Solution-Processable Near-Infrared-Absorbing Dye: Thiophene-Substituted N-Phenylphenothiazine Radical Cations for Stable Thin Films
Abstract
1. Introduction
2. Results and Discussion
2.1. DFT Calculation
2.2. Synthesis
2.3. Solubility
2.4. X-Ray Crystallographic Analysis
2.5. Electrochemical Properties
2.6. Photophysical Properties
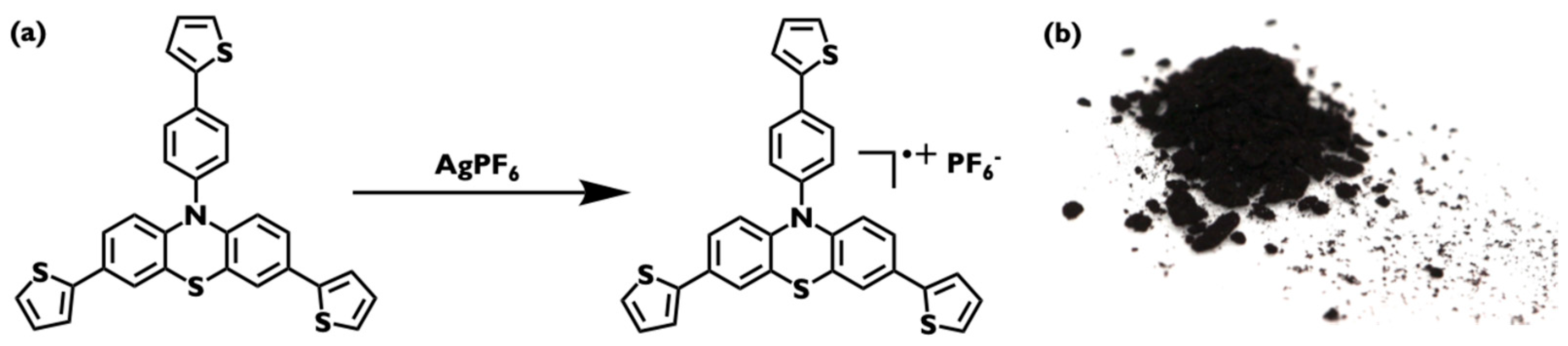
2.7. Isolation of Radical Cation Salts
2.8. Thin-Film Preparation and Absorption Spectra
3. Conclusions
Supplementary Materials
Author Contributions
Funding
Data Availability Statement
Acknowledgments
Conflicts of Interest
References
- Wang, Z. Near-Infrared Organic Materials and Emerging Applications, 1st ed.; CRC Press: Boca Raton, FL, USA, 2013. [Google Scholar]
- Li, C.; Chen, G.; Zhang, Y.; Wu, F.; Wang, Q. Advanced fluorescence imaging technology in the near-infrared-II window for biomedical applications. J. Am. Chem. Soc. 2020, 142, 14789–14804. [Google Scholar] [CrossRef]
- Mu, J.; Xiao, M.; Shi, Y.; Geng, X.; Li, H.; Yin, Y.; Chen, X. The Chemistry of Organic Contrast Agents in the NIR-II Window. Angew. Chem. Int. Ed. 2022, 61, e202114722. [Google Scholar] [CrossRef]
- Pascal, S.; David, S.; Andraud, C.; Maury, O. Near-infrared dyes for two-photon absorption in the short-wavelength infrared: Strategies towards optical power limiting. Chem. Soc. Rev. 2021, 50, 6613–6658. [Google Scholar] [CrossRef]
- Matsumoto, R.; Nagamura, T.; Aratani, N.; Ikeda, T.; Osuka, A. Ultrafast all-optical light modulation in the near infrared region by phase sensitive polymer guided wave mode geometry containing porphyrin tapes. Appl. Phys. Lett. 2009, 94, 253301. [Google Scholar] [CrossRef]
- Li, Q.; Guo, Y.; Liu, Y. Exploration of Near-Infrared Organic Photodetectors. Chem. Mater. 2019, 31, 6359–6379. [Google Scholar] [CrossRef]
- Meng, D.; Zheng, R.; Zhao, Y.; Zhang, E.; Dou, L.; Yang, Y. Near-Infrared Materials: The Turning Point of Organic Photovoltaics. Adv. Mater. 2022, 34, 2107330. [Google Scholar] [CrossRef] [PubMed]
- Wu, M.; Shi, Y.; Li, R.; Wang, P. Spectrally Selective Smart Window with High Near-Infrared Light Shielding and Controllable Visible Light Transmittance. ACS Appl. Mater. Interfaces 2018, 10, 39819–39827. [Google Scholar] [CrossRef] [PubMed]
- Yu, X.; Liu, Y.; Luo, W.; Zeng, X.; Cheng, L.; Zhang, Y. Electrochromic Devices and Smart Window Applications of Near-Infrared Electrochromic Thienoviologens Polymer Properties. ACS Appl. Mater. Interfaces 2025, 17, 28472–28483. [Google Scholar] [CrossRef]
- Deb, S.K. Optical and photoelectric properties and colour centres in thin films of tungsten oxide. Philos. Mag. 1973, 27, 801–822. [Google Scholar] [CrossRef]
- Lee, S.-H.; Cheong, H.M.; Zhang, J.-G.; Mascarenhas, A.; Benson, D.K.; Deb, S.K. Electrochromic mechanism in a-WO3−y thin films. Appl. Phys. Lett. 1999, 74, 242–244. [Google Scholar] [CrossRef]
- Che, Z.L.; Yan, C.C.; Wang, X.D.; Liao, L.S. Organic near-infrared optoelectronic materials and devices: An overview. Adv. Photonics 2024, 6, 014001. [Google Scholar] [CrossRef]
- Yu, S.; Deng, W.; Wu, X.; Ren, Y.; Xie, Y.; Sun, S.; Sun, L.; Yang, F.; Zhang, H.L.; Hu, W. Fully printed organic thin-film transistors: Pathways to scalable, high-performance flexible electronics. Chem. Soc. Rev. 2026, 567–604. [Google Scholar] [CrossRef]
- Fabian, J.; Nakazumi, H.; Matsuoka, M. Near-infrared absorbing dyes. Chem. Rev. 1992, 92, 1197–1226. [Google Scholar] [CrossRef]
- Jiao, C.; Huang, K.W.; Guan, Z.; Xu, Q.H.; Wu, J. N-annulated perylene fused porphyrins with enhanced near-IR absorption and emission. Org. Lett. 2010, 12, 4046–4049. [Google Scholar] [CrossRef]
- Davis, N.K.S.; Thompson, A.L.; Anderson, H.L. A porphyrin fused to four anthracenes. J. Am. Chem. Soc. 2011, 133, 30–31. [Google Scholar] [CrossRef] [PubMed]
- Muranaka, A.; Uchiyama, M. Development of phthalocyanine-based functional molecules with tunable optical and chiroptical properties. Bull. Chem. Soc. Jpn. 2021, 94, 872–878. [Google Scholar] [CrossRef]
- Sun, Z.; Ye, Q.; Chi, C.; Wu, J. Low band gap polycyclic hydrocarbons: From closed-shell near infrared dyes and semiconductors to open-shell radicals. Chem. Soc. Rev. 2012, 41, 7857–7889. [Google Scholar] [CrossRef] [PubMed]
- Hayashi, H.; Yamada, H. Exploring the chemistry of higher acenes: From synthesis to applications. Chem. Sci. 2025, 16, 11204–11231. [Google Scholar] [CrossRef]
- Bian, H.; Ma, D.; Chen, Y.; Hong, J.; Nan, Y.; Xu, H.; Kim, M.H.; Chen, X.; Peng, X.; Yoon, J. Molecular fluorophore dimerization: A new paradigm for precision phototheranostics. Chem. Soc. Rev. 2026, 55, 3139–3187. [Google Scholar] [CrossRef]
- Seo, E.T.; Nelson, R.F.; Fritsch, J.M.; Marcoux, L.S.; Leedy, D.W.; Adams, R.N. Anodic Oxidation Pathways of Aromatic Amines. Electrochemical and Electron Paramagnetic Resonance Studies. J. Am. Chem. Soc. 1966, 88, 3498–3503. [Google Scholar] [CrossRef]
- Nelson, R.F.; Philp, R.H. Electrochemical and spectroscopic studies of cation radicals. 4. Stopped-flow determination of triarylaminium radical coupling rate constants. J. Phys. Chem. 1979, 83, 713–716. [Google Scholar] [CrossRef]
- Amthor, S.; Noller, B.; Lambert, C. UV/Vis/NIR spectral properties of triarylamines and their corresponding radical cations. Chem. Phys. 2005, 316, 141–152. [Google Scholar] [CrossRef]
- Yano, M.; Tamada, K.; Nakai, M.; Mitsudo, K.; Kashiwagi, Y. Near-Infrared Absorbing Molecule Based on Triphenylamine Radical Cation with Extended Homoaryl π-System. Colorants 2022, 1, 226–235. [Google Scholar] [CrossRef]
- Yano, M.; Inada, Y.; Hayashi, Y.; Nakai, M.; Mitsudo, K.; Kashiwagi, Y. Near-infrared absorption of a benzothiophene-appended triphenylamine radical cation: A novel molecular design of NIR-II dye. Dye Pigment. 2022, 197, 109929. [Google Scholar] [CrossRef]
- Yano, M.; Ueda, M.; Yajima, T.; Mitsudo, K.; Kashiwagi, Y. N-Phenylphenothiazine Radical Cation with Extended π-Systems: Enhanced Heat Resistance of Triarylamine Radical Cations as Near-Infrared Absorbing Dyes. Colorants 2024, 3, 350–359. [Google Scholar] [CrossRef]
- Zhou, J.; Mao, L.; Wu, M.X.; Peng, Z.; Yang, Y.; Zhou, M.; Zhao, X.L.; Shi, X.; Yang, H.B. Extended phenothiazines: Synthesis, photophysical and redox properties, and efficient photocatalytic oxidative coupling of amines. Chem. Sci. 2022, 13, 5252–5260. [Google Scholar] [CrossRef]
- Revoju, S.; Matuhina, A.; Canil, L.; Salonen, H.; Hiltunen, A.; Abate, A.; Vivo, P. Structure-induced optoelectronic properties of phenothiazine-based materials. J. Mater. Chem. C 2020, 8, 15486–15506. [Google Scholar] [CrossRef]
- Buga, C.S.; Viana, J.C. A Review on Materials and Technologies for Organic Large-Area Electronics. Adv. Mater. Technol. 2021, 6, 2001016. [Google Scholar] [CrossRef]
- Chen, J.H.; Lee, K.M.; Ting, C.C.; Liu, C.Y. Step-saving synthesis of star-shaped hole-transporting materials with carbazole or phenothiazine coresviaoptimized C-H/C-Br coupling reactions. RSC Adv. 2021, 11, 8879–8885. [Google Scholar] [CrossRef]
- Li, M.; Li, T.; Gong, C.; Ding, D.; Du, J.; Zhou, X.; Song, Y.; Yang, Y.F.; She, Y.; Jia, J. Phenothiazine-based donor-acceptor covalent-organic frameworks with keto-enol irreversible tautomerism as a promising third-order nonlinear optics material. J. Mater. Chem. C 2023, 11, 13897–13904. [Google Scholar] [CrossRef]
- Prat, D.; Hayler, J.; Wells, A. A survey of solvent selection guides. Green Chem. 2014, 16, 4546–4551. [Google Scholar] [CrossRef]
- Lavendomme, R.; Yamashina, M. Antiaromaticity in molecular assemblies and materials. Chem. Sci. 2024, 15, 18677–18697. [Google Scholar] [CrossRef]
- Szabó, G.; Kamat, P.V. Spiro-OMeTAD: Unique Redox Chemistry Driving The Hole Transport. ACS Energy Lett. 2025, 10, 330–336. [Google Scholar] [CrossRef]
- Mohammad, M.; Sundheim, B.R. 14N Hyperfine structure of triphenylaminium radical ions. Theor. Chim. Acta 1968, 10, 222–230. [Google Scholar] [CrossRef]
- Mali, S.S.; Dalavi, D.S.; Bhosale, P.N.; Betty, C.A.; Chauhan, A.K.; Patil, P.S. Electro-optical properties of copper phthalocyanines (CuPc) vacuum deposited thin films. RSC Adv. 2012, 2, 2100–2104. [Google Scholar] [CrossRef]
- Leblebici, S.Y.; Catane, L.; Barclay, D.E.; Olson, T.; Chen, T.L.; Ma, B. Near-infrared azadipyrromethenes as electron donor for efficient planar heterojunction organic solar cells. ACS Appl. Mater. Interfaces 2011, 3, 4469–4474. [Google Scholar] [CrossRef] [PubMed]
- Plouzeau, M.; Piogé, S.; Peilleron, F.; Fontaine, L.; Pascual, S. Polymer/dye blends: Preparation and optical performance: A short review. J. Appl. Polym. Sci. 2022, 139, e52861. [Google Scholar] [CrossRef]
- Kolokytha, C.; Sinani, A.; Manouras, T.; Angelakos, E.; Argitis, P.; Lathiotakis, N.N.; Riziotis, C.; Tzeli, D. Photophysical Investigation of Dyes and Dye-PMMA Systems: Insights into Absorption, Emission, and Charge Transfer Mechanisms. J. Phys. Chem. A 2025, 129, 1219–1232. [Google Scholar] [CrossRef]
- Inoue, S.; Minemawari, H.; Tsutsumi, J.; Chikamatsu, M.; Yamada, T.; Horiuchi, S.; Tanaka, M.; Kumai, R.; Yoneya, M.; Hasegawa, T. Effects of Substituted Alkyl Chain Length on Solution-Processable Layered Organic Semiconductor Crystals. Chem. Mater. 2015, 27, 3809–3812. [Google Scholar] [CrossRef]
- Frisch, M.J.; Trucks, G.W.; Schlegel, H.B.; Scuseria, G.E.; Robb, M.A.; Cheeseman, J.R.; Scalmani, G.; Barone, V.; Petersson, G.A.; Nakatsuji, H.; et al. Gaussian 16, revision C.02; Gaussian, Inc.: Wallingford, CT, USA, 2016.
- Becke, A.D. Density-functional thermochemistry. III. The role of exact exchange. J Chem. Phys. 1993, 98, 5648–5652. [Google Scholar] [CrossRef]
- Lee, C.; Yang, W.; Parr, R.G. Development of the Colle-Salvetti correlation-energy formula into a functional of the electron density. Phys. Rev. B 1988, 37, 785–789. [Google Scholar] [CrossRef] [PubMed]
- Becke, A.D. A new mixing of Hartree–Fock and local density-functional theories. J. Chem. Phys. 1993, 98, 1372–1377. [Google Scholar] [CrossRef]
- Stephens, P.; Devlin, F.J.; Chabalowski, C.F.; Frisch, M.J. Ab Initio Calculation of Vibrational Absorption and Circular Dichroism Spectra Using Density Functional Force Fields. J. Phys. Chem. 1994, 98, 11623–11627. [Google Scholar] [CrossRef]
- Barone, V.; Cossi, M. Quantum Calculation of Molecular Energies and Energy Gradients in Solution by a Conductor Solvent Model. J. Phys. Chem. A 1998, 102, 1995–2001. [Google Scholar] [CrossRef]
- Cossi, M.; Rega, N.; Scalmani, G.; Barone, V. Energies, structures, and electronic properties of molecules in solution with the C-PCM solvation model. J. Comput. Chem. 2003, 24, 669–681. [Google Scholar] [CrossRef]
- Sheldrick, G.M. A Short History of SHELX. Acta Crystallogr. A 2008, 64, 112–122. [Google Scholar] [CrossRef]
- Sheldrick, G.M. SHELX, Program for the Solution of Crystal Structures; University of Göttingen: Göttingen, Germany, 2014. [Google Scholar]
- Dolomanov, O.V.; Bourhis, L.J.; Gildea, R.J.; Howard, J.A.K.; Puschmann, H. OLEX2: A Complete Structure Solution, Refinement and Analysis Program. J. Appl. Crystallogr. 2009, 42, 339–341. [Google Scholar] [CrossRef]










Disclaimer/Publisher’s Note: The statements, opinions and data contained in all publications are solely those of the individual author(s) and contributor(s) and not of MDPI and/or the editor(s). MDPI and/or the editor(s) disclaim responsibility for any injury to people or property resulting from any ideas, methods, instructions or products referred to in the content. |
© 2026 by the authors. Licensee MDPI, Basel, Switzerland. This article is an open access article distributed under the terms and conditions of the Creative Commons Attribution (CC BY) license.
Share and Cite
Yano, M.; Sakai, K.; Ueda, M.; Mitsudo, K.; Kashiwagi, Y. Solution-Processable Near-Infrared-Absorbing Dye: Thiophene-Substituted N-Phenylphenothiazine Radical Cations for Stable Thin Films. Colorants 2026, 5, 14. https://doi.org/10.3390/colorants5020014
Yano M, Sakai K, Ueda M, Mitsudo K, Kashiwagi Y. Solution-Processable Near-Infrared-Absorbing Dye: Thiophene-Substituted N-Phenylphenothiazine Radical Cations for Stable Thin Films. Colorants. 2026; 5(2):14. https://doi.org/10.3390/colorants5020014
Chicago/Turabian StyleYano, Masafumi, Kengo Sakai, Minami Ueda, Koichi Mitsudo, and Yukiyasu Kashiwagi. 2026. "Solution-Processable Near-Infrared-Absorbing Dye: Thiophene-Substituted N-Phenylphenothiazine Radical Cations for Stable Thin Films" Colorants 5, no. 2: 14. https://doi.org/10.3390/colorants5020014
APA StyleYano, M., Sakai, K., Ueda, M., Mitsudo, K., & Kashiwagi, Y. (2026). Solution-Processable Near-Infrared-Absorbing Dye: Thiophene-Substituted N-Phenylphenothiazine Radical Cations for Stable Thin Films. Colorants, 5(2), 14. https://doi.org/10.3390/colorants5020014

