The Effect of Unpredictable Chronic Stress on Rare Minnow (Gobiocypris rarus): Growth, Behaviour and Physiology
Abstract
Simple Summary
Abstract
1. Introduction
2. Material and Methods
2.1. Fish Culture and Handling
2.2. Behavioural Studies
2.3. Sampling and Measuring of Physiological Parameters
2.4. Data Analysis
3. Result
3.1. Growth
3.2. Behavioural Parameters
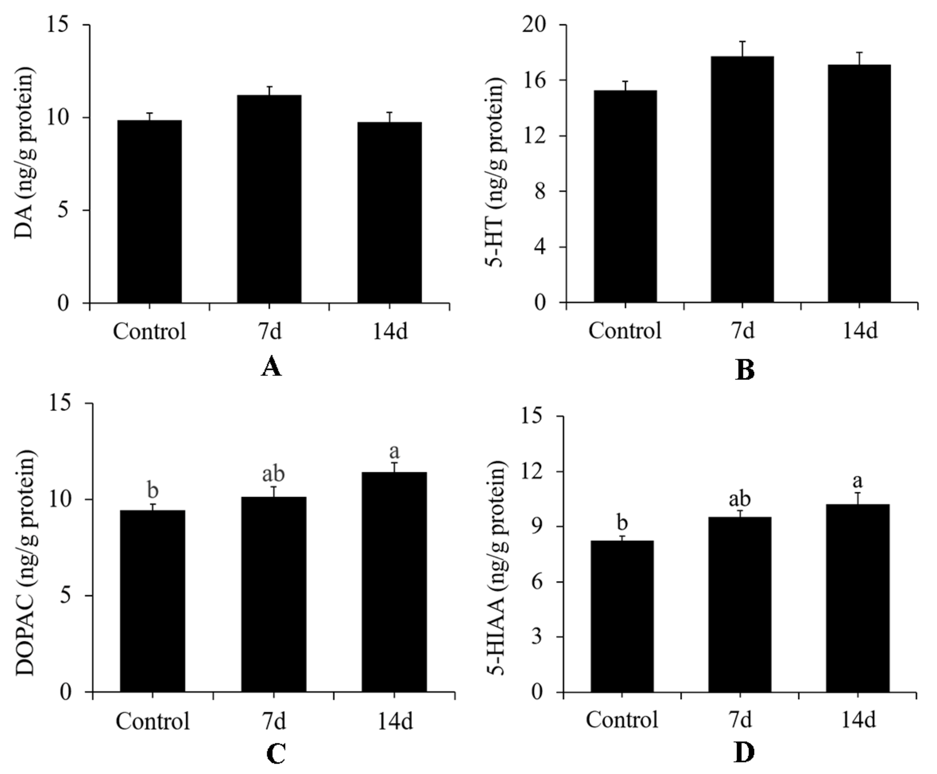
3.3. Physiological Changes
4. Discussion
4.1. Effect of UCS on Growth and Cortisol Levels
4.2. Effect of UCS on Behaviour Patterns
4.3. Effect of UCS on Neurochemical Levels
5. Conclusions
Author Contributions
Funding
Institutional Review Board Statement
Informed Consent Statement
Data Availability Statement
Conflicts of Interest
Acknowledgments
References
- Magierecka, A.; Lind, Å.J.; Aristeidou, A.; Sloman, K.A.; Metcalfe, N.B. Chronic exposure to stressors has a persistent effect on feeding behaviour but not cortisol levels in sticklebacks. Anim. Behav. 2021, 181, 71–81. [Google Scholar] [CrossRef]
- Morgan, K.N.; Tromborg, C.T. Sources of stress in captivity. Appl. Anim. Behav. Sci. 2007, 102, 262–302. [Google Scholar] [CrossRef]
- Portz, D.E.; Woodley, C.M.; Cech, J.J. Stress-associated impacts of short-term holding on fishes. Rev. Fish Biol. Fish. 2006, 16, 125–170. [Google Scholar] [CrossRef]
- Ramsay, J.M.; Feist, G.W.; Varga, Z.M.; Westerfield, M.; Kent, M.L.; Schreck, C.B. Whole-body cortisol is an indicator of crowding stress in adult zebrafish, Danio rerio. Aquaculture 2006, 258, 565–574. [Google Scholar] [CrossRef]
- Zhang, Z.; Bai, Q.; Xu, X.; Guo, H.; Zhang, X. Effects of environmental enrichment on the welfare of juvenile black rockfish Sebastes schlegelii: Growth, behavior and physiology. Aquaculture 2020, 518, 734782. [Google Scholar] [CrossRef]
- Selye, H. Stress and the General Adaptation Syndrome. Br. Med. J. 1950, 1, 1383–1392. [Google Scholar] [CrossRef] [PubMed]
- Romero, L. Physiological stress in ecology: Lessons from biomedical research. Trends Ecol. Evol. 2004, 19, 249–255. [Google Scholar] [CrossRef] [PubMed]
- Barton, B.A.; Iwama, G.K. Physiological changes in fish from stress in aquaculture with emphasis on the response and effects of corticosteroids. Annu. Rev. Fish Dis. 1991, 1, 3–26. [Google Scholar] [CrossRef]
- Oliveira, R.; Galhardo, L. Psychological Stress and Welfare in Fish. Annu. Rev. Biomed. Sci. 2009, 11, 1–20. [Google Scholar] [CrossRef]
- Mommsen, T.P.; Vijayan, M.M.; Moon, T.W. Cortisol in teleosts: Dynamics, mechanisms of action, and metabolic regulation. Rev. Fish Biol. Fish. 1999, 9, 211–268. [Google Scholar] [CrossRef]
- Sørensen, C.; Johansen, I.B.; Øverli, Ø. Neural plasticity and stress coping in teleost fishes. Gen. Comp. Endocrinol. 2013, 181, 25–34. [Google Scholar] [CrossRef] [PubMed]
- Batzina, A.; Dalla, C.; Papadopoulou-Daifoti, Z.; Karakatsouli, N. Effects of environmental enrichment on growth, aggressive behaviour and brain monoamines of gilthead seabream Sparus aurata reared under different social conditions. Comp. Biochem. Physiol. Part A Mol. Integr. Physiol. 2014, 169, 25–32. [Google Scholar] [CrossRef] [PubMed]
- Batzina, A.; Dalla, C.; Tsopelakos, A.; Papadopoulou-Daifoti, Z.; Karakatsouli, N. Environmental enrichment induces changes in brain monoamine levels in gilthead seabream Sparus aurata. Physiol. Behav. 2014, 130, 85–90. [Google Scholar] [CrossRef] [PubMed]
- Batzina, A.; Kalogiannis, D.; Dalla, C.; Papadopoulou-Daifoti, Z.; Chadio, S.; Karakatsouli, N. Blue substrate modifies the time course of stress response in gilthead seabream Sparus aurata. Aquaculture 2014, 420, 247–253. [Google Scholar] [CrossRef]
- Rosengren, M.; Kvingedal, E.; Näslund, J.; Johnsson, J.I.; Sundell, K. Born to be wild: Effects of rearing density and environmental enrichment on stress, welfare, and smolt migration in hatchery-reared Atlantic salmon. Can. J. Fish. Aquat. Sci. 2016, 74, 396–405. [Google Scholar] [CrossRef]
- Song, C.; Liu, B.-P.; Zhang, Y.-P.; Peng, Z.; Wang, J.; Collier, A.D.; Echevarria, D.J.; Savelieva, K.V.; Lawrence, R.F.; Rex, C.S.; et al. Modeling consequences of prolonged strong unpredictable stress in zebrafish: Complex effects on behavior and physiology. Prog. Neuro-Psychopharmacol. Biol. Psychiatry 2018, 81, 384–394. [Google Scholar] [CrossRef] [PubMed]
- Piato, A.L.; Capiotti, K.M.; Tamborski, A.R.; Oses, J.P.; Barcellos, L.J.; Bogo, M.R.; Lara, D.R.; Vianna, M.R.; Bonan, C.D. Unpredictable chronic stress model in zebrafish (Danio rerio): Behavioral and physiological responses. Prog. Neuro-Psychopharmacol. Biol. Psychiatry 2011, 35, 561–567. [Google Scholar] [CrossRef] [PubMed]
- Su, L.; Xu, C.; Cai, L.; Qiu, N.; Hou, M.; Wang, J. Susceptibility and immune responses after challenge with Flavobacterium columnare and Pseudomonas fluorescens in conventional and specific pathogen-free rare minnow (Gobiocypris rarus). Fish Shellfish Immunol. 2020, 98, 875–886. [Google Scholar] [CrossRef]
- Wang, J.; Li, P.; Zhang, Y.; Peng, Z. The complete mitochondrial genome of Chinese rare minnow, Gobiocypris rarus (Teleostei: Cypriniformes). Mitochondrial DNA 2011, 22, 178–180. [Google Scholar] [CrossRef]
- Hua, J.; Han, J.; Guo, Y.; Zhou, B. Endocrine disruption in Chinese rare minnow (Gobiocypris rarus) after long-term exposure to low environmental concentrations of progestin megestrol acetate. Ecotoxicol. Environ. Saf. 2018, 163, 289–297. [Google Scholar] [CrossRef]
- Lin, Y.; Wang, B.; Wang, N.; Ouyang, G.; Cao, H. Transcriptome analysis of rare minnow (Gobiocypris rarus) infected by the grass carp reovirus. Fish Shellfish Immunol. 2019, 89, 337–344. [Google Scholar] [CrossRef] [PubMed]
- Hong, X.; Zha, J. Fish behavior: A promising model for aquatic toxicology research. Sci. Total Environ. 2019, 686, 311–321. [Google Scholar] [CrossRef] [PubMed]
- Zhang, J.; Zhang, C.; Sun, P.; Shao, X. Tributyltin affects shoaling and anxiety behavior in female rare minnow (Gobiocypris rarus). Aquat. Toxicol. 2016, 178, 80–87. [Google Scholar] [CrossRef] [PubMed]
- Qiu, N.; Xu, C.; Wang, X.; Hou, M.; Xia, Z.; Wang, J. Chemicals Weaken Shoal Preference in the Rare Minnow Gobiocypris rarus. Environ. Toxicol. Chem. 2020, 39, 2018–2027. [Google Scholar] [CrossRef] [PubMed]
- Hu, X.; Li, H.; Lin, Y.; Wang, Z.; Feng, H.; Zhou, M.; Shi, L.; Cao, H.; Ren, Y. Genomic deciphering of sex determination and unique immune system of a potential model species rare minnow (Gobiocypris rarus). Sci. Adv. 2022, 8, eabl7253. [Google Scholar] [CrossRef]
- Lucon-Xiccato, T.; Conti, F.; Loosli, F.; Foulkes, N.S.; Bertolucci, C. Development of Open-Field Behaviour in the Medaka, Oryzias latipes. Biology 2020, 9, 389. [Google Scholar] [CrossRef]
- Meerlo, P.; Overkamp, G.; Benning, M.; Koolhaas, J.; Hoofdakker, R.V.D. Long-term changes in open field behaviour following a single social defeat in rats can be reversed by sleep deprivation. Physiol. Behav. 1996, 60, 115–119. [Google Scholar] [CrossRef]
- Ramos, A.; Berton, O.; Mormède, P.; Chaouloff, F. A multiple-test study of anxiety-related behaviours in six inbred rat strains. Behav. Brain Res. 1997, 85, 57–69. [Google Scholar] [CrossRef]
- Gaikwad, S.; Stewart, A.; Hart, P.; Wong, K.; Piet, V.; Cachat, J.; Kalueff, A.V. Acute stress disrupts performance of zebrafish in the cued and spatial memory tests: The utility of fish models to study stress–memory interplay. Behav. Process. 2011, 87, 224–230. [Google Scholar] [CrossRef]
- Wong, K.; Elegante, M.; Bartels, B.; Elkhayat, S.; Tien, D.; Roy, S.; Goodspeed, J.; Suciu, C.; Tan, J.; Grimes, C.; et al. Analyzing habituation responses to novelty in zebrafish (Danio rerio). Behav. Brain Res. 2010, 208, 450–457. [Google Scholar] [CrossRef]
- Dickens, M.J.; Romero, L.M. A consensus endocrine profile for chronically stressed wild animals does not exist. Gen. Comp. Endocrinol. 2013, 191, 177–189. [Google Scholar] [CrossRef] [PubMed]
- Madaro, A.; Olsen, R.E.; Kristiansen, T.S.; Ebbesson, L.O.E.; Nilsen, T.O.; Flik, G.; Gorissen, M. Stress in Atlantic salmon: Response to unpredictable chronic stress. J. Exp. Biol. 2015, 218, 2538–2550. [Google Scholar] [CrossRef] [PubMed]
- Fries, E.; Hesse, J.; Hellhammer, J.; Hellhammer, D.H. A new view on hypocortisolism. Psychoneuroendocrinology 2005, 30, 1010–1016. [Google Scholar] [CrossRef] [PubMed]
- de Kloet, E.R. Ronald, Hormones, brain and stress. Endocr. Regul. 2003, 37, 51–68. [Google Scholar]
- Wikgren, M.; Maripuu, M.; Karlsson, T.; Nordfjäll, K.; Bergdahl, J.; Hultdin, J.; Del-Favero, J.; Roos, G.; Nilsson, L.-G.; Adolfsson, R.; et al. Short Telomeres in Depression and the General Population Are Associated with a Hypocortisolemic State. Biol. Psychiatry 2012, 71, 294–300. [Google Scholar] [CrossRef]
- Sadoul, B.; Geffroy, B. Measuring cortisol, the major stress hormone in fishes. J. Fish Biol. 2019, 94, 540–555. [Google Scholar] [CrossRef]
- Dickmeis, T. Glucocorticoids and the circadian clock. J. Endocrinol. 2009, 200, 3–22. [Google Scholar] [CrossRef]
- Romero, L.M.; Beattie, U.K. Common myths of glucocorticoid function in ecology and conservation. J. Exp. Zoöl. Part A Ecol. Integr. Physiol. 2021, 337, 7–14. [Google Scholar] [CrossRef]
- Gould, T.D.; Dao, D.T.; Kovacsics, C.E. The open field test. In Mood and Anxiety Related Phenotypes; Mice Humana Press: Totowa, NJ, USA, 2009; pp. 1–20. [Google Scholar]
- Kulikov, A.V.; Tikhonova, M.A.; Kulikov, V.A. Automated measurement of spatial preference in the open field test with transmitted lighting. J. Neurosci. Methods 2008, 170, 345–351. [Google Scholar] [CrossRef]
- Burns, J.G. The validity of three tests of temperament in guppies (Poecilia reticulata). J. Comp. Psychol. 2008, 122, 344–356. [Google Scholar] [CrossRef]
- Godwin, J.; Sawyer, S.; Perrin, F.; Oxendine, S.E.; Kezios, Z.D. Adapting the Open Field Test to Assess Anxiety-Related Behavior in Zebrafish. In Zebrafish Protocols for Neurobehavioral Research; Humana Press: Totowa, NJ, USA, 2012; pp. 181–189. [Google Scholar]
- Stewart, A.; Gaikwad, S.; Kyzar, E.; Green, J.; Roth, A.; Kalueff, A.V. Modeling anxiety using adult zebrafish: A conceptual review. Neuropharmacology 2012, 62, 135–143. [Google Scholar] [CrossRef] [PubMed]
- Koolhaas, J.M.; Korte, S.M.; De Boer, S.F.; Van Der Vegt, B.J.; Van Reenen, C.G.; Hopster, H.; De Jong, I.C.; Ruis, M.A.W.; Blokhuis, H.J. Coping styles in animals: Current status in behavior and stress-physiology. Neurosci. Biobehav. Rev. 1999, 23, 925–935. [Google Scholar] [CrossRef] [PubMed]
- Chakravarty, S.; Reddy, B.R.; Sudhakar, S.R.; Saxena, S.; Das, T.; Meghah, V.; Swamy, C.V.B.; Kumar, A.; Idris, M.M. Chronic Unpredictable Stress (CUS)-Induced Anxiety and Related Mood Disorders in a Zebrafish Model: Altered Brain Proteome Profile Implicates Mitochondrial Dysfunction. PLoS ONE 2013, 8, e63302. [Google Scholar] [CrossRef] [PubMed]
- Tudorache, C.; Schaaf, M.J.M.; Slabbekoorn, H. Covariation between behaviour and physiology indicators of coping style in zebrafish (Danio rerio). J. Endocrinol. 2013, 219, 251–258. [Google Scholar] [CrossRef]
- Fulcher, N.; Tran, S.; Shams, S.; Chatterjee, D.; Gerlai, R. Neurochemical and Behavioral Responses to Unpredictable Chronic Mild Stress Following Developmental Isolation: The Zebrafish as a Model for Major Depression. Zebrafish 2017, 14, 23–34. [Google Scholar] [CrossRef]
- Koolhaas, J.; de Boer, S.; Coppens, C.; Buwalda, B. Neuroendocrinology of coping styles: Towards understanding the biology of individual variation. Front. Neuroendocr. 2010, 31, 307–321. [Google Scholar] [CrossRef]
- Koob, G.F. Hedonic valence, dopamine and motivation. Mol. Psychiatry 1996, 1, 186–189. [Google Scholar]
- Phillips, A.G.; Vacca, G.; Ahn, S. A top-down perspective on dopamine, motivation and memory. Pharmacol. Biochem. Behav. 2008, 90, 236–249. [Google Scholar] [CrossRef]
- Beninger, R.J. The role of dopamine in locomotor activity and learning. Brain Res. Rev. 1983, 6, 173–196. [Google Scholar] [CrossRef]
- Salamone, J.D. Complex motor and sensorimotor functions of striatal and accumbens dopamine: Involvement in instrumental behavior processes. Psychopharmacology 1992, 107, 160–174. [Google Scholar] [CrossRef]
- Saudou, F.; Amara, D.A.; Dierich, A.; LeMeur, M.; Ramboz, S.; Segu, L.; Buhot, M.-C.; Hen, R. Enhanced Aggressive Behavior in Mice Lacking 5-HT1B Receptor. Science 1994, 265, 1875–1878. [Google Scholar] [CrossRef] [PubMed]
- Mann, J.J. Role of the Serotonergic System in the Pathogenesis of Major Depression and Suicidal Behavior. Neuropsychopharmacology 1999, 21, 99S–105S. [Google Scholar] [CrossRef]
- Pang, T.Y.; Du, X.; Zajac, M.S.; Howard, M.L.; Hannan, A.J. Altered serotonin receptor expression is associated with depression-related behavior in the R6/1 transgenic mouse model of Huntington’s disease. Hum. Mol. Genet. 2009, 18, 753–766. [Google Scholar] [CrossRef] [PubMed]
- Paterson, N.E.; Markou, A. Animal models and treatments for addiction and depression co-morbidity. Neurotox. Res. 2007, 11, 1–32. [Google Scholar] [CrossRef] [PubMed]
- Bhutani, M.K.; Bishnoi, M.; Kulkarni, S.K. Anti-depressant like effect of curcumin and its combination with piperine in unpredictable chronic stress-induced behavioral, biochemical and neurochemical changes. Pharmacol. Biochem. Behav. 2009, 92, 39–43. [Google Scholar] [CrossRef] [PubMed]
- Hill, M.N.; Hellemans, K.G.; Verma, P.; Gorzalka, B.B.; Weinberg, J. Neurobiology of chronic mild stress: Parallels to major depression. Neurosci. Biobehav. Rev. 2012, 36, 2085–2117. [Google Scholar] [CrossRef] [PubMed]
- Shams, S.; Amlani, S.; Buske, C.; Chatterjee, D.; Gerlai, R. Developmental social isolation affects adult behavior, social interaction, and dopamine metabolite levels in zebrafish. Dev. Psychobiol. 2018, 60, 43–56. [Google Scholar] [CrossRef] [PubMed]










| Weeks | Monday | Tuesday | Wednesday | Thursday | Friday | Saturday | Sunday |
|---|---|---|---|---|---|---|---|
| Week 1 | Food deprivation | 9:46 | 11:03 | 9:40 | 9:23 | 13:30 | 13:00 |
| Crowding (2 min) | Air exposed (20 s) | Chasing (1 min) | Low water level to dorsal (5 min) | Chasing (1 min) | Crowding (2 min) | ||
| 16:20 | 17:14 | Food deprivation | 15:09 | 15:37 | Food deprivation | 14:42 | |
| Chasing (1 min) | Low water level to dorsal (5 min) | Crowding (2 min) | Air exposed (20 s) | Low water level to dorsal | |||
| Week 2 | Food deprivation | 8:40 | Food deprivation | 9:10 | 12:45 | 11:17 | 10:32 |
| Chasing (1 min) | Air exposed (20 s) | Low water level to dorsal (5 min) | Crowding (2 min) | Air exposed (20 s) | |||
| 18:30 | 17:10 | 17:17 | 17:17 | 20:00 | Food deprivation | 15:43 | |
| Air exposed (20 s) | Low water level to dorsal (5 min) | Crowding (2 min) | Chasing (1 min) | Chasing (1 min) | Low water level to dorsal (5 min) |
Publisher’s Note: MDPI stays neutral with regard to jurisdictional claims in published maps and institutional affiliations. |
© 2022 by the authors. Licensee MDPI, Basel, Switzerland. This article is an open access article distributed under the terms and conditions of the Creative Commons Attribution (CC BY) license (https://creativecommons.org/licenses/by/4.0/).
Share and Cite
Xu, C.; Su, L.; Qiu, N.; Hou, M.; Yu, F.; Zou, X.; Wang, J. The Effect of Unpredictable Chronic Stress on Rare Minnow (Gobiocypris rarus): Growth, Behaviour and Physiology. Biology 2022, 11, 1755. https://doi.org/10.3390/biology11121755
Xu C, Su L, Qiu N, Hou M, Yu F, Zou X, Wang J. The Effect of Unpredictable Chronic Stress on Rare Minnow (Gobiocypris rarus): Growth, Behaviour and Physiology. Biology. 2022; 11(12):1755. https://doi.org/10.3390/biology11121755
Chicago/Turabian StyleXu, Chunsen, Liangxia Su, Ning Qiu, Miaomiao Hou, Fandong Yu, Xinhua Zou, and Jianwei Wang. 2022. "The Effect of Unpredictable Chronic Stress on Rare Minnow (Gobiocypris rarus): Growth, Behaviour and Physiology" Biology 11, no. 12: 1755. https://doi.org/10.3390/biology11121755
APA StyleXu, C., Su, L., Qiu, N., Hou, M., Yu, F., Zou, X., & Wang, J. (2022). The Effect of Unpredictable Chronic Stress on Rare Minnow (Gobiocypris rarus): Growth, Behaviour and Physiology. Biology, 11(12), 1755. https://doi.org/10.3390/biology11121755

