A Review of Suggested Mechanisms of MHC Odor Signaling
Abstract
Simple Summary
Abstract
1. Introduction
2. The Microbiota Signalling Hypothesis
3. The ‘Carrier Hypothesis’
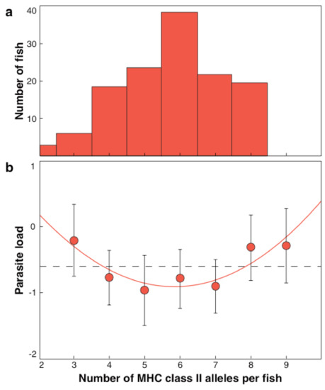
4. Mate Choice Optimizing MHC for the Offspring
5. Inbred Mice and Hutteries Confirm the Rule in Different Ways
6. The ‘MHC Peptide Hypothesis’
7. Experimental Tests of the ‘MHC Peptide Hypothesis’
8. MHC Ligand Peptides Are Used in Actual Mate Choice Decisions
9. MHC Peptide Ligands as Olfactory Cues in Humans
10. Can Signaling Microorganisms Help Optimizing?
11. A Failed Revival of the Microbiota Signaling Hypothesis
12. Egg Chooses Sperm with Regard to MHC
13. Functional Tests Implying Choice of Gametes
14. Oocyte Selection for Sperm Haplotype to Optimize MHC of the Zygote
15. Conclusions
Funding
Institutional Review Board Statement
Informed Consent Statement
Data Availability Statement
Acknowledgments
Conflicts of Interest
References
- Hill, A.V.S.; Allsopp, C.; Kwiatkowski, D.P.; Anstey, N.M.; Twumasi, P.; Rowe, P.A.; Bennett, S.; Brewster, D.; Mcmichael, A.J.; Greenwood, B. Common West African HLA antigens are associated with protection from severe malaria. Nature 1991, 352, 595–600. [Google Scholar] [CrossRef] [PubMed]
- Milinski, M. The major histocompatibility complex, sexual selection, and mate choice. Ann. Rev. Ecol. Syst. 2006, 37, 159–186. [Google Scholar] [CrossRef]
- Boyse, E.A.; Beauchamp, G.K.; Yamazaki, K. The genetics of body scent. Trends Genet. 1987, 3, 97–102. [Google Scholar] [CrossRef]
- Yamazaki, K.; Boyse, E.; Mike, V.; Thaler, H.; Mathieson, B.; Abbott, J.; Boyse, J.; Zayas, Z.A.; Thomas, L. Control of mating preferences in mice by genes in major histocompatibility complex. J. Exp. Med. 1976, 144, 1324–1335. [Google Scholar] [CrossRef]
- Yamazaki, K.; Yamaguchi, M.; Andrews, P.W.; Peake, B.; Boyse, E.A. Mating preferences of F2 segregants of crosses between MHC-congenic mouse strains. Immunogenetics 1978, 6, 253–259. [Google Scholar] [CrossRef]
- Yamazaki, K.; Beauchamp, G.K.; Kupniewski, D.; Bard, J.; Thomas, L.; Boyse, E.A. Familial imprinting determines H-2 selective mating preferences. Science 1988, 240, 1331–1332. [Google Scholar] [CrossRef]
- Yamaguchi, M.; Yamazaki, K.; Boyse, E.A. Mating preference tests with the recombinant congenic strain BALB HTG*. Immunogenetics 1978, 6, 261–264. [Google Scholar] [CrossRef]
- Beauchamp, G.K.; Yamazaki, K.; Bard, J.; Boyse, E.A. Pre-weaning experience in the control of mating preferences by genes in the major histocompatibility complex of the mouse. Behav. Genet. 1988, 18, 537–547. [Google Scholar] [CrossRef]
- Egid, K.; Brown, J.L. The major histocompatibility complex and female mating preferences in mice. Anim. Behav. 1989, 38, 548–550. [Google Scholar] [CrossRef]
- Eklund, A.E.K.; Brown, J.L. The major histocompatibility complex and mating preferences of male mice. Anim. Behav. 1991, 42, 693–694. [Google Scholar] [CrossRef]
- Eklund, A.E.K. The major histocompatibility complex and mating preferences in wild house mice. Behav. Ecol. 1997, 8, 630–634. [Google Scholar] [CrossRef][Green Version]
- Potts, W.K.; Manning, C.J.; Wakeland, E.K. Mating patterns in seminatural populations of mice influenced by MHC genotype. Nature 1991, 352, 619–621. [Google Scholar] [CrossRef]
- Potts, W.K.; Manning, C.J.; Wakeland, E.K. The role of infectious disease, inbreeding and mating preferences in maintaining MHC diversity: An experimental test. Phil. Trans. R. Soc. Lond. 1994, 346, 369–378. [Google Scholar]
- Brown, R.E.; Singh, P.B.; Roser, B. The major histocompatibility complex and the chemosensory recognition of individuality in rats. Physiol. Behav. 1987, 40, 65–73. [Google Scholar] [CrossRef]
- Brown, R.E.; Roser, B.; Singh, P.B. Class I and class II regions of the major histocompatibility complex both contribute to individual odors in congenic inbred strains of rats. Behav. Genet. 1989, 19, 658–674. [Google Scholar] [CrossRef]
- Singh, P.B.; Brown, R.E.; Roser, B. MHC anti genes in urine as olfactory recognition cues. Nature 1987, 327, 161–164. [Google Scholar] [CrossRef]
- Singh, P.B.; Herbert, J.; Roser, B.; Arnott, L.; Tucker, D.K.; Brown, R.E. Rearing rats in a germ-free environment eliminates their odors of individuality. J. Chem. Ecol. 1990, 16, 1667–1682. [Google Scholar] [CrossRef]
- Freeman-Gallant, C.R.; Meguerdichian, M.; Wheelwright, N.T.; Sollecito, S.V. Social pairing and female mating fidelity predicted by restriction fragment length polymorphism similarity at the major histocompatibility complex in a songbird. Mol. Ecol. 2003, 12, 3077–3083. [Google Scholar] [CrossRef]
- Richardson, D.S.; Komdeur, J.; Burke, T.; von Schantz, T. MHC-based patterns of social and extra-pair mate choice in the Seychelles warbler. Proc. R. Soc. B 2005, 272, 759–767. [Google Scholar] [CrossRef]
- Bonneaud, C.; Chastel, O.; Federici, P.; Westerdahl, H.; Sorci, G. Complex MHC-based mate choice in a wild passerine. Proc. R. Soc. B 2006, 273, 1111–1116. [Google Scholar] [CrossRef]
- Rekdal, S.L.; Anmarkrud, J.A.; Lifjeld, J.T.; Johnsen, A. Extra-pair mating in a passerine bird with highly duplicated major histocompatibility complex class II: Preference for the golden mean. Mol. Ecol. 2019, 28, 5133–5144. [Google Scholar] [CrossRef]
- Griggio, M.; Biard, C.; Penn, D.J.; Hoi, H. Female house sparrows “count on” male genes: Experimental evidence for MHC-dependent mate preference. BMC Evol. Biol. 2011, 11, 44. [Google Scholar] [CrossRef]
- Strandh, M.; Westerdahl, H.; Pontarp, M.; Canbäck, B.; Dubois, M.-P.; Miquel, C.; Taberlet, P.; Bonnadonna, F. Major histocompatibility complex II compatibility, but not class I, predicts mate choice in a bird with highly developed olfaction. Proc. R. Soc. B 2012, 279, 4457–4463. [Google Scholar] [CrossRef]
- Leclaire, S.; Strandh, M.; Mardon, J.; Westerdahl, H.; Bonadonna, F. Odour-based discrimination of similarity at the major histocompatibility complex in birds. Proc. R. Soc. B 2017, 284, 20162466. [Google Scholar] [CrossRef]
- Leclaire, S. Odor-based mate choice in birds. Chem. Senses 2019, 44, E6. [Google Scholar]
- Grieves, L.A.; Gloor, G.B.; Bernards, M.A.; MacDougall-Shackleton, E.A. Songbirds show odour-based discrimination of similarity and diversity at the major histocompatibility complex. Anim. Behav. 2019, 158, 131–138. [Google Scholar] [CrossRef]
- Baratti, M.; Dessi-Fulgheri, F.; Ambrosini, R.; Bonosoli-Alquati, A.; Caprioli, M.; Goti, E.; Matteo, A.; Monnanni, R.; Ragionieri, L.; Ristori, E.; et al. MHC genotype predicts mate choice in the ring-necked pheasant Phasianus colchicus. J. Evol. Biol. 2012, 25, 1531–1542. [Google Scholar] [CrossRef]
- Landry, C.; Garant, D.; Duchesne, P.; Bernatchez, L. “Good genes as heterozygosity”: The major histocompatibility complex and mate choice in Atlantic salmon (Salmo salar). Proc. R. Soc. Lond. B 2001, 268, 1279–1285. [Google Scholar] [CrossRef]
- Reusch, R.B.H.; Häberli, M.A.; Aeschlimann, P.B.; Milinski, M. Female sticklebacks count alleles in a strategy of sexual selection explaining MHC polymorphism. Nature 2001, 414, 300–302. [Google Scholar] [CrossRef] [PubMed]
- Milinski, M.; Griffiths, S.W.; Wegner, K.M.; Reusch, T.B.H.; Haas-Assenbaum, A.; Boehm, T. Mate choice decisions of stickleback females predictably modified by MHC peptide ligands. Proc. Natl. Acad. Sci. USA 2005, 102, 4414–4418. [Google Scholar] [CrossRef]
- Milinski, M.; Griffiths, S.W.; Reusch, T.B.H.; Boehm, T. Costly major histocompatibility complex signals produced only by reproductively active males, but not females, must be validated by a ‘maleness signal’ in threespined sticklebacks. Proc. R. Soc. B 2010, 277, 391–398. [Google Scholar] [CrossRef] [PubMed]
- Andreou, D.; Eizaguirre, C.; Boehm, T.; Milinski, M. Mate choice in sticklebacks reveals that immunogenes can drive ecological speciation. Behav. Ecol. 2017, 28, 953–961. [Google Scholar] [CrossRef] [PubMed]
- Gahr, C.L.; Boehm, T.; Milinski, M. Female assortative mate choice functionally validates synthesized male odours of evolving stickleback river-lake ecotypes. Biol. Lett. 2018, 14, 20180730. [Google Scholar] [CrossRef]
- Gahr, C.L.; Boehm, T.; Milinski, M. Male validation factor for three-spined stickleback (Gasterosteus aculeatus) mate choice likely evolutionarily conserved since 50 thousand years. Ethol. Ecol. Evol. 2021, 33, 25–36. [Google Scholar] [CrossRef]
- Eizaguirre, C.; Yeates, S.E.; Lenz, T.L.; Kalbe, M.; Milinski, M. MHC-based mate choice combines good genes and maintenance of MHC polymorphism. Mol. Ecol. 2009, 18, 3316–3329. [Google Scholar] [CrossRef]
- Eizaguirre, C.; Lenz, T.L.; Sommerfeld, R.D.; Harrod, C.; Kalbe, M.; Milinski, M. Parasite diversity, patterns of MHC II variation and olfactory based mate choice in diverging three-spined stickleback ecotypes. Evol. Ecol. 2011, 25, 605–622. [Google Scholar] [CrossRef]
- Forsberg, L.A.; Dannewitz, J.; Petersson, E.; Grahn, M. Influence of genetic dissimilarity in the reproductive success and mate choice of brown trout–females fishing for optimal MHC dissimilarity. J. Evol. Biol. 2007, 20, 1859–1869. [Google Scholar] [CrossRef]
- Olsson, M.; Madsen, T.; Nordby, J.; Wapstra, E.; Ujvari, B.; Wittsel, H. Major histocompatibility complex and mate choice in sand lizards. Proc. R. Soc. Lond. B 2003, 270, 254–256. [Google Scholar] [CrossRef]
- Kloch, A.; Babik, W.; Bajer, A.; Sinski, E.; Radwan, J. Effects of an MHC-DRB genotype and allele number on the load of gut parasites in the bank vole Myodes glareolus. Mol. Ecol. 2010, 19, 255–265. [Google Scholar] [CrossRef]
- Schwensow, N.; Eberle, M.; Sommer, S. Compatibility counts: MHC-associated mate choice in a wild promiscuous primate. Proc. R. Soc. B 2008, 275, 555–564. [Google Scholar] [CrossRef]
- Gilbert, A.N.; Yamazaki, K.; Beauchamp, G.K.; Thomas, L. Olfactory discrimination of mouse strains (Mus musculus) and major histocompatibility types by humans (Homo sapiens). J. Comp. Psychol. 1986, 100, 262–265. [Google Scholar] [CrossRef]
- Ober, C.; Weitkamp, L.R.; Cox, N.; Dytch, H.; Kostyu, D.; Elias, S. HLA and mate choice in humans. Am. J. Hum. Genet. 1997, 61, 497–504. [Google Scholar] [CrossRef]
- Wedekind, C.; Seebeck, T.; Bettens, F.; Paepke, A.J. MHC-dependent mate preferences in humans. Proc. R. Soc. Lond. B 1995, 260, 245–249. [Google Scholar]
- Wedekind, C.; Füri, S. Body odour preferences in men and women: Do they aim for specific MHC combinations or simply heterozygosity? Proc. R. Soc. Lond. B 1997, 264, 1471–1479. [Google Scholar] [CrossRef]
- Jacob, S.; McClintock, M.K.; Zelano, B.; Ober, C. Paternally inherited HLA alleles are associated with women’s choice of male odor. Nature Genet. 2002, 30, 175–179. [Google Scholar] [CrossRef]
- Roberts, S.C.; Gosling, L.M.; Carter, V.; Petrie, M. MHC-correlated odour preferences in humans and the use of oral contraceptives. Proc. R. Soc. B 2008, 275, 2715–2722. [Google Scholar] [CrossRef]
- Yamazaki, K.; Beauchamp, G.K.; Bard, G.K.; Thomas, L.; Boyse, E.A. Chemosensory recognition of phenotypes determined by the Tla and H-2k regions of chromosome 17 of the mouse. Proc. Natl. Acad. Sci. USA 1982, 79, 7828–7831. [Google Scholar] [CrossRef]
- Yamazaki, K.; Beauchamp, G.K.; Thomas, L.; Boyse, E.A. Chemosensory identity of H-2 heterocygotes. J. Mol. Cell. Immunol. 1984, 1, 79–82. [Google Scholar]
- Yamazaki, K.; Beauchamp, G.K.; Imai, Y.; Bard, J.; Phelan, S.P.; Thomas, L.; Boyes, E.A. Odortypes determined by the major histocompatibility complex in germfree mice. Proc. Natl. Acad. Sci. USA 1990, 87, 8413–8416. [Google Scholar] [CrossRef]
- Yamaguchi, M.; Yamazaki, K.; Beauchamp, G.K.; Bard, J.; Thomas, L.; Boyse, E.A. Distinctive urinary odors gowerned by the major histocompatibility locus of the mouse. Proc. Natl. Acad. Sci. USA 1981, 78, 5817–5820. [Google Scholar] [CrossRef]
- Penn, D.; Potts, W.K. Untrained mice discriminate MHC-determined odors. Physiol. Behav. 1998, 64, 235–243. [Google Scholar] [CrossRef]
- Penn, D.J.; Potts, W.K. How do major histocompatibility complex genes influence odor and mating preferences? Adv. Immunol. 1998, 69, 411–436. [Google Scholar] [PubMed]
- Penn, D.J.; Potts, W.K. Chemical signals and parasite-mediated sexual selection. Trends Ecol. Evol. 1998, 13, 391–396. [Google Scholar] [CrossRef]
- Singer, A.G.; Beauchamp, G.K.; Yamazaki, K. Volatile signals of the major histocompatibility complex in male mouse urine. Proc. Natl. Acad. Sci. USA 1997, 94, 2210–2214. [Google Scholar] [CrossRef]
- Yamazaki, K.; Beauchamp, G.; Singer, A.; Bard, J.; Boyse, E. Odortypes: Their origin and composition. Proc. Natl. Acad. Sci. USA 1999, 96, 1522–1525. [Google Scholar] [CrossRef]
- Yamazaki, K.; Singer, A.; Beauchamp, G. Origin, function and chemistry of H-2 regulated odorants. Genetica 1999, 104, 235–240. [Google Scholar] [CrossRef]
- Radwan, J.; Tkacz, A.; Kloch, A. MHC and preferences for male odour in the bank vole. Ethology 2008, 114, 827–833. [Google Scholar] [CrossRef]
- Milinski, M.; Croy, I.; Hummel, T.; Boehm, T. Major histocompatibility complex peptide ligands as olfactory cues in human body odour assessment. Proc. R. Soc. B. 2013, 280, 20130381. [Google Scholar] [CrossRef]
- Klein, J.; Horejsi, V. Immunology, 2nd ed.; Blackwell Science: Oxford, UK, 1997; pp. 1–722. [Google Scholar]
- Kubinak, J.L.; Stephens, W.Z.; Soto, R.; Petersen, C.; Chiaro, T.; Gogokhia, L.; Bell, R.; Ajami, N.J.; Petrosino, J.F.; Morrison, L.; et al. MHC variation sculpts individualized microbial communities that control susceptibility to enteric infection. Nature Comms. 2015, 6, 86421. [Google Scholar] [CrossRef]
- Bolnick, D.I.; Snowberg, L.K.; Caporaso, J.G.; Lauber, C.; Knight, R.; Stutz, W.E. Major Histocompatibility Complex class IIb polymorphism influences gut microbiota composition and diversity. Mol. Ecol. 2014, 23, 4831–4845. [Google Scholar] [CrossRef]
- Grieves, L.A.; Gloor, G.B.; Bernards, M.A.; MacDougall-Shackleton, E.A. Preen gland microbiota covary with major histocompatibility complex genotype in a songbird. R. Soc. Open Sci. 2021, 8, 210936. [Google Scholar] [CrossRef]
- Singh, P.B. The present state of the ‘carrier hypothesis’ for chemosensory recognition of genetic individuality. Genetica 1999, 104, 231–233. [Google Scholar] [CrossRef]
- Douglas, A.E.; Dobson, A.J. New synthesis: Animal communication mediated by microbes: Fact or fantasy? J. Chem. Ecol. 2013, 39, 1149. [Google Scholar] [CrossRef]
- Falk, K.; Rötzschke, O.; Stevanovic, S.; Jung, G.; Rammensee, H.G. Allele-specific motifs revealed by sequencing of self-peptides eluted from MHC molecules. Nature 1991, 351, 290–296. [Google Scholar] [CrossRef]
- Koch, M.; Camp, S.; Collen, T.; Avila, D.; Salomonsen, J.; Wallny, H.J.; Van Heteren, A.; Hunt, L.; Jacob, J.P.; Johnston, F.; et al. Structures of an MHC class I molecule from B21 chickens illustrate promiscuous peptide binding. Immunity 2007, 27, 885–899. [Google Scholar] [CrossRef]
- Chappell, P.; Meziane, E.K.; Harrison, M.; Magiera, L.; Hermann, C.; Mears, L.; Wrobel, A.G.; Durant, C.; Nielsen, L.L.; Buus, S.; et al. Expression levels of MHC class I molecules are inversely correlated with promiscuity of peptide binding. elife 2015, 4, e05345. [Google Scholar] [CrossRef]
- Janeway, C.; Travers, P.; Walport, M.; Shlomchic, M. Immunobiology: The Immune System in Heath and Disease, 5th ed.; Garland: New York, NY, USA, 2001; pp. 1–732. [Google Scholar]
- Singh, P.B.; Brown, R.E.; Roser, B.J. Class I transplantation antigens in solution in the body fluids and the urine: Individuality signals to the environment. J. Exp. Med. 1988, 168, 195–211. [Google Scholar] [CrossRef]
- Singh, P.B. Chemosensation and genetic individuality. Reproduction 2001, 121, 529–539. [Google Scholar] [CrossRef]
- Savage, D.C. Microbial ecology of the gastrointestinal tract. Annu. Rev. Microbiol. 1977, 31, 107–133. [Google Scholar] [CrossRef]
- Yamazaki, K.; Beauchamp, G.K.; Thomas, L.; Boyse, E.A. Thehematopoietic system is a source of odorants that distinguish majorhistocompatibility types. J. Exp. Med. 1985, 162, 1377–1380. [Google Scholar] [CrossRef]
- Katz, D.H.; Skidmore, B.J.; Katz, L.R.; Bogowitz, C.A. Adaptive differentiation of murine lymphocytes. I. Both T and B lymphocytes differentiating in F1 transplanted to parental chimeras manifest preferential cooperative activity for partner lymphocytes derived from the sameparental type corresponding to the chimeric host. J. Exp. Med. 1978, 148, 727–745. [Google Scholar]
- Kwak, J.; Willse, A.; Preti, G.; Yamazaki, K.; Beauchamp, G.K. In search of the chemical basis for MHC odortypes. Proc. R. Soc. B 2010, 277, 2417–2425. [Google Scholar] [CrossRef] [PubMed]
- Parham, P.; Ohta, T. Population biology of antigen presentation by MHC class I molecules. Science 1996, 272, 67–74. [Google Scholar] [CrossRef] [PubMed]
- Lawlor, D.A.; Zemmour, J.; Ennis, P.D.; Parham, P. Evolution of class-I MHC genes and proteins: From natural-selection to thymic selection. Annu. Rev. Immunol. 1990, 8, 23–63. [Google Scholar] [CrossRef]
- Nowak, M.A.; Tarczyhornoch, K.; Austyn, J.M. The optimal number of major histocompatibility complex-molecules in an individual. Proc. Natl. Acad. Sci. USA 1992, 89, 10896–91089. [Google Scholar] [CrossRef]
- De Boer, R.J.; Perelson, A.S. How diverse should the immune system be? Proc. R. Soc. Lond. B 1993, 252, 171–175. [Google Scholar]
- Woelfing, B.; Traulsen, A.; Milinski, M.; Boehm, T. Does intra-individual major histocompatibility complex diversity keep a golden mean? Phil. Trans. R. Soc. B 2009, 364, 117–128. [Google Scholar] [CrossRef]
- Feulner, P.G.D.; Chain, F.J.J.; Panchal, M.; Huang, Y.; Eizaguirre, C.; Kalbe, M.; Lenz, T.L.; Samonte, I.E.; Stoll, M.; Bornberg-Bauer, E.; et al. Genomics of divergence along a continuum of parapatric population differentiation. PLoS Genet. 2015, 11, e1004966. [Google Scholar] [CrossRef]
- Hamilton, W.D.; Zuk, M. Heritable true fitness and bright birds: A role for parasites? Science 1982, 218, 384–387. [Google Scholar] [CrossRef]
- Milinski, M.; Bakker, T.C.M. Female sticklebacks use male coloration in mate choice and hence avoid parasitized males. Nature 1990, 344, 330–333. [Google Scholar] [CrossRef]
- O’Connor, E.A.; Strandh, M.; Hasselquist, D.; Nilsson, J.A.; Westerdahl, H. The evolution of highly variable immunity genes across a passerine bird radiation. Mol. Ecol. 2016, 25, 977–989. [Google Scholar] [CrossRef]
- Biedrzycka, A.; O’Connor, E.; Sebastian, A.; Migalska, M.; Radwan, J.; Zajac, T.; Bielanski, W.; Solarz, W.; Cmiel, A.; Westerdahl, H. Extreme MHC class I diversity in the sedge warbler (Acrocwphalus schoeno baenus); selection patterns and allelic divergence suggest that different genes have different functions. BMC Evol. Biol. 2017, 17, 159. [Google Scholar] [CrossRef]
- Wegner, K.M.; Reusch, T.B.H.; Kalbe, M. Multiple parasites are driving major histocompatibility complex polymorphism in the wild. J. Evol. Biol. 2003, 16, 224–232. [Google Scholar] [CrossRef]
- Wegner, K.M.; Kalbe, M.; Kurtz, J.; Reusch, T.B.H.; Milinski, M. Parasite selection for immunogenetic optimality. Science 2003, 301, 1343. [Google Scholar] [CrossRef]
- Kalbe, M.; Eizaguirre, C.; Dankert, I.; Reusch, T.B.H.; Sommerfeld, R.D.; Wegner, K.M.; Milinski, M. Lifetime reproductive success is maximized with optimal major histocompatibility complex diversity. Proc. R. Soc. B 2009, 276, 926–934. [Google Scholar] [CrossRef]
- Wegner, K.M.; Kalbe, M.; Milinski, M.; Reusch, T.B.H. Mortality selection during the 2003 European heat wave in three-spined sticklebacks: Effects of parasites and MHC genotype. BMC Evol. Biol. 2008, 8, 124. [Google Scholar] [CrossRef]
- Bonneaud, C.; Mazuc, J.; Chastel, O.; Westerdahl, H.; Sorci, G. Terminal investment induced by immune challenge and fitness traits associated with major histocompatibility complex in the house sparrow. Evolution 2004, 58, 2823–2830. [Google Scholar] [CrossRef]
- Aeschlimann, P.B.; Häberli, M.A.; Reusch, T.B.H.; Boehm, T.; Milinski, M. Female sticklebacks Gasterosteus aculeatus use self-reference to optimize MHC allele number during mate selection. Behav. Ecol. Sociobiol. 2003, 54, 119–126. [Google Scholar] [CrossRef]
- Boehm, T. Co-evolution of a primordial peptide-presentation system and cellular immunity. Nature Rev. Immunol. 2006, 6, 79–84. [Google Scholar] [CrossRef]
- Boehm, T.; Zufall, F. MHC peptides and the sensory evaluation of genotype. Trends Neurosci. 2006, 29, 100–107. [Google Scholar] [CrossRef]
- Boehm, T. A whiff of genome. Nature 2013, 496, 304–305. [Google Scholar] [CrossRef] [PubMed]
- Leinders-Zufall, T.; Brennan, P.; Widmayer, P.; Chandramani, P.S.; Maul-Pavicic, A.; Jäger, M.; Xiao-Hong, L.; Breer, H.; Zufall, F.; Boehm. T. MHC class I peptides as chemosensory signals in the vomeronasal organ. Science 2004, 306, 1033–1037. [Google Scholar] [CrossRef] [PubMed]
- Sturm, T.; Leinders-Zufall, T.; Macek, B.; Walzer, M.; Jung, S.; Poemmerl, B.; Stevanovic, S.; Zufall, F.; Overath, P.; Rammensee, H.-G. Mouse urinary peptides provide a molecular basis for genotype discrimination by nasal sensory neurons. Nat. Commun. 2013, 4, 1616. [Google Scholar] [CrossRef] [PubMed]
- Spehr, M.; Kelliher, K.R.; Li, X.-H.; Boehm, T.; Leinders-Zufall, T.; Zufall, F. Essential role of the main olfactory system in social recognition of major histocompatibility complex peptide ligands. J. Neurosci. 2006, 26, 1961–1970. [Google Scholar] [CrossRef]
- Bruce, H.M. An exteroceptive block to pregnancy in the mouse. Nature 1959, 184, 105. [Google Scholar] [CrossRef]
- Yamazaki, K.; Beauchamp, G.K.; Matzuzaki, O.; Kupniewski, D.; Bard, J.; Thomas, L.; Boyse, E.A. Influence of a genetic difference confined to mutation of H-2K on the incidence of pregnancy block in mice. Proc. Natl. Acad. Sci. USA 1986, 83, 740–741. [Google Scholar] [CrossRef]
- Milinski, M. The function of mate choice in sticklebacks optimizing MHC genetics. J. Fish. Biol. 2003, 63 (Suppl. A), 1–16. [Google Scholar] [CrossRef]
- Milinski, M.; Wedekind, C. Evidence for MHC-correlated perfume preferences in humans. Behav. Ecol. 2001, 12, 140–149. [Google Scholar] [CrossRef]
- Schubert, N.; Winternitz, J.C.; Nichols, H.L. How can the MHC mediate social odor via the microbiota community? Behav. Ecol. 2021, 32, 359–373. [Google Scholar] [CrossRef]
- Winternitz, J.C.; Schubert, N.; Nichols, H. Let’s keep alternative hypotheses on the table: A response to comments on Schubert et al. Behav. Ecol. 2021, 32, 378–379. [Google Scholar] [CrossRef]
- Milinski, M. MHC mediates social odor via microbiota—It cannot work: A comment on Schubert et al. Behav. Ecol. 2021, 32, 374–375. [Google Scholar] [CrossRef]
- Wedekind, C. Mate choice and maternal selection for specific parasite resistances before, during and after fertilization. Phil. Trans. R. Soc. B Biol. Sci. 1994, 346, 303–311. [Google Scholar]
- Jordan, W.C.; Bruford, M.W. New perspective on mate choice and the MHC. Heredity 1998, 81, 127–133. [Google Scholar] [CrossRef]
- Tregenza, T.; Wedell, N. Genetic compatibility, mate choice and patterns of parentage: Invited review. Mol. Ecol. 2000, 9, 1013–1027. [Google Scholar] [CrossRef]
- Birkhead, T.R.; Pizzari, T. Postcopulatory sexual selection. Nat. Rev. Genet. 2002, 3, 262–273. [Google Scholar] [CrossRef]
- Ziegler, A.; Kentenich, H.; Uchanska-Ziegler, B. Female choice and the MHC. Trends Immunol. 2005, 26, 496–502. [Google Scholar] [CrossRef]
- Hutter, H.; Dohr, G. HLA expression on immature and mature human germ cells. J. Reprod. Immunol. 1998, 38, 101–122. [Google Scholar] [CrossRef]
- Fernandes, N.; Cooper, J.; Sprinks, M.; AbdElrahman, M.; Fiszer, D.; Kurpisz, M.; Dealtry, G. A critical review of the role of the major histocompatibility complex in fertilization, preimplantation development and feto-maternal interactions. Hum. Reprod. Update 1999, 5, 234–248. [Google Scholar] [CrossRef]
- Mori, T.; Sato, E.; Baba, T.; Seiichi, T.; Mori, E. Molecular and immunological approaches to mammalian fertilization. J. Reprod. Immunol. 2000, 47, 139–158. [Google Scholar] [CrossRef]
- Mori, T.; Guo, M.W.; Mori, E.; Shindo, Y.; Mori, N.; Fukuda, A.; Mori, T. Expression of class II major histocompatibility complex antigen on mouse sperm and its roles in fertilization. Am. J. Reprod. Immunol. 1990, 24, 9–14. [Google Scholar] [CrossRef]
- Yanagimachi, R.; Cherr, G.; Matsubara, T.; Andoh, T.; Harumi, T.; Vines, C.; Pillai, M.; Griffin, F.; Matsubara, H.; Weatherby, T.; et al. Sperm attractant in the micropyle region of fish and insect eggs. Biol. Reprod. 2013, 88, 47. [Google Scholar] [CrossRef] [PubMed]
- Yanagimachi, R.; Harumi, T.; Matsubara, H.; Yan, W.; Yuan, S.; Hirohashi, N.; Iida, T.; Yamaha, E.; Arai, K.; Matsubara, T.; et al. Chemical and physical guidance of fish spermatozoa into the egg through the micropyle. Biol. Reprod. 2017, 96, 780–799. [Google Scholar] [CrossRef] [PubMed]
- Yeates, S.E.; Einum, S.; Fleming, I.A.; Megens, H.J.; Stet, R.J.; Hindar, K.; Holt, W.V.; Van Look, K.J.; Gage, M.J. Atlantic salmon eggs favour sperm in competition that have similar major histocompatibility alleles. Proc. R. Soc. B Biol. Sci. 2009, 276, 559–566. [Google Scholar] [CrossRef] [PubMed]
- Geßner, C.; Nakagawa, S.; Zavodna, M.; Gemmell, N.J. Sexual selection for genetic compatibility: The role of the major histocompatibility complex on cryptic female choice in Chinook salmon (Oncorhynchus tshawytscha). Heredity 2017, 118, 442–452. [Google Scholar] [CrossRef]
- Gasparini, C.; Congiu, L.; Pilastro, A. MHC similarity and sexual selection: Different doesn’t always mean attractive. Mol. Ecol. 2015, 24, 4286–4295. [Google Scholar] [CrossRef]
- Løvlie, H.; Gillingham, M.A.F.; Worley, K.; Pizzari, T.; Richardson, D.S. Cryptic female choice favours sperm from major histocompatibility complex-dissimilar males. Proc. R. Soc. B Biol. Sci. 2013, 280, 20131296. [Google Scholar] [CrossRef]
- Wedekind, C.; Chapuisat, M.; Macas, E.; Rülike, T. Non-random fertilization in mice correlates with the MHC and something else. Heredity 1996, 77, 400–409. [Google Scholar] [CrossRef][Green Version]
- Rülike, T.; Chapuisat, M.; Homberger, F.R.; Macas, E.; Wedekind, C. MHC-genotype of progeny influenced by parental infection. Proc. R. Soc. B Biol. Sci. 1998, 265, 711–716. [Google Scholar] [CrossRef]
- Firman, R.C.; Simmons, L.W. Gametic interactions promote inbreeding avoidance in house mice. Ecol. Lett. 2015, 18, 937–943. [Google Scholar] [CrossRef]
- Lenz, T.L.; Hafer, N.; Samonte, I.E.; Yeates, S.E.; Milinski, M. Cryptic haplotype-specific gamete selection yields offspring with optimal MHC immune genes. Evolution 2018, 72, 2478–2490. [Google Scholar] [CrossRef]




Publisher’s Note: MDPI stays neutral with regard to jurisdictional claims in published maps and institutional affiliations. |
© 2022 by the author. Licensee MDPI, Basel, Switzerland. This article is an open access article distributed under the terms and conditions of the Creative Commons Attribution (CC BY) license (https://creativecommons.org/licenses/by/4.0/).
Share and Cite
Milinski, M. A Review of Suggested Mechanisms of MHC Odor Signaling. Biology 2022, 11, 1187. https://doi.org/10.3390/biology11081187
Milinski M. A Review of Suggested Mechanisms of MHC Odor Signaling. Biology. 2022; 11(8):1187. https://doi.org/10.3390/biology11081187
Chicago/Turabian StyleMilinski, Manfred. 2022. "A Review of Suggested Mechanisms of MHC Odor Signaling" Biology 11, no. 8: 1187. https://doi.org/10.3390/biology11081187
APA StyleMilinski, M. (2022). A Review of Suggested Mechanisms of MHC Odor Signaling. Biology, 11(8), 1187. https://doi.org/10.3390/biology11081187
