Modulation of Energy Metabolism and Epigenetic Landscape in Rainbow Trout Fry by a Parental Low Protein/High Carbohydrate Diet
Abstract
Simple Summary
Abstract
1. Introduction
2. Material and Methods
2.1. Experimental Design
2.2. Metabolic Rate Assays
2.3. Fry Body Morphologies
2.4. RNA and DNA Extraction
2.5. Determination of Fry Sex
2.6. Global DNA Methylation
2.7. Microarrays, cDNA Labelling and Hybridization
2.8. qPCR
2.9. Statistical Analyses
3. Results
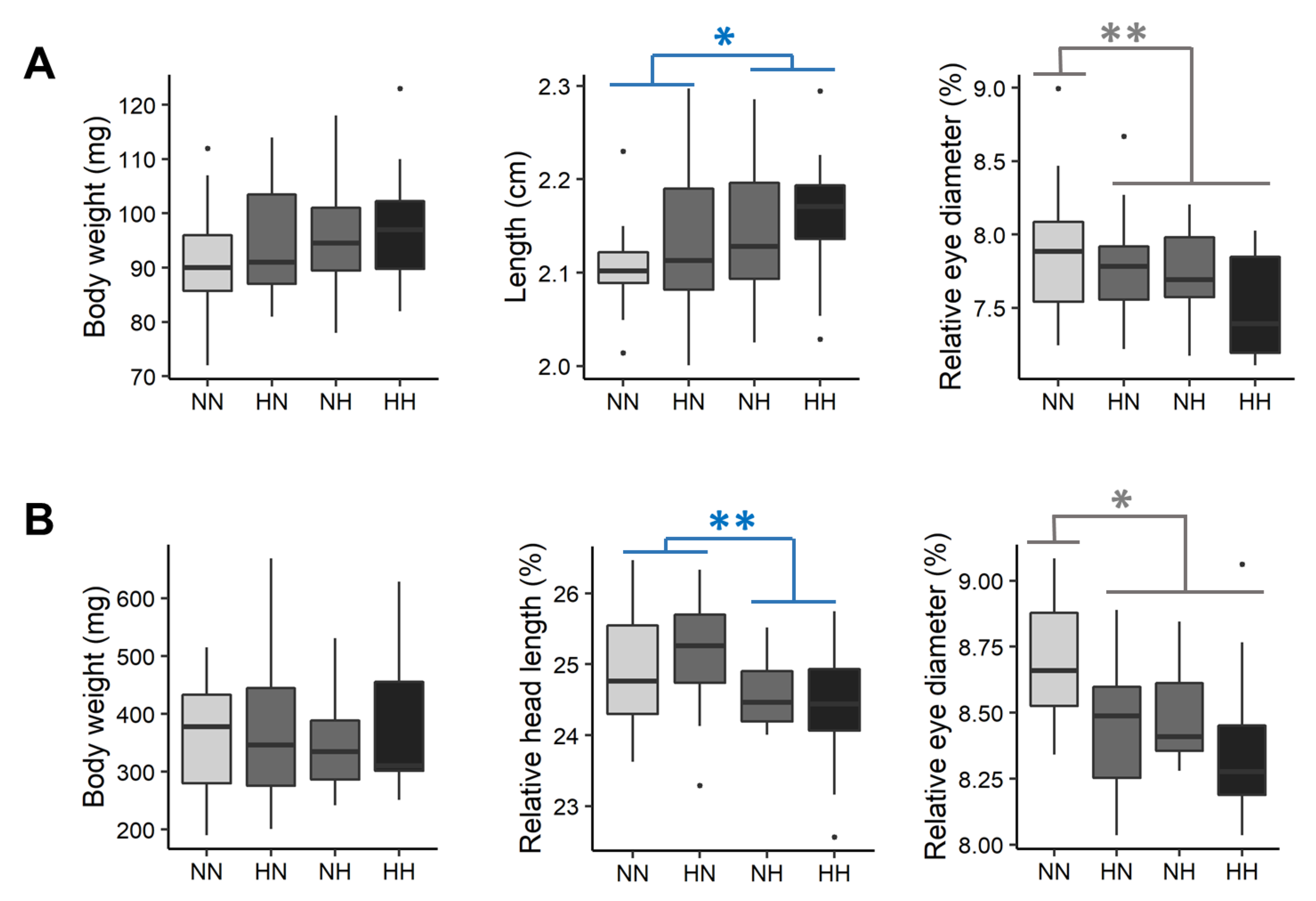
3.1. Phenotypes
3.2. Metabolic Rate
3.3. Global DNA Methylation
3.4. Transcriptomes
4. Discussion
4.1. Offspring Growth Was Unaffected by the Parental HC/LP Diet
4.2. Eye Development Was Affected by the Parental HC/LP
4.3. Energy Metabolism Was Altered by the Parental HC/LP Diet
4.4. The Parental HC/LP Diet Induced Global DNA Hypo-Methylation
5. Conclusions
Supplementary Materials
Author Contributions
Funding
Institutional Review Board Statement
Informed Consent Statement
Data Availability Statement
Acknowledgments
Conflicts of Interest
References
- Hoffman, D.J.; Reynolds, R.M.; Hardy, D.B. Developmental origins of health and disease: Current knowledge and potential mechanisms. Nutr. Rev. 2017, 75, 951–970. [Google Scholar] [CrossRef]
- Guo, T.; Luo, F.; Lin, Q. You are affected by what your parents eat: Diet, epigenetics, transgeneration and intergeneration. Trends Food Sci. Technol. 2020, 100, 248–261. [Google Scholar] [CrossRef]
- Watkins, A.J.; Sinclair, K.D. Paternal low protein diet affects adult offspring cardiovascular and metabolic function in mice. Am. J. Physiol. Heart Circ. Physiol. 2014, 306, H1444–H1452. [Google Scholar] [CrossRef]
- Jahan-Mihan, A.; Rodriguez, J.; Christie, C.; Sadeghi, M.; Zerbe, T. The role of maternal dietary proteins in development of metabolic syndrome in offspring. Nutrients 2015, 7, 9185–9217. [Google Scholar] [CrossRef]
- Oke, S.L.; Hardy, D.B. Effects of Protein Deficiency on Perinatal and Postnatal Health Outcomes; Physiology and Pharmacology Publications; Western Libraries: London, ON, Canada, 2017. [Google Scholar] [CrossRef]
- Martin-Gronert, M.; Ozanne, S.E. Experimental IUGR and later diabetes. J. Intern. Med. 2007, 261, 437–452. [Google Scholar] [CrossRef] [PubMed]
- Langley-Evans, S.C. Nutritional programming of disease: Unravelling the mechanism. J. Anat. 2009, 215, 36–51. [Google Scholar] [CrossRef]
- Mortensen, O.H.; Olsen, H.L.; Frandsen, L.; Nielsen, P.E.; Nielsen, F.C.; Grunnet, N.; Quistorff, B. A maternal low protein diet has pronounced effects on mitochondrial gene expression in offspring liver and skeletal muscle; protective effect of taurine. J. Biomed. Sci. 2010, 17, S38. [Google Scholar] [CrossRef][Green Version]
- Carone, B.R.; Fauquier, L.; Habib, N.; Shea, J.M.; Hart, C.E.; Li, R.; Bock, C.; Li, C.; Gu, H.; Zamore, P.D.; et al. Paternally induced transgenerational environmental reprogramming of metabolic gene expression in mammals. Cell 2010, 143, 1084–1096. [Google Scholar] [CrossRef] [PubMed]
- Morgan, H.L.; Paganopoulou, P.; Akhtar, S.; Urquhart, N.; Philomin, R.; Dickinson, Y.; Watkins, A.J. Paternal diet impairs F1 and F2 offspring vascular function through sperm and seminal plasma specific mechanisms in mice. J. Physiol. 2020, 598, 699–715. [Google Scholar] [CrossRef]
- Safi-Stibler, S.; Gabory, A. Epigenetics and the Developmental Origins of Health and Disease: Parental environment signalling to the epigenome, critical time windows and sculpting the adult phenotype. Semin. Cell Dev. Biol. 2020, 97, 172–180. [Google Scholar] [CrossRef]
- Burdge, G.C.; Hanson, M.A.; Slater-Jefferies, J.L.; Lillycrop, K.A. Epigenetic regulation of transcription: A mechanism for inducing variations in phenotype (fetal programming) by differences in nutrition during early life? Br. J. Nutr. 2007, 97, 1036–1046. [Google Scholar] [CrossRef] [PubMed]
- Zhang, N. Epigenetic modulation of DNA methylation by nutrition and its mechanisms in animals. Anim. Nutr. 2015, 1, 144–151. [Google Scholar] [CrossRef] [PubMed]
- Harvey, A.J. Mitochondria in early development: Linking the microenvironment, metabolism and the epigenome. Reproduction 2019, 157, R159–R179. [Google Scholar] [CrossRef] [PubMed]
- Hou, Z.; Fuiman, L.A. Nutritional programming in fishes: Insights from mammalian studies. Rev. Fish Biol. Fish. 2020, 30, 67–92. [Google Scholar] [CrossRef]
- Gotoh, T. Potential of the application of epigenetics in animal production. Anim. Prod. Sci. 2015, 55, 145–158. [Google Scholar] [CrossRef]
- Geurden, I.; Aramendi, M.; Zambonino-Infante, J.; Panserat, S. Early feeding of carnivorous rainbow trout (Oncorhynchus mykiss) with a hyperglucidic diet during a short period: Effect on dietary glucose utilization in juveniles. Am. J. Physiol. Regul. Integr. Comp. Physiol. 2007, 292, R2275–R2283. [Google Scholar] [CrossRef]
- Geurden, I.; Borchert, P.; Balasubramanian, M.N.; Schrama, J.W.; Dupont-Nivet, M.; Quillet, E.; Kaushik, S.J.; Panserat, S.; Médale, F. The positive impact of the early-feeding of a plant-based diet on its future acceptance and utilization in rainbow trout. PLoS ONE 2013, 8, e83162. [Google Scholar] [CrossRef]
- Geurden, I.; Mennigen, J.; Plagnes-Juan, E.; Veron, V.; Cerezo, T.; Mazurais, D.; Zambonino-Infante, J.; Gatesoupe, J.; Skiba-Cassy, S.; Panserat, S. High or low dietary carbohydrate: Protein ratios during first-feeding affect glucose metabolism and intestinal microbiota in juvenile rainbow trout. J. Exp. Biol. 2014, 217, 3396–3406. [Google Scholar] [CrossRef]
- Balasubramanian, M.N.; Panserat, S.; Dupont-Nivet, M.; Quillet, E.; Montfort, J.; Le Cam, A.; Medale, F.; Kaushik, S.J.; Geurden, I. Molecular pathways associated with the nutritional programming of plant-based diet acceptance in rainbow trout following an early feeding exposure. BMC Genomics 2016, 17, 449. [Google Scholar] [CrossRef]
- Séité, S.; Masagounder, K.; Heraud, C.; Véron, V.; Marandel, L.; Panserat, S.; Seiliez, I. Early feeding of rainbow trout (Oncorhynchus mykiss) with methionine-deficient diet over a 2 week period: Consequences for liver mitochondria in juveniles. J. Exp. Biol. 2019, 222, jeb203687. [Google Scholar] [CrossRef]
- Seiliez, I.; Vélez, E.J.; Lutfi, E.; Dias, K.; Plagnes-Juan, E.; Marandel, L.; Panserat, S.; Geurden, I.; Skiba-Cassy, S. Eating for two: Consequences of parental methionine nutrition on offspring metabolism in rainbow trout (Oncorhynchus mykiss). Aquaculture 2017, 471, 80–91. [Google Scholar] [CrossRef]
- Lazzarotto, V.; Corraze, G.; Larroquet, L.; Mazurais, D.; Médale, F. Does broodstock nutritional history affect the response of progeny to different first-feeding diets? A whole-body transcriptomic study of rainbow trout alevins. Br. J. Nutr. 2016, 115, 2079–2092. [Google Scholar] [CrossRef]
- Wischhusen, P.; Parailloux, M.; Geraert, P.A.; Briens, M.; Bueno, M.; Mounicou, S.; Bouyssiere, B.; Prabhu, P.A.J.; Kaushik, S.J.; Fauconneau, B.; et al. Effect of dietary selenium in rainbow trout (Oncorhynchus mykiss) broodstock on antioxidant status, its parental transfer and oxidative status in the progeny. Aquaculture 2019, 507, 126–138. [Google Scholar] [CrossRef]
- Jobling, M. National Research Council (NRC): Nutrient Requirements of Fish and Shrimp; Springer: Berlin/Heidelberg, Germany, 2012. [Google Scholar]
- Washburn, B.S.; Frye, D.J.; Hung, S.S.; Doroshov, S.I.; Conte, F.S. Dietary effects on tissue composition, oogenesis and the reproductive performance of female rainbow trout (Oncorhynchus mykiss). Aquaculture 1990, 90, 179–195. [Google Scholar] [CrossRef]
- Callet, T.; Hu, H.; Larroquet, L.; Surget, A.; Liu, J.; Plagnes-Juan, E.; Maunas, P.; Turonnet, N.; Mennigen, J.A.; Bobe, J.; et al. Exploring the impact of a low-protein high-carbohydrate diet in mature broodstock of a glucose-intolerant teleost, the rainbow trout. Front. Physiol. 2020, 11, 303. [Google Scholar] [CrossRef]
- Régnier, T.; Bolliet, V.; Labonne, J.; Gaudin, P. Assessing maternal effects on metabolic rate dynamics along early development in brown trout (Salmo trutta): An individual-based approach. J. Comp. Physiol. B 2010, 180, 25–31. [Google Scholar] [CrossRef] [PubMed]
- Kamler, E. Resource allocation in yolk-feeding fish. Rev. Fish Biol. Fish. 2008, 18, 143. [Google Scholar] [CrossRef]
- Yano, A.; Guyomard, R.; Nicol, B.; Jouanno, E.; Quillet, E.; Klopp, C.; Cabau, C.; Bouchez, O.; Fostier, A.; Guiguen, Y. An immune-related gene evolved into the master sex-determining gene in rainbow trout, Oncorhynchus mykiss. Curr. Biol. 2012, 22, 1423–1428. [Google Scholar] [CrossRef]
- Kovatsi, L.; Fragou, D.; Samanidou, V.; Njau, S.; Kouidou, S.; Bailey, A. Evaluation of 5-methyl-2′-deoxycytidine stability in hydrolyzed and nonhydrolyzed DNA by HPLC–UV. Bioanalysis 2012, 4, 367–372. [Google Scholar] [CrossRef] [PubMed]
- Bustin, S.A.; Benes, V.; Garson, J.A.; Hellemans, J.; Huggett, J.; Kubista, M.; Mueller, R.; Nolan, T.; Pfaffl, M.W.; Shipley, G.L.; et al. The MIQE Guidelines: M inimum I nformation for Publication of Q uantitative Real-Time PCR E xperiments. Clin. Chem. 2009, 55, 611–622. [Google Scholar] [CrossRef]
- R Core Team. R: A Language and Environment for Statistical Computing; R Foundation for Statistical Computing: Vienna, Austria, 2013. [Google Scholar]
- Ritchie, M.E.; Phipson, B.; Wu, D.; Hu, Y.; Law, C.W.; Shi, W.; Smyth, G.K. limma powers differential expression analyses for RNA-sequencing and microarray studies. Nucleic Acids Res. 2015, 43, e47. [Google Scholar] [CrossRef]
- Sherman, B.T.; Lempicki, R.A.; Lempicki, R.A. Systematic and integrative analysis of large gene lists using DAVID bioinformatics resources. Nat. Protoc. 2009, 4, 44. [Google Scholar]
- Pfaffl, M.W. A new mathematical model for relative quantification in real-time RT–PCR. Nucleic Acids Res. 2001, 29, e45. [Google Scholar] [CrossRef]
- Dahri, S.; Snoeck, A.; Reusens-Billen, B.; Remacle, C.; Hote, J.J. Islet function in offspring of mothers on low-protein diet during gestation. Diabetes 1991, 40, 115–120. [Google Scholar] [CrossRef] [PubMed]
- Ozanne, S.; Wang, C.; Coleman, N.; Smith, G. Altered muscle insulin sensitivity in the male offspring of protein-malnourished rats. Am. J. Physiol. Endocrinol. Metab. 1996, 271, E1128–E1134. [Google Scholar] [CrossRef]
- Rees, W.D.; Hay, S.M.; Brown, D.S.; Antipatis, C.; Palmer, R.M. Maternal protein deficiency causes hypermethylation of DNA in the livers of rat fetuses. J. Nutr. 2000, 130, 1821–1826. [Google Scholar] [CrossRef] [PubMed]
- Petry, C.; Ozanne, S.; Wang, C.; Hales, C. Effects of early protein restriction and adult obesity on rat pancreatic hormone content and glucose tolerance. Horm. Metab. Res. 2000, 32, 233–239. [Google Scholar] [CrossRef] [PubMed]
- Zambrano, E.; Martinez-Samayoa, P.; Bautista, C.; Deas, M.; Guillen, L.; Rodriguez-Gonzalez, G.; Guzman, C.; Larrea, F.; Nathanielsz, P. Sex differences in transgenerational alterations of growth and metabolism in progeny (F2) of female offspring (F1) of rats fed a low protein diet during pregnancy and lactation. J. Physiol. 2005, 566, 225–236. [Google Scholar] [CrossRef]
- Jousse, C.; Parry, L.; Lambert-Langlais, S.; Maurin, A.C.; Averous, J.; Bruhat, A.; Carraro, V.; Tost, J.; Letteron, P.; Chen, P.; et al. Perinatal undernutrition affects the methylation and expression of the leptin gene in adults: Implication for the understanding of metabolic syndrome. FASEB J. 2011, 25, 3271–3278. [Google Scholar] [CrossRef]
- Sohi, G.; Marchand, K.; Revesz, A.; Arany, E.; Hardy, D.B. Maternal protein restriction elevates cholesterol in adult rat offspring due to repressive changes in histone modifications at the cholesterol 7 α-hydroxylase promoter. Mol. Endocrinol. 2011, 25, 785–798. [Google Scholar] [CrossRef]
- Zheng, S.; Rollet, M.; Pan, Y.X. Protein restriction during gestation alters histone modifications at the glucose transporter 4 (GLUT4) promoter region and induces GLUT4 expression in skeletal muscle of female rat offspring. J. Nutr. Biochem. 2012, 23, 1064–1071. [Google Scholar] [CrossRef]
- Jia, Y.; Cong, R.; Li, R.; Yang, X.; Sun, Q.; Parvizi, N.; Zhao, R. Maternal low-protein diet induces gender-dependent changes in epigenetic regulation of the glucose-6-phosphatase gene in newborn piglet liver. J. Nutr. 2012, 142, 1659–1665. [Google Scholar] [CrossRef] [PubMed]
- Rao, K.; Xie, J.; Yang, X.; Chen, L.; Grossmann, R.; Zhao, R. Maternal low-protein diet programmes offspring growth in association with alterations in yolk leptin deposition and gene expression in yolk-sac membrane, hypothalamus and muscle of developing Langshan chicken embryos. Br. J. Nutr. 2009, 102, 848–857. [Google Scholar] [CrossRef][Green Version]
- Lazzarotto, V.; Corraze, G.; Leprevost, A.; Quillet, E.; Dupont-Nivet, M.; Médale, F. Three-year breeding cycle of rainbow trout (Oncorhynchus mykiss) fed a plant-based diet, totally free of marine resources: Consequences for reproduction, fatty acid composition and progeny survival. PLoS ONE 2015, 10, e0117609. [Google Scholar] [CrossRef] [PubMed]
- Springate, J.; Bromage, N. Effects of egg size on early growth and survival in rainbow trout (Salmo gairdneri Richardson). Aquaculture 1985, 47, 163–172. [Google Scholar] [CrossRef]
- Yang, G.; Wang, Z.; He, J.; Li, W.; Yuan, D. Development and Allometry Patterns of Fine Scale Fish Larvae at Low Temperature. J. Phys. Conf. Ser. 2020, 1575, 012202. [Google Scholar] [CrossRef]
- Jonasova, K.; Kozmik, Z. Eye evolution: Lens and cornea as an upgrade of animal visual system. Semin. Cell Dev. Biol. 2008, 19, 71–81. [Google Scholar] [CrossRef]
- Pankhurst, N.; Montgomery, J. Uncoupling of visual and somatic growth in the rainbow trout Oncorhynchus mykiss. Brain Behav. Evol. 1994, 44, 149–155. [Google Scholar] [CrossRef]
- Gagliano, M.; McCormick, M.I. Hormonally mediated maternal effects shape offspring survival potential in stressful environments. Oecologia 2009, 160, 657–665. [Google Scholar] [CrossRef]
- Nesan, D.; Vijayan, M.M. Maternal cortisol mediates hypothalamus-pituitary-interrenal axis development in zebrafish. Sci. Rep. 2016, 6, 22582. [Google Scholar] [CrossRef] [PubMed]
- Rando, O.J. Daddy issues: Paternal effects on phenotype. Cell 2012, 151, 702–708. [Google Scholar] [CrossRef]
- De Brito Alves, J.L.; Toscano, A.E.; da Costa-Silva, J.H.; Vidal, H.; Leandro, C.G.; Pirola, L. Transcriptional response of skeletal muscle to a low protein perinatal diet in rat offspring at different ages: The role of key enzymes of glucose-fatty acid oxidation. J. Nutr. Biochem. 2017, 41, 117–123. [Google Scholar] [CrossRef] [PubMed]
- De Oliveira Lira, A.; de Brito Alves, J.L.; Fernandes, M.P.; Vasconcelos, D.; Santana, D.F.; da Costa-Silva, J.H.; Morio, B.; Leandro, C.G.; Pirola, L. Maternal low protein diet induces persistent expression changes in metabolic genes in male rats. World J. Diabetes 2020, 11, 182. [Google Scholar] [CrossRef]
- Wu, L.L.; Russell, D.L.; Wong, S.L.; Chen, M.; Tsai, T.S.; St John, J.C.; Norman, R.J.; Febbraio, M.A.; Carroll, J.; Robker, R.L. Mitochondrial dysfunction in oocytes of obese mothers: Transmission to offspring and reversal by pharmacological endoplasmic reticulum stress inhibitors. Development 2015, 142, 681–691. [Google Scholar] [CrossRef] [PubMed]
- Saben, J.L.; Boudoures, A.L.; Asghar, Z.; Thompson, A.; Drury, A.; Zhang, W.; Chi, M.; Cusumano, A.; Scheaffer, S.; Moley, K.H. Maternal metabolic syndrome programs mitochondrial dysfunction via germline changes across three generations. Cell Rep. 2016, 16, 1–8. [Google Scholar] [CrossRef]
- Cardenas-Perez, R.E.; Fuentes-Mera, L.; de la Garza, A.L.; Torre-Villalvazo, I.; Reyes-Castro, L.A.; Rodriguez-Rocha, H.; Garcia-Garcia, A.; Corona-Castillo, J.C.; Tovar, A.R.; Zambrano, E.; et al. Maternal overnutrition by hypercaloric diets programs hypothalamic mitochondrial fusion and metabolic dysfunction in rat male offspring. Nutr. Metab. 2018, 15, 38. [Google Scholar] [CrossRef] [PubMed]
- Santana, D.F.F.; Ferreira, D.S.; Braz, G.; Sousa, S.; Araujo, T.; Gomes, D.; Fernandes, M.P.; Andrade-Da-Costa, B.L.D.; Lagranha, C.J. Maternal Protein Restriction in Two Successive Generations Impairs Mitochondrial Electron Coupling in the Progeny’s Brainstem of Wistar Rats From Both Sexes. Front. Neurosci. 2019, 13, 203. [Google Scholar] [CrossRef]
- Ferey, J.L.; Boudoures, A.L.; Reid, M.; Drury, A.; Scheaffer, S.; Modi, Z.; Kovacs, A.; Pietka, T.; DeBosch, B.J.; Thompson, M.D.; et al. A maternal high-fat, high-sucrose diet induces transgenerational cardiac mitochondrial dysfunction independently of maternal mitochondrial inheritance. Am. J. Physiol. Heart Circ. Physiol. 2019, 316, H1202–H1210. [Google Scholar] [CrossRef]
- Wai, T.; Langer, T. Mitochondrial dynamics and metabolic regulation. Trends Endocrinol. Metab. 2016, 27, 105–117. [Google Scholar] [CrossRef]
- Pernas, L.; Scorrano, L. Mito-morphosis: Mitochondrial fusion, fission, and cristae remodeling as key mediators of cellular function. Annu. Rev. Physiol. 2016, 78, 505–531. [Google Scholar] [CrossRef] [PubMed]
- Sebastián, D.; Zorzano, A. Mitochondrial dynamics and metabolic homeostasis. Curr. Opin. Physiol. 2018, 3, 34–40. [Google Scholar] [CrossRef]
- Salin, K.; Auer, S.K.; Rey, B.; Selman, C.; Metcalfe, N.B. Variation in the link between oxygen consumption and ATP production, and its relevance for animal performance. Proc. R. Soc. B Biol. Sci. 2015, 282, 20151028. [Google Scholar] [CrossRef] [PubMed]
- Hofer, A.; Liu, Z.J.; Balasubramanian, S. Detection, structure and function of modified DNA bases. J. Am. Chem. Soc. 2019, 141, 6420–6429. [Google Scholar] [CrossRef]
- Lillycrop, K.A.; Slater-Jefferies, J.L.; Hanson, M.A.; Godfrey, K.M.; Jackson, A.A.; Burdge, G.C. Induction of altered epigenetic regulation of the hepatic glucocorticoid receptor in the offspring of rats fed a protein-restricted diet during pregnancy suggests that reduced DNA methyltransferase-1 expression is involved in impaired DNA methylation and changes in histone modifications. Br. J. Nutr. 2007, 97, 1064–1073. [Google Scholar] [PubMed]
- Gong, L.; Pan, Y.X.; Chen, H. Gestational low protein diet in the rat mediates Igf2 gene expression in male offspring via altered hepatic DNA methylation. Epigenetics 2010, 5, 619–626. [Google Scholar] [CrossRef]
- Liu, J.; Hu, H.; Panserat, S.; Marandel, L. Evolutionary history of DNA methylation related genes in chordates: New insights from multiple whole genome duplications. Sci. Rep. 2020, 10, 970. [Google Scholar] [CrossRef] [PubMed]





| Publisher’s Note: MDPI stays neutral with regard to jurisdictional claims in published maps and institutional affiliations. | 
© 2021 by the authors. Licensee MDPI, Basel, Switzerland. This article is an open access article distributed under the terms and conditions of the Creative Commons Attribution (CC BY) license (https://creativecommons.org/licenses/by/4.0/).
Share and Cite
Callet, T.; Li, H.; Coste, P.; Glise, S.; Heraud, C.; Maunas, P.; Mercier, Y.; Turonnet, N.; Zunzunegui, C.; Panserat, S.; et al. Modulation of Energy Metabolism and Epigenetic Landscape in Rainbow Trout Fry by a Parental Low Protein/High Carbohydrate Diet. Biology 2021, 10, 585. https://doi.org/10.3390/biology10070585
Callet T, Li H, Coste P, Glise S, Heraud C, Maunas P, Mercier Y, Turonnet N, Zunzunegui C, Panserat S, et al. Modulation of Energy Metabolism and Epigenetic Landscape in Rainbow Trout Fry by a Parental Low Protein/High Carbohydrate Diet. Biology. 2021; 10(7):585. https://doi.org/10.3390/biology10070585
Chicago/Turabian StyleCallet, Thérèse, Hongyan Li, Pascale Coste, Stéphane Glise, Cécile Heraud, Patrick Maunas, Yvan Mercier, Nicolas Turonnet, Chloé Zunzunegui, Stéphane Panserat, and et al. 2021. "Modulation of Energy Metabolism and Epigenetic Landscape in Rainbow Trout Fry by a Parental Low Protein/High Carbohydrate Diet" Biology 10, no. 7: 585. https://doi.org/10.3390/biology10070585
APA StyleCallet, T., Li, H., Coste, P., Glise, S., Heraud, C., Maunas, P., Mercier, Y., Turonnet, N., Zunzunegui, C., Panserat, S., Bolliet, V., & Marandel, L. (2021). Modulation of Energy Metabolism and Epigenetic Landscape in Rainbow Trout Fry by a Parental Low Protein/High Carbohydrate Diet. Biology, 10(7), 585. https://doi.org/10.3390/biology10070585
 
         
                                                

