The Ecological-Health Risks of Potentially Toxic Metals in the Surface Sediments and Leaves of Salt-Secreting Avicennia officinalis as Potential Phytoremediators: A Field-Based Biomonitoring Study from Klang Mangrove Area
Abstract
Simple Summary
Abstract
1. Introduction
2. Materials and Methods
2.1. Sampling Site Descriptions
2.2. Metal Analysis
2.3. Ecological Risk Assessments
2.3.1. Geoaccumulation Index
2.3.2. Ecological Risk Index
2.4. Human Health Risk Assessment
2.5. Calculation of Bioconcentration Factor
2.6. Statistical Analysis
3. Results
3.1. Ecological-Health Risk Assessments of Surface Sediments
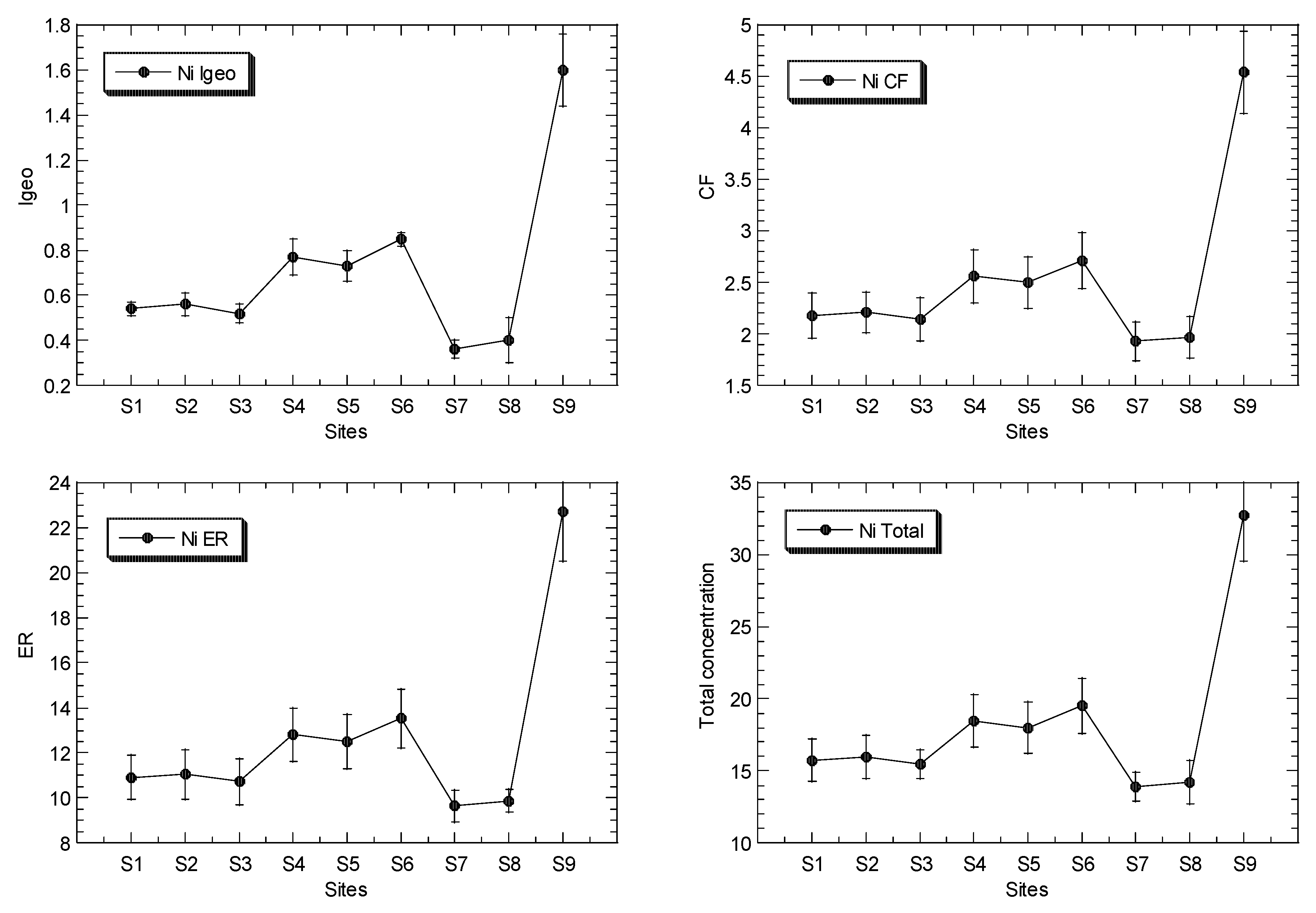
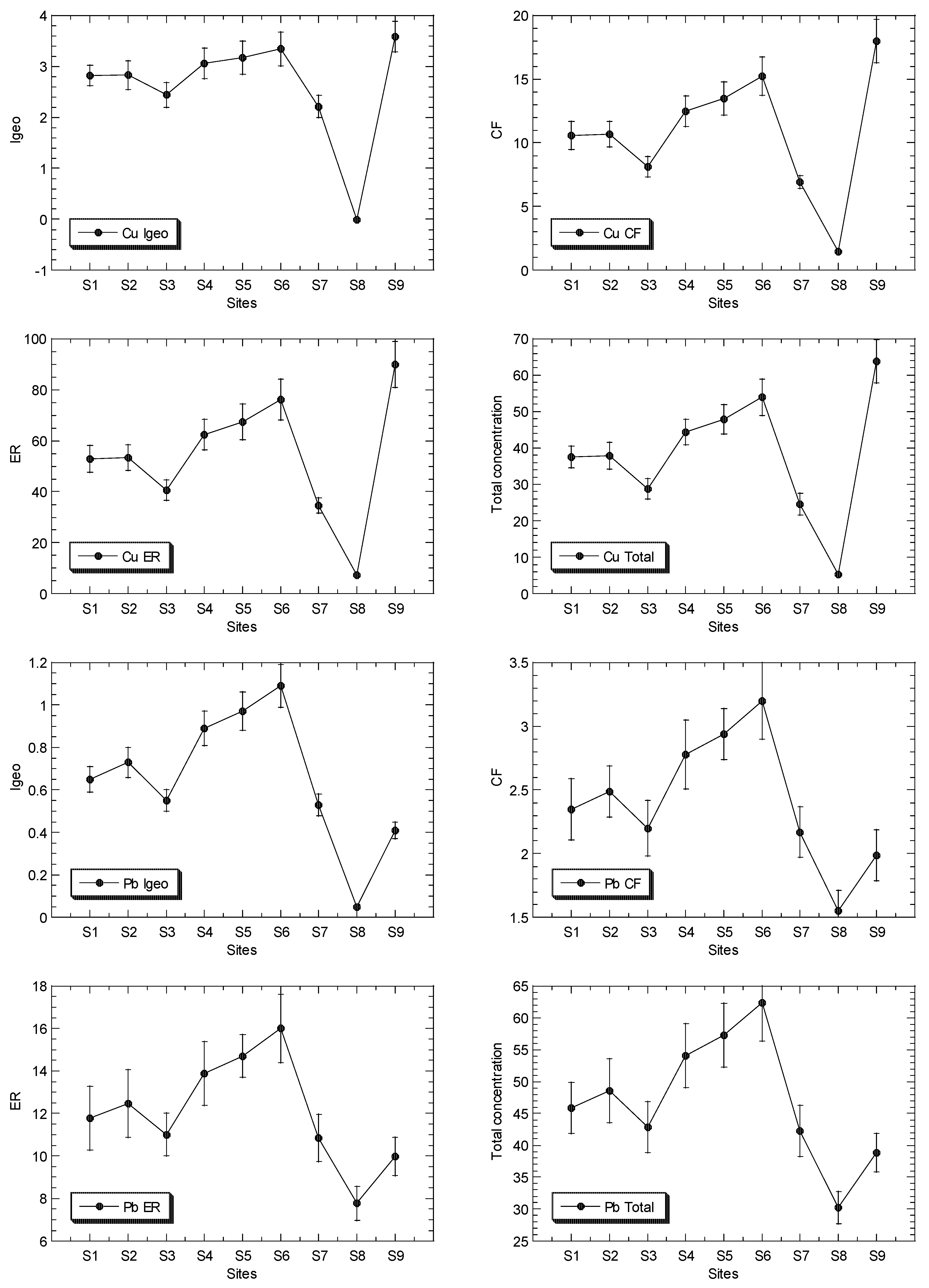
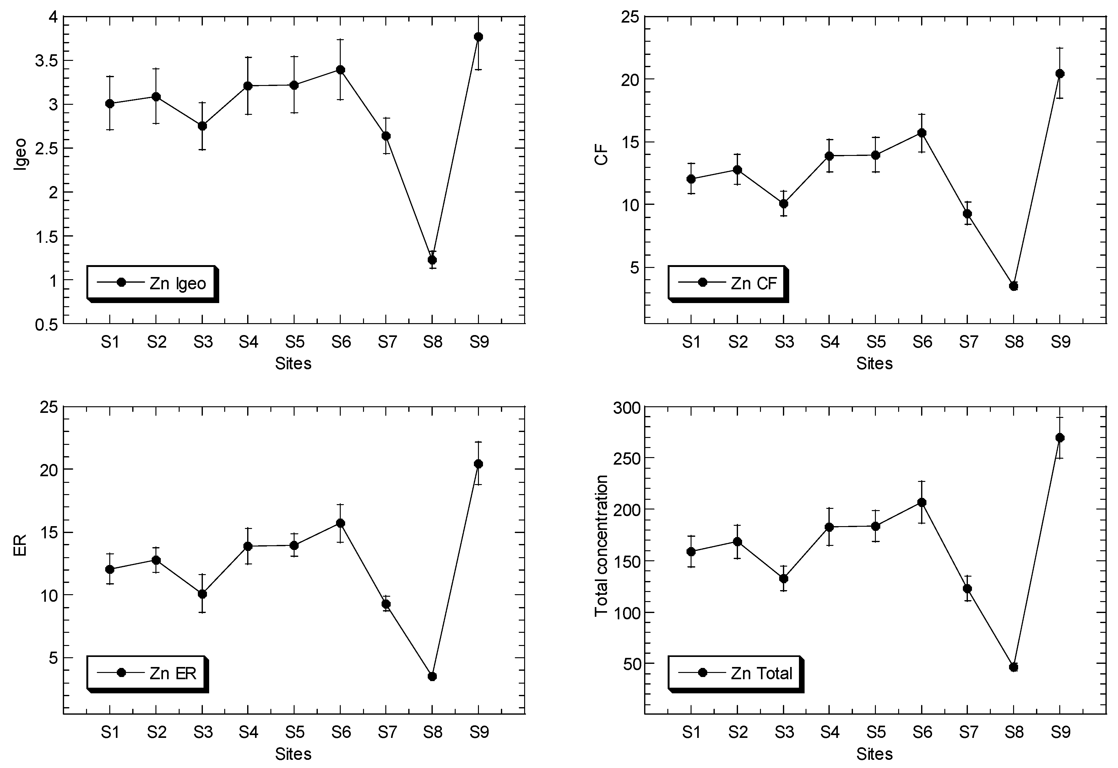
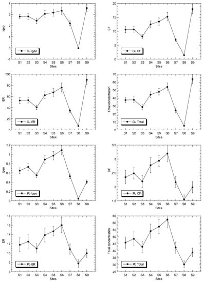
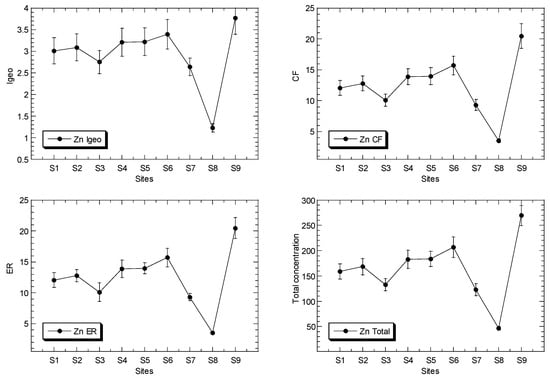
3.1.1. Total Concentrations of PTM and Ecological Risks Indices
3.1.2. Health Risk Assessments of Surface Sediments
3.2. Phytoextraction Potentials of Mangrove Leaves
3.2.1. Zinc
3.2.2. Iron
3.2.3. Lead
3.2.4. Copper
3.2.5. Nickel
4. Discussion
4.1. Mangrove Leaves of Avicennia Officinalis Have Low Metal Concentrations
4.2. The Mangrove of Avicennia Officinalis to Act as a Potential Phytoremediator of Potentially Toxic Metals
4.3. The Lamina Has a Better Potential as a Phytoremediator of Essential Cu, Zn and Fe, While the Midrib plus Petiole has a Better Potential as a Phytoremediator of non-essential Pb and Ni
4.4. Comparative Levels of Metals with Reported Studies
4.5. The Need for Conservation at Klang Mangrove Ecosystem
5. Conclusions
Supplementary Materials
Author Contributions
Funding
Institutional Review Board Statement
Informed Consent Statement
Data Availability Statement
Acknowledgments
Conflicts of Interest
References
- Qiu, Y.-W.; Yu, K.-F.; Zhang, G.; Wang, W.-X. Accumulation and partitioning of seven trace metals in mangroves and sediment cores from three estuarine wetlands of Hainan Island, China. J. Hazard. Mater. 2011, 190, 631–638. [Google Scholar] [CrossRef] [PubMed]
- Usman, A.R.A.; Alkredaa, R.S.; Al-Wabel, M.I. Heavy metal contamination in sediments and mangroves from the coast of Red Sea: Avicennia marina as potential metal bioaccumulator. Ecotox. Environ. Saf. 2013, 97, 263–270. [Google Scholar] [CrossRef] [PubMed]
- Alzahrani, D.A.; El-Metwally, M.S.; Mohsen, M.E. Ecological assessment of heavy metals in the grey mangrove (Avicennia marina) and associated sediments along the Red Sea coast of Saudi Arabia. Oceanologia 2018, 60, 513–526. [Google Scholar] [CrossRef]
- Fernandes, L.; Nayak, G.N.; Ilangovan, D. Geochemical assessment of metal concentrations in mangrove sediments along Mumbai Coast, India. World Acad. Sci. Eng. Technol. 2012, 61, 258–263. [Google Scholar]
- Defew, L.H.; Mair, J.M.; Guzman, H.M. An assessment of metal contamination in mangrove sediments and leaves from Punta Mala Bay, Pacific Panama. Mar. Pollut. Bull. 2005, 50, 547–552. [Google Scholar] [CrossRef] [PubMed]
- Yim, M.W.; Tam, N.F.Y. Effects of wastewater-borne heavy metals on mangrove plants and soil microbial activities. Mar. Pollut. Bull. 1999, 39, 179–186. [Google Scholar] [CrossRef]
- Bodin, N.; N′Gom-Kâ, R.; Kâ, S.; Thiaw, O.T.; Tito de Morais, L.; Le Loc′h, F.; Rozuel-Chartier, E.; Auger, D.; Chiffoleau, J.F. Assessment of trace metal contamination in mangrove ecosystems from Senegal West Africa. Chemosphere 2013, 90, 150–157. [Google Scholar] [CrossRef]
- Nath, B.; Birch, G.; Chaudhuri, P. Assessment of sediment quality in Avicennia marina-dominated embayments of Sydney Estuary: The potential use of pneumatophores (aerial roots) as a bio-indicator of trace metal contamination. Sci. Total Environ. 2014, 15, 1010–1022. [Google Scholar] [CrossRef]
- Aljahdali, M.O.; Alhassan, A.B. Ecological risk assessment of heavy metal contamination in mangrove habitats, using biochemical markers and pollution indices: A case study of Avicennia marina L. in the Rabigh lagoon, Red Sea. Saudi J. Biol. Sci. 2020, 27, 1174–1184. [Google Scholar] [CrossRef]
- Parvaresh, H.; Abedi, Z.; Farshchi, P.; Karami, M.; Khorasani, N.; Karbassi, A. Bioavailability and concentration of heavy metals in the sediments and leaves of grey mangrove, Avicennia marina (Forsk.) Vierh, in Sirik Azini Creek, Iran. Biol. Trace Elem. Res. 2011, 143, 1121–1130. [Google Scholar] [CrossRef]
- Peng, L.; Wenjian, Z.; Zhenji, L. Distribution and accumulation of heavy metals in Avicennia marina community in Shenzhen, China. J. Environ. Sci. 1997, 9, 472–479. [Google Scholar]
- Marchand, C.; Fernandez, J.M.; Moreton, B.; Landi, L.; Lallier-Vergès, E.; Baltzer, F. The partitioning of transitional metals (Fe, Mn, Ni, Cr) in mangrove sediments downstream of a ferralitized ultramafic watershed (New Caledonia). Chem. Geol. 2012, 300–301, 70–80. [Google Scholar] [CrossRef]
- Chaudhuri, P.; Nath, B.; Birch, G. Accumulation of trace metals in grey mangrove Avicennia marina fine nutritive roots: The role of rhizosphere processes. Mar. Poll. Bull. 2014, 79, 284–292. [Google Scholar] [CrossRef] [PubMed]
- Thomas, C.; Eong, O.J. Effects of the heavy metals Zn and Pb on R. mucronata and A. alba seedlings. In Research and Management, Proceedings of the Asian Symposium on Mangroves and Environment, Kuala Lumpur, Malaysia, 25–29 August 1980; Soepadmo, E., Rao, A.M., MacIntosh, M.D., Eds.; ISME: Kuala Lumpur, Malaysia, 1984; pp. 568–574. [Google Scholar]
- MacFarlane, G.R.; Burchett, M.D. Toxicity, growth and accumulation relationships of copper, lead and zinc in the Grey Mangrove Avicennia marina (Forsk.) Veirh. Mar. Environ. Res. 2002, 54, 65–84. [Google Scholar] [CrossRef] [PubMed]
- Omar, T.F.T.; Aris, A.Z.; Yusoff, F.M.; Mustafa, S. Occurrence, distribution, and sources of emerging organic contaminants in tropical coastal sediments of anthropogenically impacted Klang River estuary, Malaysia. Mar. Pollut. Bull. 2018, 131, 284–293. [Google Scholar] [CrossRef]
- EL Turk, M.; Abdullah, R.; Mohamad Zakaria, R.; Abu Bakar, N.K. Heavy metal contamination in mangrove sediments in Klang estuary, Malaysia: Implication of risk assessment. Estuar. Coast. Shelf Sci. 2019, 226, 106266. [Google Scholar] [CrossRef]
- MacFarlane, G.F.; Koller, C.E.; Blomberg, S.P. Accumulation and partitioning of heavy metals in mangroves: A synthesis of field-based studies. Chemosphere 2007, 69, 1454–1464. [Google Scholar] [CrossRef]
- Zakaria, M.H.; Sidik Bujang, J. Mangroves of Sungai Pulai Estuary, Johor. In Status of Mangrove in Malaysia; Omar, H., Husin, T.M., Parlan, I., Eds.; FRIM Special Publication No. 50; Forest Research Institute Malaysia, Ministry of Energy and Natural Resources: Selangor, Malaysia, 2020; Chapter 7; pp. 110–124. [Google Scholar]
- Alias, N.; Mansor, M.; Hussin, M.A.; Husin, T.M.; Azman, N.Z.N.; Hassan, N.A. Phenological Study of Mangrove Species on the West Coast Area of Peninsular Malaysia. In Status of Mangrove in Malaysia; Omar, H., Husin, T.M., Parlan, I., Eds.; FRIM Special Publication No. 50; Forest Research Institute Malaysia, Ministry of Energy and Natural Resources: Selangor, Malaysia, 2020; Chapter 5; pp. 86–93. [Google Scholar]
- Tomlinson, P.B. The Botany of Mangroves; Cambridge University Press: Cambridge, UK, 1986; 413p. [Google Scholar]
- Omar, H.; Misman, M.A. Extents and Distribution of Mangroves in Malaysia. In Status of Mangrove in Malaysia; Omar, H., Husin, T.M., Parlan, I., Eds.; FRIM Special Publication No. 50; Forest Research Institute Malaysia and Ministry of Energy and Natural Resources: Selangor, Malaysia, 2020; Chapter 1; pp. 1–42. [Google Scholar]
- Norhayati, A.; Shukor, M.N.; Juliana, S.; Wan Juliana, W. A Mangrove Flora and Fauna of Klang Islands Mangrove Forest Reserves, Selangor, Malaysia. Malays. J. Sci. 2009, 28, 275–288. [Google Scholar]
- Hattam, C.; Goh, H.C.; Then, A.Y.; Edwards-Jones, A.; Nabilah Ruslan, N.F.; Yap, J.S.E.; Moh, H.H. Using nexus thinking to identify opportunities for mangrove management in the Klang Islands, Malaysia. Estuar. Coast. Shelf Sci. 2020, 247, 106917. [Google Scholar] [CrossRef]
- Sany, S.B.T.; Salleh, A.; Rezayi, M.; Saadati, N.; Narimany, L.; Tehrani, G.M. Distribution and contamination of heavy metal in the coastal sediments of Port Klang, Selangor, Malaysia. Water Air Soil Pollut. 2013, 224, 1476. [Google Scholar] [CrossRef]
- Zaki, M.R.M.; Ying, P.X.; Zainuddin, A.H.; Razak, M.R.; Aris, A.Z. Occurrence, abundance, and distribution of microplastics pollution: An evidence in surface tropical water of Klang River estuary, Malaysia. Environ. Geochem. Health 2021, 43, 3733–3748. [Google Scholar] [CrossRef] [PubMed]
- Zaki, M.R.M.; Zaid, S.H.M.; Zainuddin, A.H.; Aris, A.Z. Microplastic pollution in tropical estuary gastropods: Abundance, distribution and potential sources of Klang River estuary, Malaysia. Mar. Pollut. Bull. 2021, 162, 111866. [Google Scholar] [CrossRef] [PubMed]
- Yap, C.K.; Mohd Ruszaidi, S.; Cheng, W.H.; Tan, S.G. Heavy-metal concentrations in the mangrove snail, Nerita lineata and surface sediments collected from klang river estuary, Selangor, Malaysia. J. Sustain. Sci. Manag. 2010, 5, 1–12. [Google Scholar]
- Naji, A.; Ismail, A. Sediment quality assessment of Klang Estuary, Malaysia. Aquat. Ecosyst. Health Manag. 2012, 15, 287–293. [Google Scholar] [CrossRef]
- Haris, H.; Aris, A.Z. Distribution of metals and quality of intertidal surface sediment near commercial ports and estuaries of urbanized rivers in Port Klang, Malaysia. Environ. Earth Sci. 2015, 73, 7205–7218. [Google Scholar] [CrossRef]
- Omar, T.F.T.; Aris, A.Z.; Yusoff, F.M.; Mustafa, S. Occurrence and level of emerging organic contaminant in fish and mollusk from Klang River estuary, Malaysia and assessment on human health risk. Environ. Pollut. 2019, 248, 763–773. [Google Scholar] [CrossRef]
- Omar, T.F.T.; Aris, A.Z.; Yusoff, F.M.; Mustafa, S. Risk assessment of pharmaceutically active compounds (PhACs) in the Klang River estuary, Malaysia. Environ. Geochem. Health 2019, 41, 211–223. [Google Scholar] [CrossRef]
- Yap, C.K.; Ismail, A.; Tan, S.G. Cd and Zn in the straits of Malacca and intertidal sediments of the west coast of Peninsular Malaysia. Mar. Pollut. Bull. 2003, 46, 1348–1353. [Google Scholar] [CrossRef]
- Cheng, W.H.; Yap, C.K. Potential human health risks from toxic metals via mangrove snail consumption and their ecological risk assessments in the habitat sediment from Peninsular Malaysia. Chemosphere 2015, 135, 156–165. [Google Scholar] [CrossRef]
- Yap, C.K.; Pang, B.H. Assessment of Cu, Pb, and Zn Contamination in Sediment of North Western Peninsular Malaysia by Using Sediment Quality Values and Different Geochemical Indices. Environ. Monit. Assess. 2011, 183, 23–39. [Google Scholar] [CrossRef]
- Yap, C.K.; Wong, C.H. Assessment Cu, Ni and Zn Pollution in the Surface Sediments in the Southern Peninsular Malaysia Using Cluster Analysis, Ratios of Geochemical Nonresistant to Resistant Fractions, and Geochemical Indices. Environ. Asia 2011, 4, 53–61. [Google Scholar] [CrossRef]
- Yap, C.K.; Pang, B.H. Anthropogenic Concentrations of Cd, Ni and Zn in the Intertidal, River and Drainage Sediments Collected from North Western Peninsular Malaysia. Pertanika J. Sci. Technol. 2011, 19, 93–107. [Google Scholar]
- Badri, M.A.; Aston, S.R. Observation on heavy metal geochemical associations in polluted and non-polluted estuarine sediments. Environ. Pollut. Ser. B Chem. Phys. 1983, 6, 181–193. [Google Scholar] [CrossRef]
- Muller, G. Index of Geoaccumulation in Sediments of the Rhine River. Geojournal 1969, 2, 108–118. [Google Scholar]
- Yap, C.K.; Noorhaidah, A. Gill and Digestive Caecum of Telescopium telescopium as Biomonitors of Pb Bioavailability and Contamination by Pb in the Tropical Intertidal Area. Sains Malays. 2011, 40, 175–1085. [Google Scholar]
- Yap, C.K.; Arifin, N.; Tan, S.G. Relationships of Copper Concentrations between the Different Soft Tissues of Telescopium telescopium and the Surface Sediments Collected from Tropical Intertidal Areas. Int. J. Chem. 2013, 5, 8–19. [Google Scholar] [CrossRef]
- Yap, C.K.; Noorhaidah, A.; Tan, S.G. Digestive Cecum and Tissue Redistribution in Gills of Telescopium telescopium as Indicators of Ni Bioavailabilities and Contamination in Tropical Intertidal Areas. Water. Air. Soil Pollut. 2012, 223, 2891–2905. [Google Scholar] [CrossRef]
- Yap, C.K.; Noorhaidah, A.; Tan, S.G. Zn Concentrations in the Different Soft Tissues of Telescopium telescopium and Their Relationships with Zn Speciation by Sequential Extraction in Surface Sediments: A Statistical Multiple Linear Stepwise Regression Analysis. In Gastropods: Diversity, Habitat, and Genetics; Branchi, A.M., Fields, J.N., Eds.; Nova Science Publishers Inc.: New York, NY, USA, 2011; pp. 127–148. ISBN 978-1-61324-695-5. [Google Scholar]
- Hakanson, L. An Ecological Risk Index for Aquatic Pollution Control. A Sedimentological Approach. Water Res. 1980, 14, 975–1001. [Google Scholar] [CrossRef]
- USEPA. Superfund Public Health Evaluation Manual; U.S. Environmental Protection Agency: Washington, DC, USA, 1986; pp. 1–86.
- USEPA. Human Health Evaluation Manual. In Risk Assessment Guidance for Superfund; EPA/540/1-89/002; Office of Emergency and Remedial Response, U.S. Environmental Protection Agency: Washington, DC, USA, 1989; Volume 1. [Google Scholar]
- USEPA. Exposure Factors Handbook; EPA/600/P-95/002F; National Center for Environmental Assessment, US EPA Office of Research and Development: Washington, DC, USA, 1997.
- USEPA. Baseline Human Health Risk Assessment Vasquez Boulevard and I-70 Superfund Site Demver, Co; U.S. Environmental Protection Agency: Washington, DC, USA, 2001.
- Chabukdhara, M.; Nema, A.K. Heavy Metals Assessment in Urban Soil around Industrial Clusters in Ghaziabad, India: Probabilistic Health Risk Approach. Ecotoxicol. Environ. Saf. 2013, 87, 57–64. [Google Scholar] [CrossRef]
- Qing, X.; Yutong, Z.; Shenggao, L. Assessment of Heavy Metal Pollution and Human Health Risk in Urban Soils of Steel Industrial City (Anshan), Liaoning, Northeast China. Ecotoxicol. Environ. Saf. 2015, 120, 377–385. [Google Scholar] [CrossRef]
- Ferreira-Baptista, L.; De Miguel, E. Geochemistry and Risk Assessment of Street Dust in Luanda, Angola: A Tropical Urban Environment. Atmos. Environ. 2005, 39, 4501–4512. [Google Scholar] [CrossRef]
- Hu, X.; Zhang, Y.; Luo, J.; Wang, T.; Lian, H.; Ding, Z. Bioaccessibility and Health Risk of Arsenic, Mercury and Other Metals in Urban Street Dusts from a Mega-City, Nanjing, China. Environ. Pollut. 2011, 159, 1215–1221. [Google Scholar] [CrossRef] [PubMed]
- Kelepertzis, E. Investigating the Sources and Potential Health Risks of Environmental Contaminants in the Soils and Drinking Waters from the Rural Clusters in Thiva Area (Greece). Ecotoxicol. Environ. Saf. 2014, 100, 258–265. [Google Scholar] [CrossRef] [PubMed]
- Li, Z.; Ma, Z.; van der Kuijp, T.J.; Yuan, Z.; Huang, L. A Review of Soil Heavy Metal Pollution from Mines in China: Pollution and Health Risk Assessment. Sci. Total Environ. 2014, 468, 843–853. [Google Scholar] [CrossRef]
- Brooks, R.R. Geobotany and hyperaccumulators. In Plants that Hyperaccumulate Heavy Metals; Brooks, R.R., Ed.; University Press: Cambridge, UK, 1998; pp. 55–94. [Google Scholar]
- Chakraborty, D.; Bhar, S.; Majumdar, J.; Santra, S.C. Heavy metal pollution and Phytoremediation potential of Avicennia officinalis L. in the southern coast of the Hoogly estuarine system. Int. J. Environ. Sci. 2013, 3, 2291–2303. [Google Scholar]
- Shapiro, S.S.; Wilk, M.B. An Analysis of Variance Test for Normality (Complete Samples). Biometrika 1965, 52, 591–611. [Google Scholar] [CrossRef]
- Ghasemi, A.; Zahediasl, S. Normality tests for statistical analysis: A guide for non-statisticians. Int. J. Endocrinol. Metab. 2012, 10, 486–489. [Google Scholar] [CrossRef]
- Mishra, P.; Pandey, C.M.; Singh, U.; Gupta, A.; Sahu, C.; Keshri, A. Descriptive statistics and normality tests for statistical data. Ann. Card. Anaesth. 2019, 22, 67–72. [Google Scholar] [CrossRef]
- Zar, J.H. Biostatistical Analysis, 3rd ed.; Prentice-Hall International: Upper Saddle River, NJ, USA, 1996. [Google Scholar]
- Manly, B.F.J. Multivariate Statistical Methods: A Primer, 2nd ed.; Chapman and Hall: London, UK, 1997. [Google Scholar]
- Yap, C.K.; Rahim Ismail, A.; Ismail, A.; Tan, S.G. Analysis of heavy metal level data (Cd, Cu, Pb and Zn) in different geochemical fractions of the surface sediments in the Straits of Malacca by the use of correlation and multiple linear stepwise regression analyses. Malays. Appl. Biol. 2005, 34, 51–59. [Google Scholar]
- Yap, C.K.; Edward, F.B.; Tan, S.G. Similarities and differences of metal distributions in the tissues of molluscs by using multivariate analyses. Environ. Monitor. Assess. 2010, 165, 39–53. [Google Scholar] [CrossRef]
- Noorhaidah, A.; Yap, C.K. Correlations between speciation of Zn in sediment and their concentrations in different soft tissue of Telescopium telescopium from the intertidal area of Peninsular Malaysia. Pertanika J. Trop. Agric. Sci. 2010, 33, 79–90. [Google Scholar]
- Yap, C.K.; Rahim Ismail, A. Relationships of distribution of macrobenthic invertebrates and the physico-chemical parameters from Semenyih River by using correlation and multiple linear stepwise regression analyses. Pertanika J. Trop. Agric. Sci. 2011, 34, 229–245. [Google Scholar]
- Yap, C.K.; Rahim Ismail, A.; Ismail, A.; Tan, S.G. Studies on heavy metal accumulations in green-lipped mussel Perna viridis by using multiple linear stepwise regression analysis. Pertanika J. Sci. Technol. 2003, 11, 43–55. [Google Scholar]
- Long, E.R.; MacDonald, D.D.; Smith, S.L.; Calder, F.D. Incidence of adverse biological effects within ranges of chemical concentrations in marine and estuarine sediments. Environ. Manag. 1995, 19, 81–97. [Google Scholar] [CrossRef]
- Macdonald, D.D.; Carr, R.S.; Calder, F.D.; Long, E.R.; Ingersoll, C.G. Development and evaluation of sediment quality guidelines for Florida coastal waters. Ecotoxicology 1996, 5, 253–278. [Google Scholar] [CrossRef] [PubMed]
- Chapman, P.M.; Allard, P.J.; Vigers, G.A. Development of Sediment Quality Values for Hong Kong Special Administrative Region: A Possible Model for Other Jurisdictions. Mar. Pollut. Bull. 1999, 38, 161–169. [Google Scholar] [CrossRef]
- Wedepohl, K.H. The Composition of the Continental Crust. Geochim. Cosmochim. Acta 1995, 59, 1217–1232. [Google Scholar] [CrossRef]
- Lacerda, L.D. Trace metals in mangrove plants: Why such low concentrations? In Mangrove Ecosystem Studies in Latin America and Africa; Kjerfve, B., Lacerda, L.D., Diop, H.S., Eds.; UNESCO: Paris, France, 1997; pp. 171–178. [Google Scholar]
- Harbison, P. Mangrove muds—A sink and a source for trace metals. Mar. Pollut. Bull. 1986, 17, 246–250. [Google Scholar] [CrossRef]
- MacFarlane, G.R.; Pulkownik, A.; Burchett, M.D. Accumulation and distribution of heavy metals in the grey mangrove, Avicennia marina (Forsk.)Vierh.: Biological indication potential. Environ. Pollut. 2003, 123, 139–151. [Google Scholar] [CrossRef]
- Greger, M. Metal availability, uptake, transport and accumulation in plants. In Heavy Metal Stress in Plants: From Biomolecules to Ecosystems; Prasad, M.N.V., Ed.; Springer: Berlin, Germany, 2004; pp. 1–27. [Google Scholar]
- Lacerda, L.D.; Abrao, J.J. Heavy metal accumulation by mangrove and saltmarsh intertidal sediments. Rev. Bras. Biol. 1984, 7, 49–52. [Google Scholar]
- Lacerda, L.D. The biogeochemistry and trace metal distribution of mangrove rhizospheres. Biotropica 1993, 25, 252. [Google Scholar] [CrossRef]
- MacFarlane, G.R.; Burchett, M.D. Cellular distribution of copper, lead and zinc in the grey mangrove, Avicennia marina (Forsk.) Vierh. Aquat. Bot. 2000, 68, 45–59. [Google Scholar] [CrossRef]
- Ma, L.Q.; Komar, K.M.; Tu, C.; Zhang, W.; Cai, Y.; Kennelley, E.D. A fern that hyperaccumulates arsenic. Nature 2001, 409, 579. [Google Scholar] [CrossRef] [PubMed]
- Zhao, F.J.; Lombi, E.; McGrath, S.P. Assessing the potential for zinc and cadmium phytoremediation with the hyperaccumulator Thlaspi caerulescens. Plant Soil 2003, 249, 37–43. [Google Scholar] [CrossRef]
- McGrath, S.P. Phytoextraction for soil remediation. In Plants that Hyperaccumulate Heavy Metals; Brooks, R.R., Ed.; University Press: Cambridge, UK, 1998; pp. 261–287. [Google Scholar]
- Salt, D.E.; Blaylock, M.; Kumar, P.B.A.N.; Dushenko, V.; Ensley, B.D.; Chet, I.; Raskin, I. Phytoremediation: A novel strategy for the removal of toxic metals from the environment using plants. Bio Technol. 1995, 13, 468–474. [Google Scholar] [CrossRef]
- Ghosh, S.; Bakshi, M.; Mahanty, S.; Chaudhuri, P. Understanding potentially toxic metal (PTM) induced biotic response in two riparian mangrove species Sonneratia caseolaris and Avicennia officinalis along river Hooghly, India: Implications for sustainable sediment quality management. Mar. Environ. Res. 2021, 172, 105486. [Google Scholar] [CrossRef]
- Ghosh, S.; Bakshi, M.; Mahanty, S.; Chaudhuri, P. Assessment of role of rhizosphere process in bioaccumulation of heavy metals in fine nutritive roots of riparian mangrove species in river Hooghly: Implications to global anthropogenic environmental changes. Mar. Poll. Bull. 2022, 174, 113157. [Google Scholar] [CrossRef]
- Kholoud, A.S.; Mohammad, S.A.; Ahmed, A.S.; Asma, A. Assessing Heavy Metals Accumulation in the Leaves and Sediments of Urban Mangroves (Avicennia marina (Forsk.) Vierh.) in Bahrain. Int. J. Ecol. 2017, 2017, 3978216. [Google Scholar] [CrossRef]
- Violintzis, C.; Arditsoglou, A.; Voutsa, D. Elemental composition of suspended particulate matter and sediments in the coastal environment of Thermaikos Bay, Greece: Delineating the impact of inland waters and wastewaters. J. Hazard. Mater. 2009, 166, 1250–1260. [Google Scholar] [CrossRef]
- Baker, A.J.M. Accumulators and excluders: Strategies in the response of plants to heavy metals. J. Plant Nutr. 1981, 3, 643–656. [Google Scholar] [CrossRef]
- Arumugam, G.; Rajendran, R.; Ganesan, A.; Sethu, R. Bioaccumulation and translocation of heavy metals in mangrove rhizosphere sediments to tissues of Avicenia marina—A field study from tropical mangrove forest. Environ. Nanotechnol. Monitor. Manag. 2018, 10, 272–279. [Google Scholar] [CrossRef]
- Souza, I.C.; Rocha, L.D.; Morozesk, M.; Bonomo, M.M.; Arrivabene, H.P.; Duarte, I.D.; Furlan, L.M.; Monferrán, M.V.; Mazik, K.; Elliott, M.; et al. Changes in bioaccumulation and translocation patterns between root and leafs of Avicennia schaueriana as adaptive response to different levels of metals in mangrove system. Mar. Poll. Bull. 2015, 94, 176–184. [Google Scholar] [CrossRef] [PubMed]
- McLean, J.E.; Bledsoe, B.E. Behaviour of Metals in Soils. EPA Ground Water Issue, EPA 540-S-92-018:25pp; Environmental Protection Agency: Washington, DC, USA, 1992; 25p.
- Sarangi, R.K.; Kathiresan, K.; Subramanian, A.N. Metal concentrations in five mangrove species of the Bhitarkanika, Orissa, east coast of India. Indian J. Mar. Sci. 2002, 31, 251–253. [Google Scholar]
- Thomas, G.; Fernandez, T.V. Incidence of heavy metals in the mangrove flora and sediments in Kerala, India. Hydrobiologia 1997, 352, 77–87. [Google Scholar] [CrossRef]
- Tam, N.F.Y.; Wong, Y.S. Spatial variation of heavy metals in surface sediments of Hong Kong mangrove swamps. Environ. Pollut. 2000, 110, 195–205. [Google Scholar] [CrossRef]
- Kabata-Pendias, A.; Pendias, H. Trace Elements in Soils and Plants, 2nd ed.; CRC Press Inc.: Boca Raton, FL, USA, 1992. [Google Scholar]
- Alharbi, O.M.L.; Khattab, R.A.; Ali, I.; Binnaser, Y.S.; Aqeel, A. Assessment of heavy metals contamination in the sediments and mangroves (Avicennia marina) at Yanbu coast, Red Sea, Saudi Arabia. Mar. Pollut. Bull. 2019, 149, 110669. [Google Scholar] [CrossRef]
- Bakshi, M.; Ghosh, S.; Chakraborty, D.; Hazra, S.; Chaudhuri, P. Assessment of potentially toxic metal (PTM) pollution in mangrove habitats using biochemical markers: A case study on Avicennia officinalis L. in and around Sundarban, India. Mar. Pollut. Bull. 2018, 133, 157–172. [Google Scholar] [CrossRef]
- Ghasemi, S.; Siavash, M.S.; Rahimi, A.; Damalas, C.A.; Naji, A. Phytomanagement of trace metals in mangrove sediments of Hormozgan, Iran, using gray mangrove (Avicennia marina). Environ. Sci. Pollut. Res. 2018, 25, 28195–28205. [Google Scholar] [CrossRef]
- Kaewtubtim, P.; Meeinkuirt, W.; Seepom, S.; Pichtel, J. Phytomanagement of radionuclides and heavy metals in mangrove sediments of Pattani Bay, Thailand using Avicennia marina and Pluchea indica. Mar. Pollut. Bull. 2018, 127, 320–333. [Google Scholar] [CrossRef]
- Nath, B.; Chaudhuri, P.; Birch, G. Assessment of biotic response to heavy metal contamination in Avicennia marina mangrove ecosystems in Sydney Estuary, Australia. Ecotoxicol. Environ. Saf. 2014, 107, 284–290. [Google Scholar] [CrossRef]
- Hashim, R.; Kamali, B.; Tamin, N.M.; Zakaria, R. An integrated approach to coastal rehabilitation: Mangrove restoration in Sungai Haji Dorani, Malaysia. Estuar. Coast. Shelf Sci. 2010, 86, 118–124. [Google Scholar] [CrossRef]
- Reynolds, J.; Cranston, G. Nexus Thinking: Can it Slow the Great Acceleration. Nexus Network Think Piece (November 2014). Available online: https://www.cisl.cam.ac.uk/business-action/business-nature/natural-capital-impact-group/pdfs/nexus-thinking-can-it-slow-the-great-acceleration/view (accessed on 20 November 2022).
- Allouche, J.; Middletone, C.; Gyawali, D. The Water-Food-Energy Nexus: Power, Politics and Justice; Routledge: New York, NY, USA, 2019. [Google Scholar]
- Benson, D.; Gain, A.K.; Rouillard, J.J. Water governance in a comparative perspective: From IWRM to a ’nexus’ approach? Water Altern. 2015, 8, 756–773. [Google Scholar]
- Halbe, J.; Pahl-Wostl, C.; Lange, M.A.; Velonis, C. Governance of transitions towards sustainable development—The water–energy–food nexus in Cyprus. Water Int. 2015, 40, 877. [Google Scholar] [CrossRef]
- Taylor, S.R.; McLennan, S.M. The Geochemical Evolution of the Continental Crust. Rev. Geophys. 1995, 33, 241–265. [Google Scholar] [CrossRef]
- Rudnick, R.L.; Gao, S. 3.01—Composition of the Continental Crust. In Treatise on Geochemistry; Holland, H.D., Turekian, K.K., Eds.; Pergamon: Oxford, MS, USA, 2003; pp. 1–64. ISBN 978-0-08-043751-4. [Google Scholar]
- Cheng, W.H.; Yap, C.K.; Ismail, A.; Abdul Rahim, I. Distribution and concentrations of Ni in tissues of the gastropod Nerita lineata collected from intertidal areas of Peninsular Malaysia. Pertanika J. Trop. Agric. Sci. 2012, 35, 723–736. [Google Scholar]
- DB11/T 656-2009 2009; BQTSB (Beijing Quality and Technology Supervision Bureau) Environmental Site Assessment Guideline. BQTSB: Bejing, China, 2009.
- Barnes, D.G.; Dourson, M.; Dourson, M.; Preuss, P.; Barnes, D.G.; Bellin, J.; Derosa, C.; Engler, R.; Erdreich, L.; Farber, T.; et al. Reference Dose (RfD): Description and Use in Health Risk Assessments. Regul. Toxicol. Pharmacol. 1988, 8, 471–486. [Google Scholar] [CrossRef]






| Cu Total | Total Fe | Ni Total | Pb Total | Zn Total | |
|---|---|---|---|---|---|
| Minimum | 5.30 | 22,121 | 13.90 | 30.30 | 46.40 |
| Maximum | 63.80 | 27,906 | 32.70 | 62.30 | 269.00 |
| Mean | 38.24 | 23,735 | 18.22 | 46.94 | 163.60 |
| Median | 37.90 | 22,931 | 15.90 | 45.90 | 168.00 |
| SD | 17.29 | 2167 | 5.75 | 9.87 | 61.39 |
| SE | 5.76 | 885 | 1.92 | 3.29 | 20.46 |
| Skewness | −0.45 | 1.391 | 1.98 | −0.03 | −0.25 |
| Kurtosis | −0.30 | 0.422 | 2.73 | −0.75 | 0.16 |
| Cu Igeo | Ni Igeo | Pb Igeo | Zn Igeo | Cu CF | Ni CF | Pb CF | Zn CF | Cu ER | Ni ER | Pb ER | Zn ER | |
|---|---|---|---|---|---|---|---|---|---|---|---|---|
| Minimum | −0.01 | 0.36 | 0.05 | 1.23 | 1.49 | 1.93 | 1.55 | 3.53 | 7.45 | 9.64 | 7.77 | 3.53 |
| Maximum | 3.58 | 1.60 | 1.09 | 3.77 | 18.0 | 4.54 | 3.20 | 20.5 | 89.9 | 22.7 | 16.0 | 20.5 |
| Mean | 2.60 | 0.70 | 0.65 | 2.92 | 10.8 | 2.53 | 2.41 | 12.4 | 53.9 | 12.6 | 12.1 | 12.4 |
| Median | 2.83 | 0.56 | 0.65 | 3.09 | 10.68 | 2.21 | 2.35 | 12.79 | 53.41 | 11.05 | 11.77 | 12.79 |
| SD | 1.07 | 0.37 | 0.32 | 0.72 | 4.87 | 0.80 | 0.51 | 4.67 | 24.35 | 4.00 | 2.53 | 4.67 |
| SE | 0.36 | 0.12 | 0.11 | 0.24 | 1.62 | 0.27 | 0.17 | 1.56 | 8.12 | 1.33 | 0.84 | 1.56 |
| Skewness | −1.77 | 1.62 | −0.44 | −1.48 | −0.45 | 1.98 | −0.03 | −0.24 | −0.45 | 1.98 | −0.03 | −0.24 |
| Kurtosis | 2.19 | 1.81 | −0.40 | 1.67 | −0.29 | 2.72 | −0.75 | 0.16 | −0.29 | 2.74 | −0.75 | 0.16 |
| Cu | Intercept | CF | HI-A | F | df | |||||
| ER | 0.416195 | 1.130 | −0.140 | 93,254 | 2.24 | |||||
| Cu | Intercept | HQing-C | F2 | F | df | |||||
| HI-C | 1.53 × 10−6 | 1.000 | −0.001 | 2,661,948 | 2.24 | |||||
| Cu | Intercept | HQinh-A | Igeo | CF | F | df | ||||
| HI-A | −1.8 × 10−5 | 0.988 | −0.020 | 0.030 | 430,755 | 3.23 | ||||
| Pb | Intercept | CF | HQder-C | F2 | F | df | ||||
| ER | 0.313704 | 1.340 | −0.340 | 0.004 | 197,907 | 3.23 | ||||
| Pb | Intercept | HQing-C | SUM | F1 | F3 | F2 | Igeo | F4 | F | df |
| HI-C | 1.42 × 10−3 | 1.010 | −0.020 | 0.012 | −0.001 | −0.010 | −0.020 | 0.034 | 536,810 | 7.19 |
| Pb | Intercept | HQing-A | ER | F1 | F | df | ||||
| HI-A | −5.9 × 10−4 | 0.967 | 0.033 | 0.003 | 680,078 | 3.23 | ||||
| Zn | Intercept | F1 | F2 | F3 | F4 | SUM | F | df | ||
| ER | −2.50988 | −0.46 | −0.64 | −0.88 | −1.2 | 4.06 | 3077 | 5.21 | ||
| Zn | Intercept | HQing-C | F4 | F1 | Igeo | F | df | |||
| HI-C | −2.6 × 10−5 | 0.999 | 0.003 | 0.002 | −0.001 | 16,179,100 | 4.22 | |||
| Zn | Intercept | HQinh-A | F1 | F | df | |||||
| HI-A | −7.4 × 10−6 | 0.987 | 0.013 | 336,680 | 2.24 | |||||
| Ni | Intercept | CF | HQing-C | F | df | |||||
| ER | 0.357376 | 1.25 | −0.26 | 229,931 | 2.24 | |||||
| Ni | Intercept | HQder-C | Igeo | F | df | |||||
| HI-C | 4.47 × 10−5 | 0.98 | 0.17 | 1,594,926 | 2.24 | |||||
| Ni | Intercept | HQder-A | F | df | ||||||
| HI-A | 1.6 × 10−6 | 1.00 | 1,647,769 | 1.25 |
| HQing-C | HQing-A | HQinh-C | HQinh-A | HQder-C | HQder-A | HI-C | HI-A | |
|---|---|---|---|---|---|---|---|---|
| Minimum | 9.11 × 10−3 | 1.22 × 10−2 | 2.42 × 10−7 | 4.36 × 10−7 | 5.40 × 10−5 | 5.51 × 10−4 | 9.16 × 10−3 | 1.77 × 10−3 |
| Maximum | 2.15 × 10−2 | 2.88 × 10−2 | 5.70 × 10−7 | 1.03 × 10−6 | 1.27 × 10−5 | 1.30 × 10−3 | 2.16 × 10−2 | 4.18 × 10−3 |
| Mean | 1.19 × 10−2 | 1.60 × 10−2 | 3.17 × 10−7 | 5.72 × 10−7 | 7.08 × 10−5 | 7.23 × 10−4 | 1.20 × 10−2 | 2.33 × 10−3 |
| Median | 1.04 × 10−2 | 1.40 × 10−2 | 2.78 × 10−7 | 5.00 × 10−7 | 6.19 × 10−5 | 6.32 × 10−4 | 1.05 × 10−2 | 2.03 × 10−3 |
| SD | 3.80 × 10−3 | 5.08 × 10−4 | 1.00 × 10−7 | 1.82 × 10−7 | 2.23 × 10−5 | 2.29 × 10−4 | 3.81 × 10−3 | 7.37 × 10−4 |
| SE | 1.27 × 10−3 | 1.69 × 10−4 | 3.35 × 10−8 | 6.06 × 10−8 | 7.45 × 10−6 | 7.64 × 10−5 | 1.27 × 10−3 | 2.46 × 10−4 |
| Skewness | 1.98 | 1.98 | 1.99 | 1.99 | 1.98 | 1.99 | 1.97 | 1.98 |
| Kurtosis | 2.74 | 2.74 | 2.74 | 2.76 | 2.73 | 2.75 | 2.71 | 2.73 |
| HQing-C | HQing-A | HQinh-C | HQinh-A | HQder-C | HQder-A | HI-C | HI-A | |
|---|---|---|---|---|---|---|---|---|
| Minimum | 1.73 × 10−3 | 2.33 × 10−4 | 4.72 × 10−8 | 2.12 × 10−8 | 9.25 × 10−6 | 2.36 × 10−5 | 1.74 × 10−3 | 2.56 × 10−4 |
| Maximum | 2.09 × 10−2 | 2.81 × 10−3 | 5.69 × 10−7 | 2.56 × 10−7 | 1.12 × 10−4 | 2.85 × 10−4 | 2.10 × 10−2 | 3.09 × 10−3 |
| Mean | 1.25 × 10−2 | 1.68 × 10−3 | 3.41 × 10−7 | 1.54 × 10−7 | 6.69 × 10−5 | 1.71 × 10−4 | 1.26 × 10−2 | 1.85 × 10−3 |
| Median | 1.24 × 10−2 | 1.67 × 10−3 | 3.38 × 10−7 | 1.52 × 10−7 | 6.63 × 10−5 | 1.69 × 10−4 | 1.25 × 10−2 | 1.84 × 10−3 |
| SD | 5.67 × 10−3 | 7.60 × 10−4 | 1.54 × 10−7 | 6.94 × 10−8 | 3.03 × 10−5 | 7.72 × 10−5 | 5.70 × 10−3 | 8.39 × 10−4 |
| SE | 1.89 × 10−3 | 2.53 × 10−4 | 5.14 × 10−8 | 2.31 × 10−8 | 1.01 × 10−5 | 2.57 × 10−5 | 1.90 × 10−3 | 2.80 × 10−4 |
| Skewness | −0.45 | −0.44 | −0.45 | −0.45 | −0.43 | −0.45 | −0.45 | −0.45 |
| Kurtosis | −0.30 | −0.29 | −0.29 | −0.29 | −0.29 | −0.29 | −0.29 | −0.31 |
| HQing-C | HQing-A | HQinh-C | HQinh-A | HQder-C | HQder-A | HI-C | HI-A | |
|---|---|---|---|---|---|---|---|---|
| Minimum | 1.12 × 10−1 | 1.50 × 10−2 | 3.09 × 10−6 | 1.39 × 10−6 | 1.21 × 10−3 | 3.09 × 10−3 | 1.13 × 10−1 | 1.81 × 10−2 |
| Maxim um | 2.31 × 10−1 | 3.10 × 10−2 | 6.35 × 10−6 | 2.86 × 10−6 | 2.49 × 10−3 | 6.36 × 10−3 | 2.33 × 10−1 | 3.73 × 10−2 |
| Mean | 1.74 × 10−1 | 2.33 × 10−2 | 4.78 × 10−6 | 2.15 × 10−6 | 1.87 × 10−3 | 4.79 × 10−3 | 1.76 × 10−1 | 2.81 × 10−2 |
| Median | 1.70 × 10−1 | 2.28 × 10−2 | 4.67 × 10−6 | 2.10 × 10−6 | 1.83 × 10−3 | 4.68 × 10−3 | 1.72 × 10−1 | 2.75 × 10−2 |
| SD | 3.65 × 10−2 | 4.93 × 10−3 | 1.00 × 10−6 | 4.53 × 10−7 | 3.95 × 10−4 | 1.01 × 10−3 | 3.69 × 10−2 | 5.91 × 10−3 |
| SE | 1.22 × 10−2 | 1.64 × 10−3 | 3.35 × 10−7 | 1.51 × 10−7 | 1.32 × 10−4 | 3.36 × 10−4 | 1.23 × 10−2 | 1.97 × 10−3 |
| Skewness | −0.03 | −0.03 | −0.02 | −0.02 | −0.02 | −0.02 | −0.04 | −0.04 |
| Kurtosis | −0.73 | −0.75 | −0.75 | −0.75 | −0.76 | −0.75 | −0.74 | −0.74 |
| HQing-C | HQing-A | HQinh-C | HQinh-A | HQder-C | HQder-A | HI-C | HI-A | |
|---|---|---|---|---|---|---|---|---|
| Minimum | 2.03 × 10−3 | 2.72 × 10−4 | 5.55 × 10−8 | 2.50 × 10−8 | 1.62 × 10−5 | 4.14 × 10−5 | 2.04 × 10−3 | 3.14 × 10−4 |
| Maximum | 1.18 × 10−2 | 1.58 × 10−3 | 3.22 × 10−7 | 1.45 × 10−7 | 9.42 × 10−5 | 2.41 × 10−4 | 1.19 × 10−2 | 1.82 × 10−3 |
| Mean | 7.15 × 10−3 | 9.59 × 10−4 | 1.96 × 10−7 | 8.80 × 10−8 | 5.72 × 10−5 | 1.46 × 10−4 | 7.21 × 10−3 | 1.11 × 10−3 |
| Median | 7.35 × 10−3 | 9.86 × 10−4 | 2.01 × 10−7 | 9.06 × 10−8 | 5.88 × 10−5 | 1.50 × 10−4 | 7.41 × 10−3 | 1.14 × 10−3 |
| SD | 2.69 × 10−3 | 3.60 × 10−4 | 7.34 × 10−8 | 3.31 × 10−8 | 2.15 × 10−5 | 5.50 × 10−5 | 2.72 × 10−3 | 4.16 × 10−4 |
| SE | 8.97 × 10−4 | 1.20 × 10−4 | 2.45 × 10−8 | 1.10 × 10−8 | 7.17 × 10−6 | 1.83 × 10−5 | 9.06 × 10−4 | 1.39 × 10−4 |
| Skewness | −0.23 | −0.24 | −0.25 | −0.24 | −0.24 | −0.24 | −0.23 | −0.24 |
| Kurtosis | 0.17 | 0.17 | 0.17 | 0.17 | 0.16 | 0.18 | 0.16 | 0.15 |
| MP | Plant | BCF1 | BCF2 | BCF3 | BCF4 | BCF5 |
|---|---|---|---|---|---|---|
| Minimum | 16.4 | 0.51 | 0.32 | 0.37 | 0.25 | 0.08 |
| Maximum | 36.2 | 3.02 | 1.89 | 1.10 | 0.91 | 0.35 |
| Mean | 22.9 | 1.10 | 0.68 | 0.53 | 0.43 | 0.15 |
| Median | 21.2 | 0.75 | 0.44 | 0.43 | 0.32 | 0.11 |
| SD | 6.79 | 0.96 | 0.60 | 0.28 | 0.25 | 0.10 |
| SE | 2.77 | 0.39 | 0.24 | 0.12 | 0.10 | 0.04 |
| Skewness | 1.40 | 1.63 | 1.71 | 1.73 | 1.35 | 1.68 |
| Kurtosis | 0.66 | 0.90 | 1.06 | 1.10 | 0.26 | 1.02 |
| Lamina | Plant | BCF1 | BCF2 | BCF3 | BCF4 | BCF5 |
| Minimum | 17.57 | 0.56 | 0.35 | 0.34 | 0.26 | 0.09 |
| Maximum | 41.11 | 3.65 | 2.29 | 1.33 | 1.10 | 0.42 |
| Mean | 26.92 | 1.37 | 0.82 | 0.62 | 0.51 | 0.18 |
| Median | 24.05 | 0.68 | 0.51 | 0.46 | 0.43 | 0.13 |
| SD | 9.91 | 1.27 | 0.75 | 0.38 | 0.32 | 0.13 |
| SE | 4.05 | 0.52 | 0.31 | 0.15 | 0.13 | 0.05 |
| Skewness | 0.50 | 1.13 | 1.52 | 1.29 | 1.18 | 1.36 |
| Kurtosis | −1.37 | −0.34 | 0.66 | 0.13 | 0.08 | 0.32 |
| Fe | Intercept | BCF5 | BCF2 | F4 | R | F | df | |||||
|---|---|---|---|---|---|---|---|---|---|---|---|---|
| Lamina | 0.64801305 | 0.621 | 0.269 | 0.226 | 0.995 | 427 | 3.14 | |||||
| Fe | Intercept | BCF5 | F2 | F4 | BCF4 | SUM | R | F | df | |||
| MP | 0.99750357 | −1.400 | −0.210 | 0.904 | 1.91 | −0.36 | 0.996 | 293 | 5.12 | |||
| Pb | Intercept | BCF3 | BCF1 | BCF5 | BCF4 | F3 | SUM | F1 | F4 | R | F | df |
| Lamina | 0.11027971 | −0.040 | 1.050 | −0.120 | 0.248 | −0.19 | 0.201 | 0.099 | 0.088 | 0.999 | 4,788,659 | 8.9 |
| Pb | Intercept | BCF3 | F3 | F2 | F1 | BCF5 | BCF1 | BCF2 | SUM | R | F | df |
| MP | 0.365423 | −0.260 | −0.310 | −0.150 | 0.401 | 0.112 | 1.37 | −0.32 | 0.198 | 0.999 | 41,252 | 8.9 |
| Ni | Intercept | BCF3 | BCF5 | BCF2 | BCF4 | F2 | F1 | BCF1 | R | F | df | |
| Lamina | −0.10137913 | 0.577 | −1.700 | 2.770 | 0.46 | 1.36 | −0.150 | −0.300 | 0.999 | 34,314 | 7.10 | |
| Ni | Intercept | BCF3 | F3 | F4 | SUM | BCF1 | BCF4 | R | F | df | ||
| MP | 0.4677638 | 1.040 | 0.827 | 0.877 | −1.60 | 0.913 | −1 | 0.999 | 2268 | 6.11 | ||
| Cu | Intercept | F1 | BCF1 | F3 | F4 | R | F | df | ||||
| Lamina | 0.42926263 | 1.410 | 1.960 | 2.480 | −1.80 | 0.991 | 186 | 4.13 | ||||
| Cu | Intercept | F3 | BCF4 | BCF2 | F1 | BCF5 | F2 | BCF1 | R | F | df | |
| MP | −0.02309005 | 0.868 | 2.310 | 0.578 | −0.07 | −1.60 | 0.418 | −0.49 | 0.999 | 1019 | 7.10 | |
| Zn | Intercept | BCF4 | F4 | BCF5 | BCF1 | F1 | BCF2 | R | F | df | ||
| Lamina | 0.70790607 | 0.620 | −1.700 | −1.300 | 5.59 | 3.41 | −2.900 | 0.997 | 341 | 6.11 | ||
| Zn | Intercept | F3 | BCF4 | F1 | R | F | df | |||||
| MP | 0.11150533 | 0.999 | 1.000 | 0.183 | 0.982 | 131 | 3.23 |
| MP | Plant | BCF1 | BCF2 | BCF3 | BCF4 | BCF5 |
|---|---|---|---|---|---|---|
| Minimum | 45.8 | 0.170 | 0.020 | 0.004 | 0.003 | 0.002 |
| Maximum | 193 | 0.970 | 0.240 | 0.098 | 0.008 | 0.007 |
| Mean | 117 | 0.463 | 0.117 | 0.050 | 0.005 | 0.004 |
| Median | 118 | 0.340 | 0.100 | 0.049 | 0.005 | 0.004 |
| SD | 57.5 | 0.314 | 0.087 | 0.035 | 0.002 | 0.002 |
| SE | 23.5 | 0.128 | 0.036 | 0.014 | 0.001 | 0.001 |
| Skewness | 0.036 | 0.721 | 0.362 | 0.059 | 0.466 | 0.287 |
| Kurtosis | −1.481 | −1.000 | −1.325 | −1.277 | −1.283 | −1.180 |
| Lamina | Plant | BCF1 | BCF2 | BCF3 | BCF4 | BCF5 |
| Minimum | 92.9 | 0.340 | 0.040 | 0.009 | 0.006 | 0.004 |
| Maximum | 244 | 1.230 | 0.300 | 0.142 | 0.010 | 0.009 |
| Mean | 166 | 0.647 | 0.163 | 0.073 | 0.007 | 0.006 |
| Median | 172 | 0.495 | 0.160 | 0.072 | 0.007 | 0.006 |
| SD | 53.6 | 0.340 | 0.105 | 0.048 | 0.002 | 0.002 |
| SE | 21.9 | 0.139 | 0.043 | 0.020 | 0.001 | 0.001 |
| Skewness | 0.01 | 0.923 | 0.088 | 0.126 | 0.927 | 0.689 |
| Kurtosis | −0.96 | −0.659 | −1.568 | −1.160 | −0.332 | −0.656 |
| MP | Plant | BCF1 | BCF2 | BCF3 | BCF4 | BCF5 |
|---|---|---|---|---|---|---|
| Minimum | 6.17 | 6.93 | 10.64 | 0.34 | 0.19 | 0.12 |
| Maximum | 23.67 | 22.76 | 29.96 | 1.23 | 4.90 | 0.62 |
| Mean | 11.91 | 12.78 | 15.78 | 0.62 | 1.26 | 0.32 |
| Median | 10.54 | 12.75 | 13.70 | 0.52 | 0.55 | 0.23 |
| SD | 6.70 | 5.49 | 7.10 | 0.36 | 1.82 | 0.22 |
| SE | 2.74 | 2.24 | 2.90 | 0.15 | 0.74 | 0.09 |
| Skewness | 0.88 | 0.96 | 1.61 | 0.78 | 1.65 | 0.60 |
| Kurtosis | −0.45 | 0.00 | 0.90 | −0.70 | 0.95 | −1.43 |
| Lamina | Plant | BCF1 | BCF2 | BCF3 | BCF4 | BCF5 |
| Minimum | 3.39 | 3.81 | 5.84 | 0.18 | 0.10 | 0.07 |
| Maximum | 20.58 | 19.98 | 22.57 | 1.23 | 7.62 | 0.96 |
| Mean | 10.92 | 11.4 | 13.5 | 0.58 | 1.61 | 0.32 |
| Median | 10.16 | 11.56 | 11.99 | 0.48 | 0.48 | 0.21 |
| SD | 7.49 | 6.51 | 6.92 | 0.44 | 2.96 | 0.34 |
| SE | 3.06 | 2.66 | 2.83 | 0.18 | 1.21 | 0.14 |
| Skewness | 0.17 | 0.03 | 0.34 | 0.45 | 1.75 | 1.28 |
| Kurtosis | −1.64 | −1.41 | −1.45 | −1.33 | 1.14 | 0.22 |
| MP | Plant | BCF1 | BCF2 | BCF3 | BCF4 | BCF5 |
|---|---|---|---|---|---|---|
| Minimum | 3.77 | 2.78 | 66.1 | 0.39 | 0.12 | 0.09 |
| Maximum | 11.6 | 15.7 | 601 | 377 | 0.53 | 0.51 |
| Mean | 6.88 | 7.33 | 317 | 63.4 | 0.26 | 0.21 |
| Median | 6.31 | 6.30 | 333 | 0.72 | 0.20 | 0.16 |
| SD | 2.61 | 4.44 | 183 | 154 | 0.15 | 0.15 |
| SE | 1.06 | 1.81 | 74.6 | 62.7 | 0.06 | 0.06 |
| Skewness | 0.87 | 1.20 | 0.20 | 1.79 | 1.12 | 1.50 |
| Kurtosis | −0.02 | 0.33 | −0.69 | 1.20 | −0.07 | 0.68 |
| Lamina | Plant | BCF1 | BCF2 | BCF3 | BCF4 | BCF5 |
| Minimum | 5.56 | 2.81 | 66.8 | 0.40 | 0.12 | 0.09 |
| Maximum | 11.9 | 31.1 | 746 | 746 | 1.04 | 1.00 |
| Mean | 7.76 | 10.1 | 381 | 125 | 0.35 | 0.30 |
| Median | 7.43 | 7.13 | 335.00 | 0.74 | 0.22 | 0.17 |
| SD | 2.20 | 10.43 | 239.48 | 304.28 | 0.34 | 0.35 |
| SE | 0.90 | 4.26 | 97.77 | 124.22 | 0.14 | 0.14 |
| Skewness | 1.31 | 1.67 | 0.32 | 1.79 | 1.63 | 1.72 |
| Kurtosis | 0.53 | 1.01 | −0.90 | 1.20 | 0.90 | 1.07 |
| MP | Plant | BCF1 | BCF2 | BCF3 | BCF4 | BCF5 |
|---|---|---|---|---|---|---|
| Minimum | 0.21 | 0.09 | 0.06 | 0.01 | 0.01 | 0.01 |
| Maximum | 4.09 | 12.78 | 4.49 | 0.64 | 0.66 | 0.30 |
| Mean | 2.07 | 3.59 | 1.70 | 0.32 | 0.25 | 0.13 |
| Median | 1.99 | 2.16 | 1.10 | 0.33 | 0.21 | 0.11 |
| SD | 1.37 | 4.61 | 1.58 | 0.22 | 0.22 | 0.10 |
| SE | 0.56 | 1.88 | 0.65 | 0.09 | 0.09 | 0.04 |
| Skewness | 0.16 | 1.60 | 0.94 | 0.04 | 1.02 | 0.84 |
| Kurtosis | −0.93 | 0.88 | −0.35 | −0.83 | 0.09 | −0.19 |
| Lamina | Plant | BCF1 | BCF2 | BCF3 | BCF4 | BCF5 |
| Minimum | 0.13 | 0.05 | 0.04 | 0.01 | 0.01 | 0.00 |
| Maximum | 2.86 | 8.94 | 3.14 | 0.45 | 0.46 | 0.21 |
| Mean | 1.74 | 2.84 | 1.41 | 0.27 | 0.21 | 0.10 |
| Median | 1.86 | 2.11 | 1.23 | 0.28 | 0.21 | 0.10 |
| SD | 0.93 | 3.10 | 1.07 | 0.15 | 0.15 | 0.07 |
| SE | 0.38 | 1.27 | 0.44 | 0.06 | 0.06 | 0.03 |
| Skewness | −0.69 | 1.48 | 0.45 | −0.73 | 0.51 | 0.15 |
| Kurtosis | −0.36 | 0.74 | −0.70 | −0.07 | −0.15 | −0.24 |
| Location | Zn | Zn BCF | Pb | Pb BCF | Cu | Cu BCF | Reference | |
|---|---|---|---|---|---|---|---|---|
| Klang and Juru mangrove | MP | 16.4–36.2 | 0.08–0.35 | 6.17–23.7 | 0.12–0.62 | 3.77–11.6 | 0.09–0.51 | This study |
| Lamina | 17.6–41.1 | 0.09–0.42 | 3.39–20.6 | 0.07–0.96 | 5.56–11.9 | 0.09–1.00 | ||
| SED | 46.4–269 | - | 30.3–62.2 | - | 5.29–63.8 | - | ||
| East India | Leaf | 1.20 | 0.80 | NA | - | 2.9 | 0.46 | Sarangi et al. [90] |
| SED | 1.50 | - | NA | - | 6.3 | - | ||
| India | Leaf | 120 | 0.16 | 168 | 0.11 | 102 | 0.34 | Thomas and Fernandez [91] |
| SED | 764 | - | 1484 | - | 303 | - | ||
| India | Leaf | 120 | - | 168 | - | 102 | - | Tam and Wong [92] |
| India | Leaf | 18.5–28.3 | - | 3.26–4.57 | - | 6.76–11.9 | - | Chakraborty et al. [56] |
| SED | 56.4–61.5 | - | 28.8–36.8 | - | 34.3–40.7 | - |
Disclaimer/Publisher’s Note: The statements, opinions and data contained in all publications are solely those of the individual author(s) and contributor(s) and not of MDPI and/or the editor(s). MDPI and/or the editor(s) disclaim responsibility for any injury to people or property resulting from any ideas, methods, instructions or products referred to in the content. |
© 2022 by the authors. Licensee MDPI, Basel, Switzerland. This article is an open access article distributed under the terms and conditions of the Creative Commons Attribution (CC BY) license (https://creativecommons.org/licenses/by/4.0/).
Share and Cite
Yap, C.K.; Al-Mutairi, K.A. The Ecological-Health Risks of Potentially Toxic Metals in the Surface Sediments and Leaves of Salt-Secreting Avicennia officinalis as Potential Phytoremediators: A Field-Based Biomonitoring Study from Klang Mangrove Area. Biology 2023, 12, 43. https://doi.org/10.3390/biology12010043
Yap CK, Al-Mutairi KA. The Ecological-Health Risks of Potentially Toxic Metals in the Surface Sediments and Leaves of Salt-Secreting Avicennia officinalis as Potential Phytoremediators: A Field-Based Biomonitoring Study from Klang Mangrove Area. Biology. 2023; 12(1):43. https://doi.org/10.3390/biology12010043
Chicago/Turabian StyleYap, Chee Kong, and Khalid Awadh Al-Mutairi. 2023. "The Ecological-Health Risks of Potentially Toxic Metals in the Surface Sediments and Leaves of Salt-Secreting Avicennia officinalis as Potential Phytoremediators: A Field-Based Biomonitoring Study from Klang Mangrove Area" Biology 12, no. 1: 43. https://doi.org/10.3390/biology12010043
APA StyleYap, C. K., & Al-Mutairi, K. A. (2023). The Ecological-Health Risks of Potentially Toxic Metals in the Surface Sediments and Leaves of Salt-Secreting Avicennia officinalis as Potential Phytoremediators: A Field-Based Biomonitoring Study from Klang Mangrove Area. Biology, 12(1), 43. https://doi.org/10.3390/biology12010043

