Low Holding Densities Increase Stress Response and Aggression in Zebrafish
Abstract
Simple Summary
Abstract
1. Introduction
2. Materials and Methods
2.1. Experimental Set-Up
2.2. Novel Tank Diving Test
2.3. Vertical Distribution
2.4. Behavioural Observations
2.5. Breeding
2.6. Cortisol Analysis
2.7. Neurotransmitter Assays
2.8. Statistical Analysis
3. Results
3.1. Novel Tank Diving Test Showed That Anxiety Did Not Differ for Holding Densities between 1 and 16 Fish/L
3.2. Fish Held at 1 Fish/L Were More Frequently Observed in the Upper Half of the Tank
3.3. Aggressive Behaviours Occurred More Frequently at a Holding Density of 1 Fish/L
3.4. Reproductive Performance Was Similar at All the Tested Holding Densities
3.5. Cortisol Secretion Was the Highest at a Holding Density of 1 Fish/L
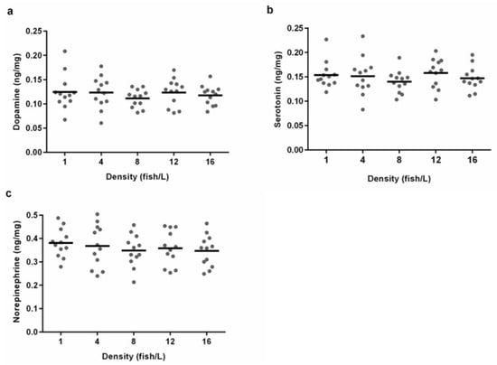
3.6. Whole-Brain Neurotransmitter Concentrations Did Not Differ between the Tested Holding Densities
4. Discussion
5. Conclusions
Supplementary Materials
Author Contributions
Funding
Institutional Review Board Statement
Data Availability Statement
Acknowledgments
Conflicts of Interest
References
- Lawrence, C.; Adatto, I.; Best, J.; James, A.; Maloney, K. Generation time of zebrafish (Danio rerio) and medakas (Oryzias latipes) housed in the same aquaculture facility. Lab Anim. 2012, 41, 158–165. [Google Scholar] [CrossRef] [PubMed]
- Baumans, V. Science-based assessment of animal welfare: Laboratory animals. Rev. Sci. Et Tech.-Off. Int. Des Epizoot. 2005, 24, 503. [Google Scholar] [CrossRef]
- Cartner, S.; Eisen, J.S.; Farmer, S.F.; Guillemin, K.J.; Kent, M.L.; Sanders, G.E. The Zebrafish in Biomedical Research: Biology, Husbandry, Diseases, and Research Applications; Academic Press: Cambridge, MA, USA, 2019. [Google Scholar]
- Kinth, P.; Mahesh, G.; Panwar, Y. Mapping of zebrafish research: A global outlook. Zebrafish 2013, 10, 510–517. [Google Scholar] [CrossRef] [PubMed]
- Harper, C.; Lawrence, C. The Laboratory Zebrafish; CRC Press: Boca Raton, FL, USA, 2016. [Google Scholar]
- Suriyampola, P.S.; Shelton, D.S.; Shukla, R.; Roy, T.; Bhat, A.; Martins, E.P. Zebrafish social behavior in the wild. Zebrafish 2016, 13, 1–8. [Google Scholar] [CrossRef] [PubMed]
- Shukla, R.; Bhat, A. Morphological divergences and ecological correlates among wild populations of zebrafish (Danio rerio). Environ. Biol. Fishes 2017, 100, 251–264. [Google Scholar] [CrossRef]
- Bhat, A.; Greulich, M.M.; Martins, E.P. Behavioral plasticity in response to environmental manipulation among zebrafish (Danio rerio) populations. PLoS ONE 2015, 10, e0125097. [Google Scholar] [CrossRef]
- Roy, T.; Bhat, A. Repeatability in boldness and aggression among wild zebrafish (Danio rerio) from two differing predation and flow regimes. J. Comp. Psychol. 2018, 132, 349. [Google Scholar] [CrossRef] [PubMed]
- Roy, T.; Bhat, A. Population, sex and body size: Determinants of behavioural variations and behavioural correlations among wild zebrafish Danio rerio. R. Soc. Open Sci. 2018, 5, 170978. [Google Scholar] [CrossRef]
- Zellner, D.; Padnos, B.; Hunter, D.; MacPhail, R.; Padilla, S. Rearing conditions differentially affect the locomotor behavior of larval zebrafish, but not their response to valproate-induced developmental neurotoxicity. Neurotoxicology Teratol. 2011, 33, 674–679. [Google Scholar] [CrossRef]
- Rose, K.A.; Cowan Jr, J.H.; Winemiller, K.O.; Myers, R.A.; Hilborn, R. Compensatory density dependence in fish populations: Importance, controversy, understanding and prognosis. Fish Fish. 2001, 2, 293–327. [Google Scholar] [CrossRef]
- Aksungur, N.; Aksungur, M.; Akbulut, B.; Kutlu, İ. Effects of stocking density on growth performance, survival and food conversion ratio of Turbot (Psetta maxima) in the net cages on the southeastern coast of the Black Sea. Turk. J. Fish. Aquat. Sci. 2007, 7, 147–152. [Google Scholar]
- Iguchi, K.i.; Ogawa, K.; Nagae, M.; Ito, F. The influence of rearing density on stress response and disease susceptibility of ayu (Plecoglossus altivelis). Aquaculture 2003, 220, 515–523. [Google Scholar] [CrossRef]
- North, B.; Turnbull, J.; Ellis, T.; Porter, M.; Migaud, H.; Bron, J.; Bromage, N. The impact of stocking density on the welfare of rainbow trout (Oncorhynchus mykiss). Aquaculture 2006, 255, 466–479. [Google Scholar] [CrossRef]
- Sundh, H.; Finne-Fridell, F.; Ellis, T.; Taranger, G.L.; Niklasson, L.; Pettersen, E.F.; Wergeland, H.I.; Sundell, K. Reduced water quality associated with higher stocking density disturbs the intestinal barrier functions of Atlantic salmon (Salmo salar L.). Aquaculture 2019, 512, 734356. [Google Scholar] [CrossRef]
- L150 Statens Jordbruksverks Föreskrifter Och Allmänna Råd om Försöksdjur; SJVFS: Jönköping, Sweden, 2019; p. 9.
- National Research Council. Committee for the Update of the Guide for the Care and Use of Laboratory Animals. Guide Care Use Lab. Anim. 2011, 327, 963–965. [Google Scholar]
- Lidster, K.; Readman, G.D.; Prescott, M.J.; Owen, S.F. International survey on the use and welfare of zebrafish Danio rerio in research. J. Fish Biol. 2017, 90, 1891–1905. [Google Scholar] [CrossRef]
- Andersson, M.; Kettunen, P. Effects of Holding Density on the Welfare of Zebrafish: A Systematic Review. Zebrafish 2021, 18, 297–306. [Google Scholar] [CrossRef]
- Pearson, W.H.; Skalski, J.R.; Malme, C.I. Effects of sounds from a geophysical survey device on behavior of captive rockfish (Sebastes spp.). Can. J. Fish. Aquat. Sci. 1992, 49, 1343–1356. [Google Scholar] [CrossRef]
- Handegard, N.O.; Michalsen, K.; Tjøstheim, D. Avoidance behaviour in cod (Gadus morhua) to a bottom-trawling vessel. Aquat. Living Resour. 2003, 16, 265–270. [Google Scholar] [CrossRef]
- Engås, A.; Løkkeborg, S.; Ona, E.; Soldal, A.V. Effects of seismic shooting on local abundance and catch rates of cod ((Gadus morhua) and haddock) (Melanogrammus aeglefinus). Can. J. Fish. Aquat. Sci. 1996, 53, 2238–2249. [Google Scholar] [CrossRef]
- Larson, E.T.; O’Malley, D.M.; Melloni Jr, R.H. Aggression and vasotocin are associated with dominant–subordinate relationships in zebrafish. Behav. Brain Res. 2006, 167, 94–102. [Google Scholar] [CrossRef] [PubMed]
- Paull, G.C.; Filby, A.L.; Giddins, H.G.; Coe, T.S.; Hamilton, P.B.; Tyler, C.R. Dominance hierarchies in zebrafish (Danio rerio) and their relationship with reproductive success. Zebrafish 2010, 7, 109–117. [Google Scholar] [CrossRef] [PubMed]
- Cachat, J.; Stewart, A.; Grossman, L.; Gaikwad, S.; Kadri, F.; Chung, K.M.; Wu, N.; Wong, K.; Roy, S.; Suciu, C. Measuring behavioral and endocrine responses to novelty stress in adult zebrafish. Nat. Protoc. 2010, 5, 1786–1799. [Google Scholar] [CrossRef] [PubMed]
- Wong, K.; Elegante, M.; Bartels, B.; Elkhayat, S.; Tien, D.; Roy, S.; Goodspeed, J.; Suciu, C.; Tan, J.; Grimes, C. Analyzing habituation responses to novelty in zebrafish (Danio rerio). Behav. Brain Res. 2010, 208, 450–457. [Google Scholar] [CrossRef]
- Sackerman, J.; Donegan, J.J.; Cunningham, C.S.; Nguyen, N.N.; Lawless, K.; Long, A.; Benno, R.H.; Gould, G.G. Zebrafish behavior in novel environments: Effects of acute exposure to anxiolytic compounds and choice of Danio rerio line. Int. J. Comp. Psychol. ISCP Spons. Int. Soc. Comp. Psychol. Univ. Calabr. 2010, 23, 43. [Google Scholar]
- Haghani, S.; Karia, M.; Cheng, R.-K.; Mathuru, A.S. An automated assay system to study novel tank induced anxiety. Front. Behav. Neurosci. 2019, 13, 180. [Google Scholar] [CrossRef]
- Cachat, J.M.; Canavello, P.R.; Elkhayat, S.I.; Bartels, B.K.; Hart, P.C.; Elegante, M.F.; Beeson, E.C.; Laffoon, A.L.; Haymore, W.A.; Tien, D.H. Video-aided analysis of zebrafish locomotion and anxiety-related behavioral responses. In Zebrafish Neurobehavioral Protocols; Springer: Berlin/Heidelberg, Germany, 2011; pp. 1–14. [Google Scholar]
- Airhart, M.J.; Lee, D.H.; Wilson, T.D.; Miller, B.E.; Miller, M.N.; Skalko, R.G.; Monaco, P.J. Adverse effects of serotonin depletion in developing zebrafish. Neurotoxicology Teratol. 2012, 34, 152–160. [Google Scholar] [CrossRef]
- Maximino, C.; Puty, B.; Benzecry, R.; Araújo, J.; Lima, M.G.; Batista, E.d.J.O.; de Matos Oliveira, K.R.; Crespo-Lopez, M.E.; Herculano, A.M. Role of serotonin in zebrafish (Danio rerio) anxiety: Relationship with serotonin levels and effect of buspirone, WAY 100635, SB 224289, fluoxetine and para-chlorophenylalanine (pCPA) in two behavioral models. Neuropharmacology 2013, 71, 83–97. [Google Scholar] [CrossRef]
- Guo, S. Linking genes to brain, behavior and neurological diseases: What can we learn from zebrafish? Genes Brain Behav. 2004, 3, 63–74. [Google Scholar] [CrossRef]
- Meshalkina, D.A.; Kysil, E.V.; Antonova, K.A.; Demin, K.A.; Kolesnikova, T.O.; Khatsko, S.L.; Gainetdinov, R.R.; Alekseeva, P.A.; Kalueff, A.V. The effects of chronic amitriptyline on zebrafish behavior and monoamine neurochemistry. Neurochem. Res. 2018, 43, 1191–1199. [Google Scholar] [CrossRef]
- Demin, K.A.; Kolesnikova, T.O.; Galstyan, D.S.; Krotova, N.A.; Ilyin, N.P.; Derzhavina, K.A.; Levchenko, N.A.; Strekalova, T.; de Abreu, M.S.; Petersen, E.V. Modulation of behavioral and neurochemical responses of adult zebrafish by fluoxetine, eicosapentaenoic acid and lipopolysaccharide in the prolonged chronic unpredictable stress model. Sci. Rep. 2021, 11, 14289. [Google Scholar] [CrossRef] [PubMed]
- Stevens, C.H.; Reed, B.T.; Hawkins, P. Enrichment for laboratory zebrafish—A review of the evidence and the challenges. Animals 2021, 11, 698. [Google Scholar] [CrossRef] [PubMed]
- Voslářová, E.; Pištěková, V.; Svobodova, Z.; Bedáňová, I. Nitrite toxicity to Danio rerio: Effects of subchronic exposure on fish growth. Acta Vet. Brno 2008, 77, 455–460. [Google Scholar] [CrossRef]
- Learmonth, C.; Carvalho, A.P. Acute and chronic toxicity of nitrate to early life stages of zebrafish—Setting nitrate safety levels for zebrafish rearing. Zebrafish 2015, 12, 305–311. [Google Scholar] [CrossRef]
- Percie du Sert, N.; Hurst, V.; Ahluwalia, A.; Alam, S.; Avey, M.T.; Baker, M.; Browne, W.J.; Clark, A.; Cuthill, I.C.; Dirnagl, U. The ARRIVE guidelines 2.0: Updated guidelines for reporting animal research. J. Cereb. Blood Flow Metab. 2020, 40, 1769–1777. [Google Scholar] [CrossRef]
- Landin, J.; Hovey, D.; Xu, B.; Lagman, D.; Zettergren, A.; Larhammar, D.; Kettunen, P.; Westberg, L. Oxytocin receptors regulate social preference in zebrafish. Sci. Rep. 2020, 10, 5435. [Google Scholar] [CrossRef]
- Fontana, B.D.; Alnassar, N.; Parker, M.O. The impact of water changes on stress and subject variation in a zebrafish (Danio rerio) anxiety-related task. J. Neurosci. Methods 2021, 363, 109347. [Google Scholar] [CrossRef]
- Nasiadka, A.; Clark, M.D. Zebrafish breeding in the laboratory environment. ILAR J. 2012, 53, 161–168. [Google Scholar] [CrossRef]
- Sánchez-Vázquez, F.J.; López-Olmeda, J.F.; Vera, L.M.; Migaud, H.; López-Patiño, M.A.; Míguez, J.M. Environmental cycles, melatonin, and circadian control of stress response in fish. Front. Endocrinol. 2019, 10, 279. [Google Scholar] [CrossRef]
- Ellis, T.; James, J.; Stewart, C.; Scott, A. A non-invasive stress assay based upon measurement of free cortisol released into the water by rainbow trout. J. Fish Biol. 2004, 65, 1233–1252. [Google Scholar] [CrossRef]
- Sundh, H.; Calabrese, S.; Jutfelt, F.; Niklasson, L.; Olsen, R.-E.; Sundell, K. Translocation of infectious pancreatic necrosis virus across the intestinal epithelium of Atlantic salmon (Salmo salar L.). Aquaculture 2011, 321, 85–92. [Google Scholar] [CrossRef]
- Young, G. Cortisol secretion in vitro by the interrenal of coho salmon (Oncorhynchus kisutch) during smoltification relationship with plasma thyroxine and plasma cortisol. Gen. Comp. Endocrinol. 1986, 63, 191–200. [Google Scholar] [CrossRef]
- Clarke, R.B.; Adermark, L.; Chau, P.; Söderpalm, B.; Ericson, M. Increase in nucleus accumbens dopamine levels following local ethanol administration is not mediated by acetaldehyde. Alcohol Alcohol. 2014, 49, 498–504. [Google Scholar] [CrossRef] [PubMed]
- Ulenius, L.; Andrén, A.; Adermark, L.; Söderpalm, B.; Ericson, M. Sub-chronic taurine administration induces behavioral sensitization but does not influence ethanol-induced dopamine release in the nucleus accumbens. Pharmacol. Biochem. Behav. 2020, 188, 172831. [Google Scholar] [CrossRef]
- Dos Santos, T.G.; Mussulini, B.H.M.; Frangipani, L.A.; de Oliveira, D.L. Differential impact of shorter and longer periods of environmental enrichment on adult zebrafish exploratory activity (Danio rerio) in the novel tank paradigm. Behav. Processes 2020, 181, 104278. [Google Scholar] [CrossRef]
- Gerlai, R.; Lahav, M.; Guo, S.; Rosenthal, A. Drinks like a fish: Zebra fish (Danio rerio) as a behavior genetic model to study alcohol effects. Pharmacol. Biochem. Behav. 2000, 67, 773–782. [Google Scholar] [CrossRef]
- Cachat, J.; Canavello, P.; Elegante, M.; Bartels, B.; Hart, P.; Bergner, C.; Egan, R.; Duncan, A.; Tien, D.; Chung, A. Modeling withdrawal syndrome in zebrafish. Behav. Brain Res. 2010, 208, 371–376. [Google Scholar] [CrossRef]
- Egan, R.J.; Bergner, C.L.; Hart, P.C.; Cachat, J.M.; Canavello, P.R.; Elegante, M.F.; Elkhayat, S.I.; Bartels, B.K.; Tien, A.K.; Tien, D.H. Understanding behavioral and physiological phenotypes of stress and anxiety in zebrafish. Behav. Brain Res. 2009, 205, 38–44. [Google Scholar] [CrossRef]
- Matthews, M.; Trevarrow, B.; Matthews, J. A virtual tour of the guide for zebrafish users. Resource 2002, 31, 34–40. [Google Scholar]
- Goldsmith, P.; Solari, R. The role of zebrafish in drug discovery. Drug Discov. World 2003, 75, 74–78. Available online: https://www.ddw-online.com/the-role-of-zebrafish-in-drug-discovery-1526-200304/ (accessed on 6 December 2021).
- Hutter, S.; Penn, D.; Magee, S.; Zala, S. Reproductive behaviour of wild zebrafish (Danio rerio) in large tanks. Behaviour 2010, 147, 641. [Google Scholar] [CrossRef]
- Frederickson, S.C.; Steinmiller, M.D.; Blaylock, T.R.; Wisnieski, M.E.; Malley, J.D.; Pandolfo, L.M.; Castranova, D. Comparison of Juvenile Feed Protocols on Growth and Spawning in Zebrafish. J. Am. Assoc. Lab. Anim. Sci. 2021, 60, 298–305. [Google Scholar] [CrossRef] [PubMed]
- Kolb, A.; Hildebrandt, F.; Lawrence, C. Effects of diet and social housing on reproductive success in adult zebrafish, Danio rerio. Zebrafish 2018, 15, 445–453. [Google Scholar] [CrossRef] [PubMed]
- Castranova, D.; Lawton, A.; Lawrence, C.; Baumann, D.P.; Best, J.; Coscolla, J.; Doherty, A.; Ramos, J.; Hakkesteeg, J.; Wang, C. The effect of stocking densities on reproductive performance in laboratory zebrafish (Danio rerio). Zebrafish 2011, 8, 141–146. [Google Scholar] [CrossRef]
- Rabbane, M.G.; Rahman, M.M.; Kabir, M.A.; Faruque, M.H. Effect of rearing density on reproduction and embryogenesis of zebrafish Danio rerio (Hamilton, 1922). Dhaka Univ. J. Biol. Sci. 2017, 26, 77–82. [Google Scholar] [CrossRef][Green Version]
- Fulcher, N.; Tran, S.; Shams, S.; Chatterjee, D.; Gerlai, R. Neurochemical and behavioral responses to unpredictable chronic mild stress following developmental isolation: The zebrafish as a model for major depression. Zebrafish 2017, 14, 23–34. [Google Scholar] [CrossRef]
- Shams, S.; Chatterjee, D.; Gerlai, R. Chronic social isolation affects thigmotaxis and whole-brain serotonin levels in adult zebrafish. Behav. Brain Res. 2015, 292, 283–287. [Google Scholar] [CrossRef]
- Shams, S.; Amlani, S.; Buske, C.; Chatterjee, D.; Gerlai, R. Developmental social isolation affects adult behavior, social interaction, and dopamine metabolite levels in zebrafish. Dev. Psychobiol. 2018, 60, 43–56. [Google Scholar] [CrossRef]
- Shams, S.; Khan, A.; Gerlai, R. Early social deprivation does not affect cortisol response to acute and chronic stress in zebrafish. Stress 2020, 24, 273–281. [Google Scholar] [CrossRef]
- Ramsay, J.M.; Feist, G.W.; Varga, Z.M.; Westerfield, M.; Kent, M.L.; Schreck, C.B. Whole-body cortisol is an indicator of crowding stress in adult zebrafish, Danio rerio. Aquaculture 2006, 258, 565–574. [Google Scholar] [CrossRef]
- Tran, S.; Chatterjee, D.; Gerlai, R. Acute net stressor increases whole-body cortisol levels without altering whole-brain monoamines in zebrafish. Behav. Neurosci. 2014, 128, 621. [Google Scholar] [CrossRef] [PubMed]
- Pavlidis, M.; Digka, N.; Theodoridi, A.; Campo, A.; Barsakis, K.; Skouradakis, G.; Samaras, A.; Tsalafouta, A. Husbandry of zebrafish, Danio rerio, and the cortisol stress response. Zebrafish 2013, 10, 524–531. [Google Scholar] [CrossRef] [PubMed]
- White, L.J.; Thomson, J.S.; Pounder, K.C.; Coleman, R.C.; Sneddon, L.U. The impact of social context on behaviour and the recovery from welfare challenges in zebrafish, Danio rerio. Anim. Behav. 2017, 132, 189–199. [Google Scholar] [CrossRef]
- Gronquist, D.; Berges, J.A. Effects of aquarium-related stressors on the zebrafish: A comparison of behavioral, physiological, and biochemical indicators. J. Aquat. Anim. Health 2013, 25, 53–65. [Google Scholar] [CrossRef] [PubMed]
- Sundh, H. Chronic Stress and Intestinal Barrier Function: Implications for Infection and Inflammation in Intensive Salmon Aquaculture. Ph.D. Thesis, Department of Zoology, University of Gothenburg, Gothenburg, Sweden, 2009. [Google Scholar]
- Thomson, J.S.; Al-Temeemy, A.A.; Isted, H.; Spencer, J.W.; Sneddon, L.U. Assessment of behaviour in groups of zebrafish (Danio rerio) using an intelligent software monitoring tool, the Chromatic Fish Analyser. J. Neurosci. Methods 2019, 328, 108433. [Google Scholar] [CrossRef] [PubMed]
- Rosa, L.V.; Costa, F.V.; Canzian, J.; Borba, J.V.; Quadros, V.A.; Rosemberg, D.B. Three-and bi-dimensional analyses of the shoaling behavior in zebrafish: Influence of modulators of anxiety-like responses. Prog. Neuro-Psychopharmacol. Biol. Psychiatry 2020, 102, 109957. [Google Scholar] [CrossRef] [PubMed]
- Canzian, J.; Fontana, B.D.; Quadros, V.A.; Rosemberg, D.B. Conspecific alarm substance differently alters group behavior of zebrafish populations: Putative involvement of cholinergic and purinergic signaling in anxiety-and fear-like responses. Behav. Brain Res. 2017, 320, 255–263. [Google Scholar] [CrossRef]
- Spence, R.; Fatema, M.; Reichard, M.; Huq, K.; Wahab, M.; Ahmed, Z.; Smith, C. The distribution and habitat preferences of the zebrafish in Bangladesh. J. Fish Biol. 2006, 69, 1435–1448. [Google Scholar] [CrossRef]
- Spence, R.; Smith, C. Male territoriality mediates density and sex ratio effects on oviposition in the zebrafish, Danio rerio. Anim. Behav. 2005, 69, 1317–1323. [Google Scholar] [CrossRef]
- Dahlbom, S.J.; Backström, T.; Lundstedt-Enkel, K.; Winberg, S. Aggression and monoamines: Effects of sex and social rank in zebrafish (Danio rerio). Behav. Brain Res. 2012, 228, 333–338. [Google Scholar] [CrossRef]
- Spence, R.; Gerlach, G.; Lawrence, C.; Smith, C. The behaviour and ecology of the zebrafish, Danio rerio. Biol. Rev. 2008, 83, 13–34. [Google Scholar] [CrossRef] [PubMed]






| Behaviour (% of Observations) | 1 Fish/L | 4 Fish/L | 8 Fish/L | 12 Fish/L | 16 Fish/L |
|---|---|---|---|---|---|
| Chasing | 71 | 52 | 38 | 24 | 21 |
| Hiding | 63 | 14 | 24 | 14 | 36 |
Publisher’s Note: MDPI stays neutral with regard to jurisdictional claims in published maps and institutional affiliations. |
© 2022 by the authors. Licensee MDPI, Basel, Switzerland. This article is an open access article distributed under the terms and conditions of the Creative Commons Attribution (CC BY) license (https://creativecommons.org/licenses/by/4.0/).
Share and Cite
Andersson, M.; Roques, J.A.C.; Aliti, G.M.; Ademar, K.; Sundh, H.; Sundell, K.; Ericson, M.; Kettunen, P. Low Holding Densities Increase Stress Response and Aggression in Zebrafish. Biology 2022, 11, 725. https://doi.org/10.3390/biology11050725
Andersson M, Roques JAC, Aliti GM, Ademar K, Sundh H, Sundell K, Ericson M, Kettunen P. Low Holding Densities Increase Stress Response and Aggression in Zebrafish. Biology. 2022; 11(5):725. https://doi.org/10.3390/biology11050725
Chicago/Turabian StyleAndersson, Marica, Jonathan A. C. Roques, Geoffrey Mukisa Aliti, Karin Ademar, Henrik Sundh, Kristina Sundell, Mia Ericson, and Petronella Kettunen. 2022. "Low Holding Densities Increase Stress Response and Aggression in Zebrafish" Biology 11, no. 5: 725. https://doi.org/10.3390/biology11050725
APA StyleAndersson, M., Roques, J. A. C., Aliti, G. M., Ademar, K., Sundh, H., Sundell, K., Ericson, M., & Kettunen, P. (2022). Low Holding Densities Increase Stress Response and Aggression in Zebrafish. Biology, 11(5), 725. https://doi.org/10.3390/biology11050725

