Mechanisms of Venoarteriolar Reflex in Type 2 Diabetes with or without Peripheral Neuropathy
Abstract
Simple Summary
Abstract
1. Introduction
2. Materials and Methods
2.1. Participants
2.2. Protocol
2.3. Data Analysis
2.4. Statistical Analysis
3. Results
3.1. Participant Characteristics
3.2. Microvascular Assessments
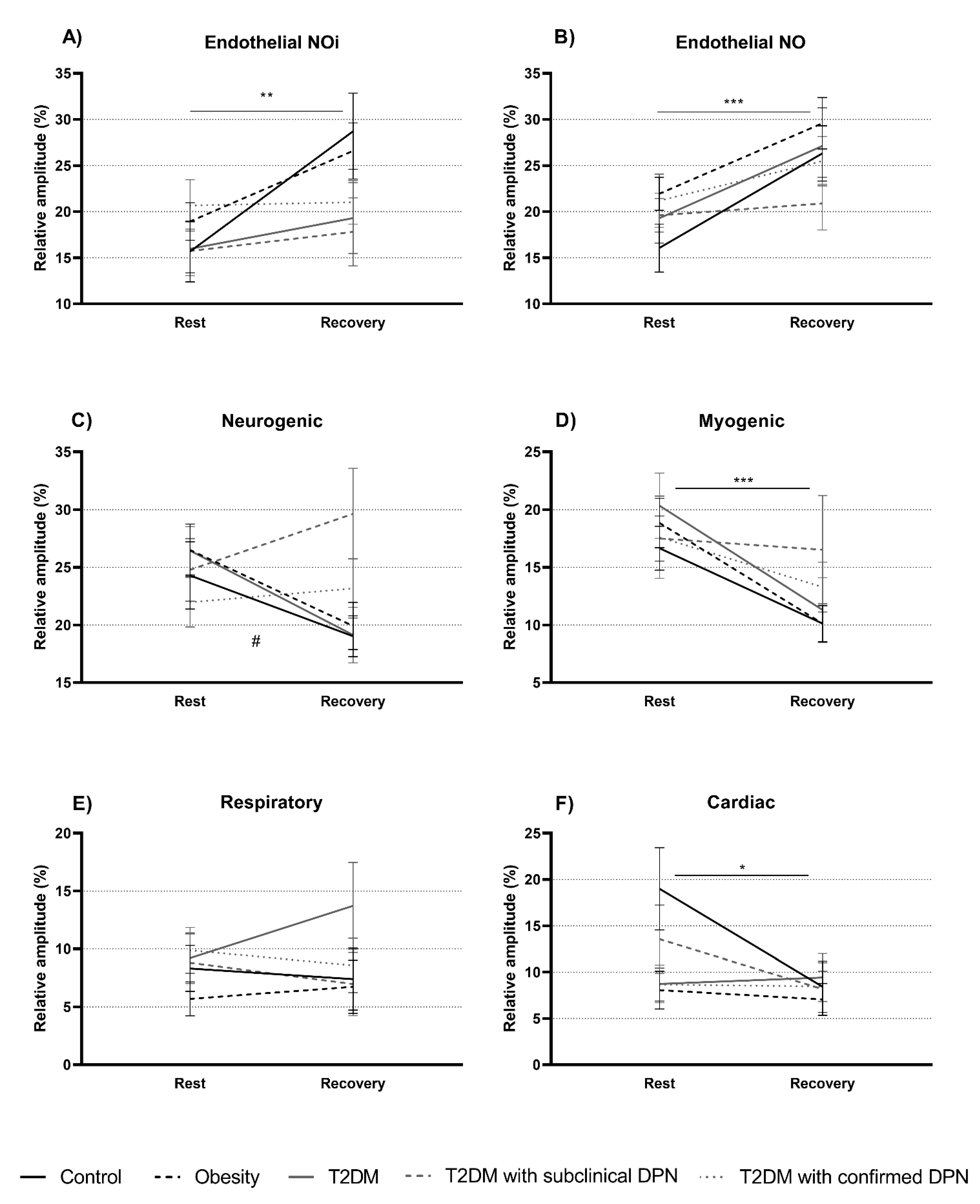
3.3. Spectral Analysis
4. Discussion
5. Conclusions
Supplementary Materials
Author Contributions
Funding
Institutional Review Board Statement
Informed Consent Statement
Data Availability Statement
Acknowledgments
Conflicts of Interest
References
- Vissing, S.F.; Secher, N.H.; Victor, R.G. Mechanisms of Cutaneous Vasoconstriction during Upright Posture. Acta Physiol. Scand. 1997, 159, 131–138. [Google Scholar] [CrossRef]
- Crandall, C.G.; Shibasaki, M.; Yen, T.C. Evidence that the Human Cutaneous Venoarteriolar Response Is Not Mediated by Adrenergic Mechanisms. J. Physiol. 2002, 538, 599–605. [Google Scholar] [CrossRef] [PubMed]
- Silva, H.; Ferreira, H.A.; da Silva, H.P.; Monteiro Rodrigues, L. The Venoarteriolar Reflex Significantly Reduces Contralateral Perfusion as Part of the Lower Limb Circulatory Homeostasis In Vivo. Front. Physiol. 2018, 9, 1123. [Google Scholar] [CrossRef]
- Fujii, N.; McGarr, G.W.; McNeely, B.D.; Ichinose, M.; Nishiyasu, T.; Kenny, G.P. KCa and KV Channels Modulate the Venoarteriolar Reflex in Non-Glabrous Human Skin with No Roles of KATP Channels, NOS, and COX. Eur. J. Pharmacol. 2020, 866, 172828. [Google Scholar] [CrossRef]
- Chao, C.Y.L.; Cheing, G.L.Y. Microvascular Dysfunction in Diabetic Foot Disease and Ulceration. Diabetes Metab. Res. Rev. 2009, 25, 604–614. [Google Scholar] [CrossRef]
- Belcaro, G.; Vasdekis, S.; Rulo, A.; Nicolaides, A.N. Evaluation of Skin Blood Flow and Venoarteriolar Response in Patients with Diabetes and Peripheral Vascular Disease by Laser Doppler Flowmetry. Angiology 1989, 40, 953–957. [Google Scholar] [CrossRef]
- Park, H.S.; Yun, H.M.; Jung, I.M.; Lee, T. Role of Laser Doppler for the Evaluation of Pedal Microcirculatory Function in Diabetic Neuropathy Patients. Microcirculation 2016, 23, 44–52. [Google Scholar] [CrossRef] [PubMed]
- Nabuurs-Franssen, H.; Schaper, N. The Effect of Polyneuropathy on Foot Microcirculation in Type II Diabetes. Diabetologia 2002, 45, 1164–1171. [Google Scholar] [CrossRef]
- Rayman, G.; Hassan, A.; Tooke, J.E. Blood Flow in the Skin of the Foot Related to Posture in Diabetes Mellitus. Br. Med. J. (Clin. Res. Ed.) 1986, 292, 4. [Google Scholar]
- Stoyneva, Z.; Velcheva, I.; Antonova, N.; Titianova, E.; Koleva, I. Venoarteriolar Reflex Responses in Diabetic Patients. Clin. Hemorheol. Microcirc. 2017, 65, 57–65. [Google Scholar] [CrossRef] [PubMed]
- Belcaro, G.; Nicolaides, A.N. The Venoarteriolar Response in Diabetics. Angiology 1991, 42, 827–835. [Google Scholar] [CrossRef] [PubMed]
- Cacciatori, V.; Dellera, A.; Bellavere, F.; Bongiovanni, L.G.; Teatini, F.; Gemma, M.L.; Muggeo, M. Comparative Assessment of Peripheral Sympathetic Function by Postural Vasoconstriction Arteriolar Reflex and Sympathetic Skin Response in NIDDM Patients. Am. J. Med. 1997, 102, 365–370. [Google Scholar] [CrossRef]
- Stefanovska, A.; Bracic, M.; Kvernmo, H.D. Wavelet Analysis of Oscillations in the Peripheral Blood Circulation Measured by Laser Doppler Technique. IEEE Trans. Biomed. Eng. 1999, 46, 1230–1239. [Google Scholar] [CrossRef]
- Kvandal, P.; Landsverk, S.A.; Bernjak, A.; Stefanovska, A.; Kvernmo, H.D.; Kirkebøen, K.A. Low-Frequency Oscillations of the Laser Doppler Perfusion Signal in Human Skin. Microvasc. Res. 2006, 72, 120–127. [Google Scholar] [CrossRef]
- Høyer, C.; Sandermann, J.; Petersen, L.J. Randomised Diagnostic Accuracy Study of a Fully Automated Portable Device for Diagnosing Peripheral Arterial Disease by Measuring the Toe–Brachial Index. Eur. J. Vasc. Endovasc. Surg. 2013, 45, 57–64. [Google Scholar] [CrossRef] [PubMed]
- Stevens, L.A.; Schmid, C.H.; Greene, T.; Zhang, Y.L.; Beck, G.J.; Froissart, M.; Hamm, L.L.; Lewis, J.B.; Mauer, M.; Navis, G.J.; et al. Comparative Performance of the CKD Epidemiology Collaboration (CKD-EPI) and the Modification of Diet in Renal Disease (MDRD) Study Equations for Estimating GFR Levels Above 60 ML/Min/1.73 M2. Am. J. Kidney Dis. 2010, 56, 486–495. [Google Scholar] [CrossRef]
- Chawla, A.; Bhasin, G.; Chawla, R. Validation of Neuropathy Symptoms Score (NSS) And Neuropathy Disability Score (NDS) in the Clinical Diagnosis of Peripheral Neuropathy in Middle Aged People with Diabetes. Internet J. Fam. Pract. 2013, 12, 1–4. [Google Scholar]
- Perkins, B.A.; Grewal, J.; Ng, E.; Ngo, M.; Bril, V. Validation of a Novel Point-of-Care Nerve Conduction Device for the Detection of Diabetic Sensorimotor Polyneuropathy. Diabetes Care 2006, 29, 2023–2027. [Google Scholar] [CrossRef]
- Tesfaye, S.; Boulton, A.J.M.; Dyck, P.J.; Freeman, R.; Horowitz, M.; Kempler, P.; Lauria, G.; Malik, R.A.; Spallone, V.; Vinik, A.; et al. Diabetic Neuropathies: Update on Definitions, Diagnostic Criteria, Estimation of Severity, and Treatments. Diabetes Care 2010, 33, 2285–2293. [Google Scholar] [CrossRef]
- Bracic, M.; Stefanovska, A. Wavelet-Based Analysis of Human Blood-Flow Dynamics. FLow Dyn. 1998, 60, 919–935. [Google Scholar] [CrossRef]
- Iatsenko, D.; McClintock, P.V.E.; Stefanovska, A. Linear and Synchrosqueezed Time–Frequency Representations Revisited: Overview, Standards of Use, Resolution, Reconstruction, Concentration, and Algorithms. Digit. Signal Process. 2015, 42, 1–26. [Google Scholar] [CrossRef]
- Kvernmo, H.D.; Stefanovska, A.; Kirkebøen, K.A.; Kvernebo, K. Oscillations in the Human Cutaneous Blood Perfusion Signal Modified by Endothelium-Dependent and Endothelium-Independent Vasodilators. Microvasc. Res. 1999, 57, 298–309. [Google Scholar] [CrossRef]
- Reynès, C.; Vinet, A.; Maltinti, O.; Knapp, Y. Minimizing the Duration of Laser Doppler Flowmetry Recordings While Maintaining Wavelet Analysis Quality: A Methodological Study. Microvasc. Res. 2020, 131, 104034. [Google Scholar] [CrossRef] [PubMed]
- Bandrivskyy, A.; Bernjak, A.; McClintock, P.; Stefanovska, A. Wavelet Phase Coherence Analysis: Application to Skin Temperature and Blood Flow. Cardiovasc. Eng. 2004, 4, 89–93. [Google Scholar] [CrossRef]
- Okazaki, K.; Fu, Q.; Martini, E.R.; Shook, R.; Conner, C.; Zhang, R.; Crandall, C.G.; Levine, B.D. Vasoconstriction during Venous Congestion: Effects of Venoarteriolar Response, Myogenic Reflexes, and Hemodynamics of Changing Perfusion Pressure. Am. J. Physiol.-Regul. Integr. Comp. Physiol. 2005, 289, R1354–R1359. [Google Scholar] [CrossRef] [PubMed]
- Snyder, K.A.M.; Shamimi-Noori, S.; Wilson, T.E.; Monahan, K.D. Age- and Limb-Related Differences in the Vasoconstrictor Response to Limb Dependency Are Not Mediated by a Sympathetic Mechanism in Humans. Acta Physiol. 2012, 205, 372–380. [Google Scholar] [CrossRef] [PubMed]
- Bagavathiappan, S.; Philip, J.; Jayakumar, T.; Raj, B.; Rao, P.N.S.; Varalakshmi, M.; Mohan, V. Correlation between Plantar Foot Temperature and Diabetic Neuropathy: A Case Study by Using an Infrared Thermal Imaging Technique. J. Diabetes Sci. Technol. 2010, 4, 1386–1392. [Google Scholar] [CrossRef]
- Davison, J.L.; Short, D.S.; Wilson, T.E. Effect of Local Heating and Vasodilation on the Cutaneous Venoarteriolar Response. Clin. Auton. Res. 2004, 14, 385–390. [Google Scholar] [CrossRef]
- Iwase, M.; Imoto, H.; Murata, A.; Nakamura, U.; Nohara, S.; Uchizono, Y.; Iino, K.; Iida, M. Altered Postural Regulation of Foot Skin Oxygenation and Blood Flow in Patients with Type 2 Diabetes Mellitus. Exp. Clin. Endocrinol. Diabetes 2007, 115, 444–447. [Google Scholar] [CrossRef]
- Martini, R.; Bagno, A. The Wavelet Analysis for the Assessment of Microvascular Function with the Laser Doppler Fluxmetry over the Last 20 Years. Looking for Hidden Informations. Clin. Hemorheol. Microcirc. 2018, 1–17. [Google Scholar] [CrossRef]
- Albers, J.W.; Pop-Busui, R. Diabetic Neuropathy: Mechanisms, Emerging Treatments, and Subtypes. Curr. Neurol. Neurosci. Rep. 2014, 14, 473. [Google Scholar] [CrossRef] [PubMed]



| Controls (n = 16) | Obesity (n = 22) | T2DM (n = 15) | T2DM with Subclinical-DPN (n = 13) | T2DM with Confirmed-DPN (n = 16) | |
|---|---|---|---|---|---|
| Women/Men | 10/6 | 13/9 | 7/8 | 3/10 | 5/11 | 
| Age (years) | 57.5 ± 1.9 | 53.9 ± 1.2 | 53.4 ± 1.9 | 59.9 ± 2.0 | 59.9 ± 1.5 #,‡ | 
| BMI (Kg/m2) | 23.5 ± 0.4 | 32.0 ± 0.8 *** | 30.2 ± 1.3 *** | 29.0 ± 1.0 *** | 33.2 ± 1.5 *** | 
| SBP (mmHg) | 124.8 ± 4.0 | 127.9 ± 4.0 | 125.5 ± 2.8 | 128.5 ± 2.8 | 126.3 ± 4.0 | 
| DBP (mmHg) | 75.7 ± 2.9 | 81.2 ± 2.7 | 79.4 ± 2.9 | 79.5 ± 3.3 | 76.1 ± 2.4 | 
| HR rest (bpm) | 70.0 ± 3.7 | 60.9 ± 1.3 | 75.2 ± 3.2 ### | 72.3 ± 2.7 ### | 74.9 ± 2.9 ### | 
| HbA1c (%) | - | 5.4 ± 0.1 | 8.8 ± 0.3 ### | 8.7 ± 0.3 ### | 8.4 ± 0.2 ### | 
| hs-CRP (mg/L) | 3.1 ± 0.7 | 3.4 ± 0.8 | 3.2 ± 1.9 | 4.0 ± 1.0 | |
| Fibrinogen (g/L) | 3.7 ± 0.1 | 3.8 ± 0.2 | 3.8 ± 0.2 | 4.3 ± 0.2 | |
| Diabetes duration (years) | - | - | 12.7 ± 2.1 | 14.5 ± 2.1 | 14.3 ± 2.3 | 
| Retinopathy | - | - | 5 | 3 | 4 | 
| Nephropathy | - | - | 7 | 4 | 6 | 
| CAN | - | - | 2 | 3 | 4 | 
| Medications | |||||
| OHM | - | - | 6 | 6 | 4 | 
| Insulin injection | - | - | 1 | 1 | 3 | 
| OHM + insulin | - | - | 6 | 6 | 9 | 
| Anti-hypertensive | - | - | 7 | 8 | 14 | 
| Dyslipidaemia | - | - | 9 | 8 | 12 | 
| Neuropathic pain | - | - | 1 | 0 | 1 | 
| Controls | Obesity | T2DM | T2DM with Subclinical-DPN | T2DM with Confirmed-DPN | GLM p-Value | |
|---|---|---|---|---|---|---|
| Basal skin blood perfusion (PU) | 10.3 ± 1.8 | 10.4 ± 1.5 | 10.4 ± 1.3 | 8.6 ± 1.0 | 9.1 ± 1.0 | ns | 
| VARMIN (PU) | 4.8 ± 0.6 | 5.2 ± 0.4 | 5.2 ± 0.5 | 5.2 ± 0.6 | 5.6 ± 0.5 | ns | 
| VARMIN (%) | −44.7 ± 5.6 | −39.9 ± 4.7 | −44.8 ± 5.5 | −36.2 ± 5.6 | −35.4 ± 3.0 | ns | 
| T-VARMIN (sec) | 143.4 ± 24.4 | 126.9 ± 17.5 | 102.9 ± 19.8 | 92.1 ± 19.4 | 84.6 ± 16.3 | ns | 
| Publisher’s Note: MDPI stays neutral with regard to jurisdictional claims in published maps and institutional affiliations. | 
© 2021 by the authors. Licensee MDPI, Basel, Switzerland. This article is an open access article distributed under the terms and conditions of the Creative Commons Attribution (CC BY) license (https://creativecommons.org/licenses/by/4.0/).
Share and Cite
Reynès, C.; Perez-Martin, A.; Ennaifer, H.; Silva, H.; Knapp, Y.; Vinet, A. Mechanisms of Venoarteriolar Reflex in Type 2 Diabetes with or without Peripheral Neuropathy. Biology 2021, 10, 333. https://doi.org/10.3390/biology10040333
Reynès C, Perez-Martin A, Ennaifer H, Silva H, Knapp Y, Vinet A. Mechanisms of Venoarteriolar Reflex in Type 2 Diabetes with or without Peripheral Neuropathy. Biology. 2021; 10(4):333. https://doi.org/10.3390/biology10040333
Chicago/Turabian StyleReynès, Cécile, Antonia Perez-Martin, Houda Ennaifer, Henrique Silva, Yannick Knapp, and Agnès Vinet. 2021. "Mechanisms of Venoarteriolar Reflex in Type 2 Diabetes with or without Peripheral Neuropathy" Biology 10, no. 4: 333. https://doi.org/10.3390/biology10040333
APA StyleReynès, C., Perez-Martin, A., Ennaifer, H., Silva, H., Knapp, Y., & Vinet, A. (2021). Mechanisms of Venoarteriolar Reflex in Type 2 Diabetes with or without Peripheral Neuropathy. Biology, 10(4), 333. https://doi.org/10.3390/biology10040333
 
         
                                                

 
       