Nitric-Oxide-Mediated Vasodilation of Bioactive Compounds Isolated from Hypericum revolutum in Rat Aorta
Simple Summary
Abstract
1. Introduction
2. Materials and Methods
2.1. General Experimental Procedures
2.2. Plant Material
2.3. Plant Material Extraction
2.4. Separation of Major Metabolites
2.5. Biological Evaluation
2.5.1. Chemicals and Drugs
2.5.2. Animals
2.5.3. Evaluating the Chloroform Fraction and Isolated Metabolites’ Direct Relaxant Effect
2.5.4. Examining the Effect of Chloroform Fraction and Isolated Metabolites on Nitric Oxide (NO) Production
2.5.5. Studying the ROS Scavenging Potential of the Isolated Metabolites and the Chloroform Fraction
2.5.6. Statistical Analysis
3. Results
3.1. Identification of Isolated Compounds
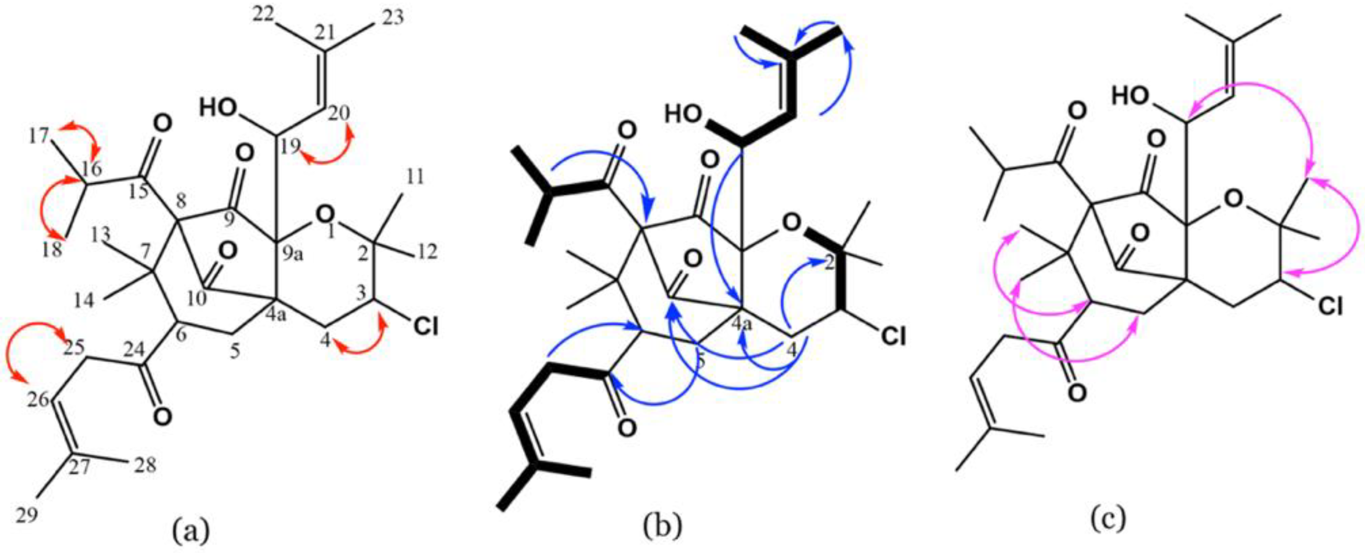
3.2. Compound 1
3.3. Compound 2
3.4. Chloroform Fraction Vasodilating Activity
3.5. Vasodilating Activity of the Isolated Compounds
3.6. Effect on Vascular NO-Production
3.7. Free Radical Scavenging (FRS) Capacities
4. Discussion
5. Conclusions
6. Patents
Supplementary Materials
Author Contributions
Funding
Institutional Review Board Statement
Informed Consent Statement
Acknowledgments
Conflicts of Interest
Correction Statement
References
- Bianchi, G.; Cusi, D.; Barlassina, C.; Pati, C.; Tripodi, M.; Niutta, E.; Vezzoli, G. Sodium balance and peripheral resistance in arterial hypertension. J. Cardiovasc. Pharmacol. 1984, 6, S457–S464. [Google Scholar] [CrossRef] [PubMed]
- Puddu, P.; Puddu, G.M.; Zaca, F.; Muscari, A. Endothelial dysfunction in hypertension. Acta Cardiol. 2000, 55, 221–232. [Google Scholar] [CrossRef]
- McCarthy, E.M.; Wilkinson, F.L.; Parker, B.; Alexander, M.Y. Endothelial microparticles: Pathogenic or passive players in endothelial dysfunction in autoimmune rheumatic diseases? Vascul. Pharmacol. 2016, 86, 71–76. [Google Scholar] [CrossRef] [PubMed]
- Chukwuma, C.I.; Matsabisa, M.G.; Ibrahim, M.A.; Erukainure, O.L.; Chabalala, M.H.; Islam, M.S. Medicinal plants with concomitant anti-diabetic and anti-hypertensive effects as potential sources of dual acting therapies against diabetes and hypertension: A review. J. Ethnopharmacol. 2019, 235, 329–360. [Google Scholar] [CrossRef] [PubMed]
- Ahmad, H.A.; Ghazanfar, S.A. Conservation of medicinal plants on the Arabian Peninsula. J. Med. Plant Cons. 1991, 3, 15–16. [Google Scholar]
- Collenette, S. Wildflowers of Saudi Arabia; National Commission for Wildlife Conservation and Development (NCWCD): Riyadh, Saudi Arabia, 1999. [Google Scholar]
- Sher, H.; Alyemeni, M.N. Pharmaceutically important plants used in traditional system of Arab medicine for the treatment of livestock ailments in the kingdom of Saudi Arabia. Afr. J. Biotechnol. 2011, 10, 9153–9159. [Google Scholar]
- Miraldi, E.; Biagi, M.; Giachetti, D. Chemical constituents and effect of topical application of Oleum hyperici on skin sensitivity to simulated sun exposure. Nat. Prod. Comm. 2006, 1. [Google Scholar] [CrossRef]
- Tabuti, J.R.; Kukunda, C.B.; Waako, P.J. Medicinal plants used by traditional medicine practitioners in the treatment of tuberculosis and related ailments in Uganda. J. Ethnopharmacol. 2010, 127, 130–136. [Google Scholar] [CrossRef]
- Yineger, H.; Kelbessa, E.; Bekele, T.; Lulekal, E. Plants used in traditional management of human ailments at Bale Mountains National Park, Southeastern Ethiopia. J. Med. Plants Res. 2013, 2, 132–153. [Google Scholar]
- Decosterd, L.A.; Stoeckli-Evans, H.; Chapuis, J.C.; Msonthi, J.D.; Sordat, B.; Hostettmann, K. New Hyperforin Derivatives from Hypericum revolutum Vahl with Growth-Inhibitory Activity Against a Human Colon Carcinoma Cell Line. Helv. Chim. Acta 1989, 72, 464–471. [Google Scholar] [CrossRef]
- Décostered, L.A.; Hostettmann, K.; Stoeckli-Evans, H.; Msonthi, J.D. New antifungal chromenyl ketones and their pentacyclic dimers from Hypericum revolutum Vahl. Helv. Chim. Acta 1987, 70, 1694–1702. [Google Scholar] [CrossRef]
- Decosterd, L.; Stoeckli-Evans, H.; Msonthi, J.; Hostettmann, K. A new antifungal chromene and a related di-chromene from Hypericum revolutum. Planta Med. 1986, 52, 429. [Google Scholar] [CrossRef]
- Timraz, N.Z.; El-Bassossy, H.M.; Ibrahim, S.R.; El-Halawany, A.M.; Shehata, I.A.; Aljohani, O.S.; Abdallah, H.M. Vasodilating effect of Hypericum revolutum (Vahl) (Clusiaceae) methanol extract in rats. Trop. J. Pharm. Res. 2021, 20, 1003–1007. [Google Scholar]
- Kilkenny, C.; Browne, W.; Cuthill, I.C.; Emerson, M.; Altman, D.G. Animal research: Reporting In Vivo experiments: The ARRIVE guidelines. Br. J. Pharmacol. 2010, 160, 1577–1579. [Google Scholar] [CrossRef]
- Underwood, W.; Anthony, R. AVMA Guidelines for the Euthanasia of Animals: 2020 Edition; Retrieved on March 2020; American Veterinary Medical Association: Schaumburg, IL, USA, 2020. [Google Scholar]
- El-Bassossy, H.M.; Elberry, A.A.; Ghareib, S.A. Geraniol improves the impaired vascular reactivity in diabetes and metabolic syndrome through calcium channel blocking effect. J. Diabetes Complicat. 2016, 30, 1008–1016. [Google Scholar] [CrossRef]
- El-Bassossy, H.M.; Abo-Warda, S.M.; Fahmy, A. Chrysin and luteolin attenuate diabetes-induced impairment in endothelial-dependent relaxation: Effect on lipid profile, AGEs and NO generation. Phytother. Res. 2013, 27, 1678–1684. [Google Scholar] [CrossRef]
- Ghareib, S.A.; El-Bassossy, H.M.; Elberry, A.A.; Azhar, A.; Watson, M.L.; Banjar, Z.M. 6-Gingerol alleviates exaggerated vasoconstriction in diabetic rat aorta through direct vasodilation and nitric oxide generation. Drug Des. Devel. Ther. 2015, 9, 6019. [Google Scholar] [PubMed]
- Tarkhan, M.M.; Balamsh, K.S.; El-Bassossy, H.M. Cinnamaldehyde protects from methylglyoxal-induced vascular damage: Effect on nitric oxide and advanced glycation end products. J. Food Biochem. 2019, e12907. [Google Scholar] [CrossRef]
- Nagem, T.J.; de Oliveira, F.F. Xanthones and other constituents of Vismia parviflora. J. Braz. Chem. Soc. 1997, 8, 505–508. [Google Scholar] [CrossRef]
- Pierre, L.L.; Moses, M.N. Isolation and characterisation of stigmasterol and β-sitosterol from Odontonema strictum (Acanthaceae). J. Innov. Pharm. 2015, 2, 88–96. [Google Scholar]
- Morel, C.; Séraphin, D.; Oger, J.-M.; Litaudon, M.; Sévenet, T.; Richomme, P.; Bruneton, J. New xanthones from Calophyllum caledonicum. J. Nat. Prod. 2000, 63, 1471–1474. [Google Scholar] [CrossRef]
- Bohlmann, F.; Zdero, C. Neue phloroglucin-derivate aus Helichrysum natalitium und Helichrysum bellum. Phytochemistry 1979, 18, 641–644. [Google Scholar] [CrossRef]
- Hu, L.H.; Khoo, C.W.; Vittal, J.J.; Sim, K.Y. Phloroglucinol derivatives from Hypericum japonicum. Phytochemistry 2000, 53, 705–709. [Google Scholar] [CrossRef]
- Rios, M.Y.; Delgado, G. Polyprenols and acylphloroglucinols from Esenbeckia nesiotica. Phytochemistry 1992, 31, 3491–3494. [Google Scholar] [CrossRef]
- Shiu, W.K.; Rahman, M.M.; Curry, J.; Stapleton, P.; Zloh, M.; Malkinson, J.P.; Gibbons, S. Antibacterial acylphloroglucinols from Hypericum olympicum. J. Nat. Prod. 2012, 75, 336–343. [Google Scholar] [CrossRef] [PubMed]
- Schmidt, S.; Jürgenliemk, G.; Schmidt, T.J.; Skaltsa, H.; Heilmann, J. Bi-, Tri-, and Polycyclic Acylphloroglucinols from Hypericum empetrifolium. J. Nat. Prod. 2012, 75, 1697–1705. [Google Scholar] [CrossRef]
- Fobofou, S.A.; Franke, K.; Sanna, G.; Porzel, A.; Bullita, E.; La Colla, P.; Wessjohann, L.A. Isolation and anticancer, anthelminthic, and antiviral (HIV) activity of acylphloroglucinols, and regioselective synthesis of empetrifranzinans from Hypericum roeperianum. Bioorg. Med. Chem. 2015, 23, 6327–6334. [Google Scholar] [CrossRef] [PubMed]
- Bohlmann, F.; Suwita, A. Neue phloroglucin-derivate aus Leontonyx-arten sowie weitere verbindungen aus vertretern der tribus inuleae. Phytochemistry 1978, 17, 1929–1934. [Google Scholar] [CrossRef]
- Bohlmann, F.; Suwita, A. Weitere phloroglucin-derivate aus Helichrysum-arten. Phytochemistry 1979, 18, 2046–2049. [Google Scholar] [CrossRef]
- Ibrahim, S.R.; Mohamed, G.A.; Moharram, A.M.; Youssef, D.T. Aegyptolidines A and B: New pyrrolidine alkaloids from the fungus Aspergillus aegyptiacus. Phytochem. Lett. 2015, 12, 90–93. [Google Scholar] [CrossRef]
- Tang, F.; Yan, H.-L.; Wang, L.-X.; Xu, J.-F.; Peng, C.; Ao, H.; Tan, Y.-Z. Review of Natural Resources With Vasodilation: Traditional Medicinal Plants, Natural Products, and Their Mechanism and Clinical Efficacy. Front. Pharmacol. 2021, 12, 257. [Google Scholar] [CrossRef] [PubMed]
- Azhar, A.S.; El-Bassossy, H.M.; Abdallah, H.M. Mentha longifolia alleviates experimentally induced angina via decreasing cardiac load. J. Food Biochem. 2018, e12702. [Google Scholar] [CrossRef] [PubMed]
- Abdallah, H.M.; El-Bassossy, H.M.; Mohamed, G.A.; El-Halawany, A.M.; Alshali, K.Z.; Banjar, Z.M. Phenolics from Garcinia mangostana alleviate exaggerated vasoconstriction in metabolic syndrome through direct vasodilatation and nitric oxide generation. BMC Complement. Altern. Med. 2016, 16, 1–10. [Google Scholar] [CrossRef]
- Simmonds, M.J.; Detterich, J.A.; Connes, P. Nitric oxide, vasodilation and the red blood cell. Biorheology 2014, 51, 121–134. [Google Scholar] [CrossRef] [PubMed]
- Kashif, S.; Razdan, R.; Illuri, R. Potential of phloroglucinol to improve erectile dysfunction associated with streptozotocin-induced diabetes in rats. J. Integr. Med. 2019, 17, 282–287. [Google Scholar] [CrossRef] [PubMed]
- Weng, J.R.; Lin, C.N.; Tsao, L.T.; Wang, J.P. Terpenoids with a New Skeleton and Novel Triterpenoids with Anti-inflammatory Effects from Garcinia subelliptica. Chem. Eur. J. 2003, 9, 5520–5527. [Google Scholar] [CrossRef]
- Olaiya, C.; Esan, A.; Alabi, T. Ameliorative effects of β-sitosterol on some biochemical indices of hypertension in wistar albino rats. Afr. J. Med. Med. Sci. 2014, 43, 157. [Google Scholar]
- Câmara, D.V.; Lemos, V.S.; Santos, M.H.; Nagem, T.J.; Côrtes, S.F. Mechanism of the vasodilator effect of Euxanthone in rat small mesenteric arteries. Phytomedicine 2010, 17, 690–692. [Google Scholar] [CrossRef]
- Wang, L.-W.; Kang, J.-J.; Chen, J.; Teng, C.-M.; Lin, C.-N. Antihypertensive and vasorelaxing activities of synthetic xanthone derivatives. Bioorg. Med. Chem. 2002, 10, 567–572. [Google Scholar] [CrossRef]
- El-Bassossy, H.M.; Abo-Warda, S.M.; Fahmy, A. Chrysin and luteolin alleviate vascular complications associated with insulin resistance mainly through PPAR-gamma activation. Am. J. Chin. Med. 2014, 42, 1153–1167. [Google Scholar] [CrossRef]
- El-Bassossy, H.M.; Hassan, N.; Zakaria, M.N. Heme oxygenase-1 alleviates vascular complications associated with metabolic syndrome: Effect on endothelial dependent relaxation and NO production. Chem. Biol. Interact. 2014, 223, 109–115. [Google Scholar] [CrossRef] [PubMed]









| No. | δH [Mult., J (Hz)] | δC (Mult.) | HMBC |
|---|---|---|---|
| 1 | - | 162.4 C | |
| 2 | - | 104.5 C | |
| 3 | - | 149.9 C | |
| 4 | - | 104.3 C | |
| 5 | - | 162.5 C | |
| 6 | - | 104.8 C | |
| 7 | 4.52 d (6.0) | 65.3 CH2 | 1, 8, 9, 10, 11 |
| 8 | 5.45 m | 119.2 CH | 7, 14, 15 |
| 9 | - | 138.3 C | - |
| 10 | 1.79 s | 25.8 CH3 | 8, 9, 11 |
| 11 | 1.73 s | 18.3 CH3 | 8, 9, 10 |
| 12 | - | 205.7 C | - |
| 13 | 2.94 d (6.0) | 52.9 CH2 | 12, 14, 20, 21 |
| 14 | 1.65 m | 25.3 CH | 12, 15, 16 |
| 15 | 0.97 d (6.8) | 22.8 CH3 | 13, 14 |
| 16 | 0.97 d (6.8) | 22.8 CH3 | 13, 14 |
| 17 | - | 210.3 C | - |
| 18 | 3.73 m | 46.0 CH | 4, 17, 19, 20, 21 |
| 19 | 1.84 m 1.41 m | 26.9 CH2 | 18, 19, 20, 21 |
| 20 | 0.91 t (6.2) | 12.0 CH3 | 18, 19 |
| 21 | 1.16 d (6.8) | 16.7 CH3 | 17, 18, 19 |
| 22 | 2.02 s | 7.3 CH3 | 1, 5, 6 |
| No. | δH [Mult., J (Hz)] | δC (Mult.) |
|---|---|---|
| 2 | - | 83.0 C |
| 3 | 2.40 dd (11.6, 8.3) | 54.8 CH |
| 4 | 2.12 dd (15.2, 11.6) 1.77 dd (15.2, 8.3) | 25.6 CH2 |
| 4a | - | 67.9 C |
| 5 | 2.44 dd (15.1, 7.0) 1.92 d (15.0) | 34.9 CH2 |
| 6 | 1.96 t (7.0) | 42.4 CH |
| 7 | - | 46.7 C |
| 8 | - | 86.5 C |
| 9 | - | 199.6 C |
| 9a | - | 76.9 C |
| 10 | - | 202.4 C |
| 11 | 1.38 s | 31.1 CH3 |
| 12 | 1.26 s | 25.3 CH3 |
| 13 | 1.28 s | 22.2 CH3 |
| 14 | 1.24 s | 24.6 CH3 |
| 15 | - | 207.0 C |
| 16 | 1.78 m | 44.3 CH |
| 17 | 1.10 d (6.8) | 21.1 CH3 |
| 18 | 1.09 d (6.8) | 20.7 CH3 |
| 19 | 5.57 d (9.0) | 74.7 CH |
| 20 | 5.36 dt (9.0, 1.5) | 119.8 CH |
| 21 | - | 140.0 C |
| 22 | 1.63 s | 26.3 CH3 |
| 23 | 1.75 s | 18.8 CH3 |
| 24 | - | 204.1 C |
| 25 | 2.51 d (7.5) | 28.7 CH2 |
| 26 | 5.22 brt (7.5) | 118.7 CH |
| 27 | - | 135.5 C |
| 28 | 1.73 s | 18.2 CH3 |
| 29 | 1.73 s | 26.2 CH3 |
Publisher’s Note: MDPI stays neutral with regard to jurisdictional claims in published maps and institutional affiliations. |
© 2021 by the authors. Licensee MDPI, Basel, Switzerland. This article is an open access article distributed under the terms and conditions of the Creative Commons Attribution (CC BY) license (https://creativecommons.org/licenses/by/4.0/).
Share and Cite
Abdallah, H.M.; Timraz, N.Z.; Ibrahim, S.R.M.; El-Halawany, A.M.; Malebari, A.M.; Shehata, I.A.; El-Bassossy, H.M. Nitric-Oxide-Mediated Vasodilation of Bioactive Compounds Isolated from Hypericum revolutum in Rat Aorta. Biology 2021, 10, 541. https://doi.org/10.3390/biology10060541
Abdallah HM, Timraz NZ, Ibrahim SRM, El-Halawany AM, Malebari AM, Shehata IA, El-Bassossy HM. Nitric-Oxide-Mediated Vasodilation of Bioactive Compounds Isolated from Hypericum revolutum in Rat Aorta. Biology. 2021; 10(6):541. https://doi.org/10.3390/biology10060541
Chicago/Turabian StyleAbdallah, Hossam M., Noha Z. Timraz, Sabrin R. M. Ibrahim, Ali M. El-Halawany, Azizah M. Malebari, Ibrahim A. Shehata, and Hany M. El-Bassossy. 2021. "Nitric-Oxide-Mediated Vasodilation of Bioactive Compounds Isolated from Hypericum revolutum in Rat Aorta" Biology 10, no. 6: 541. https://doi.org/10.3390/biology10060541
APA StyleAbdallah, H. M., Timraz, N. Z., Ibrahim, S. R. M., El-Halawany, A. M., Malebari, A. M., Shehata, I. A., & El-Bassossy, H. M. (2021). Nitric-Oxide-Mediated Vasodilation of Bioactive Compounds Isolated from Hypericum revolutum in Rat Aorta. Biology, 10(6), 541. https://doi.org/10.3390/biology10060541

