.; Hobbie, S.E. Long-Term Nitrogen Addition Does Not Increase Soil Carbon Storage or Cycling Across Eight Temperate Forest and Grassland Sites on a Sandy Outwash Plain. Ecosystems 2019, 22, 1592–1605. [Google Scholar] [CrossRef]
- Roscher, C.; Schumacher, J.; Baade, J.; Wilcke, W.; Gleixner, G.; Weisser, W.W.; Schmid, B.; Schulze, E.-D. The Role of Biodiversity for Element Cycling and Trophic Interactions: An Experimental Approach in a Grassland Community. Basic Appl. Ecol. 2004, 5, 107–121. [Google Scholar] [CrossRef]
- Caporaso, J.G.; Lauber, C.L.; Walters, W.A.; Berg-Lyons, D.; Huntley, J.; Fierer, N.; Owens, S.M.; Betley, J.; Fraser, L.; Bauer, M.; et al. Ultra-High-Throughput Microbial Community Analysis on the Illumina HiSeq and MiSeq Platforms. ISME J. 2012, 6, 1621–1624. [Google Scholar] [CrossRef]
- Nilsson, R.H.; Larsson, K.-H.; Taylor, A.F.S.; Bengtsson-Palme, J.; Jeppesen, T.S.; Schigel, D.; Kennedy, P.; Picard, K.; Glöckner, F.O.; Tedersoo, L.; et al. The UNITE Database for Molecular Identification of Fungi: Handling Dark Taxa and Parallel Taxonomic Classifications. Nucleic Acids Res. 2019, 47, D259–D264. [Google Scholar] [CrossRef]
- Bokulich, N.A.; Kaehler, B.D.; Rideout, J.R.; Dillon, M.; Bolyen, E.; Knight, R.; Huttley, G.A.; Gregory Caporaso, J. Optimizing Taxonomic Classification of Marker-Gene Amplicon Sequences with QIIME 2’s Q2-Feature-Classifier Plugin. Microbiome 2018, 6, 90. [Google Scholar] [CrossRef]
- Quast, C.; Pruesse, E.; Yilmaz, P.; Gerken, J.; Schweer, T.; Yarza, P.; Peplies, J.; Glöckner, F.O. The SILVA Ribosomal RNA Gene Database Project: Improved Data Processing and Web-Based Tools. Nucleic Acids Res. 2012, 41, D590–D596. [Google Scholar] [CrossRef] [PubMed]
- Robeson, M.S.; O’Rourke, D.R.; Kaehler, B.D.; Ziemski, M.; Dillon, M.R.; Foster, J.T.; Bokulich, N.A. RESCRIPt: Reproducible Sequence Taxonomy Reference Database Management. PLoS Comput. Biol. 2021, 17, e1009581. [Google Scholar] [CrossRef]
- R Core Team. R: A Language and Environment for Statistical Computing; R Foundation for Statistical Computing: Vienna, Austria, 2018. [Google Scholar]
- Dixon, P. VEGAN, a Package of R Functions for Community Ecology. J. Veg. Sci. 2003, 14, 927–930. [Google Scholar] [CrossRef]
- Lin, H.; Peddada, S. Das Analysis of Compositions of Microbiomes with Bias Correction. Nat. Commun. 2020, 11, 3514. [Google Scholar] [CrossRef] [PubMed]
- Nguyen, N.H.; Song, Z.; Bates, S.T.; Branco, S.; Tedersoo, L.; Menke, J.; Schilling, J.S.; Kennedy, P.G. FUNGuild: An Open Annotation Tool for Parsing Fungal Community Datasets by Ecological Guild. Fungal Ecol. 2016, 20, 241–248. [Google Scholar] [CrossRef]
- Delgado-Baquerizo, M.; Reith, F.; Dennis, P.G.; Hamonts, K.; Powell, J.R.; Young, A.; Singh, B.K.; Bissett, A. Ecological Drivers of Soil Microbial Diversity and Soil Biological Networks in the Southern Hemisphere. Ecology 2018, 99, 583–596. [Google Scholar] [CrossRef]
- Berg, G.; Smalla, K. Plant Species and Soil Type Cooperatively Shape the Structure and Function of Microbial Communities in the Rhizosphere. FEMS Microbiol. Ecol. 2009, 68, 1–13. [Google Scholar] [CrossRef]
- Emam, T. Local Soil, but Not Commercial AMF Inoculum, Increases Native and Non-native Grass Growth at a Mine Restoration Site. Restor. Ecol. 2016, 24, 35–44. [Google Scholar] [CrossRef]
- Trabelsi, D.; Mhamdi, R. Microbial Inoculants and Their Impact on Soil Microbial Communities: A Review. Biomed. Res. Int. 2013, 2013, 863240. [Google Scholar] [CrossRef]
- Thomsen, C.; Loverock, L.; Kokkoris, V.; Holland, T.; Bowen, P.A.; Hart, M. Commercial Arbuscular Mycorrhizal Fungal Inoculant Failed to Establish in a Vineyard despite Priority Advantage. PeerJ 2021, 9, e11119. [Google Scholar] [CrossRef]
- Wubs, E.R.J.; Van Heusden, T.; Melchers, P.D.; Bezemer, T.M. Soil Inoculation Steers Plant-Soil Feedback, Suppressing Ruderal Plant Species. Front. Ecol. Evol. 2019, 7, 451. [Google Scholar] [CrossRef]
- Hoeksema, J.D.; Chaudhary, V.B.; Gehring, C.A.; Johnson, N.C.; Karst, J.; Koide, R.T.; Pringle, A.; Zabinski, C.; Bever, J.D.; Moore, J.C.; et al. A Meta-analysis of Context-dependency in Plant Response to Inoculation with Mycorrhizal Fungi. Ecol. Lett. 2010, 13, 394–407. [Google Scholar] [CrossRef]
- Nolan, N.E.; Kulmatiski, A.; Beard, K.H.; Norton, J.M. Activated Carbon Decreases Invasive Plant Growth by Mediating Plant–Microbe Interactions. AoB Plants 2015, 7, plu072. [Google Scholar] [CrossRef]
- Delgado-Baquerizo, M.; Oliverio, A.M.; Brewer, T.E.; Benavent-González, A.; Eldridge, D.J.; Bardgett, R.D.; Maestre, F.T.; Singh, B.K.; Fierer, N. A Global Atlas of the Dominant Bacteria Found in Soil. Science 2018, 359, 320–325. [Google Scholar] [CrossRef] [PubMed]
- Kardol, P.; Cornips, N.J.; van Kempen, M.M.L.; Bakx-Schotman, J.M.T.; van der Putten, W.H. Microbe-mediated Plant–Soil Feedback Causes Historical Contingency Effects in Plant Community Assembly. Ecol. Monogr. 2007, 77, 147–162. [Google Scholar] [CrossRef]
- Berendsen, R.L.; Pieterse, C.M.J.; Bakker, P.A.H.M. The Rhizosphere Microbiome and Plant Health. Trends Plant Sci. 2012, 17, 478–486. [Google Scholar] [CrossRef] [PubMed]
- Wardle, D.A.; Bardgett, R.D.; Klironomos, J.N.; Setala, H.; Van Der Putten, W.H.; Wall, D.H. Ecological Linkages between Aboveground and Belowground Biota. Science 2004, 304, 1629–1633. [Google Scholar] [CrossRef]
- Rowe, H.I.; Brown, C.S.; Claassen, V.P. Comparisons of Mycorrhizal Responsiveness with Field Soil and Commercial Inoculum for Six Native Montane Species and Bromus Tectorum. Restor. Ecol. 2007, 15, 44–52. [Google Scholar] [CrossRef]
- Davison, J.; Moora, M.; Öpik, M.; Adholeya, A.; Ainsaar, L.; Bâ, A.; Burla, S.; Diedhiou, A.G.; Hiiesalu, I.; Jairus, T.; et al. Global Assessment of Arbuscular Mycorrhizal Fungus Diversity Reveals Very Low Endemism. Science 2015, 349, 970–973. [Google Scholar] [CrossRef]
- Paluch, E.C.; Thomsen, M.A.; Volk, T.J. Effects of Resident Soil Fungi and Land Use History Outweigh Those of Commercial Mycorrhizal Inocula: Testing a Restoration Strategy in Unsterilized Soil. Restor. Ecol. 2013, 21, 380–389. [Google Scholar] [CrossRef]





| Species | Functional Group | Code |
|---|---|---|
| Amorpha canescens | Legume | AMOCAN |
| Andropogon gerardii | C4 | ANDGER |
| Achillea millefolium | Forb | ACHMIL |
| Dalea purpurea | Legume | DALPUR |
| Elymus canadensis | C3 | ELYCAN |
| Koeleria macrantha | C3 | KOEMAC |
| Liatris aspera | Forb | LIAASP |
| Lespedeza capitata | Legume | LESCAP |
| Lupinus perennis | Legume | LUPPER |
| Monarda fistulosa | Forb | MONFIS |
| Poa pratensis | C3 | POAPRA |
| Pascopyrum smithii | C3 | PASSMI |
| Panicum virgatum | C4 | PANVIR |
| Sorghastrum nutans | C4 | SORNUT |
| Solidago rigida | Forb | SOLRIG |
| Schizachyrium scoparium | C4 | SCHSCO |
| Species | Functional Group | Code |
|---|---|---|
| Alopecurus pratensis | C3 | ALOPRA |
| Anthirscus sylvestris | Forb | ANTSYL |
| Arrhenatherum elatius | C3 | ARRELA |
| Dactylis glomerata | C3 | DACGLO |
| Geranium pratense | Forb | GERPRA |
| Phleum pratense | C3 | PHLPRA |
| Poa trivialis | C3 | POATRI |
| Trifolium pratense | Legume | TRIPRA |
| Trifolium repense | Legume | TRIREP |
| Cedar Creek | Jena | ||||
|---|---|---|---|---|---|
| Independent Variable | Dependent | R2 | p-Value | R2 | p-Value |
| Plant species | Bulk soil | 0.09 | 0.531 | 0.13 | 0.516 |
| Plant species | Rhizosphere soil | 0.40 | 0.002 | 0.48 | 0.004 |
| Plant functional group | Bulk soil | 0.02 | 0.329 | 0.03 | 0.430 |
| Plant functional group | Rhizosphere soil | 0.11 | 0.004 | 0.17 | 0.007 |
| Bacteria | Fungi | ||||||||
|---|---|---|---|---|---|---|---|---|---|
| Cedar Creek | Jena | Cedar Creek | Jena | ||||||
| Phylum | R2 | p-Value | R2 | p-Value | Phylum | R2 | p-Value | R2 | p-Value |
| Actinobacteria | 0.67 | 0.166 | 0.58 * | 0.019 | Ascomycota | 0.49 | 0.001 | 0.49 | 0.001 |
| Bacteroidetes | 0.38 | 0.792 | 0.67 | 0.369 | Basidiobolomycota | NA | NA | 0.47 | 0.9889 |
| Cyanobacteria | NA ** | NA | NA | NA | Basidiomycota | 0.41 | 0.001 | 0.41 | 0.016 |
| Firmicutes | 0.33 | 0.411 | 0.46 | 0.150 | Calcarisporiellomycota | NA | NA | NA | NA |
| Patescibacteria | NA | NA | NA | NA | Chytridiomycota | 0.44 | 0.792 | 0.40 | 0.165 |
| Proteobacteria | 0.32 | 0.584 | 0.49 | 0.013 | Entorrhizomycota | NA | NA | NA | NA |
| Tenericutes | NA | NA | NA | NA | Glomeromycota | 0.55 | 0.001 | 0.59 | 0.044 |
| Verrucomicrobia | 0.42 | 0.543 | NA | NA | Kickxellomycota | NA | NA | 0.46 | 0.152 |
| Monoblepharomycota | NA | NA | NA | NA | |||||
| Mortierellomycota | 0.44 | 0.013 | 0.60 | 0.002 | |||||
| Mucoromycota | 0.62 | 0.165 | NA | NA | |||||
| Neocallimastigomycota | NA | NA | NA | NA | |||||
| Olpidiomycota | NA | NA | 0.65 | 0.11 | |||||
| Rozellomycota | NA | NA | 0.38 | 0.269 | |||||
| Zoopagomycota | NA | NA | 0.54 | 0.011 | |||||
Disclaimer/Publisher’s Note: The statements, opinions and data contained in all publications are solely those of the individual author(s) and contributor(s) and not of MDPI and/or the editor(s). MDPI and/or the editor(s) disclaim responsibility for any injury to people or property resulting from any ideas, methods, instructions or products referred to in the content. |
© 2023 by the authors. Licensee MDPI, Basel, Switzerland. This article is an open access article distributed under the terms and conditions of the Creative Commons Attribution (CC BY) license (https://creativecommons.org/licenses/by/4.0/).
Share and Cite
Aaronson, J.K.; Kulmatiski, A.; Forero, L.E.; Grenzer, J.; Norton, J.M. Are Plant–Soil Feedbacks Caused by Many Weak Microbial Interactions? Biology 2023, 12, 1374. https://doi.org/10.3390/biology12111374
Aaronson JK, Kulmatiski A, Forero LE, Grenzer J, Norton JM. Are Plant–Soil Feedbacks Caused by Many Weak Microbial Interactions? Biology. 2023; 12(11):1374. https://doi.org/10.3390/biology12111374
Chicago/Turabian StyleAaronson, Julia K., Andrew Kulmatiski, Leslie E. Forero, Josephine Grenzer, and Jeanette M. Norton. 2023. "Are Plant–Soil Feedbacks Caused by Many Weak Microbial Interactions?" Biology 12, no. 11: 1374. https://doi.org/10.3390/biology12111374
APA StyleAaronson, J. K., Kulmatiski, A., Forero, L. E., Grenzer, J., & Norton, J. M. (2023). Are Plant–Soil Feedbacks Caused by Many Weak Microbial Interactions? Biology, 12(11), 1374. https://doi.org/10.3390/biology12111374

