Biocides with Controlled Degradation for Environmentally Friendly and Cost-Effective Fecal Sludge Management
Abstract
Simple Summary
Abstract
1. Introduction
2. Materials and Methods
2.1. Fecal Sludge, Biocides, Microorganisms
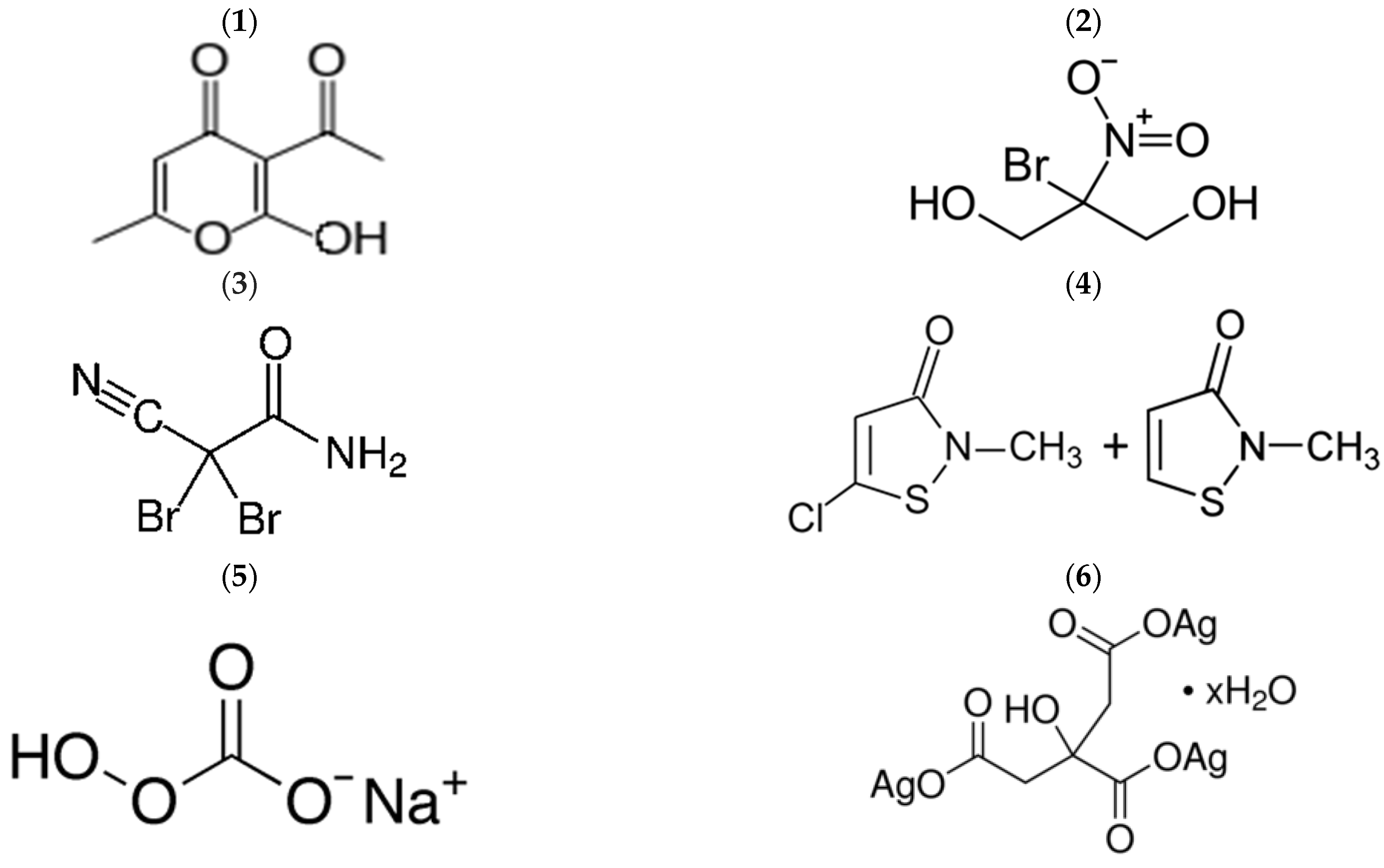
- Sodium dehydroacetate (DAN, Sigma-Aldrich, Buchs, Switzerland);
- Bronopol (B, St. Petersburg, Russia);
- 2,2-dibromo-3-nitrilopropionamide (DBNPA, Sigma-Aldrich, Buchs, Switzerland),
- Sharomix (SH, Ashdod, Israel);
- Sodium percarbonate (P, Krasnodar, Russia);
- Silver citrate (SC, Darmstadt, Germany);
- Biocide “Latrina” produced by Limited Liability Company «Rail Chemical» (Russia). “Latrina” is widely used in the ESTC of JSC «FPK» and by Russian Railways as a toilet chemical additive. The composition of “Latrina” included: didecyldimethylammonium chloride (0.24%) and PHMG (6.5%) (total 6.74%), surfactants (surfactants), perfume and water.
- Gram-positive non-sporulating bacteria Staphylococcus aureus 209P and Micrococcus luteus NCIMB 13267;
- Gram-positive spore-forming bacteria Bacillus subtilis 534, yeast (eukaryotes) Yarrowia lipolytica 367-2.
2.2. Cultivation of Test-Microorganisms
2.3. Determination of MIC and MBC
2.4. Evaluation of Changes in the Antimicrobial Properties of Sharomix, Bronopol and DBNPA
2.5. Evaluation of Changes in the Antimicrobial Properties of Sodium Percarbonate during Long-Term Storage
2.6. Evaluation of the Effect of Biocides on the Microbial Activity of FS under Aerobic and Anaerobic Conditions
2.7. Determination of the Total Number of Colony Forming Units (CFU)
2.8. Evaluation of the Decrease in Biocidal Activity in FS
2.9. Analytical Methods
2.10. Statistical Methods
3. Results
3.1. Antimicrobial Properties against Test-Microorganisms
3.2. Changes in the Antimicrobial Properties of Bronopol, DBNPA, and Sharomix Depending on Changes in the pH of the Medium
3.3. Changes in the Antimicrobial Activity of Sodium Percarbonate during Prolonged Incubation
3.4. Antimicrobial Effect of Bronopol, DBNPA, Sharomix and Sodium Percarbonate on FS Microbiota during Long-Term Incubation under Aerobic and Anaerobic Conditions
3.4.1. Biocidal Effect of Bronopol on FS Microbiota
3.4.2. Biocidal Effect of DBNPA on FS Microbiota
3.4.3. Biocidal Effect of Sharomix on FS Microbiota
3.4.4. Biocidal Effect of Sodium Percarbonate on FS Microbiota
3.4.5. Biocidal Effect of “Latrina” on FS Microbiota
3.5. Reduction of Biocide Toxicity after 10 Days of Incubation
4. Discussion
5. Conclusions
Supplementary Materials
Author Contributions
Funding
Institutional Review Board Statement
Informed Consent Statement
Acknowledgments
Conflicts of Interest
References
- Simiyu, S.; Chumo, I.; Mberu, B. Fecal sludge management in Low Income settlements: Case study of Nakuru, Kenya. Front. Public Health 2021, 9, 750309. [Google Scholar] [CrossRef] [PubMed]
- Penn, R.; Ward, B.J.; Strande, L.; Maurer, M. Review of synthetic human faeces and faecal sludge for sanitation and wastewater research. Water Res. 2018, 132, 222–240. [Google Scholar] [CrossRef] [PubMed]
- Boot, N.L.; Scott, R.E. Faecal sludge in Accra, Ghana: Problems of urban provision. Water Sci Technol. 2009, 60, 623–631. [Google Scholar] [CrossRef] [PubMed]
- Diener, S.; Semiyaga, S.; Niwagaba, C.B.; Muspratt, A.M.; Gning, J.B.; Mbéguéré, M.; Ennin, J.E.; Zurbrugg, C.; Strande, L. A value proposition: Resource recovery from faecal sludge—Can it be the driver for improved sanitation? Resour. Conserv. Recycl. 2014, 88, 32–38. [Google Scholar] [CrossRef]
- Capone, D.; Buxton, H.; Cumming, O.; Dreibelbis, R.; Knee, J.; Nalá, R.; Ross, I.; Brown, J. Impact of an intervention to improve pit latrine emptying practices in low income urban neighborhoods of Maputo, Mozambique. Int. J. Hyg. Environ. Health 2020, 226, 113480. [Google Scholar] [CrossRef] [PubMed]
- Lopes, I.M.; Souza, D.N.D.; Neves, T.D.A.; Mota Filho, C.R. Management of chemical toilet effluents: A review of international approaches and a case study from Minas Gerais. Eng. Sanit. E Ambiental. 2022, 27, 975–985. [Google Scholar] [CrossRef]
- Litti, Y.; Serdyukov, D.; Kanunnikov, O.; Axelrod, V.; Loiko, N. Treatment of preserved fecal sludge using anaerobic digestion. Ecol. Ind. Russ. 2020, 24, 33–37. [Google Scholar] [CrossRef]
- Mamera, M.; van Tol, J.J.; Aghoghovwia, M.P.; Mapetere, G.T. Community faecal management strategies and perceptions on sludge use in agriculture. Int. J. Environ. Res. Public Health 2020, 17, 4128. [Google Scholar] [CrossRef]
- Nasser, A.M.; Paulman, H.; Sela, O.; Ktaitzer, T.; Cikurel, H.; Zuckerman, I.; Meir, A.; Aharoni, A.; Adin, A. UV disinfection of wastewater effluents for unrestricted irrigation. Water Sci. Technol. 2006, 54, 83–88. [Google Scholar] [CrossRef]
- Friedler, E.; Yardeni, A.; Gilboa, Y.; Alfiya, Y. Disinfection of greywater effluent and regrowth potential of selected bacteria. Water Sci. Technol. 2011, 63, 931–940. [Google Scholar] [CrossRef]
- Nasuhoglu, D.; Isazadeh, S.; Westlund, P.; Neamatallah, S.; Yargeau, V. Chemical, microbial and toxicological assessment of wastewater treatment plant effluents during disinfection by ozonation. Chem. Eng. J. 2018, 346, 466–476. [Google Scholar] [CrossRef]
- Zerva, I.; Remmas, N.; Kagalou, I.; Melidis, P.; Ariantsi, M.; Sylaios, G.; Ntougias, S. Effect of chlorination on microbiological quality of effluent of a full-scale wastewater treatment plant. Life 2021, 11, 68. [Google Scholar] [CrossRef]
- Pedersen, P.O.; Brodersen, E.; Cecil, D. Disinfection of tertiary wastewater effluent prior to river discharge using peracetic acid; treatment efficiency and results on by-products formed in full scale tests. Water Sci. Technol. 2013, 68, 1852–1856. [Google Scholar] [CrossRef] [PubMed]
- Karpova, T.; Pekonen, P.; Gramstad, R.; Öjstedt, U.; Laborda, S.; Heinonen-Tanski, H.; Chávez, A.; Jiménez, B. Performic acid for advanced wastewater disinfection. Water Sci. Technol. 2013, 68, 2090–2096. [Google Scholar] [CrossRef] [PubMed]
- Maffettone, R.; Manoli, K.; Santoro, D.; Passalacqua, K.D.; Wobus, C.E.; Sarathy, S. Performic Acid Disinfection of Municipal Secondary Effluent Wastewater: Inactivation of Murine Norovirus, Fecal Coliforms, and Enterococci. Environ. Sci. Technol. 2020, 54, 12761–12770. [Google Scholar] [CrossRef]
- Ivanković, T.; Hrenović, J.; Itskos, G.; Koukouzas, N.; Kovačević, D.; Milenković, J. Alkaline disinfection of urban wastewater and landfill leachate by wood fly ash. Arh. Hig. Rada Toksikol. 2014, 65, 365–375. [Google Scholar] [CrossRef]
- Di Cesare, A.; De Carluccio, M.; Eckert, E.M.; Fontaneto, D.; Fiorentino, A.; Corno, G.; Prete, P.; Cucciniello, R.; Proto, A.; Rizzo, L. Combination of flow cytometry and molecular analysis to monitor the effect of UVC/H2O2 vs UVC/H2O2/Cu-IDS processes on pathogens and antibiotic resistant genes in secondary wastewater effluents. Water Res. 2020, 184, 116194. [Google Scholar] [CrossRef]
- Di Martino, P. Ways to improve biocides for metalworking fluid. AIMS Microbiol. 2021, 7, 13–27. [Google Scholar] [CrossRef]
- Available online: https://eur-lex.europa.eu/legal-content/EN/TXT/?uri=celex%3A32012R0528 (accessed on 7 November 2022).
- Pablos, C.; Romero, A.; de Diego, A.; Vargas, C.; Bascón, I.; Pérez-Rodríguez, F.; Marugán, J. Novel antimicrobial agents as alternative to chlorine with potential applications in the fruit and vegetable processing industry. Int. J. Food Microbiol. 2018, 285, 92–97. [Google Scholar] [CrossRef]
- Loiko, N.; Kanunnikov, O.; Serdyukov, D.; Axelrod, V.; Tereshkin, E.; Vishnyakova, A.; Litti, Y. Didecyldimethylammonium Chloride- and Polyhexamethylene Guanidine-Resistant Bacteria Isolated from Fecal Sludge and Their Potential Use in Biological Products for the Detoxification of Biocide-Contaminated Wastewater Prior to Conventional Biological Treatment. Biology 2022, 11, 1332. [Google Scholar] [CrossRef]
- Jiao, Y.; Niu, L.N.; Ma, S.; Li, J.; Tay, F.R.; Chen, J.H. Quaternary ammonium-based biomedical materials: State-of-the-art, toxicological aspects and antimicrobial resistance. Prog. Polym. Sci. 2017, 71, 53–90. [Google Scholar] [CrossRef]
- Litti, Y.V.; Serdyukov, D.V.; Kanunnikov, O.V.; Akselrod, V.A.; Loiko, N.G. Antimicrobial properties of a biocide based on quaternary ammonium compounds plus polyhexamethylene guanidine and possible methods for its deactivation. Appl. Biochem. Microbiol. 2021, 57, 962–972. [Google Scholar] [CrossRef]
- Sozzi, E.; Baloch, M.; Strasser, J.; Fisher, M.B.; Leifels, M.; Camacho, J.; Mishal, N.; Elmes, S.F.; Allen, G.; Gregory, G.; et al. A bioassay-based protocol for chemical neutralization of human faecal wastes treated by physico-chemical dis-infection processes: A case study on benzalkonium chloride. Int. J. Hyg. Environ. Health 2019, 222, 155–167. [Google Scholar] [CrossRef] [PubMed]
- Ismail, Z.Z.; Tezel, U.; Pavlostathis, S.G. Sorption of quaternary ammonium compounds to municipal sludge. Water Res. 2010, 44, 2303–2313. [Google Scholar] [CrossRef]
- Rose, C.; Parker, A.; Jefferson, B.; Cartmell, E. The Characterization of Feces and Urine: A Review of the Literature to Inform Advanced Treatment Technology. Crit. Rev. Environ. Sci. Technol. 2015, 45, 1827–1879. [Google Scholar] [CrossRef] [PubMed]
- Baldwin, A.G.; Bevan, J.; Brough, D.; Ledder, R.; Freeman, S. Synthesis and antibacterial activities of enamine derivatives of dehydroacetic acid. Med. Chem. Res. 2018, 27, 884–889. [Google Scholar] [CrossRef]
- Pulate, C.P.; Gurubasavrajswamy, P.M.; Antre, R.V.; Goli, D. Microwave-assisted synthesis and antimicrobial activity of novel azetidinones from dehydroacetic acid. Int. J. Drug Des. Discov. 2011, 2, 483–487. [Google Scholar]
- Available online: https://www.akema.it/pdf/KEM_DHA-04.pdf (accessed on 7 November 2022).
- Tang, X.; Ouyang, Q.; Jing, G.; Shao, X.; Tao, N. Antifungal mechanism of sodium dehydroacetate against Geotrichum citri-aurantii. World J. Microbiol. Biotechnol. 2018, 34, 29. [Google Scholar] [CrossRef]
- Izawa, T.; Nakayama, K.; Uchida, N.; Nojima, K. Photoreactivities of the Antiseptics Dehydroacetic Acid and Sodium Dehydroacetate Used in Cosmetics. Chem. Pharm. Bull. 2018, 66, 581–584. [Google Scholar] [CrossRef]
- Available online: https://pubchem.ncbi.nlm.nih.gov/compound/Bronopol (accessed on 7 November 2022).
- Narenkumar, J.; Ramesh, N.; Rajasekar, A. Control of corrosive bacterial community by bronopol in industrial water system. 3 Biotech. 2018, 8, 55. [Google Scholar] [CrossRef]
- Oono, H.; Hatai, K.; Miura, M.; Tuchida, N.; Kiryu, T. The use of bronopol to control fungal infection in rainbow trout eggs. Biocontrol. Sci. 2007, 12, 55–57. [Google Scholar] [CrossRef] [PubMed]
- Lee, V.E.; O’Neill, A.J. Potential for repurposing the personal care product preservatives bronopol and bronidox as broad-spectrum antibiofilm agents for topical application. J. Antimicrob. Chemother. 2019, 74, 907–911. [Google Scholar] [CrossRef] [PubMed]
- Vítěz, T.; Vítězová, M.; Nováčková, M.; Kushkevych, I. Activated Sludge Respiration Activity Inhibition Caused by Mobile Toilet Chemicals. Processes 2020, 8, 598. [Google Scholar] [CrossRef]
- Barros, A.C.; Melo, L.F.; Pereira, A.A. Multi-Purpose Approach to the Mechanisms of Action of Two Biocides (Benzalkonium Chloride and Dibromonitrilopropionamide): Discussion of Pseudomonas fluorescens’ Viability and Death. Front. Microbiol. 2022, 18, 842414. [Google Scholar] [CrossRef]
- Campa, M.F.; Techtmann, S.M.; Ladd, M.P.; Yan, J.; Patterson, M.; Garcia de Matos Amaral, A.; Carter, K.E.; Ulrich, N.; Grant, C.J.; Hettich, R.L.; et al. Surface Water Microbial Community Response to the Biocide 2,2-Dibromo-3-Nitrilopropionamide, Used in Unconventional Oil and Gas Extraction. Appl. Environ. Microbiol. 2019, 85, e01336-19. [Google Scholar] [CrossRef]
- Siddiqui, A.; Pinel, I.; Prest, E.; Bucs, S.; Van Loosdrecht, M.; Kruithof, J.; Vrouwenvelder, J. Application of DBNPA dosage for biofouling control in spiral wound membrane systems. Desal. Water Treat. 2017, 68, 12–22. [Google Scholar] [CrossRef]
- Kucera, J. Biofouling of polyamide membranes: Fouling mechanisms, current mitigation and cleaning strategies, and future prospects. Membranes 2019, 9, 111. [Google Scholar] [CrossRef]
- Akob, D.M.; Mumford, A.C.; Fraser, A.; Harris, C.R.; Orem, W.H.; Varonka, M.S.; Cozzarelli, I.M. Oil and Gas Wastewater Components Alter Streambed Microbial Community Structure and Function. Front. Microbiol. 2021, 12, 752947. [Google Scholar] [CrossRef]
- Simpson, J.V.; Wiatr, C.L. Quantification and Degradation of 2,2-Dibromo-3-Nitrilopropionamide (DBNPA) in Bioethanol Fermentation Coproducts. World J. Microbiol. Biotechnol. 2022, 38, 82. [Google Scholar] [CrossRef]
- Silva, V.; Silva, C.; Soares, P.; Garrido, E.M.; Borges, F.; Garrido, J. Isothiazolinone Biocides: Chemistry, Biological, and Toxicity Profiles. Molecules 2020, 25, 991. [Google Scholar] [CrossRef]
- Verderosa, A.D.; Hawas, S.; Harris, J.; Totsika, M.; Fairfull-Smith, K.E. Isothiazolone-Nitroxide Hybrids with Activity against Antibiotic-Resistant Staphylococcus aureus Biofilms. ACS Omega 2022, 7, 5300–5310. [Google Scholar] [CrossRef] [PubMed]
- Charrier, C.; Salisbury, A.M.; Savage, V.J.; Moyo, E.; Forward, H.; Ooi, N.; Cheung, J.; Metzger, R.; McGarry, D.; Walker, R.; et al. In vitro biological evaluation of novel broad-spectrum isothiazolone inhibitors of bacterial type II topoisomerases. J. Antimicrob. Chemother. 2016, 71, 2831–2839. [Google Scholar] [CrossRef] [PubMed][Green Version]
- Zhou, G.; Peng, H.; Wang, Y.S.; Huang, X.M.; Xie, X.B.; Shi, Q.S. Enhanced synergistic effects of xylitol and isothiazolones for inhibition of initial biofilm formation by Pseudomonas aeruginosa ATCC 9027 and Staphylococcus aureus ATCC 6538. J. Oral Sci. 2019, 61, 255–263. [Google Scholar] [CrossRef] [PubMed]
- Zhang, B.T.; Kuang, L.; Teng, Y.; Fan, M.; Ma, Y. Application of percarbonate and peroxymonocarbonate in decontamination technologies. J. Environ. Sci. 2021, 105, 100–115. [Google Scholar] [CrossRef] [PubMed]
- Ma, J.; Yang, X.; Jiang, X.; Wen, J.; Li, J.; Zhong, Y.; Chi, L.; Wang, Y. Percarbonate persistence under different water chemistry conditions. Chem. Eng. J. 2020, 389, 123422. [Google Scholar] [CrossRef]
- Xu, H.; Pang, Y.; Li, Y.; Zhang, S.; Pei, H. Using sodium percarbonate to suppress vertically distributed filamentous cyanobacteria while maintaining the stability of microeukaryotic communities in drinking water reservoirs. Water Res. 2021, 197, 117111. [Google Scholar] [CrossRef]
- McKillop, A.; Sanderson, W.R. Sodium perborate and sodium percarbonate: Cheap, safe and versatile oxidising agents for organic synthesis. Tetrahedron 1995, 51, 6145–6166. [Google Scholar] [CrossRef]
- Li, Q.; Lu, R.; Liang, Y.; Gao, K.; Jiang, H. Energy-Saving One-Step Pre-Treatment Using an Activated Sodium Percarbonate System and Its Bleaching Mechanism for Cotton Fabric. Materials 2022, 15, 5849. [Google Scholar] [CrossRef]
- Sofokleous, P.; Ali, S.; Wilson, P.; Buanz, A.; Gaisford, S.; Mistry, D.; Fellows, A.; Day, R.M. Sustained antimicrobial activity and reduced toxicity of oxidative biocides through biodegradable microparticles. Acta Biomater. 2017, 64, 301–312. [Google Scholar] [CrossRef]
- Djokić, S. Synthesis and antimicrobial activity of silver citrate complexes. Bioinorg. Chem. 2008, 2008, 436458. [Google Scholar] [CrossRef]
- Tonini, R.; Giovarruscio, M.; Gorni, F.; Ionescu, A.; Brambilla, E.; Mikhailovna, I.M.; Luzi, A.; Maciel, P.P.; Sauro, S. In Vitro Evaluation of Antibacterial Properties and Smear Layer Removal/Sealer Penetration of a Novel Silver-Citrate Root Canal Irrigant. Materials 2020, 13, 194. [Google Scholar] [CrossRef] [PubMed]
- Hashimoto, H.; Ono, N.; Monden, K.; Kumon, H.; Shiba, T.; Adachi, T.; Kaneko, K. Basic study on anti-bacterial urethral catheter. I. Development of a new anti-bacterial coating material for silicon catheters. Kansenshogaku Zasshi 2000, 74, 431–440. [Google Scholar] [CrossRef] [PubMed][Green Version]
- Polova, Z.; Almakayeva, L.; Nehoda, T. Development of the composition of intramammary combined preparation based on silver citrate for veterinary use. Ceska Slov. Farm. 2018, 66, 227–232. [Google Scholar] [PubMed]
- Generali, L.; Bertoldi, C.; Bidossi, A.; Cassinelli, C.; Morra, M.; Del Fabbro, M.; Savadori, P.; Ballal, N.V.; Giardino, L. Evaluation of Cytotoxicity and Antibacterial Activity of a New Class of Silver Citrate-Based Compounds as Endodontic Irrigants. Materials 2020, 13, 5019. [Google Scholar] [CrossRef] [PubMed]
- Loiko, N.; Kanunnikov, O.; Gannesen, A.; Kovalenko, V.; Vishnyakova, A.; Axelrod, V.; Litti, Y. Brain Natriuretic Peptide (BNP) Affects Growth and Stress Tolerance of Representatives of the Human Microbiome, Micrococcus luteus C01 and Alcaligenes faecalis DOS7. Biology 2022, 11, 984. [Google Scholar] [CrossRef]
- Lokshina, L.; Vavilin, V.; Litti, Y.; Glagolev, M.; Sabrekov, A.; Kotsyurbenko, O.; Kozlova, M. Methane Production in a West Siberian Eutrophic Fen Is Much Higher than Carbon Dioxide Production: Incubation of Peat Samples, Stoichiometry, Stable Isotope Dynamics, Modeling. Water Resour. 2019, 46, 110–125. [Google Scholar] [CrossRef]
- Shukla, R.; Ahammad, S.Z. Performance evaluation and microbial community structure of a modified trickling filter and conventional activated sludge process in treating urban sewage. Sci. Total Environ. 2022, 853, 158331. [Google Scholar] [CrossRef]
- Lineback, C.B.; Nkemngong, C.A.; Wu, S.T.; Li, X.; Teska, P.J.; Oliver, H.F. Hydrogen peroxide and sodium hypochlorite disinfectants are more effective against Staphylococcus aureus and Pseudomonas aeruginosa biofilms than quaternary ammonium compounds. Antimicrob. Resist. Infect. Control 2018, 17, 154. [Google Scholar] [CrossRef]







| № | Biocides | MIC, mg/L | |||||
|---|---|---|---|---|---|---|---|
| M. luteus | S. aureus | P. aeruginosa | A. faecalis | Y. lipolytica | B. subtilis | ||
| 1 | DAN | 40,000 | 40,000 | 55,000 | 45,000 | 20,000 | 50,000 |
| 2 | B | 30 | 20 | 20 | 40 | 40 | 20 |
| 3 | DBNPA | 100 | 100 | 25 | 25 | 50 | 200 |
| 4 | SH | 300 | 100 | 300 | 600 | 300 | 160 |
| 5 | P | 5000 | 4000 | 8000 | 6000 | 10,000 | 10,000 |
| 6 | SC | 20,000 | 15,000 | 15,000 | 15,000 | 15,000 | 5000 |
| № | Biocide | MBC, mg/L | |||||
|---|---|---|---|---|---|---|---|
| M. luteus | S. aureus | P. aeruginosa | A. faecalis | Y. lipolytica | B. subtilis | ||
| 1 | DAN | 80,000 | 90,000 | >100,000 | >100,000 | 40,000 | >100,000 |
| 2 | B | 40 | 20 | 20 | 40 | 40 | 300 |
| 3 | DBNPA | 100 | 100 | 25 | 25 | 50 | 800 |
| 4 | SH | 600 | 300 | 300 | 600 | 300 | 25,000 |
| 5 | P | 5000 | 5000 | 10,000 | 5000 | 10,000 | 40,000 |
| 6 | SC | 40,000 | 15,000 | 25,000 | 25,000 | 20,000 | 75,000 |
| Biocide | MIC, mg/L/Change Compared to MIC at pH 7.0, Times | ||
|---|---|---|---|
| S. aureus | P. aeruginosa | Y. lipolytica | |
| B | 50/2.5 times higher | 40/2.0 times higher | 80/2.0 times higher |
| DBNPA | 300/3.0 times higher | 100/4.0 times higher | 100/2.0 times higher |
| SH | 300/3.0 times higher | 600/2.0 times higher | 450/1.5 times higher |
| Biocide | MIC, mg/L/Change Compared to MIC at pH 7.0, Times | ||
|---|---|---|---|
| S. aureus | P. aeruginosa | Y. lipolytica | |
| B | 8/2.5 times less | 10/2.0 times less | 30/1.3 times less |
| DBNPA | 25/4.0 times less | 10/2.5 times less | 50/no change |
| SH | 75/1.3 times less | 200/1.5 times less | 300/no change |
| Incubation Time with the Addition of P, Days | MIC, mg/L/Change Compared to MIC at pH 7.0, Times | ||
|---|---|---|---|
| S. aureus | P. aeruginosa | Y. lipolytica | |
| 5 | 4000/no change | 9000/1.13 times higher | 12,000/1.20 times higher |
| 8 | 4000/no change | 10,000/1.25 times higher | 15,000/1.50 times higher |
| 10 | 5000/1.25 times higher | 10,000/1.25 times higher | 15,000/1.50 times higher |
| Biocide | MIC, mg/L | MBC, mg/L | Tested Concentrations, mg/L |
|---|---|---|---|
| B | 20–40 | 20–300 | 10; 30; 60; 100; 200; 500 |
| DBNPA | 25–200 | 25–800 | 3; 10; 30; 60 |
| SH | 100–600 | 300–25,000 | 50; 200; 600; 1500 |
| P | 4000–8000 | 15,000–75,000 | 1000; 3000; 6000; 15,000 |
| “Latrina” | ≥20 | ≥25 | 700, 1400 |
| Biocide, mg/L | Aerobic Conditions | Anaerobic Conditions | ||||
|---|---|---|---|---|---|---|
| Specific Rate of O2 Consumption | CFU/mL | Specific Rate of CO2 Production | CFU/mL | |||
| mM O2/ (mL FS ∗ Day) | in % of Control | mM CO2/ (mL FS ∗ Day) | in % of Control | |||
| 0 (Control) | 0.0121 | 100 | 2.1 × 107 | 0.00265 | 100 | 8.6 × 105 |
| Bronopol | ||||||
| 3 | 0.0118 | 97.5 | 3.3 × 105 | 0.000982 | 37.1 | 4.1 × 105 |
| 10 | 0.0114 | 94.2 | 7.5 × 104 | 0.000663 | 25.0 | 3.9 × 104 |
| 30 | 0.00971 | 80.2 | 4.5 × 102 | 0.000571 | 21.5 | 1.4 × 103 |
| 60 | 0.00793 | 65.5 | 0 | 0.000285 | 10.8 | 1.0 × 103 |
| DBNPA | ||||||
| 10 | 0.0113 | 93.4 | 6.3 × 105 | 0.00255 | 96.2 | 5.5 × 105 |
| 30 | 0.00986 | 81.5 | 1.1 × 105 | 0.00246 | 92.8 | 4.0 × 105 |
| 60 | 0.00964 | 79.7 | 9.2 × 104 | 0.00236 | 89.1 | 1.1 × 104 |
| 100 | 0.00948 | 78.3 | 7.3 × 103 | 0.00179 | 67.5 | 6.9 × 103 |
| 200 | 0.00736 | 60.8 | 2.2 × 101 | 0.00106 | 40.0 | 5.6 × 103 |
| 500 | 0.00450 | 37.2 | 0 | 0.000467 | 17.6 | 4.1 × 102 |
| Sharomix | ||||||
| 60 | 0.0118 | 97.5 | 1.1 × 105 | 0.000884 | 33.4 | 1.2 × 105 |
| 200 | 0.0107 | 88.4 | 2.8 × 104 | 0.000663 | 25.0 | 7.3 × 103 |
| 500 | 0.00564 | 46.6 | 6.1 × 102 | 0.000393 | 14.8 | 7.2 × 102 |
| 1500 | 0.00150 | 12.4 | 0 | 0.000182 | 6.9 | 4.0 × 102 |
| Sodium percarbonate | ||||||
| 1000 | 0.0109 | 90.1 | 5.6 × 104 | 0.000250 | 9.4 | 2.4 × 104 |
| 3000 | 0.00928 | 76.7 | 4.9 × 103 | 0.000172 | 6.5 | 8.9 × 102 |
| 6000 | 0.00743 | 61.4 | 0 | 0.000118 | 4.5 | 3.2 × 102 |
| 15,000 | 0.00107 | 8.8 | 0 | 0.0000540 | 2.0 | 0 |
| “Latrina” | ||||||
| 700 | 0.00875 | 72.3 | 9.2 × 105 | 0.000491 | 18.5 | 5.5 × 104 |
| 1400 | 0.00743 | 61.4 | 8.1 × 105 | 0.000393 | 14.8 | 5.2 × 102 |
| Biocide | Concentration, mg/L | Aerobic Conditions | Anaerobic Conditions | ||
|---|---|---|---|---|---|
| pH | BOD5 | pH | BOD5 | ||
| Control | 0 | 8.9 | 5690 | 8.78 | 5690 |
| Latrina | 700 | 8.92 | 2050 | 8.64 | 5294 |
| 1400 | 8.89 | 2027 | 8.65 | 4500 | |
| DBNPA | 200 | 8.93 | 5570 | 8.66 | 5513 |
| 500 | 8.94 | 5510 | 8.65 | 5120 | |
| B | 30 | 8.85 | 3720 | 8.84 | 4978 |
| 60 | 8.79 | 1500 | 8.79 | 4710 | |
| SH | 600 | 8.9 | 4856 | 8.8 | 4962 |
| 1500 | 8.92 | 1800 | 8.82 | 4896 | |
| P | 10,000 | 9.5 | 5800 | 9.34 | 5450 |
| 15,000 | 9.57 | 4235 | 9.5 | 4890 | |
Disclaimer/Publisher’s Note: The statements, opinions and data contained in all publications are solely those of the individual author(s) and contributor(s) and not of MDPI and/or the editor(s). MDPI and/or the editor(s) disclaim responsibility for any injury to people or property resulting from any ideas, methods, instructions or products referred to in the content. |
© 2022 by the authors. Licensee MDPI, Basel, Switzerland. This article is an open access article distributed under the terms and conditions of the Creative Commons Attribution (CC BY) license (https://creativecommons.org/licenses/by/4.0/).
Share and Cite
Loiko, N.; Kanunnikov, O.; Tereshkina, K.; Pankratov, T.; Belova, S.; Botchkova, E.; Vishnyakova, A.; Litti, Y. Biocides with Controlled Degradation for Environmentally Friendly and Cost-Effective Fecal Sludge Management. Biology 2023, 12, 45. https://doi.org/10.3390/biology12010045
Loiko N, Kanunnikov O, Tereshkina K, Pankratov T, Belova S, Botchkova E, Vishnyakova A, Litti Y. Biocides with Controlled Degradation for Environmentally Friendly and Cost-Effective Fecal Sludge Management. Biology. 2023; 12(1):45. https://doi.org/10.3390/biology12010045
Chicago/Turabian StyleLoiko, Nataliya, Oleg Kanunnikov, Ksenia Tereshkina, Timofei Pankratov, Svetlana Belova, Ekaterina Botchkova, Anastasia Vishnyakova, and Yuriy Litti. 2023. "Biocides with Controlled Degradation for Environmentally Friendly and Cost-Effective Fecal Sludge Management" Biology 12, no. 1: 45. https://doi.org/10.3390/biology12010045
APA StyleLoiko, N., Kanunnikov, O., Tereshkina, K., Pankratov, T., Belova, S., Botchkova, E., Vishnyakova, A., & Litti, Y. (2023). Biocides with Controlled Degradation for Environmentally Friendly and Cost-Effective Fecal Sludge Management. Biology, 12(1), 45. https://doi.org/10.3390/biology12010045

